Gut Microbiota Dysbiosis and Toxic Metabolite Pathways Linked to Childhood Obesity in Eastern China
Abstract
1. Introduction
2. Materials and Methods
2.1. Study Participants and Grouping
2.2. Experimental Procedures
2.2.1. Questionnaire Administration and Sample Collection
2.2.2. DNA Extraction and PCR Amplification
2.2.3. Illumina MiSeq Sequencing
2.2.4. Bioinformatic Analysis
2.2.5. Toxicology Network Construction
2.2.6. Molecular Docking
2.2.7. Statistical Analysis
3. Results
3.1. Analysis of Gut Microbiota Diversity
3.1.1. Alpha Diversity
3.1.2. Beta Diversity
3.2. Analysis of Microbial Composition
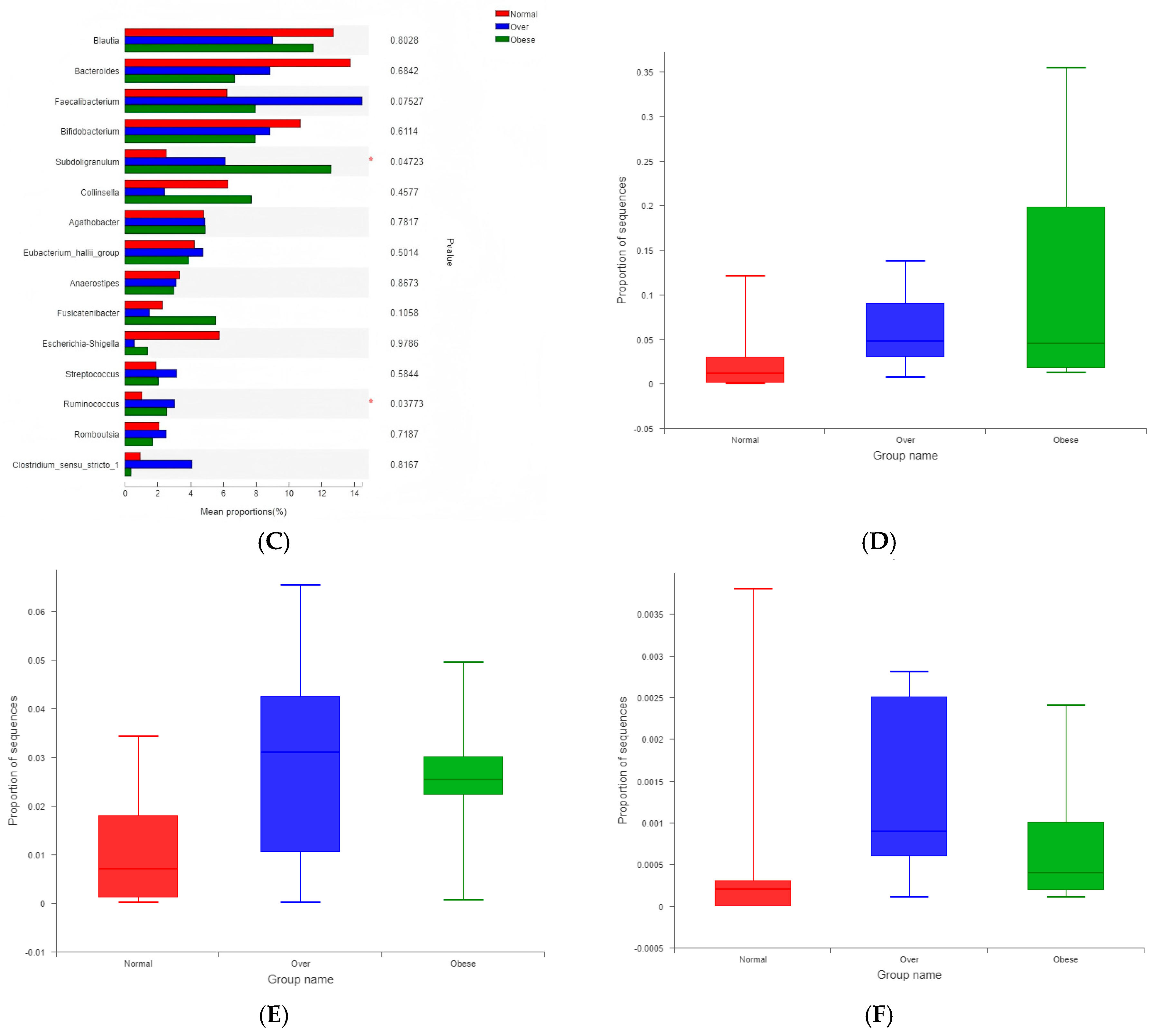
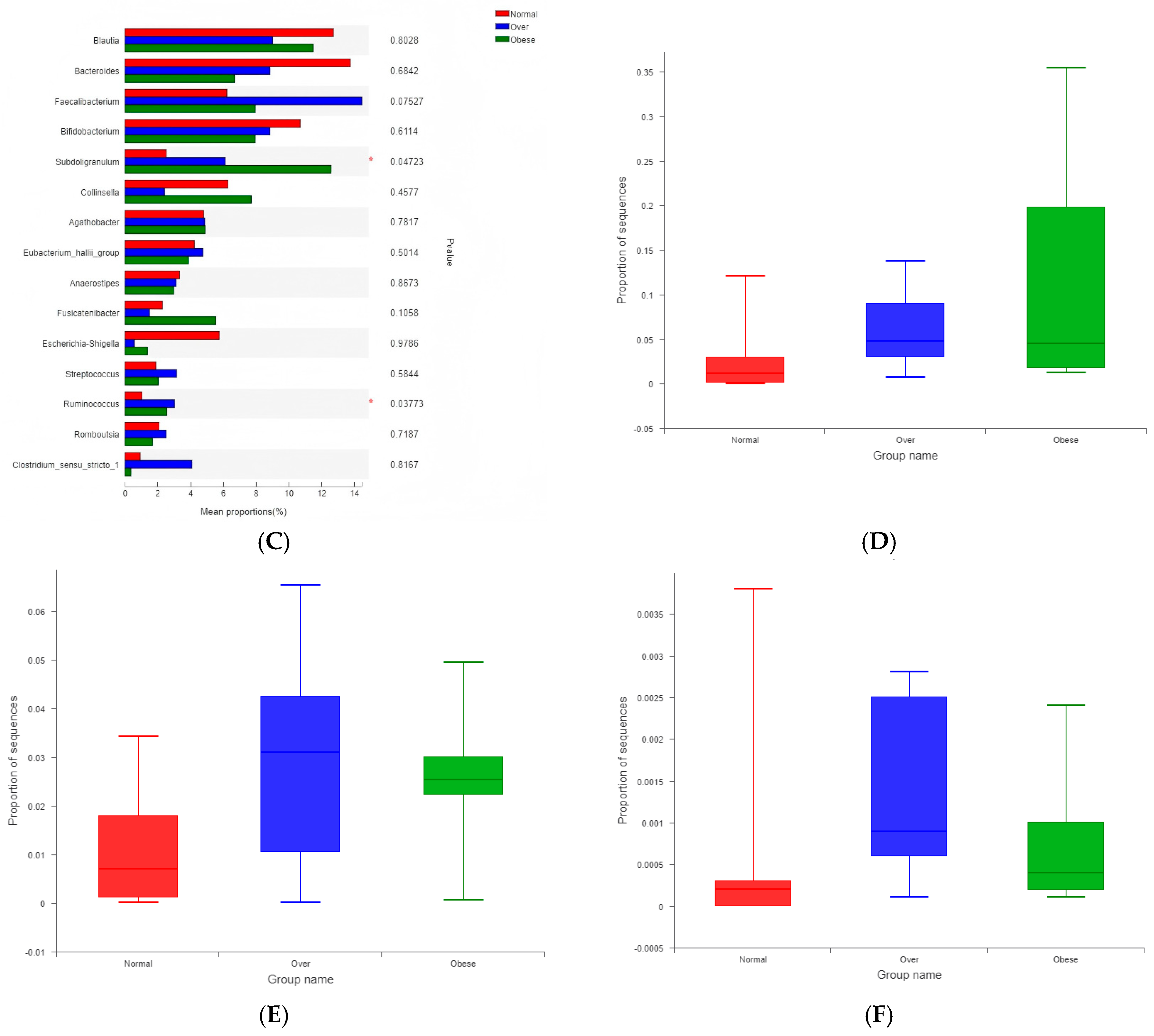
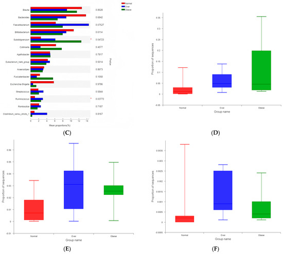
3.3. Analysis of Intergroup Differences in Microbial Abundance
3.3.1. Differential Abundance Testing
3.3.2. LEfSe Analysis
3.4. Differential Abundance of KEGG Functional Pathways
3.5. AhR Link Between Tryptophan Metabolites and Childhood Obesity
3.6. PPARG Link Between Thiamine Metabolism and Childhood Obesity
4. Discussion
5. Conclusions
Author Contributions
Funding
Institutional Review Board Statement
Informed Consent Statement
Data Availability Statement
Conflicts of Interest
References
- Tu, C.; Pan, Q.; Jiang, C.; Tu, Y.; Zhang, S. Trends and predictions in the physical shape of Chinese preschool children from 2000 to 2020. Front. Public Health 2023, 11, 1148415. [Google Scholar] [CrossRef] [PubMed]
- Zhou, Y.; Yu, P.; Zhang, Y.; Wang, T.; Wang, A. Distinct patterns of urban-rural and sex disparities in children’s bmi trajectories from 2013 to 2018. Front. Public Health 2021, 9, 689021. [Google Scholar] [CrossRef]
- The State Council Information Office of the People’s Republic of China. Report on Nutrition and Chronic Diseases of Chinese Residents (2020) [EB/OL]. 23 December 2020. Available online: http://www.scio.gov.cn/xwfb/gwyxwbgsxwfbh/wqfbh_2284/2020n_4408/2020n12y23rsw/ (accessed on 20 September 2025).
