Active Moss Biomonitoring of Mercury in the Mine-Polluted Area of Abbadia San Salvatore (Mt. Amiata, Central Italy)
Abstract
1. Introduction
2. Study Area
3. Materials and Methods
- (a)
- Hgtot was analyzed with a Hydra-C Mercury Analyzer instrument (Teledyne Instruments Leeman Labs Inc., Hudson, New Hampshire, USA) based on the 7473 U.S. EPA method [44]. This method allows the determination of the Hg content by operating directly on the solid sample, avoiding losses or contamination. Mercury is released from the matrix by thermal decomposition, oxidized and separated from the other components, and subsequently trapped in a gold amalgam from which it is determined. Each sample was analyzed 5 times to verify the analytical reproducibility (SD ranging from 5 to 10%). Median blank values were subtracted from the median values of the samples;
- (b)
- Arsenic and Sb were analyzed by ICP-MS (Agilent 7500-ce, Agilent, Santa Clara, CA, USA) after Closed-Vessel Acid Digestion of c.a. 0.25 g of dry powder in a microwave oven (CEM MARS Xpress, CEM Corporation, Matthews, NC, United States) using Teflon vessels with 3 mL concentrated HNO3 (ultrapure grade 65%), 2 mL H2O2 (ultrapure 39%) and 5 mL of MilliQ water with HNO3:H2O2 (2:1 ratio) [17]. The reliability and accuracy of As and Sb results were checked by analyzing four certified reference materials (certified leaves: NIST 1515, NCS DC 73,349, NCS DC 73,350, and NCS DC 73,351), and quality control was assessed by comparing obtained results with the certified values. The recovery values, i.e., the difference in percentage between measured and certified values for each element, were around 100 ± 10%. The same technique was also applied to determine the vanadium content that was then used as a reference metal in the calculation of the Hg, As, and Sb Enrichment Factor (EF, i.e., a parameter to evaluate the origin of the elements trapped by the mosses; cf. Section 4).
4. Results
5. Discussion
6. Conclusions
Supplementary Materials
Author Contributions
Funding
Institutional Review Board Statement
Informed Consent Statement
Data Availability Statement
Acknowledgments
Conflicts of Interest
References
- Barago, N.; Floreani, F.; Acquavita, A.; Esbrí, J.M.; Covelli, S.; Higueras, P. Spatial and Temporal Trends of Gaseous Elemental Mercury Over a Highly Impacted Coastal Environment (Northern Adriatic, Italy). Atmosphere 2020, 11, 935. [Google Scholar] [CrossRef]
- Floreani, F.; Barago, N.; Acquavita, A.; Covelli, S.; Skert, N.; Higueras, P. Spatial Distribution and Biomonitoring of Atmospheric Mercury Concentrations over a Contaminated Coastal Lagoon (Northern Adriatic, Italy). Atmosphere 2020, 11, 1280. [Google Scholar] [CrossRef]
- Esbrí, J.M.; Higueras, P.L.; Martínez-Coronado, A.; Naharro, R. 4D Dispersion of Total Gaseous Mercury Derived from a Mining Source: Identification of Criteria to Assess Risks Related to High Concentrations of Atmospheric Mercury. Atmos. Chem. Phys. 2020, 20, 12995–13010. [Google Scholar] [CrossRef]
- Bagnato, E.; Aiuppa, A.; Parello, F.; Allard, P.; Liuzzo, M.; Giudice, G.; Shinohara, H. New Clues on Mercury Contribution from Earth Volcanism. Bull. Volcanol. 2011, 73, 497–510. [Google Scholar] [CrossRef]
- Tassi, F.; Cabassi, J.; Calabrese, S.; Nisi, B.; Venturi, S.; Capecchiacci, F.; Giannini, L.; Vaselli, O. Diffuse soil gas emissions of gaseous elemental mercury (GEM) from hydrothermal-volcanic systems: An innovative approach by using the static closed-chamber method. Appl. Geochem. 2016, 66, 234–241. [Google Scholar] [CrossRef]
- Gagliano, A.L.; Calabrese, S.; Daskalopoulou, K.; Cabassi, J.; Capecchiacci, F.; Tassi, F.; Bellomo, S.; Brusca, L.; Bonsignore, M.; Milazzo, S.; et al. Degassing and Cycling of Mercury at Nisyros Volcano (Greece). Geofluids 2019, 2019, 4783514. [Google Scholar] [CrossRef]
- World Health Organization (WHO). Chapter 6.9 Mercury. In Air Quality Guidelines, 2nd ed.; WHO Regional Office for Europe: Copenhagen, Denmark, 2000. [Google Scholar]
- World Health Organization (WHO). Exposure to Mercury: A Major Public Health Concern; World Health Organization and United Nations Environment Programme: Geneva, Switzerland, 2007. [Google Scholar]
- Driscoll, C.T.; Mason, R.P.; Chan, H.M.; Jacob, D.J.; Pirrone, N. Mercury as a Global Pollutant: Sources, Pathways, and Effects. Environ. Sci. Technol. 2013, 47, 4967–4983. [Google Scholar] [CrossRef] [PubMed]
