Determination of Parabens and Their Metabolites in Seminal Plasma from Chinese Men by Ultra High Performance Liquid Chromatography Tandem Mass Spectrometry (UPLC-MS/MS)
Abstract
1. Introduction
2. Materials and Methods
2.1. Reagent and Chemical
2.2. Sample Collection and Preparation
2.3. Sample Preparation
2.4. Apparatus and Operation Conditions
2.5. Quality Control Procedure
2.6. Statistical Analysis
3. Results
3.1. Mass and Chromatographic Condition Optimization
3.2. Method Validation
3.2.1. Linearity, LODs, and LOQs
3.2.2. Precision and Accuracy
3.3. Paraben Levels in Samples
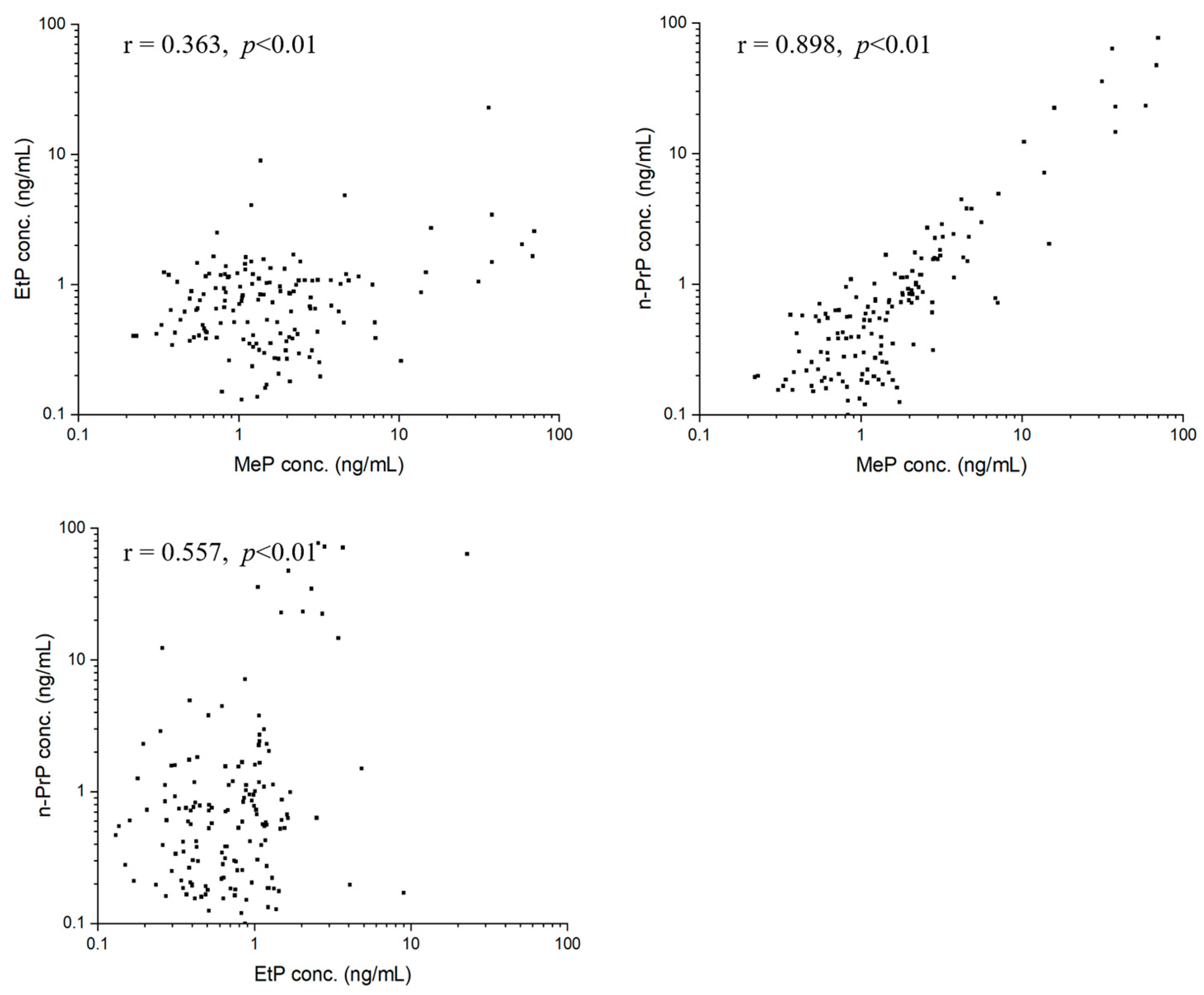
3.4. Correlations among Target Analytes
4. Discussion
5. Conclusions
Author Contributions
Funding
Institutional Review Board Statement
Informed Consent Statement
Data Availability Statement
Conflicts of Interest
References
- Fransway, A.F.; Fransway, P.J.; Belsito, D.V.; Warshaw, E.M.; Sasseville, D.; Fowler, J.F., Jr.; DeKoven, J.G.; Pratt, M.D.; Maibach, H.I.; Taylor, J.S.; et al. Parabens. Dermatitis 2019, 30, 3–31. [Google Scholar] [CrossRef]
- Giulivo, M.; de Alda, M.L.; Capri, E.; Barceló, D. Human exposure to endocrine disrupting compounds: Their role in reproductive systems, metabolic syndrome and breast cancer. A review. Environ. Res. 2016, 151, 251–264. [Google Scholar] [CrossRef]
- Błędzka, D.; Gromadzińska, J.; Wąsowicz, W. Parabens. From environmental studies to human health. Environ. Int. 2014, 67, 27–42. [Google Scholar] [CrossRef]
- Soni, M.G.; Carabin, I.G.; Burdock, G.A. Safety assessment of esters of p-hydroxybenzoic acid (parabens). Food Chem. Toxicol. 2005, 43, 985–1015. [Google Scholar] [CrossRef]
- Liu, M.L.S.; Peterson, S.L.; Miyake, M.; Liu, K. On the application of4-hydroxybenzoic acid as a trapping agent to study hydroxyl radical generation during cerebral ischemia and reperfusion. Mol. Cell. Biochem. 2002, 234–235, 379–385. [Google Scholar] [CrossRef]
- Wang, L.; Kannan, K. Alkyl protocatechuates as novel urinary biomarkers of exposure to p-hydroxybenzoic acid esters (parabens). Environ. Int. 2013, 59, 27–32. [Google Scholar] [CrossRef] [PubMed]
- Pugazhendhi, D.; Pope, G.S.; Darbre, P.D. Oestrogenic activity of p-hydroxybenzoic acid (common metabolite of paraben esters) and methylparaben in human breast cancer cell lines. J. Appl. Toxicol. 2005, 25, 301–309. [Google Scholar] [CrossRef] [PubMed]
- Morohoshi, K.; Yamamoto, H.; Kamata, R.; Shiraishi, F.; Koda, T.; Morita, M. Estrogenic activity of 37 components of commercial sunscreen lotions evaluated by in vitro assays. Toxicol. Vitr. 2005, 19, 457–469. [Google Scholar] [CrossRef]