- Kelsey, M.M.; Zaepfel, A.; Bjornstad, P.; Nadeau, K.J. Age-related consequences of childhood obesity. Gerontology 2014, 60, 222–228. [Google Scholar] [CrossRef]
- Tzounakou, A.M.; Stathori, G.; Paltoglou, G.; Valsamakis, G.; Mastorakos, G.; Vlahos, N.F.; Charmandari, E. Childhood obesity, hypothalamic inflammation, and the onset of puberty: A narrative review. Nutrients 2024, 16, 1720. [Google Scholar] [CrossRef]
- Mechanick, K.I.; Hurley, D.L.; Timothy Garvey, W.T. Adiposity-based chronic disease as a new diagnostic term: The American Association of Clinical Endocrinologists and American College of Endocrinology position statement. Endocr. Pract. 2017, 23, 372–378. [Google Scholar] [CrossRef]
- Shi, C.; Li, H.; Qu, X.; Huang, L.; Kong, C.; Qin, H.; Sun, Z.; Yan, X. High fat diet exacerbates intestinal barrier dysfunction and changes gut microbiota in intestinal-specific ACF7 knockout mice. Biomed. Pharmacother. 2019, 110, 537–545. [Google Scholar] [CrossRef]
- Luthold, R.V.; Fernandes, G.R.; Franco-de-Moraes, A.C.; Folchetti, L.G.; Ferreira, S.R. Gut microbiota interactions with the immunomodulatory role of vitamin D in normal individuals. Metab. Clin. Exp. 2017, 69, 76–86. [Google Scholar] [CrossRef]
- Wolowczuk, I.; Verwaerde, C.; Viltart, O.; Delanoye, A.; Delacre, M.; Pot, B.; Grangette, C. Feeding our immune system: Impact on metabolism. Clin. Dev. Immunol. 2008, 2008, 639803. [Google Scholar] [CrossRef]
- Angelakis, E.; Armougom, F.; Million, M.; Raoult, D. The relationship between gut microbiota and weight gain in humans. Future Microbiol. 2012, 7, 91–109. [Google Scholar] [CrossRef] [PubMed]
- Bervoets, L.; Van Hoorenbeeck, K.; Kortleven, I.; Van Noten, C.; Hens, N.; Vael, C.; Goossens, H.; Desager, K.N.; Vankerckhoven, V. Differences in gut microbiota composition between obese and lean children: A cross-sectional study. Gut Pathog. 2013, 5, 10. [Google Scholar] [CrossRef] [PubMed]
- Stanislawski, M.A.; Dabelea, D.; Wagner, B.D.; Iszatt, N.; Dahl, C.; Sontag, M.K.; Knight, R.; Lozupone, C.A.; Eggesbø, M. Gut microbiota in the first 2 years of life and the association with body mass index at age 12 in a Norwegian birth cohort. mBio 2018, 9, e01751-18. [Google Scholar] [CrossRef]
- Ridaura, V.K.; Faith, J.J.; Rey, F.E.; Cheng, J.; Duncan, A.E.; Kau, A.L.; Griffin, N.W.; Lombard, V.; Henrissat, B.; Bain, J.R.; et al. Gut microbiota from twins discordant for obesity modulate metabolism in mice. Science 2013, 341, 1241214. [Google Scholar] [CrossRef]
- Attaye, I.; Pinto-Sietsma, S.J.; Herrema, H.; Nieuwdorp, M. A crucial role for diet in the relationship between gut microbiota and cardiometabolic disease. Annu. Rev. Med. 2020, 71, 149–161. [Google Scholar] [CrossRef]
- Flint, H.J.; Duncan, S.H.; Scott, K.P.; Louis, P. Links between diet, gut microbiota composition and gut metabolism. Proc. Nutr. Soc. 2015, 74, 13–22. [Google Scholar] [CrossRef]