- Navarro, A.; Cardellach, E.; Corbella, M. Mercury mobility in mine waste from Hg-mining areas in Almería, Andalusia (Se Spain). J. Geochem. Explor. 2009, 101, 236–246. [Google Scholar] [CrossRef]
- Fantozzi, L.; Ferrara, R.; Dini, F.; Tamburello, L.; Sprovieri, F. Study on the Reduction of Atmospheric Mercury Emissions from Mine Waste Enriched Soils through Native Grass Cover in the Mt. Amiata Region of Italy. Environ. Res. 2013, 125, 69–74. [Google Scholar] [CrossRef]
- UNEP. Minamata Convention on Mercury. Text and Annexes; United Nations Environment Programme: Nairobi, Kenya, 2013. [Google Scholar]
- Bank, M.S.; Vignati, D.A.; Vigon, B. United Nations Environment Programme’s Global Mercury Partnership: Science for Successful Implementation of the Minamata Convention. Environ. Toxicol. Chem. 2014, 33, 1199–1201. [Google Scholar] [CrossRef]
- Gustin, M.S.; Evers, D.C.; Bank, M.S.; Evers, D.C.; Hammerschmidt, C.R.; Pierce, M.A.; Selin, N.E.; Sheffeld, T. Importance of integration and implementation of emerging and future mercury research into the Minamata Convention. Environ. Sci. Technol. 2016, 50, 2767–2770. [Google Scholar] [CrossRef] [PubMed]
- European Environment Agency (EEA). Air Quality in Europe—2020 Report; Publications Office of the European Union: Luxembourg, 2020. [Google Scholar]
- Arndt, J.; Calabrese, S.; D’Alessandro, W.; Planer-Friedrich, B. Using mosses as biomonitors to study trace element emissions and their distribution in six different volcanic areas. J. Volcanol. Geoth. Res. 2017, 343, 220–232. [Google Scholar] [CrossRef]
- Calabrese, S.; D’Alessandro, W.; Bellomo, S.; Brusca, L.; Martin, R.S.; Saiano, F.; Parello, F. Characterization of the Etna Volcanic Emissions through an Active Biomonitoring Technique (Moss-Bags): Part 1–Major and Trace Element Composition. Chemosphere 2015, 119, 1447–1455. [Google Scholar] [CrossRef]
- Ares, A.; Aboal, J.R.; Carballeira, A.; Giordano, S.; Adamo, P.; Fernández, J.A. Moss bag biomonitoring: A Methodological Review. Sci. Total Environ. 2012, 432, 143–158. [Google Scholar] [CrossRef] [PubMed]
- Adamo, P.; Crisafulli, P.; Giordano, S.; Minganti, V.; Modenesi, P.; Monaci, F.; Pittao, E.; Tretiach, M.; Bargagli, R. Lichen and Moss Bags as Monitoring Devices in Urban Areas. Part II: Trace Element Content in Living and Dead Biomonitors and Comparison with Synthetic Materials. Environ. Pollut. 2007, 146, 392–399. [Google Scholar] [CrossRef] [PubMed]
- Calabrese, S.; D’Alessandro, W. Characterization of the Etna Volcanic Emissions through an Active Biomonitoring Technique (Moss-Bags): Part 2–Morphological and Mineralogical Features. Chemosphere 2015, 119, 1456–1464. [Google Scholar] [CrossRef]
- Fernandez, J.A.; Aboal, J.R.; Carballeira, A. Use of Native and Transplanted Mosses as Complementary Techniques for Biomon-itoring Mercury around an Industrial Facility. Sci. Total Environ. 2000, 256, 151–161. [Google Scholar] [CrossRef] [PubMed]
- Zhou, X.; Chen, Q.; Liu, C.; Fang, Y. Using moss to assess airborne heavy metal pollution in Taizhou, China. Int. J. Environ. Res. Public Health 2017, 14, 430. [Google Scholar] [CrossRef] [PubMed]
- Loppi, S.; Bonini, I. Lichens and mosses as biomonitors of trace elements in areas with thermal springs and fumarole activity (Mt. Amiata, central Italy). Chemosphere 2000, 41, 1333–1336. [Google Scholar] [CrossRef]
- Ciani, F.; Fornasaro, S.; Benesperi, R.; Bianchi, E.; Cabassi, J.; Di Nuzzo, L.; Rimondi, V. Mercury Accumulation Efficiency of Different Biomonitors in Indoor Environments: The Case Study of the Central Italian Herbarium (Florence, Italy). Environ. Sci. Pollut. Res. 2023, 30, 124232–124244. [Google Scholar] [CrossRef] [PubMed]
- Miteva, I.; Higueras, P.; Esbri, J.M. Mercury biomonitoring with moss from the Almadén Mining District, South Central Spain. J. Min. Geol. Sci. 2017, 60, 138–141. [Google Scholar]
- Vaselli, O.; Higueras, P.; Nisi, B.; Esbrí, J.M.; Cabassi, J.; Martínez-Coronado, A.; Tassi, F.; Rappuoli, D. Distribution of Gaseous Hg in the Mercury Mining District of Mt. Amiata (Central Italy): A Geochemical Survey Prior to the Reclamation Project. Environ. Res. 2013, 125, 179–187. [Google Scholar] [CrossRef] [PubMed]
- Vaselli, O.; Nisi, B.; Rappuoli, D.; Cabassi, J.; Tassi, F. Gaseous Elemental Mercury and Total and Leached Mercury in Building Materials from the Former Hg-Mining Area of Abbadia San Salvatore (Central Italy). Int. J. Environ. Res. Public Health 2017, 14, 425. [Google Scholar] [CrossRef]
