Interactions Between Microplastics and Marine-Derived Polysaccharides: Binding Mechanisms and Bioavailability in Aquatic Systems
Abstract
1. Introduction
2. Overview of Microplastic Pollution in Aquatic Environments
3. Toxicity of Microplastics
Microplastic Accumulation in Human Organisms—Health Consequences
4. Marine-Derived Polysaccharides: Properties and Applications
5. Mechanisms of Interaction Between Microplastics and Marine Polysaccharides
5.1. Electrostatic and Hydrophobic Interactions
5.2. Analytical Techniques for Studying Microplastic–Polysaccharide Interactions
5.3. Interactions Between Marine Polysaccharides and Microplastics
6. Application in Bioremediation and Future Directions
7. Conclusions
Author Contributions
Funding
Institutional Review Board Statement
Informed Consent Statement
Data Availability Statement
Acknowledgments
Conflicts of Interest
Abbreviations
| ALG | Alginic Acid |
| CEL | Cellulose |
| CTS | Chitosan |
| CGN | Carrageenan |
| MPs | Microplastics |
| NPs | Nanoplastics |
| PA | Polyamide |
| PDA | polydopamine |
| PE | Polyethylene |
| PET | Polyethylene terephthalate |
| PGA | Poly(glycolic acid) |
| PLA | Poly(lactic acid) |
| POPs | Persistent organic pollutants |
| PP | Polypropylene |
| PPC | Polypropylene carbonate |
| PS | Polystyrene |
| PVC | Polyvinyl Chloride |
References
- Ritchie, M.W.; Cheslock, A.; Bourdages, M.P.T.; Hamilton, B.M.; Provencher, J.F.; Allison, J.E.; MacMillan, H.A. Quantifying Microplastic Ingestion, Degradation and Excretion in Insects Using Fluorescent Plastics. Conserv. Physiol. 2023, 11, coad052. [Google Scholar] [CrossRef] [PubMed]
- Sivan, A. New Perspectives in Plastic Biodegradation. Curr. Opin. Biotechnol. 2011, 22, 422–426. [Google Scholar] [CrossRef] [PubMed]
- Maharja, C.; Praptiwi, R.A.; Sainal, S.; Wulandari, P.; Ashley, M.; Wyles, K.J.; Roy, J.; Hendrawan, I.G.; Jobling, S.; Austen, M.C. Multiple negative impacts of marine plastic pollution on tropical coastal ecosystem services, and human health and well-being. Ocean. Coast. Manag. 2024, 258, 107423. [Google Scholar] [CrossRef]
- Ali, S.S.; Alsharbaty, M.H.M.; Al-Tohamy, R.; Schagerl, M.; Al-Zahrani, M.; Kornaros, M.; Sun, J. Microplastics as persistent and vectors of other threats in the marine environment: Toxicological impacts, management and strategical roadmap to end plastic pollution. J. Environ. Chem. Ecotoxicol. 2025, 7, 229–251. [Google Scholar] [CrossRef]
- Jambeck, J.R.; Geyer, R.; Wilcox, C.; Siegler, T.R.; Perryman, M.; Andrady, A.; Narayan, R.; Law, K.I. Plastic waste inputs from land into the ocean. Science 2015, 347, 768–771. [Google Scholar] [CrossRef]
- Baily, R.; Boucher, J.; Boughton, J.; Castillo, A.; Da, M.; Favoino, E.; Gadgil, M.; Godfrey, L.; Gutberlet, J.; Kosior, E.; et al. Breaking the Plastic Wave: A Comprehensive Assessment of Pathways Towards Stopping Ocean Plastic Pollution: Technical Report. Pew Charitable Trusts and Systemiq. 2020. Available online: https://www.pewtrusts.org/-/media/assets/2020/07/breakingtheplasticwave_report.pdf (accessed on 26 October 2025).
- Fulke, A.B.; Bhanushali, S.; Jadhav, H. Global Marine Plastic Pollution: Sources, Distribution, Implications on human health and mitigation strategies. Cont. Shelf Res. 2025, 296, 105578. [Google Scholar] [CrossRef]
- Citterich, F.; Giudice, A.; Azzaro, M. A plastic world: A review of microplastic pollution in the freshwaters of the Earth’s poles. Sci. Total Environ. 2023, 869, 161847. [Google Scholar] [CrossRef]
- Klimasz, M.; Grobelak, A. Microplastics in the Environment—Their Origin, Classification, Migration Paths and Impact on Organisms in Environmental Engineering and Biotechnology—Challenges and New Technologies; Rosińska, A., Karwowska, B., Madeła, M., Eds.; Częstochowa University of Technology Publishing House: Częstochowa, Poland, 2022; ISBN 978-83-7193-900-6. [Google Scholar]
- Arthur, C.; Baker, J.; Bamford, H. NOAA Technical Memorandum NOS-OR&R30. In Proceedings of the International Research Workshop on the Occurrence, Effects and Fate of Microplastic Marine Debris, Tacoma, WA, USA, 9–11 September 2008. [Google Scholar]
- Geyer, R.; Jambeck, J.R.; Law, K.L. Production, Use, and Fate of All Plastics Ever Made. Sci. Adv. 2025, 3, e1700782. [Google Scholar] [CrossRef]
- Andrady, A.L. Microplastics in the Marine Environment. Mar. Pollut. Bull. 2011, 62, 1596–1605. [Google Scholar] [CrossRef]
- Barnes, D.K.A.; Galgani, F.; Thompson, R.C.; Barlaz, M. Accumulation and Fragmentation of Plastic Debris in Global Environments. Philos. Trans. R. Soc. B Biol. Sci. 2009, 364, 1985–1998. [Google Scholar] [CrossRef]
- Rochman, C.M.; Browne, M.A.; Halpern, B.S.; Hentschel, B.T.; Hoh, E.; Karapanagioti, H.K.; Rios-Mendoza, L.M.; Takada, H.; Teh, S.; Thompson, R.C. Classify Plastic Waste as Hazardous. Nature 2013, 494, 169–171. [Google Scholar] [CrossRef]