- Glander, H.G.; Rytter, M.; Schönborn, C. Studies on the mycotic and bacterial risk of contamination and the use of nipagin in the artificial insemination of cryosperm. Zent. Gynakol. 1984, 106, 573–584. [Google Scholar]
- Bao-Liang, S.; Hai-Ying, L.; Dun-Ren, P. In vitro spermicidal activity of parabens against human spermatozoa. Contraception 1989, 39, 331–335. [Google Scholar] [CrossRef]
- Song, B.L.; Peng, D.R.; Li, H.Y.; Zhang, G.H.; Zhang, J.; Li, K.L.; Zhao, Y.Q. Evaluation of the effect of butyl p-hydroxybenzoate on the proteolytic activity and membrane function of human spermatozoa. Reproduction 1991, 91, 435–440. [Google Scholar] [CrossRef] [PubMed]
- Tavares, R.S.; Martins, F.C.; Oliveira, P.J.; Ramalho-Santos, J.; Peixoto, F.P. Parabens in male infertility-is there a mitochondrial connection? Reprod. Toxicol. 2009, 27, 1–7. [Google Scholar] [CrossRef]
- Zhang, L.; Dong, L.; Ding, S.; Qiao, P.; Wang, C.; Zhang, M.; Zhang, L.; Du, Q.; Li, Y.; Tang, N.; et al. Effects of n-butylparaben on steroidogenesis and spermatogenesis through changed E2 levels in male rat offspring. Environ. Toxicol. Pharmacol. 2014, 37, 705–717. [Google Scholar] [CrossRef]
- Oishi, S. Effects of butylparaben on the male reproductive system in rats. Toxicol. Ind. Health 2001, 17, 31–39. [Google Scholar] [CrossRef]
- Oishi, S. Effects of butyl paraben on the male reproductive system in mice. Arch. Toxicol. 2002, 76, 423–429. [Google Scholar] [CrossRef]
- Oishi, S. Lack of sperm atotoxic effects of methyl and ethyl esters of p-hydroxybenzoic acid in rats. Food Chem. Toxicol. 2004, 42, 1845–1849. [Google Scholar] [CrossRef]
- Hoberman, A.M.; Schreur, D.K.; Leazer, T.; Daston, G.P.; Carthew, P.; Re, T.; Loretz, L.; Mann, P. Lack of effect of butylparaben and methylparaben on the reproductive system in male rats. Birth Defects Res. Part B Dev. Reprod. Toxicol. 2008, 83, 123–133. [Google Scholar] [CrossRef]
- Meeker, J.D.; Yang, T.; Ye, X.; Calafat, A.M.; Hauser, R. Urinary Concentrations of Parabens and Serum Hormone Levels, Semen Quality Parameters, and Sperm DNA Damage. Environ. Health Perspect. 2011, 119, 252–257. [Google Scholar] [CrossRef]
- Jurewicz, J.; Radwan, M.; Wielgomas, B.; Dziewirska, E.; Karwacka, A.; Klimowska, A.; Kałużny, P.; Radwan, P.; Bochenek, M.; Hanke, W. Human Semen Quality, Sperm DNA Damage, and the Level of Reproductive Hormones in Relation to Urinary Concentrations of Parabens. J. Occup. Environ. Med. 2017, 59, 1034–1040. [Google Scholar] [CrossRef]
- Jurewicz, J.; Radwan, M.; Wielgomas, B.; Klimowska, A.; Kałużny, P.; Radwan, P.; Jakubowski, L.; Hanke, W. Environmental exposure to parabens and sperm chromosome disomy. Int. J. Environ. Health Res. 2017, 27, 332–343. [Google Scholar] [CrossRef]