- Gustin, M.S.; Amos, H.M.; Huang, J.; Miller, M.B.; Heidecorn, K. Measuring and modeling mercury in the atmosphere: A critical review. Atmos. Chem. Phys. 2015, 15, 5697–5713. [Google Scholar] [CrossRef]
- Rimondi, V.; Chiarantini, L.; Lattanzi, P.; Benvenuti, M.; Beutel, M.; Colica, A.; Ruggieri, G. Metallogeny, Exploitation and Environmental Impact of the Mt. Amiata Mercury Ore District (Southern Tuscany, Italy). Ital. J. Geosci. 2015, 134, 323–336. [Google Scholar] [CrossRef]
- Meloni, F.; Nisi, B.; Gozzi, C.; Rimondi, V.; Cabassi, J.; Montegrossi, G.; Vaselli, O. Background and geochemical baseline values of chalcophile and siderophile elements in soils around the former mining area of Abbadia San Salvatore (Mt. Amiata, southern Tuscany, Italy). J. Geochem. Explor. 2023, 255, 107324. [Google Scholar] [CrossRef]
- Meloni, F.; Farieri, A.; Higueras, P.L.; Esbrí, J.M.; Nisi, B.; Cabassi, J.; Vaselli, O. Mercury distribution in plants and soils from the former mining area of Abbadia San Salvatore (Tuscany, Central Italy). Environ. Geochem. Health 2023, 45, 8523–8538. [Google Scholar] [CrossRef]
- Meloni, F.; Montegrossi, G.; Cabassi, J.; Bianchi, F.; Nisi, B.; Rappuoli, D.; Vaselli, O. Geochemical surveys of ground and surface waters in the abandoned Hg-mine of Abbadia San Salvatore (Central Italy): A preparatory investigation before remediation. Water 2024, 16, 1210. [Google Scholar] [CrossRef]
- McLagan, D.S.; Monaci, F.; Huang, H.; Lei, Y.D.; Mitchell, C.P.J.; Wania, F. Characterization and quantification of atmospheric mercury sources using passive air samplers. J. Geophys. Res. Atmos. 2019, 124, 2351–2362. [Google Scholar] [CrossRef]
- Cabassi, J.; Lazzaroni, M.; Giannini, L.; Mariottini, D.; Nisi, B.; Rappuoli, D.; Vaselli, O. Continuous and Near Real-Time Measurements of Gaseous Elemental Mercury (GEM) from an Unmanned Aerial Vehicle: A New Approach to Investigate the 3D Distribution of GEM in the Lower Atmosphere. Chemosphere 2022, 288, 132547. [Google Scholar] [CrossRef]
- Nisi, B.; Vaselli, O.; Tassi, F.; de Elio, J.; Ortega, M.; Caballero, J.; Mazadiego, L.F. Origin of the gases released from the Acqua Passante and Ermeta wells (Mt. Amiata, central Italy) and possible environmental implications for their closure. Ann. Geophys. 2014, 57, 0438. [Google Scholar]
- Chiarantini, L.; Rimondi, V.; Benvenuti, M.; Beutel, M.W.; Costagliola, P.; Gonnelli, C.; Paolieri, M. Black Pine (Pinus nigra) Barks as Biomonitors of Airborne Mercury Pollution. Sci. Total Environ. 2016, 569, 105–113. [Google Scholar] [CrossRef]
- Rimondi, V.; Benesperi, R.; Beutel, M.W.; Chiarantini, L.; Costagliola, P.; Lattanzi, P.; Morelli, G. Monitoring of Airborne Mercury: Comparison of Different Techniques in the Monte Amiata District, Southern Tuscany, Italy. Int. J. Environ. Res. Public Health 2020, 17, 2353. [Google Scholar] [CrossRef]
- Lattanzi, P.; Benesperi, R.; Morelli, G.; Rimondi, V.; Ruggieri, G. Biomonitoring studies in geothermal areas: A review. Front. Environ. Sci. 2020, 8, 248. [Google Scholar] [CrossRef]
- Monaci, F.; Ancora, S.; Paoli, L.; Loppi, S.; Wania, F. Lichen transplants as indicators of gaseous elemental mercury concentrations. Environ. Pollut. 2022, 313, 120189. [Google Scholar] [CrossRef] [PubMed]
- Fornasaro, S.; Ciani, F.; Nannoni, A.; Morelli, G.; Rimondi, V.; Lattanzi, P.; Costagliola, P. Tree Rings Record of Long-Term Atmospheric Hg Pollution in the Monte Amiata Mining District (Central Italy): Lessons from the Past for a Better Future. Minerals 2023, 13, 688. [Google Scholar] [CrossRef]
- Morelli, G.; Ciani, F.; Cocozza, C.; Costagliola, P.; Fagotti, C.; Friani, R.; Rimondi, V. Riparian trees in mercury-contaminated riverbanks: An important resource for sustainable remediation management. Environ. Res. 2024, 257, 119373. [Google Scholar] [CrossRef] [PubMed]
- Sholupov, S.; Pogarev, S.; Ryzhov, V.; Mashyanov, N.; Stroganov, A. Zeeman atomic absorption spectrometer RA-915+ for direct determination of mercury in air and complex matrix samples. Fuel Process. Technol. 2004, 85, 473–485. [Google Scholar] [CrossRef]
- Sholupov, S.E.; Ganeyev, A.A. Zeeman atomic absorption spectrometry using high frequency modulated light polarization. Spectrochim. Acta Part B At. Spectrosc. 1995, 50, 1227–1236. [Google Scholar] [CrossRef]
- US EPA. Method 7473—Mercury in Solids and Solutions by Thermal Decomposition, Amalgamation, and Atomic Absorption Spectrophotometry; United States Environmental Protection Agency: Washington, DC, USA, 1998.