- Carpenter, E.J.; Smith, K.L. Plastics on the Sargasso Sea Surface. Science 1972, 175, 1240–1241. [Google Scholar] [CrossRef]
- Xia, B.; Sui, Q.; Du, Y.; Wang, L.; Jing, J.; Zhu, L.; Zhao, X.; Sun, X.; Booth, A.M.; Chen, B.; et al. Secondary PVC Microplastics Are More Toxic than Primary PVC Microplastics to Oryzias Melastigma Embryos. J. Hazard. Mater. 2022, 424, 127421. [Google Scholar] [CrossRef]
- Isobe, A.; Iwasaki, S.; Uchida, K.; Tokai, T. Abundance of Non-Conservative Microplastics in the Upper Ocean from 1957 to 2066. Nat. Commun. 2019, 10, 417. [Google Scholar] [CrossRef]
- Fragão, J.; Bessa, F.; Otero, V.; Barbosa, A.; Sobral, P.; Waluda, C.M.; Guímaro, H.R.; Xavier, J.C. Microplastics and Other Anthropogenic Particles in Antarctica: Using Penguins as Biological Samplers. Sci. Total Environ. 2021, 788, 147698. [Google Scholar] [CrossRef]
- Rios, L.M.; Moore, C.; Jones, P.R. Persistent Organic Pollutants Carried by Synthetic Polymers in the Ocean Environment. Mar. Pollut. Bull. 2007, 54, 1230–1237. [Google Scholar] [CrossRef] [PubMed]
- Zettler, E.R.; Mincer, T.J.; Amaral-Zettler, L.A. Life in the “Plastisphere”: Microbial Communities on Plastic Marine Debris. Environ. Sci. Technol. 2013, 47, 7137–7146. [Google Scholar] [CrossRef] [PubMed]
- Wang, J.; Tan, Z.; Peng, J.; Qiu, Q.; Li, M. The Behaviors of Microplastics in the Marine Environment. Mar. Environ. Res. 2016, 113, 7–17. [Google Scholar] [CrossRef]
- Arias-Andres, M.; Klümper, U.; Rojas-Jimenez, K.; Grossart, H.-P. Microplastic Pollution Increases Gene Exchange in Aquatic Ecosystems. Environ. Pollut. 2018, 237, 253–261. [Google Scholar] [CrossRef] [PubMed]
- Thompson, R.C.; Olsen, Y.; Mitchell, R.P.; Davis, A.; Rowland, S.J.; John, A.W.G.; McGonigle, D.; Russell, A.E. Lost at Sea: Where Is All the Plastic? Science 2004, 304, 838. [Google Scholar] [CrossRef]
- Li, J.; Liu, H.; Paul Chen, J. Microplastics in Freshwater Systems: A Review on Occurrence, Environmental Effects, and Methods for Microplastics Detection. Water Res. 2018, 137, 362–374. [Google Scholar] [CrossRef]
- Teuten, E.L.; Rowland, S.J.; Galloway, T.S.; Thompson, R.C. Potential for Plastics to Transport Hydrophobic Contaminants. Environ. Sci. Technol. 2007, 41, 7759–7764. [Google Scholar] [CrossRef] [PubMed]
- Feng, Y.; Liu, X.; Zhang, Y.; Wang, Z.; Su, J.; Li, Z.; Wang, J.; Xu, Q.; Wang, M.; Wang, H.; et al. The Dual Role of Alginate Extracellular Polymeric Substances in Cleaner Flotation of Marine Microplastics: Modulating Microplastic Hydrophilicity and Microbubble Stability. Chem. Eng. J. 2025, 512, 162374. [Google Scholar] [CrossRef]
- Pan, Y.; Gao, S.-H.; Ge, C.; Gao, Q.; Huang, S.; Kang, Y.; Luo, G.; Zhang, Z.; Fan, L.; Zhu, Y.; et al. Removing microplastics from aquatic environments: A critical review. Environ. Sci. Ecotechnol. 2023, 13, 100222. [Google Scholar] [CrossRef] [PubMed]
- Shukla, B.K.; Sharma, P.K.; Yadav, H.; Singh, S.; Tyagi, K.; Yadav, Y.; Rajpoot, N.K.; Rawat, S.; Verma, S. Advanced membrane technologies for water treatment: Utilization of nanomaterials and nanoparticles in membranes fabrication. J. Nanopart. Res. 2024, 26, 222. [Google Scholar] [CrossRef]
- Yu, Y.; Zhou, D.; Li, Z.; Zhu, C. Advancement and Challenges of Microplastic Pollution in the Aquatic Environment: A Review. Water Air Soil Pollut. 2018, 229, 140. [Google Scholar] [CrossRef]
- Bukhari, M.N.; Fatima, M.; Wang, P.; Jin, Z.; Hu, Z.; Dar, M.A.; Gao, M.; Taqi, M.; Zhang, P.; Wang, B. Recent advances in biodegradable coatings for marine microplastic adsorption: Progress in ecological restoration and pollution mitigation. Sep. Purif. Technol. 2025, 378, 134739. [Google Scholar] [CrossRef]
- Prata, J.C.; da Costa, J.P.; Lopes, I.; Duarte, A.C.; Rocha-Santos, T. Environmental Exposure to Microplastics: An Overview on Possible Human Health Effects. Sci. Total Environ. 2020, 702, 134455. [Google Scholar] [CrossRef]
- Wright, S.L.; Thompson, R.C.; Galloway, T.S. The Physical Impacts of Microplastics on Marine Organisms: A Review. Environ. Pollut. 2013, 178, 483–492. [Google Scholar] [CrossRef]
- Lv, S.; Lu, C.; Liu, X.; Lu, Y.; Chen, Y.; Liu, X.; Liu, R.; Wang, J.; Zeng, X.; Wang, Q.; et al. The Effects of Organic and Inorganic Colloids on the Aggregation and Settling of Polystyrene (PS) Nanoplastics in Mimicked Ocean Temperature Conditions. Mar. Pollut. Bull. 2025, 219, 118323. [Google Scholar] [CrossRef]
- Alldredge, A.L.; Silver, M.W. Characteristics, Dynamics and Significance of Marine Snow. Prog. Oceanogr. 1988, 20, 41–82. [Google Scholar] [CrossRef]
- Gundogdu, A.; Nalbantoglu, O.U.; Karis, G.; Sarikaya, I.; Erdogan, M.N.; Hora, M.; Aslan, H. Comparing Microbial Communities in Mucilage and Seawater Samples: Metagenomic Insights into Mucilage Formation in the Marmara Sea. Environ. Sci. Pollut. Res. 2024, 31, 58363–58374. [Google Scholar] [CrossRef]