- Wang, Y.; Chen, G.C.; Wang, Z.; Luo, K.; Zhang, Y.; Li, Y.; McClain, A.C.; Jankowska, M.M.; Perreira, K.M.; Mattei, J.; et al. Dietary acculturation is associated with altered gut microbiome, circulating metabolites, and cardiovascular disease risk in US Hispanics and Latinos: Results from HCHS/SOL. Circulation 2024, 150, 215–229. [Google Scholar] [CrossRef]
- Wang, Y.; Dai, Y.; Tian, T.; Zhang, J.; Xie, W.; Pan, D.; Xu, D.; Lu, Y.; Wang, S.; Xia, H.; et al. The effects of dietary pattern on metabolic syndrome in Jiangsu Province of China: Based on a nutrition and diet investigation project in Jiangsu Province. Nutrients 2021, 13, 4451. [Google Scholar] [CrossRef]
- Chen, P.; Wang, D.; Shen, H.; Yu, L.; Gao, Q.; Mao, L.; Jiang, F.; Luo, Y.; Xie, M.; Zhang, Y.; et al. Physical activity and health in Chinese children and adolescents: Expert consensus statement. Br. J. Sports Med. 2020, 54, 1321–1331. [Google Scholar] [CrossRef] [PubMed]
- Swer, N.M.; Venkidesh, B.S.; Murali, T.S.; Mumbrekar, K.D. Gut microbiota-derived metabolites and their importance in neurological disorders. Mol. Biol. Rep. 2023, 50, 1663–1675. [Google Scholar] [CrossRef] [PubMed]
- Wang, Z.; Zhou, Z.; Zhao, Z.; Zhang, J.; Zhang, S.; Li, L.; Fan, Y.; Li, Q. A network toxicology and machine learning approach to investigate the mechanism of kidney injury from melamine and cyanuric acid co-exposure. Ecotoxicol. Environ. Saf. 2025, 293, 118029. [Google Scholar] [CrossRef]
- Lindefeldt, M.; Eng, A.; Darban, H.; Bjerkner, A.; Zetterström, C.K.; Allander, T.; Andersson, B.; Borenstein, E.; Dahlin, M.; Prast-Nielsen, S.; et al. The ketogenic diet influences taxonomic and functional composition of the gut microbiota in children with severe epilepsy. NPJ Biofilms Microbiomes 2019, 5, 5. [Google Scholar] [CrossRef] [PubMed]
- Depommier, C.; Everard, A.; Druart, C.; Plovier, H.; Van Hul, M.; Vieira-Silva, S.; Falony, G.; Raes, J.; Maiter, D.; Delzenne, N.M.; et al. Supplementation with Akkermansia muciniphila in overweight and obese human volunteers: A proof-of-concept exploratory study. Nat. Med. 2019, 25, 1096–1103. [Google Scholar] [CrossRef]
- Zhu, C.; Sawrey-Kubicek, L.; Beals, E.; Rhodes, C.H.; Houts, H.E.; Sacchi, R.; Zivkovic, A.M. Human gut microbiome composition and tryptophan metabolites were changed differently by fast food and Mediterranean diet in 4 days: A pilot study. Nutr. Res. 2020, 77, 62–72. [Google Scholar] [CrossRef]
- WS/T 586-2018; Screening for Overweight and Obesity in School-Aged Children and Adolescents. National Health Commission of the People’s Republic of China: Beijing, China, 2018. Available online: https://www.nhc.gov.cn/ewebeditor/uploadfile/2018/03/20180330094031236.pdf (accessed on 2 September 2025).