- Kosior, G.; Samecka-Cymerman, A.; Brudzińska-Kosior, A. Transplanted moss Hylocomium splendens as a bioaccumulator of trace elements from different categories of sampling sites in the Upper Silesia Area (SW Poland): Bulk and dry deposition impact. Bull. Environ. Contam. Toxicol. 2018, 101, 479–485. [Google Scholar] [CrossRef]
- Poissant, L.; Schmit, J.P.; Beron, P. Trace inorganic elements in rainfall in the Montreal Island. Atmos. Environ. 1994, 28, 339–346. [Google Scholar] [CrossRef]
- Macedo-Miranda, G.; Avila-Pérez, P.; Gil-Vargas, P.; Zarazúa, G.; Sánchez-Meza, J.C.; Zepeda-Gómez, C.; Tejeda, S. Accumulation of heavy metals in mosses: A biomonitoring study. SpringerPlus 2016, 5, 715. [Google Scholar] [CrossRef] [PubMed]
- Huang, J.H.; Huang, F.; Evans, L.; Glasauer, S. Vanadium: Global (bio)geochemistry. Chem. Geol. 2015, 417, 68–89. [Google Scholar] [CrossRef]
- Eger, A.; Koele, N.; Caspari, T.; Poggio, M.; Kumar, K.; Burge, O.R. Quantifying the Importance of Soil-Forming Factors Using Multivariate Soil Data at Landscape Scale. J. Geophys. Res. Earth Surf. 2021, 126, e2021JF006198. [Google Scholar] [CrossRef]
- Dragovic, S.; Mihailovic, N. Analysis of Mosses and Top Soils for Detecting Sources of Heavy Metal Pollution: Multivariate and Enrichment Factor Analysis. Environ. Monit. Assess. 2009, 157, 383–390. [Google Scholar] [CrossRef]
- Zarazúa-Ortega, G.; Poblano-Bata, J.; Tejeda-Vega, S.; Avila-Pérez, P.; Zepeda-Gómez, C.; Ortiz-Oliveros, H.B.; Macedo-Miranda, G. Assessment of spatial variability of heavy metals in the metropolitan zone of Toluca Valley, Mexico using the biomonitoring technique in mosses and TXRF analysis. Sci. World J. 2013, 2013, 426492. [Google Scholar] [CrossRef] [PubMed]
- Reimann, C.; Filzmoser, P.; Hron, K.; Kynclová, P.; Garrett, R.G. A new method for correlation analysis of compositional (environmental) data—A worked example. Sci. Total Environ. 2017, 607–608, 956–971. [Google Scholar] [CrossRef] [PubMed]
- Ávila-Pérez, P.; Ortiz-Oliveros, H.B.; Zarazúa-Ortega, G.; Tejeda-Vega, S.; Villalva, A.; Sánchez-Muñoz, R. Determining of risk areas due to exposure to heavy metals in the toluca valley using epiphytic mosses as a biomonitor. J. Environ. Manag. 2019, 241, 138–148. [Google Scholar] [CrossRef]
- Protano, G.; Nannoni, F. Influence of ore processing activity on Hg, As and Sb contamination and fractionation in soils in a former mining site of Monte Amiata ore district (Italy). Chemosphere 2018, 199, 320–330. [Google Scholar] [CrossRef]