- Gallo, F.; Fossi, C.; Weber, R.; Santillo, D.; Sousa, J.; Ingram, I.; Nadal, A.; Romano, D. Marine Litter Plastics and Microplastics and Their Toxic Chemicals Components: The Need for Urgent Preventive Measures. Environ. Sci. Eur. 2018, 30, 13. [Google Scholar] [CrossRef] [PubMed]
- Duan, J.; Bolan, N.; Li, Y.; Ding, S.; Atugoda, T.; Vithanage, M.; Sarkar, B.; Tsang, D.C.W.; Kirkham, M.B. Weathering of Microplastics and Interaction with Other Coexisting Constituents in Terrestrial and Aquatic Environments. Water Res. 2021, 196, 117011. [Google Scholar] [CrossRef] [PubMed]
- Gigault, J.; ter Halle, A.; Baudrimont, M.; Pascal, P.-Y.; Gauffre, F.; Phi, T.-L.; El Hadri, H.; Grassl, B.; Reynaud, S. Current Opinion: What Is a Nanoplastic? Environ. Pollut. 2018, 235, 1030–1034. [Google Scholar] [CrossRef] [PubMed]
- Draget, K.I.; Skjåk-Bræk, G.; Smidsrød, O. Alginate Based New Materials. Int. J. Biol. Macromol. 1997, 21, 47–55. [Google Scholar] [CrossRef]
- Cole, M.; Lindeque, P.; Halsband, C.; Galloway, T.S. Microplastics as Contaminants in the Marine Environment: A Review. Mar. Pollut. Bull. 2011, 62, 2588–2597. [Google Scholar] [CrossRef]
- Shi, L.; Zhu, Z.; Wu, N.; Chang, Y.; Yue, L.; An, L. Natural Hydroxyapatite Powder from Pig-Bone Waste (PHAP) for the Rapid Adsorption of Heavy Metals (Cu) in Aqueous Solution. Adsorption 2024, 30, 801–812. [Google Scholar] [CrossRef]
- Derraik, J.G.B. The Pollution of the Marine Environment by Plastic Debris: A Review. Mar. Pollut. Bull. 2002, 44, 842–852. [Google Scholar] [CrossRef]
- Yang, H.; Chen, G.; Wang, J. Microplastics in the Marine Environment: Sources, Fates, Impacts and Microbial Degradation. Toxics 2021, 9, 41. [Google Scholar] [CrossRef]
- Muñiz, R.; Rahman, M.S. Microplastics in coastal and marine environments: A critical issue of plastic pollution on marine organisms, seafood contaminations, and human health implications. J. Hazard. Mater. Advances. 2025, 18, 100663. [Google Scholar] [CrossRef]
- Multisanti, C.R.; Ferrara, S.; Piccione, G.; Faggio, C. Plastics and their derivatives are impacting animal ecophysiology: A review. Comp. Biochem. Physiol. C-Toxicol. Pharmacol. 2025, 291, 110149. [Google Scholar] [CrossRef]
- Dawson, A.L.; Kawaguchi, S.; King, C.K.; Townsend, K.A.; King, R.; Huston, W.M.; Bengtson Nash, S.M. Turning microplastics into nanoplastics through digestive fragmentation by Antarctic krill. Nat Commun. 2018, 9, 1001. [Google Scholar] [CrossRef] [PubMed]
- Nelms, S.E.; Barnett, J.; Brownlow, A.; Davison, N.J.; Deaville, R.; Galloway, T.S.; Lindeque, P.K.; Santillo, D.; Godley, B.J. Microplastics in marine mammals stranded around the British coast: Ubiquitous but transitory? Sci. Rep. 2019, 31, 1075. [Google Scholar] [CrossRef] [PubMed]
- George, M.; Abraham, T.E. Polyionic Hydrocolloids for the Intestinal Delivery of Protein Drugs: Alginate and Chitosan—A Review. J. Control. Release 2006, 114, 1–14. [Google Scholar] [CrossRef] [PubMed]
- Kühn, S.; van Franeker, J.A. Quantitative overview of marine debris ingested by marine megafauna. Mar. Pollut. Bull. 2020, 151, 110858. [Google Scholar] [CrossRef]
- Sun, J.; Dai, X.; Wang, Q.; van Loosdrecht, M.C.M.; Ni, B.-J. Microplastics in Wastewater Treatment Plants: Detection, Occurrence and Removal. Water Res. 2019, 152, 21–37. [Google Scholar] [CrossRef]
- Jiang, J.-Q.; Zhou, Z.; Sharma, V.K. Occurrence, Transportation, Monitoring and Treatment of Emerging Micro-Pollutants in Waste Water—A Review from Global Views. Microchem. J. 2013, 110, 292–300. [Google Scholar] [CrossRef]
- Nava, V.; Leoni, B. A Critical Review of Interactions between Microplastics, Microalgae and Aquatic Ecosystem Function. Water Res. 2021, 188, 116476. [Google Scholar] [CrossRef]
- Salomone, V.N.; Passucci, V.; Areco, M.M. Microplastic Pollution in Marine Environments: Exploring Sources, Sinks, and Consequences with a Focus on Algal Interactions. Reg. Stud. Mar. Sci. 2023, 68, 103270. [Google Scholar] [CrossRef]
- Ricciardi, M.; Pironti, C.; Motta, O.; Miele, Y.; Proto, A.; Montano, L. Microplastics in the Aquatic Environment: Occurrence, Persistence, Analysis, and Human Exposure. Water 2023, 15, 1718. [Google Scholar] [CrossRef]
- Li, J.; Zhang, K.; Zhang, H. Adsorption of Antibiotics on Microplastics. Environ. Pollut. 2018, 237, 460–467. [Google Scholar] [CrossRef]
- Liu, F.; Vianello, A.; Vollertsen, J. Retention of Microplastics in Sediments of Urban and Highway Stormwater Retention Ponds. Environ. Pollut. 2019, 255, 113335. [Google Scholar] [CrossRef]
- Wu, P.; Huang, J.; Zheng, Y.; Yang, Y.; Zhang, Y.; He, F.; Chen, H.; Quan, G.; Yan, J.; Li, T.; et al. Environmental Occurrences, Fate, and Impacts of Microplastics. Ecotoxicol. Environ. Saf. 2019, 184, 109612. [Google Scholar] [CrossRef]