- Douglas, G.M.; Maffei, V.J.; Zaneveld, J.R.; Yurgel, S.N.; Brown, J.R.; Taylor, C.M.; Huttenhower, C.; Langille, M.G.I. PICRUSt2 for prediction of metagenome functions. Nat. Biotechnol. 2020, 38, 685–688. [Google Scholar] [CrossRef] [PubMed]
- Xia, Y.; Lu, L.; Wang, L.; Qiu, Y.; Liu, X.; Ge, W. Multi-omics analyses reveal altered gut microbial thiamine production in obesity. Front. Microbiol. 2025, 16, 1516393. [Google Scholar] [CrossRef]
- Huang, T.; Song, J.; Gao, J.; Cheng, J.; Xie, H.; Zhang, L.; Wang, Y.H.; Gao, Z.; Wang, Y.; Wang, X.; et al. Adipocyte-derived kynurenine promotes obesity and insulin resistance by activating the AhR/STAT3/IL-6 signaling. Nat. Commun. 2022, 13, 3489. [Google Scholar] [CrossRef] [PubMed]
- Beaumont, M.; Neyrinck, A.M.; Olivares, M.; Rodriguez, J.; de Rocca Serra, A.; Roumain, M.; Bindels, L.B.; Cani, P.D.; Evenepoel, P.; Muccioli, G.G.; et al. The gut microbiota metabolite indole alleviates liver inflammation in mice. FASEB J. 2018, 32, 6681. [Google Scholar] [CrossRef]
- Zhang, C.; Li, X.; Gao, D.; Zhu, H.; Wang, S.; Tan, B.; Yang, A. Network pharmacology and experimental validation of the anti-inflammatory effect of tingli dazao xiefei decoction in acute lung injury treatment. J. Inflamm. Res. 2023, 16, 6195–6209. [Google Scholar] [CrossRef]
- Lee, K.N.; Lee, O.Y. Intestinal microbiota in pathophysiology and management of irritable bowel syndrome. World J. Gastroenterol. 2014, 20, 8886–8897. Available online: https://pmc.ncbi.nlm.nih.gov/articles/PMC4112865/ (accessed on 2 September 2025). [CrossRef]
- Le Chatelier, E.; Nielsen, T.; Qin, J.; Prifti, E.; Hildebrand, F.; Falony, G.; Almeida, M.; Arumugam, M.; Batto, J.M.; Kennedy, S.; et al. Richness of human gut microbiome correlates with metabolic markers. Nature 2013, 500, 541–546. [Google Scholar] [CrossRef] [PubMed]
- Riva, A.; Borgo, F.; Lassandro, C.; Verduci, E.; Morace, G.; Borghi, E.; Berry, D. Pediatric obesity is associated with an altered gut microbiota and discordant shifts in Firmicutes populations. Environ. Microbiol. 2017, 19, 95–105. [Google Scholar] [CrossRef]
- Lin, S.W.; Freedman, N.D.; Shi, J.; Gail, M.H.; Vogtmann, E.; Yu, G.; Klepac-Ceraj, V.; Paster, B.J.; Dye, B.A.; Wang, G.Q.; et al. Beta-diversity metrics of the upper digestive tract microbiome are associated with body mass index. Obesity 2015, 23, 862–869. [Google Scholar] [CrossRef]
- Wang, J.; Zhuang, P.; Lin, B.; Li, H.; Zheng, J.; Tang, W.; Ye, W.; Chen, X.; Zheng, M. Gut microbiota profiling in obese children from Southeastern China. BMC Pediatr. 2024, 24, 193. [Google Scholar] [CrossRef]
- Danielsen, M.; Hornshøj, H.; Siggers, R.H.; Jensen, B.B.; van Kessel, A.G.; Bendixen, E. Effects of bacterial colonization on the porcine intestinal proteome. J. Proteome Res. 2007, 6, 2596–2604. [Google Scholar] [CrossRef]
- Turnbaugh, P.J.; Ley, R.E.; Mahowald, M.A.; Magrini, V.; Mardis, E.R.; Gordon, J.I. An obesity-associated gut microbiome with increased capacity for energy harvest. Nature 2006, 444, 1027–1031. [Google Scholar] [CrossRef] [PubMed]
- Overstreet, A.C.; Grayson, B.E.; Boger, A.; Bakke, D.; Carmody, E.M.; Bales, C.E.; Paski, S.C.; Murphy, S.F.; Dethlefs, C.R.; Shannon, K.J.; et al. Gastrokine-1, an anti-amyloidogenic protein secreted by the stomach, regulates diet-induced obesity. Sci. Rep. 2021, 11, 9477. [Google Scholar] [CrossRef]