- Meloni, F.; Higueras, P.L.; Cabassi, J.; Nisi, B.; Rappuoli, D.; Vaselli, O. Thermal desorption technique to speciate mercury in carbonate, silicate, and organic-rich soils. Chemosphere 2024, 365, 143349. [Google Scholar] [CrossRef]
- Lodenius, M. Dry and wet deposition of mercury near a chlor-alkali plant. Sci. Total Environ. 1998, 213, 53–56. [Google Scholar] [CrossRef]
- González, A.G.; Pokrovsky, O.S. Metal Adsorption on Mosses: Toward a Universal Adsorption Model. J. Colloid Interface Sci. 2014, 415, 169–178. [Google Scholar] [CrossRef] [PubMed]
- Lodenius, M.; Tulisalo, E.; Soltanpour-Gargari, A. Exchange of mercury between atmosphere and vegetation under contaminated conditions. Sci. Total Environ. 2003, 304, 169–174. [Google Scholar] [CrossRef] [PubMed]
- Bargagli, R. Moss and Lichen Biomonitoring of Atmospheric Mercury: A Review. Sci. Total Environ. 2016, 572, 216–231. [Google Scholar] [CrossRef] [PubMed]
- Steinnes, E.; Berg, T.; Sjøbakk, T.E. Temporal and spatial trends in Hg deposition monitored by moss analysis. Sci. Total Environ. 2003, 304, 215–219. [Google Scholar] [CrossRef]
- Giordano, S.; Adamo, P.; Monaci, F.; Pittao, E.; Tretiach, M.; Bargagli, R. Bags with Oven-Dried Moss for the Active Monitoring of Airborne Trace Elements in Urban Areas. Environ. Pollut. 2009, 157, 2798–2805. [Google Scholar] [CrossRef] [PubMed]
- Paoli, L.; Bandoni, E.; Sanità di Toppi, L. Lichens and mosses as biomonitors of indoor pollution. Biology 2023, 12, 1248. [Google Scholar] [CrossRef] [PubMed]
- Lindberg, S.; Bullock, R.; Ebinghaus, R.; Engstrom, D.; Feng, X.; Fitzgerald, W.; Seigneur, C. A synthesis of progress and uncertainties in attributing the sources of mercury in deposition. AMBIO A J. Hum. Environ. 2007, 36, 19–33. [Google Scholar] [CrossRef]
- Fu, X.; Feng, X.; Zhu, W.; Rothenberg, S.; Yao, H.; Zhang, H. Elevated Atmospheric Deposition and Dynamics of Mercury in a Remote Upland Forest of Southwestern China. Environ. Pollut. 2010, 158, 2324–2335. [Google Scholar] [CrossRef] [PubMed]
- Tretiach, M.; Pittao, E.; Crisafulli, P.; Adamo, P. Influence of exposure sites on trace element enrichment in moss-bags and characterization of particles deposited on the biomonitor surface. Sci. Total Environ. 2011, 409, 822–830. [Google Scholar] [CrossRef]
- Sakata, M.; Asakura, K. Estimating Contribution of Precipitation Scavenging of Atmospheric Particulate Mercury to Mercury Wet Deposition in Japan. Atmos. Environ. 2007, 41, 1669–1680. [Google Scholar] [CrossRef]
- Di Palma, A.; Capozzi, F.; Spagnuolo, V.; Giordano, S.; Adamo, P. Atmospheric particulate matter intercepted by moss-bags: Relations to moss trace element uptake and land use. Chemosphere 2017, 176, 361–368. [Google Scholar] [CrossRef]