- Smarr, M.M.; Kannan, K.; Sun, L.; Honda, M.; Wang, W.; Karthikraj, R.; Chen, Z.; Weck, J.; Louis, G.M.B. Preconception seminal plasma concentrations of endocrine disrupting chemicals in relation to semen quality parameters among male partners planning for pregnancy. Environ. Res. 2018, 167, 78–86. [Google Scholar] [CrossRef] [PubMed]
- Shen, X.; Liang, J.; Zheng, L.; Lv, Q.; Wang, H. Application of dispersive liquid-liquid microextraction for the preconcentration of eight parabens in real samples and their determination by high-performance liquid chromatography. J. Sep. Sci. 2017, 40, 4385–4393. [Google Scholar] [CrossRef]
- Zhang, Q.; Zhi, Y.; Bao, L.; Zheng, Y.; Wang, X.; Jiang, L.; Wu, Y. Determination of six parabens in biological samples by magnetic solid-phase extraction with magnetic mesoporous carbon adsorbent and UHPLC-MS/MS. J. Chromatogr. B 2021, 1179, 122817. [Google Scholar] [CrossRef]
- Arfaeinia, H.; Ramavandi, B.; Yousefzadeh, S.; Dobaradaran, S.; Ziaei, M.; Rashidi, N.; Asadgol, Z. Urinary level of un-metabolized parabens in women working in beauty salons. Environ. Res. 2021, 200, 111771. [Google Scholar] [CrossRef] [PubMed]
- Kolatorova Sosvorova, L.; Chlupacova, T.; Vitku, J.; Vlk, M.; Heracek, J.; Starka, L.; Saman, D.; Simkova, M.; Hampl, R. Determination of selected bisphenols, parabens and estrogens in human plasma using LC-MS/MS. Talanta 2017, 174, 21–28. [Google Scholar] [CrossRef] [PubMed]
- Camargo, M.; Intasqui, P.; Bertolla, R.P. Understanding the seminal plasma proteome and its role in male fertility. Basic Clin. Androl. 2018, 28, 6. [Google Scholar] [CrossRef]
- Da Silva Moura, E.D.S.; D’Antonino Faroni, L.R.; Fernandes Heleno, F.F.; Aparecida Zinato Rodrigues, A.A.Z.; Figueiredo Prates, L.H.; Lopes Ribeiro de Queiroz, M.E. Optimal Extraction of Ocimum basilicum Essential Oil by Association of Ultrasound and Hydrodistillation and Its Potential as a Biopesticide Against a Major Stored Grains Pest. Molecules 2020, 25, 2781. [Google Scholar] [CrossRef] [PubMed]
- Yu, L.; Peng, F.; Yuan, D.; Zhang, L.; Guo, Y.; Chang, B.; Shi, X.; Ding, C.; Liang, X. Correlation study of parabens in urine, serum, and seminal plasma of adult men in Beijing, China. Environ. Sci. Pollut. Res. 2021, 28, 41120–41126. [Google Scholar] [CrossRef]
- Ma, W.-L.; Wang, L.; Guo, Y.; Liu, L.-Y.; Qi, H.; Zhu, N.-Z.; Gao, C.-J.; Li, Y.-F.; Kannan, K. Urinary Concentrations of Parabens in Chinese Young Adults: Implications for Human Exposure. Arch. Environ. Contam. Toxicol. 2013, 65, 611–618. [Google Scholar] [CrossRef]
- Frederiksen, H.; Jorgensen, N.; Andersson, A.M. Parabens in urine, serum and seminal plasma from healthy Danish men determined by liquid chromatography-tandem mass spectrometry (LC-MS/MS). J. Expo Sci. Environ. Epidemiol. 2011, 21, 262–271. [Google Scholar] [CrossRef]