- Ley, R.E.; Bäckhed, F.; Turnbaugh, P.; Lozupone, C.A.; Knight, R.D.; Gordon, J.I. Obesity alters gut microbial ecology. Proc. Natl. Acad. Sci. USA 2005, 102, 11070–11075. [Google Scholar] [CrossRef] [PubMed]
- Ahmed, K.; Choi, H.N.; Cho, S.R.; Yim, J.E. Association of firmicutes/bacteroidetes ratio with body mass index in Korean type 2 diabetes mellitus patients. Metabolites 2024, 14, 518. [Google Scholar] [CrossRef] [PubMed]
- Koliada, A.; Syzenko, G.; Moseiko, V.; Budovska, L.; Puchkov, K.; Perederiy, V.; Gavalko, Y.; Dorofeyev, A.; Romanenko, M.; Tkach, S.; et al. Association between body mass index and Firmicutes/Bacteroidetes ratio in an adult Ukrainian population. BMC Microbiol. 2017, 17, 120. [Google Scholar] [CrossRef]
- Fernandes, J.; Su, W.; Rahat-Rozenbloom, S.; Wolever, T.M.; Comelli, E.M. Adiposity, gut microbiota and faecal short chain fatty acids are linked in adult humans. Nutr. Diabetes 2014, 4, e121. [Google Scholar] [CrossRef]
- Kim, K.N.; Yao, Y.; Ju, S.Y. Short chain fatty acids and fecal microbiota abundance in humans with obesity: A systematic review and meta-analysis. Nutrients 2019, 11, 2512. [Google Scholar] [CrossRef]
- Schwiertz, A.; Taras, D.; Schäfer, K.; Beijer, S.; Bos, N.A.; Donus, C.; Hardt, P.D. Microbiota and SCFA in lean and overweight healthy subjects. Obesity 2010, 18, 190–195. [Google Scholar] [CrossRef]
- Collado, M.C.; Isolauri, E.; Laitinen, K.; Salminen, S. Distinct composition of gut microbiota during pregnancy in overweight and normal-weight women. Am. J. Clin. Nutr. 2008, 88, 894–899. [Google Scholar] [CrossRef]
- Palmas, V.; Pisanu, S.; Madau, V.; Casula, E.; Deledda, A.; Cusano, R.; Uva, P.; Vascellari, S.; Loviselli, A.; Manzin, A.; et al. Gut microbiota markers associated with obesity and overweight in Italian adults. Sci. Rep. 2021, 11, 5532. [Google Scholar] [CrossRef]
- Deng, T.; Lyon, C.J.; Bergin, S.; Caligiuri, M.A.; Hsueh, W.A. Obesity, inflammation, and cancer. Annu. Rev. Pathol. 2016, 11, 421–449. [Google Scholar] [CrossRef]
- Ellulu, M.S.; Patimah, I.; Khaza’ai, H.; Rahmat, A.; Abed, Y. Obesity and inflammation: The linking mechanism and the complications. Arch. Med. Sci. 2017, 13, 851–863. [Google Scholar] [CrossRef]
- Lasselin, J.; Capuron, L. Chronic low-grade inflammation in metabolic disorders: Relevance for behavioral symptoms. Neuroimmunomodulation 2014, 21, 95–101. [Google Scholar] [CrossRef] [PubMed]
- Agus, A.; Planchais, J.; Sokol, H. Gut microbiota regulation of tryptophan metabolism in health and disease. Cell Host Microbe 2018, 23, 716–724. [Google Scholar] [CrossRef] [PubMed]
- Cussotto, S.; Delgado, I.; Anesi, A.; Dexpert, S.; Aubert, A.; Beau, C.; Forestier, D.; Ledaguenel, P.; Magne, E.; Mattivi, F.; et al. Tryptophan metabolic pathways are altered in obesity and are associated with systemic inflammation. Front. Immunol. 2020, 11, 557. [Google Scholar] [CrossRef]
- Hubbard, T.D.; Murray, I.A.; Perdew, G.H. Indole and Tryptophan Metabolism: Endogenous and Dietary Routes to Ah Receptor Activation. Drug Metab. Dispos. Biol. Fate Chem. 2015, 43, 1522–1535. [Google Scholar] [CrossRef]