- Berg, T.; Steinnes, E. Use of Mosses (Hylocomium splendens and Pleurozium schreberi) as Biomonitors of Heavy Metal Deposition: From Relative to Absolute Deposition Values. Environ. Pollut. 1997, 98, 61–71. [Google Scholar] [CrossRef]
- Nieboer, E.; Richardson, D.H.S.; Tomassini, F.D. Mineral uptake and release by lichens: An overview. Bryologist 1978, 81, 226–246. [Google Scholar] [CrossRef]
- Aničić, M.; Tomašević, M.; Tasić, M.; Rajšić, S.; Popović, A.; Frontasyeva, M.V.; Lierhagen, S.; Steinnes, E. Monitoring of trace element atmospheric deposition using dry and wet moss bags: Accumulation capacity versus exposure time. J. Hazard. Mater. 2009, 171, 182–188. [Google Scholar] [CrossRef] [PubMed]
- Amos, H.M.; Jacob, D.J.; Holmes, C.D.; Fisher, J.A.; Wang, Q.; Yantosca, R.M.; Corbitt, E.S.; Galarneau, E.; Rutter, A.P.; Gustin, M.S.; et al. Gas-Particle Partitioning of Atmospheric Hg(II) and Its Effect on Global Mercury Deposition. Atmos. Chem. Phys. 2012, 12, 591–603. [Google Scholar] [CrossRef]
- Cheng, I.; Zhang, L.; Mao, H. Relative Contributions of Gaseous Oxidized Mercury and Fine and Coarse Particle-Bound Mercury to Mercury Wet Deposition at Nine Monitoring Sites in North America. J. Geophys. Res. Atmos. 2015, 120, 8549–8562. [Google Scholar] [CrossRef]
- Wang, X.; Yuan, W.; Feng, X.; Wang, D.; Luo, J. Moss facilitating mercury, lead, and cadmium enhanced accumulation in organic soils over glacial erratic at Mt. Gongga, China. Environ. Pollut. 2019, 254, 112974. [Google Scholar] [CrossRef] [PubMed]
- Ancora, S.; Dei, R.; Rota, E.; Mariotti, G.; Bianchi, N.; Bargagli, R. Altitudinal variation of trace elements deposition in forest ecosystems along the NW side of Mt. Amiata (Central Italy): Evidence from topsoil, mosses and epiphytic lichens. Atmos. Pollut. Res. 2021, 12, 101200. [Google Scholar] [CrossRef]






| Sampling Site | Coordinates | Altitude | Location | Exposure Time |
|---|---|---|---|---|
| 1 | 32 T 717,627 4,751,082 | 883 | ASS former mining area, Unit 6 | ~61 |
| 2 | 32 T 717,612 4,751,045 | 883 | ASS former mining area, Unit 6 | ~61 |
| 3 | 32 T 717,501 4,751,191 | 898 | ASS former mining area, Unit 6 | ~61 |
| 4 | 32 T 717,456 4,751,211 | 908 | ASS former mining area, Unit 6 | ~61 |
| 5 | 32 T 718,255 4,750,750 | 842 | ASS tennis club | ~61 |
| 6 | 32 T 716,157 4,751,463 | 1085 | Ermeta chimney | ~60 |
| 7 | 32 T 716,125 4,751,378 | 1082 | Ermeta chimney | ~60 |