- Turner, A.; Holmes, L.A. Adsorption of Trace Metals by Microplastic Pellets in Fresh Water. Environ. Chem. 2015, 12, 600–610. [Google Scholar] [CrossRef]
- Pawar, S.N.; Edgar, K.J. Alginate Derivatization: A Review of Chemistry, Properties and Applications. Biomaterials 2012, 33, 3279–3305. [Google Scholar] [CrossRef]
- Kumar, M.N.R. A Review of Chitin and Chitosan Applications. React. Funct. Polym. 2000, 46, 1–27. [Google Scholar] [CrossRef]
- Jayakumar, R.; Prabaharan, M.; Sudheesh Kumar, P.T.; Nair, S.V.; Tamura, H. Biomaterials Based on Chitin and Chitosan in Wound Dressing Applications. Biotechnol. Adv. 2011, 29, 322–337. [Google Scholar] [CrossRef] [PubMed]
- Shahidi, F.; Abuzaytoun, R. Chitin, Chitosan, and Co-Products: Chemistry, Production, Applications, and Health Effects. Adv. Food Nutr. Res. 2005, 49, 93–135. [Google Scholar] [CrossRef] [PubMed]
- Summers, S.; Henry, T.; Gutierrez, T. Agglomeration of Nano- and Microplastic Particles in Seawater by Autochthonous and de Novo-Produced Sources of Exopolymeric Substances. Mar. Pollut. Bull. 2018, 130, 258–267. [Google Scholar] [CrossRef] [PubMed]
- Zhao, S.; Danley, M.; Ward, J.E.; Li, D.; Mincer, T.J. An Approach for Extraction, Characterization and Quantitation of Microplastic in Natural Marine Snow Using Raman Microscopy. Anal. Methods 2017, 9, 1470–1478. [Google Scholar] [CrossRef]
- Necas, J.; Bartosikova, L. Carrageenan: A Review. Vet. Med. 2013, 58, 187–205. [Google Scholar] [CrossRef]
- Rinaudo, M. Chitin and Chitosan: Properties and Applications. Prog. Polym. Sci. 2006, 31, 603–632. [Google Scholar] [CrossRef]
- Su, P.; Chang, J.; Yu, F.; Wu, X.; Ji, G. Microplastics in aquaculture environments: Sources, pollution status, toxicity and potential as substrates for nitrogen-cycling microbiota. Agric. Water Manag. 2024, 304, 109090. [Google Scholar] [CrossRef]
- De-la-Torre, G.E. Microplastics: An emerging threat to food security and human health. J. Food Sci. Technol. 2020, 57, 1601–1608. [Google Scholar] [CrossRef]
- Özgür Sökmen, T.; Sulukan, E.; Türkoğlu, M.; Baran, A.; Özkaraca, M.; Buğrahan Ceyhun, S. Polystyrene nanoplastics (20 nm) are able to bioaccumulate and cause oxidative DNA damages in the brain tissue of zebrafish embryo (Danio rerio). Neurotoxicology 2020, 77, 51–59. [Google Scholar] [CrossRef]
- Kataria, N.; Yadav, S.; Garg, V.K.; Rene, E.R.; Jiang, J.-J.; Rose, P.K.; Kumar, M.; Khoo, K.S. Occurrence, transport, and toxicity of microplastics in tropical food chains: Perspectives view and way forward. Environ. Geochem. Health 2024, 46, 98. [Google Scholar] [CrossRef]
- Kibria, G. Impacts of microplastic on fisheries and seafood security—Global analysis and synthesis. Sci. Total Environ. 2023, 904, 166652. [Google Scholar] [CrossRef]
- Witczak, A.; Przedpełska, L.; Pokorska-Niewiada, K.; Cybulski, J. Microplastics as a Threat to Aquatic Ecosystems and Human Health. Toxics 2024, 12, 571. [Google Scholar] [CrossRef]
- Saha, S.C.; Saha, G. Effect of microplastics deposition on human lung airways: A review with computational benefits and challenges. Heliyon 2024, 10, e24355. [Google Scholar] [CrossRef]
- Wang, Z.; Li, N.; Ding, Y.; Li, N.; Su, M.; Zhang, C.; Li, Y.; Wang, Q.; Sha, C.; Xia, B.; et al. Microplastics and human health: Exposure pathways, toxicity mechanisms, and future research challenges. J. Environ. Chem. Eng. 2025, 13, 118807. [Google Scholar] [CrossRef]
- Zhu, X.; Wang, C.; Duan, X.; Liang, B.; Xu, E.G.; Huang, Z. Micro- and nanoplastics: A new cardiovascular risk factor? Environ. Int. 2023, 171, 107662. [Google Scholar] [CrossRef] [PubMed]
- Li, P.; Liu, J. Micro(nano)plastics in the human body: Sources, occurrences, fates, and health risks. Environ. Sci. Technol. 2024, 58, 3065–3078. [Google Scholar] [CrossRef] [PubMed]
- Kumar, R.; Manna, C.; Padha, S.; Verma, A.; Sharma, P.; Dhar, A.; Ghosh, A.; Bhattacharya, P. Micro(nano)plastics pollution and human health: How plastics can induce carcinogenesis to humans? Chemosphere 2022, 298, 134267. [Google Scholar] [CrossRef]
- Sofield, C.E.; Anderton, R.S.; Gorecki, A.M. Mind over microplastics: Exploring microplastic-induced gut disruption and gut-brain- Axis consequences. Curr. Issues Mol. Biol. 2024, 46, 4186–4202. [Google Scholar] [CrossRef]
- Mohamed Nor, N.H.; Koelmans, A.A. Transfer of PCBs from microplastics under simulated gut fluid conditions is biphasic and reversible. Environ. Sci. Technol. 2019, 53, 1874–1883. [Google Scholar] [CrossRef]
- Carding, S.; Verbeke, K.; Vipond, D.T.; Corfe, B.M.; Owen, L.J. Dysbiosis of the gut microbiota in disease. Microb. Ecol. Health Dis. 2015, 26, 26191. [Google Scholar] [CrossRef]