- Ye, X.; Li, H.; Anjum, K.; Zhong, X.; Miao, S.; Zheng, G.; Liu, W.; Li, L. Dual role of indoles derived from intestinal microbiota on human health. Front. Immunol. 2022, 13, 903526. [Google Scholar] [CrossRef] [PubMed]
- Brown, G. Defects of thiamine transport and metabolism. J. Inherit. Metab. Dis. 2014, 37, 577–585. [Google Scholar] [CrossRef] [PubMed]
- Ortigoza-Escobar, J.D.; Molero-Luis, M.; Arias, A.; Martí-Sánchez, L.; Rodriguez-Pombo, P.; Artuch, R.; Pérez-Dueñas, B. Treatment of genetic defects of thiamine transport and metabolism. Expert Rev. Neurother. 2016, 16, 755–763. [Google Scholar] [CrossRef] [PubMed]
- Ijoma, G.N.; Nkuna, R.; Mutungwazi, A.; Rashama, C.; Matambo, T.S. Applying PICRUSt and 16S rRNA functional characterisation to predicting co-digestion strategies of various animal manures for biogas production. Sci. Rep. 2021, 11, 19913. [Google Scholar] [CrossRef] [PubMed]









| Age (Years) | Boys | Girls | ||
|---|---|---|---|---|
| Overweight | Obesity | Overweight | Obesity | |
| 8.5–8.9 | 18.1 | 20.3 | 18.1 | 19.9 |
| 9.0–9.9 | 18.5 | 20.8 | 18.5 | 20.4 |
| Group | n | Age (Years, Mean ± SD) | Gender (M/F) |
|---|---|---|---|
| Normal | 15 | 8.63 ± 0.30 | 8/7 |
| Overweight | 8 | 8.69 ± 0.26 | 3/5 |
| Obese | 5 | 8.70 ± 0.27 | 3/2 |
| p-value | 0.858 * | 0.775 ** |
| Group | Shannon (Mean ± SD) | Simpson (Mean ± SD) | Ace (Mean ± SD) | Chao (Mean ± SD) |
|---|---|---|---|---|
| Normal | 3.12 ± 0.53 | 0.12 ± 0.12 | 251.12 ± 34.86 | 253.32 ± 41.60 |
| Overweight | 3.47 ± 0.37 | 0.06 ± 0.03 | 258.24 ± 33.55 | 266.16 ± 41.19 |
| Obese | 3.34 ± 0.23 | 0.08 ± 0.03 | 247.95 ± 47.74 | 249.86 ± 47.86 |
| Gene Symbol | Gene ID | Description |
|---|---|---|
| NR1I2 | 8856 | Nuclear Receptor Subfamily 1 Group I Member 2 |
| ABCB1 | 5243 | ATP Binding Cassette Subfamily B Member 1 |
| AhR | 196 | Aryl Hydrocarbon Receptor |
| CYP3A4 | 1576 | Cytochrome P450 Family 3 Subfamily A Member 4 |
| EPO | 2056 | Erythropoietin |
| ARNT | 405 | Aryl Hydrocarbon Receptor Nuclear Translocator |
| CAT | 847 | Catalase |
| CYP2A6 | 1548 | Cytochrome P450 Family 2 Subfamily A Member 6 |
| MC1R | 4157 | Melanocortin 1 Receptor |
| MC3R | 4159 | Melanocortin 3 Receptor |
| MC4R | 4160 | Melanocortin 4 Receptor |
| MC5R | 4161 | Melanocortin 5 Receptor |
| PTGES | 9536 | Prostaglandin E Synthase |
| Gene Symbol | Gene ID | Description |
|---|---|---|
| CYP1A1 | 1543 | Cytochrome P450 Family 1 Subfamily A Member 1 |
| MAPT | 4137 | Microtubule Associated Protein Tau |
| AhR | 196 | Aryl Hydrocarbon Receptor |
| APP | 351 | Amyloid Beta Precursor Protein |
| IFNG | 3458 | Interferon Gamma |
| CYP1B1 | 1545 | Cytochrome P450 Family 1 Subfamily B Member 1 |
| IGFBP1 | 3484 | Insulin Like Growth Factor Binding Protein 1 |
| PRL | 5617 | Prolactin |
| KMO | 8564 | Kynurenine 3-Monooxygenase |
| PRKN | 5071 | Parkin RBR E3 Ubiquitin Protein Ligase |
| PSEN1 | 5663 | Presenilin 1 |
| SLC2A4 | 6517 | Solute Carrier Family 2 Member 4 |
| IDO1 | 3620 | Indoleamine 2,3-Dioxygenase 1 |
| KYNU | 8942 | Kynureninase |
| Gene Symbol | Gene ID | Description |
|---|---|---|
| MAPT | 4137 | Microtubule Associated Protein Tau |
| SLC19A3 | 80704 | Solute Carrier Family 19 Member 3 |
| NFE2L2 | 4780 | NFE2 Like BZIP Transcription Factor 2 |
| NQO1 * | 1728 | NAD(P)H Quinone Dehydrogenase 1 |
| HMOX1 | 3162 | Heme Oxygenase 1 |