| 8 | 32 T 716,527 4,752,534 | 1058 | Acquapassante chimney | ~60 |
| 9 | 32 T 716,552 4,752,465 | 1062 | Acquapassante chimney | ~60 |
| 10 | 32 T 715,116 4,753,543 | 1285 | Primo Rifugio Amiatino | ~60 |
| Moss ID | Hg | As | Sb | ||||
|---|---|---|---|---|---|---|---|
| Min | Median | Mean | Max | SD | |||
| blank | 64 | 85 | 91 | 130 | 28 | 59 | 13 |
| 1C | 323 | 363 | 369 | 421 | 49 | 307 | 49 |
| 2C | 277 | 497 | 476 | 653 | 154 | 72 | 23 |
| 3C | 151 | 179 | 179 | 207 | 39 | 87 | 34 |
| 4C | 269 | 303 | 355 | 463 | 91 | 164 | 384 |
| 5C | 134 | 143 | 143 | 153 | 13 | 95 | 16 |
| 6C | 205 | 268 | 257 | 299 | 48 | 76 | 15 |
| 7C | 163 | 179 | 179 | 196 | 24 | 84 | 17 |
| 8C | 101 | 130 | 122 | 136 | 19 | 130 | 26 |
| 9C | 132 | 140 | 140 | 148 | 11 | 89 | 23 |
| 10C | 131 | 137 | 137 | 144 | 8.8 | 91 | 38 |
| 1U | 54,092 | 55,186 | 55,186 | 56,279 | 1546 | 2147 | 6243 |
| 2U | 16,003 | 16,523 | 16,523 | 17,043 | 735 | 761 | 3439 |
| 3U | / | / | / | / | / | / | / |
| 4U | 30,142 | 82,317 | 75,893 | 133,842 | 37,674 | 528 | 796 |
| 5U | 209 | 473 | 535 | 923 | 280 | 84 | 59 |
| 6U | 4046 | 6258 | 6560 | 9197 | 2474 | 445 | 465 |
| 7U | 1365 | 3042 | 2744 | 4238 | 1190 | 118 | 205 |
| 8U | 3634 | 5960 | 5647 | 7036 | 1678 | 1370 | 500 |
| 9U | 3441 | 5128 | 4805 | 5990 | 1241 | 725 | 754 |
| 10U | 9498 | 11,203 | 11,162 | 12,776 | 1310 | 486 | 638 |
| Sampling Site | GEM | |||||
|---|---|---|---|---|---|---|
| N | Min | Median | Mean | Max | SD | |
| 1 | 612 | 160 | 2018 | 3467 | 14,761 | 3500 |
| 2 | 453 | 709 | 2861 | 3927 | 18,594 | 2979 |
| 3 | 691 | 281 | 495 | 662 | 2154 | 377 |
| 4 | 783 | 47 | 4785 | 5325 | 19,927 | 3589 |
| 5 | 480 | 19 | 24 | 24 | 39 | 2.6 |
| 6 | 721 | 53 | 68 | 75 | 105 | 15 |
| 7 | 648 | 67 | 83 | 200 | 1302 | 278 |
| 8 | 353 | 17 | 53 | 50 | 90 | 20 |
| 9 | 386 | 24 | 57 | 57 | 122 | 20 |
| 10 | 571 | 10 | 16 | 17 | 31 | 3.0 |
| Moss ID | RAF Hg | RAF As | RAF Sb |
|---|---|---|---|
| 1C | 3.3 | 4.2 | 2.8 |
| 2C | 4.8 | 0.2 | 0.8 |
| 3C | 1.1 | 0.5 | 1.6 |
| 4C | 2.6 | 1.8 | 29 |
| 5C | 0.7 | 0.6 | 0.2 |
| 6C | 2.2 | 0.3 | 0.1 |
| 7C | 1.1 | 0.4 | 0.3 |
| 8C | 0.5 | 1.2 | 1.0 |
| 9C | 0.6 | 0.5 | 0.8 |
| 10C | 0.6 | 0.5 | 1.9 |
| 1U | 648 | 35 | 479 |
| 2U | 193 | 12 | 264 |
| 3U | / | / | / |
| 4U | 967 | 7.9 | 60 |
| 5U | 4.6 | 0.4 | 3.5 |
| 6U | 73 | 6.5 | 35 |
| 7U | 35 | 1.0 | 15 |
| 8U | 69 | 22 | 37 |
| 9U | 59 | 11 | 57 |
| 10U | 131 | 7.2 | 9.8 |
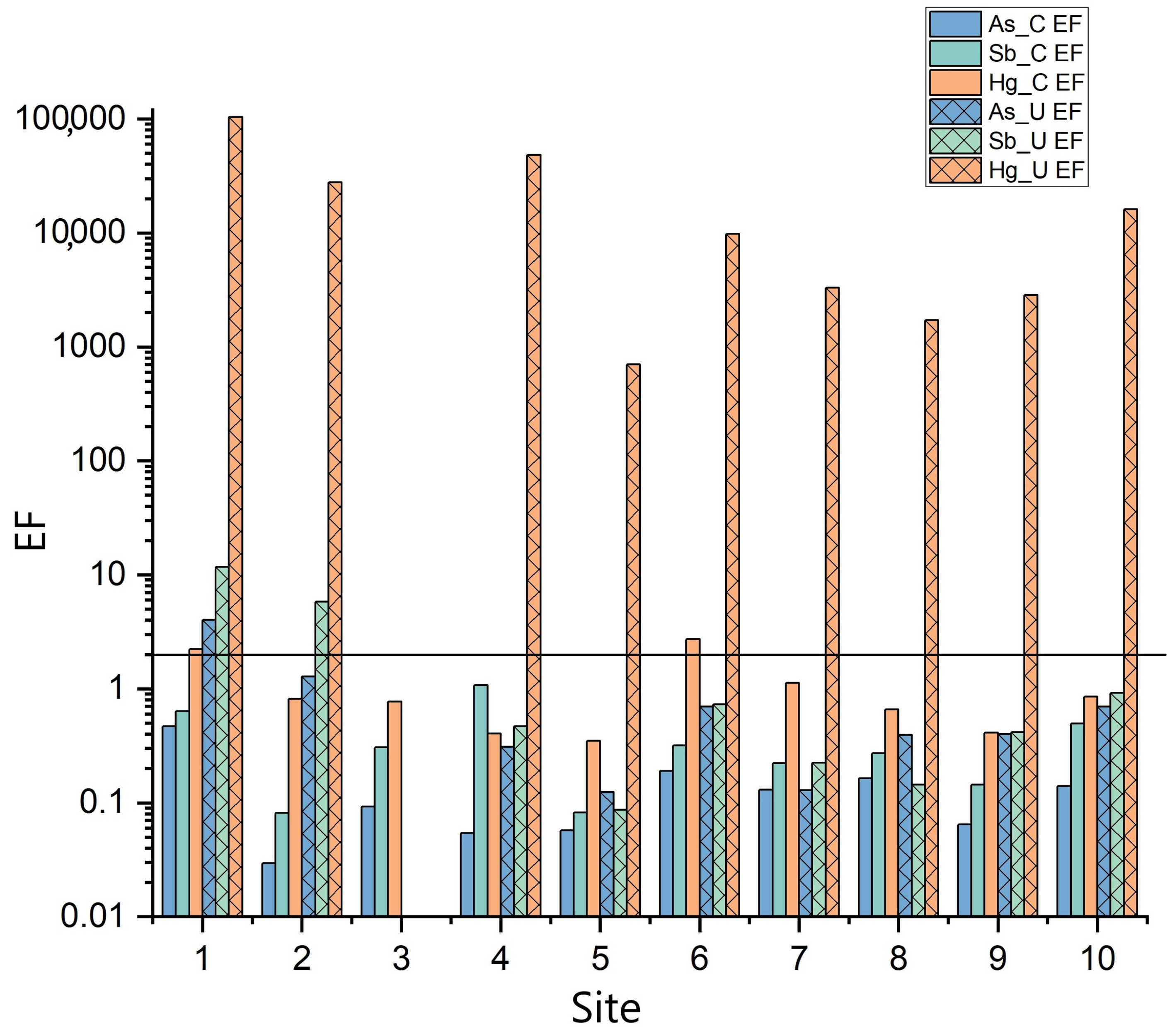
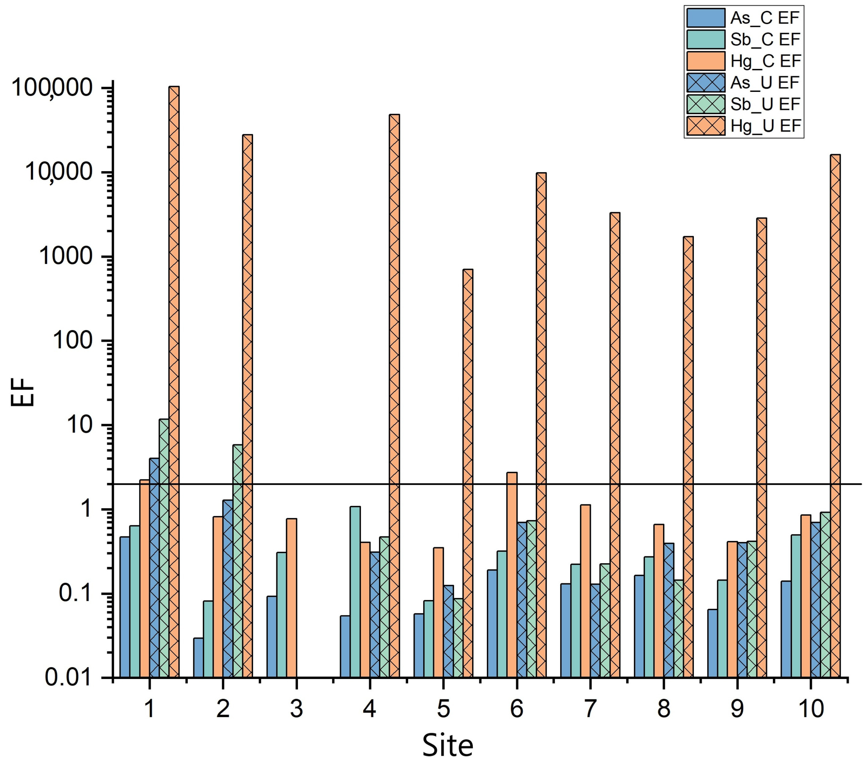
| Moss ID | Hg EF | As EF | Sb EF |
|---|---|---|---|
| 1C | 2.23 | 0.47 | 0.63 |