- Chambers, E.; Mitragotri, S. Prolonged circulation of large polymeric nanoparticles by non-covalent adsorption on erythrocytes. J. Contr. Release 2004, 100, 111–119. [Google Scholar] [CrossRef]
- Schwabl, P.; Koppel, S.; Konigshofer, P.; Bucsics, T.; Trauner, M.; Reiberger, T.; Liebmann, B. Detection of various microplastics in human stool. Ann. Intern. Med. 2019, 171, 453–457. [Google Scholar] [CrossRef]
- Vikas Madhav, N.; Gopinath, K.P.; Krishnan, A.; Rajendran, N.; Krishnan, A. A critical review on various trophic transfer routes of microplastics in the context of the Indian coastal ecosystem. Watershed Ecol. Environ. 2020, 2, 25–41. [Google Scholar] [CrossRef]
- Fournier, E.; Leveque, M.; Ruiz, P.; Ratel, J.; Durif, C.; Chalancon, S.; Amiard, F.; Edely, M.; Bezirard, V.; Gaultier, E.; et al. Microplastics: What happens in the human digestive tract? First evidences in adults using in vitro gut models. J. Hazard Mater. 2023, 442, 130010. [Google Scholar] [CrossRef]
- Chen, J.; Chen, X.; Xuan, Y.; Shen, H.; Tang, Y.; Zhang, T.; Xu, J. Surface functionalization-dependent inflammatory potential of polystyrene nanoplastics through the activation of MAPK/NF-κB signaling pathways in macrophage Raw 264.7. Ecotoxicol. Environ. Saf. 2023, 251, 114520. [Google Scholar] [CrossRef]
- WHO. Microplastics in Drinking-Water; World Health Organization Report; WHO: Geneva, Switzerland, 2019; ISBN 978-92-4-151619-8. [Google Scholar]
- Sivaperumal, P.; Kamala, K.; Dhanraj, G. Biomacromolecules from Marine Organisms and Their Biomedical Application; ImprintCRC Press: Boca Raton, FL, USA, 2022; pp. 1–15. [Google Scholar]
- Shi, Q.; Wang, A.; Lu, Z.; Qin, C.; Hu, J.; Yin, J. Overview on the Antiviral Activities and Mechanisms of Marine Polysaccharides from Seaweeds. Carbohydr. Res. 2017, 453–454, 1–9. [Google Scholar] [CrossRef] [PubMed]
- Dey, T.; Espinosa, M.C.; Ho, L. Alginate Microbead to Mitigate Microplastic Pollution. Colloid Polym. Sci. 2025, 303, 1853–1863. [Google Scholar] [CrossRef]
- Hao, J.; Yan, S.; Yuan, H.; Du, C.; Tan, Y. High-Strength Alginate Fibers Wet-Spun from Pre-Crosslinked Sodium Alginate Solutions. Carbohydr. Polym. 2024, 342, 122386. [Google Scholar] [CrossRef]
- Kenny, H.M.; Reynolds, C.M.; Garcia-Vaquero, M.; Feeney, E.L. Keeping an eye on alginate: Innovations and opportunities for sustainable production and diverse applications. Carbohydr. Polym. 2025, 366, 123902. [Google Scholar] [CrossRef] [PubMed]
- Ahmad Raus, R.; Wan Nawawi, W.M.F.; Nasaruddin, R.R. Alginate and alginate composites for biomedical applications. Asian J. Pharm. Sci. 2021, 16, 280–306. [Google Scholar] [CrossRef]
- Li, W. Applications of chitosan-based hydrogels in diabetic wound healing: A review. Int. J. Biol. Macromol. 2025, 324, 147264. [Google Scholar] [CrossRef]
- Campo, V.L.; Kawano, D.F.; da Silva, D.B.; Carvalho, I. Carrageenans: Biological Properties, Chemical Modifications and Structural Analysis—A Review. Carbohydr. Polym. 2009, 77, 167–180. [Google Scholar] [CrossRef]
- Pacheco-Quito, E.-M.; Ruiz-Caro, R.; Veiga, M.-D. Carrageenan: Drug Delivery Systems and Other Biomedical Applications. Mar. Drugs 2020, 18, 583. [Google Scholar] [CrossRef]
- Mokhtari, H.; Tavakoli, S.; Safarpour, F.; Kharaziha, M.; Bakhsheshi-Rad, H.R.; Ramakrishna, S.; Berto, F. Recent Advances in Chemically-Modified and Hybrid Carrageenan-Based Platforms for Drug Delivery, Wound Healing, and Tissue Engineering. Polymers 2021, 13, 1744. [Google Scholar] [CrossRef]
- Kalsi, G.; Hazarika, U.; Baruah, L.D.; Bordoloi, P.L.; Gogoi, M. Comprehensive review of carrageenan’s multifaceted role in health and food systems. Discov. Food 2025, 5, 115. [Google Scholar] [CrossRef]
- Jabeen, F.; Aimen, Z.; Ahmad, R.; Mir, S.; Awwad, N.S.; Ibrahium, H.A. Carrageenan: Structure, properties and applications with special emphasis on food science. RSC Adv. 2025, 15, 22035–22062. [Google Scholar] [CrossRef]
- Liu, F.; Duan, G.; Yang, H. Recent advances in exploiting carrageenans as a versatile functional material for promising biomedical applications. Int. J. Biol. Macromol. 2023, 235, 123787. [Google Scholar] [CrossRef]
- Bhatt, P.; Joshi, S.; Urper Bayram, G.M.; Khati, P.; Simsek, H. Developments and application of chitosan-based adsorbents for wastewater treatments. Environ. Res. 2023, 226, 115530. [Google Scholar] [CrossRef] [PubMed]
- Tennakoon, P.; Chandika, P.; Yi, M.; Jung, W.-K. Marine-derived biopolymers as potential bioplastics, an eco-friendly alter-native. iScience 2023, 26, 106404. [Google Scholar] [CrossRef] [PubMed]
- Lackner, M. Bioplastics, Kirk-Othmer Encyclopedia of Chemical Technology; John Wiley & Sons, Inc.: Hoboken, NJ, USA, 2015; pp. 1–41. [Google Scholar] [CrossRef]
- Sharma, S.; Chatterjee, S. Microplastic Pollution, a Threat to Marine Ecosystem and Human Health: A Short Review. Environ. Sci. Pollut. Res. 2017, 24, 21530–21547. [Google Scholar] [CrossRef] [PubMed]