| IL1B | 3553 | Interleukin 1 Beta |
| PTGS2 * | 5743 | Prostaglandin-Endoperoxide Synthase 2 |
| SLC19A2 | 10560 | Solute Carrier Family 19 Member 2 |
| AQP7 # | 364 | Aquaporin 7 |
| BCL2 | 596 | BCL2 Apoptosis Regulator |
| GCLM * | 2730 | Glutamate-Cysteine Ligase Modifier Subunit |
| CKM | 1158 | Creatine Kinase, M-Type |
| FABP4 # | 2167 | Fatty Acid Binding Protein 4 |
| NOS2 * | 4843 | Nitric Oxide Synthase 2 |
| TKT * | 7086 | Transketolase |
| TNF | 7124 | Tumor Necrosis Factor |
| ACHE * | 43 | Acetylcholinesterase (Yt Blood Group) |
| AKT1 | 207 | AKT Serine/Threonine Kinase 1 |
| BAX | 581 | BCL2 Associated X, Apoptosis Regulator |
| BCHE * | 590 | Butyrylcholinesterase |
| CAT * | 847 | Catalase |
| CKB * | 1152 | Creatine Kinase B |
| CYP2E1 * | 1571 | Cytochrome P450 Family 2 Subfamily E Member 1 |
| GSR * | 2936 | Glutathione-Disulfide Reductase |
| IL6 | 3569 | Interleukin 6 |
| LHB | 3972 | Luteinizing Hormone Subunit Beta |
| PPARG # | 5468 | Peroxisome Proliferator Activated Receptor Gamma |
| SQSTM1 | 8878 | Sequestosome 1 |
| TLR4 # | 7099 | Toll Like Receptor 4 |
| TNNT2 | 7139 | Troponin T2, Cardiac Type |
| CASP1 | 834 | Caspase 1 |
| CASP3 | 836 | Caspase 3 |
| GSDMD | 79792 | Gasdermin D |
| HAVCR1 | 26762 | Hepatitis A Virus Cellular Receptor 1 |
| KCNH2 | 3757 | Potassium Voltage-Gated Channel Subfamily H Member 2 |
| MYC | 4609 | MYC Proto-Oncogene, BHLH Transcription Factor |
| NLRP3 | 114548 | NLR Family Pyrin Domain Containing 3 |
| PPARGC1A | 10891 | PPARG Coactivator 1 Alpha |
| RELA | 5970 | RELA Proto-Oncogene, NF-KB Subunit |
| SLC2A2 | 6514 | Solute Carrier Family 2 Member 2 |
| SOD1 * | 6647 | Superoxide Dismutase 1 |
| STAR | 6770 | Steroidogenic Acute Regulatory Protein |
| TGFB1 | 7040 | Transforming Growth Factor Beta 1 |
| TXN | 7295 | Thioredoxin |
Disclaimer/Publisher’s Note: The statements, opinions and data contained in all publications are solely those of the individual author(s) and contributor(s) and not of MDPI and/or the editor(s). MDPI and/or the editor(s) disclaim responsibility for any injury to people or property resulting from any ideas, methods, instructions or products referred to in the content. |
© 2025 by the authors. Licensee MDPI, Basel, Switzerland. This article is an open access article distributed under the terms and conditions of the Creative Commons Attribution (CC BY) license (https://creativecommons.org/licenses/by/4.0/).
Share and Cite
Zhou, R.; Zhu, M.; Chen, M. Gut Microbiota Dysbiosis and Toxic Metabolite Pathways Linked to Childhood Obesity in Eastern China. Toxics 2025, 13, 929. https://doi.org/10.3390/toxics13110929
Zhou R, Zhu M, Chen M. Gut Microbiota Dysbiosis and Toxic Metabolite Pathways Linked to Childhood Obesity in Eastern China. Toxics. 2025; 13(11):929. https://doi.org/10.3390/toxics13110929
Chicago/Turabian StyleZhou, Ruijing, Mengyuan Zhu, and Minjian Chen. 2025. "Gut Microbiota Dysbiosis and Toxic Metabolite Pathways Linked to Childhood Obesity in Eastern China" Toxics 13, no. 11: 929. https://doi.org/10.3390/toxics13110929
APA StyleZhou, R., Zhu, M., & Chen, M. (2025). Gut Microbiota Dysbiosis and Toxic Metabolite Pathways Linked to Childhood Obesity in Eastern China. Toxics, 13(11), 929. https://doi.org/10.3390/toxics13110929