| 2C | 0.82 | 0.03 | 0.08 |
| 3C | 0.77 | 0.09 | 0.31 |
| 4C | 0.41 | 0.05 | 1.08 |
| 5C | 0.35 | 0.06 | 0.08 |
| 6C | 2.0 | 0.19 | 0.32 |
| 7C | 1.12 | 0.13 | 0.22 |
| 8C | 0.66 | 0.16 | 0.27 |
| 9C | 0.41 | 0.06 | 0.14 |
| 10C | 0.86 | 0.14 | 0.49 |
| 1U | 103,504 | 4.03 | 11.7 |
| 2U | 27,847 | 1.28 | 5.80 |
| 3U | / | / | / |
| 4U | 48,227 | 0.31 | 0.47 |
| 5U | 702 | 0.12 | 0.09 |
| 6U | 9792 | 0.70 | 0.73 |
| 7U | 3314 | 0.13 | 0.22 |
| 8U | 1716 | 0.39 | 0.14 |
| 9U | 2835 | 0.40 | 0.42 |
| 10U | 16,125 | 0.70 | 0.92 |
Disclaimer/Publisher’s Note: The statements, opinions and data contained in all publications are solely those of the individual author(s) and contributor(s) and not of MDPI and/or the editor(s). MDPI and/or the editor(s) disclaim responsibility for any injury to people or property resulting from any ideas, methods, instructions or products referred to in the content. |
© 2024 by the authors. Licensee MDPI, Basel, Switzerland. This article is an open access article distributed under the terms and conditions of the Creative Commons Attribution (CC BY) license (https://creativecommons.org/licenses/by/4.0/).
Share and Cite
Meloni, F.; Calabrese, S.; Vaselli, O.; Capecchiacci, F.; Ciani, F.; Brusca, L.; Bellomo, S.; D’Alessandro, W.; Daskalopoulou, K.; Venturi, S.; et al. Active Moss Biomonitoring of Mercury in the Mine-Polluted Area of Abbadia San Salvatore (Mt. Amiata, Central Italy). Toxics 2025, 13, 2. https://doi.org/10.3390/toxics13010002
Meloni F, Calabrese S, Vaselli O, Capecchiacci F, Ciani F, Brusca L, Bellomo S, D’Alessandro W, Daskalopoulou K, Venturi S, et al. Active Moss Biomonitoring of Mercury in the Mine-Polluted Area of Abbadia San Salvatore (Mt. Amiata, Central Italy). Toxics. 2025; 13(1):2. https://doi.org/10.3390/toxics13010002
Chicago/Turabian StyleMeloni, Federica, Sergio Calabrese, Orlando Vaselli, Francesco Capecchiacci, Francesco Ciani, Lorenzo Brusca, Sergio Bellomo, Walter D’Alessandro, Kyriaki Daskalopoulou, Stefania Venturi, and et al. 2025. "Active Moss Biomonitoring of Mercury in the Mine-Polluted Area of Abbadia San Salvatore (Mt. Amiata, Central Italy)" Toxics 13, no. 1: 2. https://doi.org/10.3390/toxics13010002
APA StyleMeloni, F., Calabrese, S., Vaselli, O., Capecchiacci, F., Ciani, F., Brusca, L., Bellomo, S., D’Alessandro, W., Daskalopoulou, K., Venturi, S., Nisi, B., Rappuoli, D., Tassi, F., & Cabassi, J. (2025). Active Moss Biomonitoring of Mercury in the Mine-Polluted Area of Abbadia San Salvatore (Mt. Amiata, Central Italy). Toxics, 13(1), 2. https://doi.org/10.3390/toxics13010002