- Ahmad, M.; Kim, B.; Velev, O.D. Sustainable Biopolymer Colloids: Advances in Morphology for Enhanced Functionalities. Langmuir 2025, 41, 7160–7173. [Google Scholar] [CrossRef]
- Li, S.; Cao, L.; Liu, Q.; Sui, S.; Bian, J.; Zhao, X.; Gao, Y. Enhancing Pb Adsorption on Crushed Microplastics: Insights into the Environmental Remediation. Water 2024, 16, 3541. [Google Scholar] [CrossRef]
- Aragón, D.; García-Merino, B.; Barquín, C.; Bringas, E.; Rivero, M.J.; Ortiz, I. Advanced Green Capture of Microplastics from Different Water Matrices by Surface-Modified Magnetic Nanoparticles. Sep. Purif. Technol. 2025, 354, 128813. [Google Scholar] [CrossRef]
- Fu, L.; Li, J.; Wang, G.; Luan, Y.; Dai, W. Adsorption Behavior of Organic Pollutants on Microplastics. Ecotoxicol. Environ. Saf. 2021, 217, 112207. [Google Scholar] [CrossRef]
- Kinigopoulou, V.; Pashalidis, I.; Kalderis, D.; Anastopoulos, I. Microplastics as Carriers of Inorganic and Organic Contaminants in the Environment: A Review of Recent Progress. J. Mol. Liq. 2022, 350, 118580. [Google Scholar] [CrossRef]
- Yu, Y.; Mo, W.Y.; Luukkonen, T. Adsorption Behaviour and Interaction of Organic Micropollutants with Nano and Microplastics—A Review. Sci. Total Environ. 2021, 797, 149140. [Google Scholar] [CrossRef]
- Sun, Y.; Ji, J.; Tao, J.; Yang, Y.; Wu, D.; Han, L.; Li, S.; Wang, J. Current Advances in Interactions between Microplastics and Dissolved Organic Matters in Aquatic and Terrestrial Ecosystems. TrAC Trends Anal. Chem. 2023, 158, 116882. [Google Scholar] [CrossRef]
- Lambert, S.; Wagner, M. Formation of Microscopic Particles during the Degradation of Different Polymers. Chemosphere 2016, 161, 510–517. [Google Scholar] [CrossRef] [PubMed]
- Lusher, A.L.; McHugh, M.; Thompson, R.C. Occurrence of Microplastics in the Gastrointestinal Tract of Pelagic and Demersal Fish from the English Channel. Mar. Pollut. Bull. 2013, 67, 94–99. [Google Scholar] [CrossRef]
- Djajadi, D.T.; Müller, S.; Fiutowski, J.; Rubahn, H.-G.; Thygesen, L.G.; Posth, N.R. Interaction of Chitosan with Nanoplastic in Water: The Effect of Environmental Conditions, Particle Properties, and Potential for in Situ Remediation. Sci. Total Environ. 2024, 907, 167918. [Google Scholar] [CrossRef]
- Koelmans, A.A.; Bakir, A.; Burton, G.A.; Janssen, C.R. Microplastic as a Vector for Chemicals in the Aquatic Environment: Critical Review and Model-Supported Reinterpretation of Empirical Studies. Environ. Sci. Technol. 2016, 50, 3315–3326. [Google Scholar] [CrossRef]
- Zhao, S.; Zhu, L.; Wang, T.; Li, D. Suspended Microplastics in the Surface Water of the Yangtze Estuary System, China: First Observations on Occurrence, Distribution. Mar. Pollut. Bull. 2014, 86, 562–568. [Google Scholar] [CrossRef]
- van Sebille, E.; Wilcox, C.; Lebreton, L.; Maximenko, N.; Hardesty, B.D.; van Franeker, J.A.; Eriksen, M.; Siegel, D.; Galgani, F.; Law, K.L. A Global Inventory of Small Floating Plastic Debris. Environ. Res. Lett. 2015, 10, 124006. [Google Scholar] [CrossRef]
- Carr, S.A.; Liu, J.; Tesoro, A.G. Transport and Fate of Microplastic Particles in Wastewater Treatment Plants. Water Res. 2016, 91, 174–182. [Google Scholar] [CrossRef] [PubMed]
- Zhang, X.; Zhai, Y.; Wang, Z.; Zhou, Y.; Huang, C.; Zhao, L.; Ma, C. Effect of Microplastic Ingredient on the Removal of Microplastics by Calcium Alginate Flocculation. Chem. Eng. J. 2024, 498, 155701. [Google Scholar] [CrossRef]
- Wright, S.L.; Kelly, F.J. Plastic and Human Health: A Micro Issue? Environ. Sci. Technol. 2017, 51, 6634–6647. [Google Scholar] [CrossRef] [PubMed]
- Green, D.S.; Boots, B.; Blockley, D.J.; Rocha, C.; Thompson, R. Impacts of Discarded Plastic Bags on Marine Assemblages and Ecosystem Functioning. Environ. Sci. Technol. 2015, 49, 5380–5389. [Google Scholar] [CrossRef]
- Han, M.; Wang, Z.; Xie, Z.; Hou, M.; Gao, Z. Polydopamine-Modified Sodium Alginate Hydrogel for Microplastics Removal: Adsorption Performance, Characteristics, and Kinetics. Int. J. Biol. Macromol. 2025, 297, 139947. [Google Scholar] [CrossRef]
- Elwakeel, K.Z.; Daher, A.M.; Abd El-Fatah, A.I.L.; Abd El Monem, H.; Khalil, M.M.H. Biosorption of Lanthanum from Aqueous Solutions Using Magnetic Alginate Beads. J. Dispers. Sci. Technol. 2017, 38, 145–151. [Google Scholar] [CrossRef]
- Elwakeel, K.Z.; El-Bindary, A.A.; El-Sonbati, A.Z.; Hawas, A.R. Magnetic Alginate Beads with High Basic Dye Removal Potential and Excellent Regeneration Ability. Can. J. Chem. 2017, 95, 807–815. [Google Scholar] [CrossRef]
- Yang, Y.; Tilman, D.; Jin, Z.; Smith, P.; Barrett, C.B.; Zhu, Y.-G.; Burney, J.; D’Odorico, P.; Fantke, P.; Fargione, J.; et al. Climate Change Exacerbates the Environmental Impacts of Agriculture. Science 2024, 385, eadn3747. [Google Scholar] [CrossRef]
- Li, Y.; Zhang, S.; Liu, S.; Chen, Y.; Luo, M.; Li, J.; Xu, S.; Hou, X. Eco-Friendly Hydrophobic ZIF-8/Sodium Alginate Monolithic Adsorbent: An Efficient Trap for Microplastics in the Aqueous Environment. J. Colloid Interface Sci. 2024, 661, 259–270. [Google Scholar] [CrossRef]
- Geng, R.; Wang, J.; Zhang, Z.; Dong, Q.; Wu, F.; Chen, S.; Su, T.; Qi, X. Adsorption of Antibiotics by Polydopamine-Modified Salecan Hydrogel: Performance, Kinetics and Mechanism Studies. Chem. Eng. J. 2023, 454, 140446. [Google Scholar] [CrossRef]
- Ma, R.; Feng, Y.; Yu, J.; Zhao, X.; Du, Y.; Zhang, X. Ultralight Sponge Made from Sodium Alginate with Processability and Stability for Efficient Removal of Microplastics. Environ. Sci. Pollut. Res. 2023, 30, 104135–104147. [Google Scholar] [CrossRef] [PubMed]
- Sundbæk, K.B.; Koch, I.D.W.; Villaro, C.G.; Rasmussen, N.S.; Holdt, S.L.; Hartmann, N.B. Sorption of fluorescent polystyrene microplastic particles to edible seaweed Fucus vesiculosus. J. Appl. Phycol. 2018, 30, 2923–2927. [Google Scholar] [CrossRef]
- Amjad, M.; Intisar, A.; Afzal, A.; Hussain, N. Chapter Four—Biological methods for the removal of microplastics from water. Adv. Chem. Pollut. Environ. Manag. Prot. 2023, 9, 65–78. [Google Scholar] [CrossRef]
- Lichtfouse, E.; Morin-Crini, N.; Fourmentin, M.; Zemmouri, H.; do Carmo Nascimento, I.O.; Queiroz, L.M.; Tadza, M.Y.M.; Picos-Corrales, L.A.; Pei, H.; Wilson, L.D.; et al. Chitosan for Direct Bioflocculation of Wastewater. Environ. Chem. Lett. 2019, 17, 1603–1621. [Google Scholar] [CrossRef]
- Huang, Y.; Liu, Q.; Jia, W.; Yan, C.; Wang, J. Agricultural Plastic Mulching as a Source of Microplastics in the Terrestrial Environment. Environ. Pollut. 2020, 260, 114096. [Google Scholar] [CrossRef]
- Kalčíková, G.; Alič, B.; Skalar, T.; Bundschuh, M.; Gotvajn, A.Ž. Wastewater Treatment Plant Effluents as Source of Cosmetic Polyethylene Microbeads to Freshwater. Chemosphere 2017, 188, 25–31. [Google Scholar] [CrossRef]
- Andrady, A.L. Persistence of Plastic Litter in the Oceans BT—Marine Anthropogenic Litter; Bergmann, M., Gutow, L., Klages, M., Eds.; Springer International Publishing: Cham, Switzerland, 2015; pp. 57–72. ISBN 978-3-319-16510-3. [Google Scholar]
- Huang, S.; Zhang, B.; Cui, F.; He, Y.; Shi, J.; Yang, X.; Lens, P.N.L.; Shi, W. Mechanisms Underlying the Detrimental Impact of Micro(Nano)Plastics on the Stability of Aerobic Granular Sludge: Interactions between Micro(Nano)Plastics and Extracellular Polymeric Substances. J. Hazard. Mater. 2024, 478, 135512. [Google Scholar] [CrossRef]
- Yu, S.; Li, Q.; Shan, W.; Hao, Z.; Li, P.; Liu, J. Heteroaggregation of Different Surface-Modified Polystyrene Nanoparticles with Model Natural Colloids. Sci. Total Environ. 2021, 784, 147190. [Google Scholar] [CrossRef]
- Mei, W.; Chen, G.; Bao, J.; Song, M.; Li, Y.; Luo, C. Interactions between Microplastics and Organic Compounds in Aquatic Environments: A Mini Review. Sci. Total Environ. 2020, 736, 139472. [Google Scholar] [CrossRef]
- Clark, J.R.; Cole, M.; Lindeque, P.K.; Fileman, E.; Blackford, J.; Lewis, C.; Lenton, T.M.; Galloway, T.S. Marine Microplastic Debris: A Targeted Plan for Understanding and Quantifying Interactions with Marine Life. Front. Ecol. Environ. 2016, 14, 317–324. [Google Scholar] [CrossRef]
- Torlopov, M.A.; Martakov, I.S.; Mikhaylov, V.I.; Legki, P.V.; Vavrinchuk, K.S.; Markov, P.A.; Drozd, N.N.; Zhuravlev, A.V.; Sitnikov, P.A.; Kutchin, A.V. “Revitalizing” Alginate Films: Control of Texture, Hemo- and Cellular Compatibility via Addition of Cellulose Nanocrystals. Polysaccharides 2025, 6, 43. [Google Scholar] [CrossRef]
- Fakhri, V.; Jafari, A.; Layaei Vahed, F.; Su, C.-H.; Pirouzfar, V. Polysaccharides as eco-friendly bio-adsorbents for wastewater remediation: Current state and future perspective. J. Water Process. Eng. 2023, 54, 103980. [Google Scholar] [CrossRef]
- Nechita, P. Applications of Chitosan in Wastewater Treatment. In Biological Activities and Application of Marine Polysaccha-Rides; InTech: London, UK, 2017. [Google Scholar] [CrossRef]
- Siddiqui, V.U.; Ilyas, R.A.; Sapuan, S.M.; Hamid, N.H.A.; Khoo, P.S.; Chowdhury, A.; Atikah, M.S.N.; Rani, M.S.A.; Asyraf, M.R.M. Alginate-based materials as adsorbent for sustainable water treatment. Int. J. Biol. Macromol. 2025, 298, 139946. [Google Scholar] [CrossRef]
- Sohouli, E.; Irannejad, N.; Ziarati, A.; Ehrlich, H.; Rahimi-Nasrabadi, M.; Ahmadi, F.; Luque, R. Application of polysaccha-ride-based biopolymers as supports in photocatalytic treatment of water and wastewater: A review. Environ. Chem. Lett. 2022, 20, 3789–3809. [Google Scholar] [CrossRef]


![]() | ![]() | ![]() | |
| PE (R=H); PP (R=Me) | PS | PVC | |
![]() | ![]() | ![]() | |
| PET | PGA (R=H); PLA (R=Me) | PPC | |
![]() | ![]() | ||
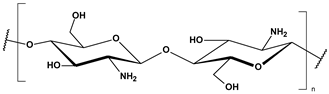
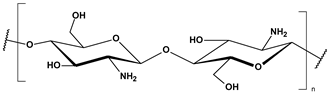
![]() | ![]() |
| CEL | CTS |
![]() | ![]() |
| ALG (GM) | CGN |
| Polysaccharide | Source | Main Functional Groups | Surface Charge | MPs Binding Mechanisms | Typical Applications | Ref. |
|---|---|---|---|---|---|---|
| Alginate | Brown algae | Carboxyl (–COO−) | Anionic | Electrostatic, gelation, surface adsorption | Hydrogels, water purification | [39,59] |
| Chitosan | Crustacean shells | Amino (–NH3+) | Cationic | Electrostatic, hydrogen bonding, hydrophobic | Magnetic filters, pollutant removal | [60,61,62,66] |
| Carrageenan | Red algae | Sulfonate (–SO3−) | Anionic | Electrostatic, ion complexation, hydrophobic | Adsorptive composites, bioremediation | [65,94] |
| Technique | Purpose | Principle | Advantages | Limitations | Ref. |
|---|---|---|---|---|---|
| Fourier Transform Infrared (FTIR) | Polymer identification and chemical characterization | Molecular vibrations identification | Non-destructive | Low spatial resolution in case of testing very small samples, e.g., in micro scale | [31,55] |
| Raman Spectroscopy | Surface chemical analysis | Inelastic scattering of monochromatic light | High spatial resolution, non-destructive | Possible fluorescence interference | [18,32,64] |
| Scanning Electron Microscopy (SEM) | Surface morphology analysis | Electron beam imaging | High-resolution images | Requires vacuum | [57,114] |
| Atomic Force Microscopy (AFM) | Surface topography and force measurement | Surface scanning with mechanical probe | Nanoscale resolution | Small scan area, time-consuming | [59] |
| Zeta Potential | Surface charge determination | Electrophoretic mobility measurement | Quick, surface charge information | Sensitive to environmental conditions | [56,114] |
| Adsorption Isotherms | Quantification of adsorption capacity | Equilibrium adsorption measurements | Quantitative data on binding strength | Requires careful experimental setup | [61] |
| Material/Modification | Polysaccharide Type | Microplastic Type (Size) | Removal Efficiency (%) | Conditions | References |
|---|---|---|---|---|---|
| Chitosan-coated magnetic nanoparticles | Chitosan | PS (0.5–2 µm) | 90–95 | pH 5.5, 30 °C, 12 h | [56,60] |
| Alginate beads | Alginate | PE (1–5 µm) | 75–85 | pH 6.5, 25 °C, 24 h | [141] |
| Carrageenan hydrogel | Carrageenan | PP (2–10 µm) | 65–80 | pH 7.0, 20 °C, 48 h | [142] |
| Method | Polysaccharide | Effect on MPs Removal Efficiency | Application Example | References |
|---|---|---|---|---|
| Amino-functionalization | Chitosan | Improved selectivity for anionic MPs | Water purification systems | [60] |
| Cross-linking | Alginate, Chitosan | Increased mechanical stability, adsorption | Stable MPs capture gels | [139] |
| Sulfonation | Carrageenan | Enhanced cationic MPs binding | Adsorption composites | [140] |
| Nanoparticle addition | Alginate, Chitosan | Enhanced adsorption, magnetic recovery | Magnetic separable composites | [139] |
Disclaimer/Publisher’s Note: The statements, opinions and data contained in all publications are solely those of the individual author(s) and contributor(s) and not of MDPI and/or the editor(s). MDPI and/or the editor(s) disclaim responsibility for any injury to people or property resulting from any ideas, methods, instructions or products referred to in the content. |
© 2025 by the authors. Licensee MDPI, Basel, Switzerland. This article is an open access article distributed under the terms and conditions of the Creative Commons Attribution (CC BY) license (https://creativecommons.org/licenses/by/4.0/).
Share and Cite
Kudzin, M.H.; Gloc, M.; Festinger-Gertner, N.; Sikora, M.; Olak-Kucharczyk, M. Interactions Between Microplastics and Marine-Derived Polysaccharides: Binding Mechanisms and Bioavailability in Aquatic Systems. Toxics 2025, 13, 928. https://doi.org/10.3390/toxics13110928
Kudzin MH, Gloc M, Festinger-Gertner N, Sikora M, Olak-Kucharczyk M. Interactions Between Microplastics and Marine-Derived Polysaccharides: Binding Mechanisms and Bioavailability in Aquatic Systems. Toxics. 2025; 13(11):928. https://doi.org/10.3390/toxics13110928
Chicago/Turabian StyleKudzin, Marcin H., Martyna Gloc, Natalia Festinger-Gertner, Monika Sikora, and Magdalena Olak-Kucharczyk. 2025. "Interactions Between Microplastics and Marine-Derived Polysaccharides: Binding Mechanisms and Bioavailability in Aquatic Systems" Toxics 13, no. 11: 928. https://doi.org/10.3390/toxics13110928
APA StyleKudzin, M. H., Gloc, M., Festinger-Gertner, N., Sikora, M., & Olak-Kucharczyk, M. (2025). Interactions Between Microplastics and Marine-Derived Polysaccharides: Binding Mechanisms and Bioavailability in Aquatic Systems. Toxics, 13(11), 928. https://doi.org/10.3390/toxics13110928