- Guo, Y.; Wang, L.; Kannan, K. Phthalates and Parabens in Personal Care Products from China: Concentrations and Human Exposure. Arch. Environ. Contam. Toxicol. 2013, 66, 113–119. [Google Scholar] [CrossRef]
- Chen, J.; Ahn, K.C.; Gee, N.A.; Gee, S.J.; Hammock, B.D.; Lasley, B.L. Antiandrogenic properties of parabens and other phenolic containing small molecules in personal care products. Toxicol. Appl. Pharmacol. 2007, 221, 278–284. [Google Scholar] [CrossRef] [PubMed]
- Lemini, C.; Silva, G.; Timossi, C.; Luque, D.; Valverde, A.; Martínez, M.G.; Hernández, A.; Rubio-Póo, C.; Lara, B.C.; Valenzuela, F. Estrogenic Effects ofp-Hydroxybenzoic Acid in CD1 Mice. Environ. Res. 1997, 75, 130–134. [Google Scholar] [CrossRef] [PubMed]
- Lemini, C.; Jaimez, R.; Ávila, M.E.; Franco, Y.; Larrea, F.; Lemus, A.E. In vivo and in vitro estrogen bioactivities of alkyl parabens. Toxicol. Ind. Health 2003, 19, 69–79. [Google Scholar] [CrossRef] [PubMed]
- Boberg, J.; Taxvig, C.; Christiansen, S.; Hass, U. Possible endocrine disrupting effects of parabens and their metabolites. Reprod. Toxicol. 2010, 30, 301–312. [Google Scholar] [CrossRef]




| No. | Compound | Parent Ion | Product Ion | Cone Voltage/V | Collision Energy/eV | Ionization Mode | Retention Time/Min |
|---|---|---|---|---|---|---|---|
| (m/z) | (m/z) | ||||||
| 1 | MeP | 150.76 | 91.95 | 6 | 18 | [M-H]- | 2.52 |
| 2 | EtP | 165.03 | 92.08 | 20 | 22 | [M-H]- | 2.92 |
| 3 | n-PrP | 179.11 | 92.05 | 22 | 24 | [M-H]- | 3.70 |
| 4 | n-BuP | 193.06 | 91.99 | 2 | 22 | [M-H]- | 2.07 |
| 5 | 4-HB | 137.06 | 93.57 | 32 | 15 | [M-H]- | 2.08 |
| 6 | 3,4-DHB | 151.80 | 80.96 | 14 | 18 | [M-H]- | 1.99 |
| 7 | Chlorzoxazone | 168.02 | 131.98 | 44 | 18 | [M-H]- | 2.83 |
| No. | Compound | Linear Equation | Measurement Range/(ng/mL) | r2 | LOD/(ng/mL) |
|---|---|---|---|---|---|
| 1 | MeP | y = 0.2281x − 0.2983 | 0.06–100 | 0.9978 | 0.019 |
| 2 | EtP | y = 0.3044x + 0.0494 | 0.07–100 | 0.9993 | 0.021 |
| 3 | n-PrP | y = 0.3968x + 0.2257 | 0.05–100 | 0.9985 | 0.016 |
| 4 | n-BuP | y = 0.4954x + 0.0185 | 0.045–5 | 0.9992 | 0.015 |
| 5 | 4-HB | y = 0.8092x − 0.7795 | 0.07–100 | 0.9991 | 0.023 |
| 6 | 3,4-DHB | y = 0.1043x + 0.1828 | 0.25–100 | 0.9947 | 0.081 |
| No. | Compound | Added (ng/Ml) | Recovery/% | RSDs/% | |
|---|---|---|---|---|---|
| Intra-Assay (n = 6) | Inter-Assay (n = 3) | ||||
| 1 | MeP | 0.06 | 95.92 | 7.42 | 2.98 |
| 20 | 104.55 | 4.71 | 3.81 | ||
| 80 | 91.49 | 2.21 | 0.55 | ||
| 2 | EtP | 0.07 | 90.30 | 8.08 | 8.45 |
| 20 | 101.33 | 3.71 | 4.08 | ||
| 80 | 88.78 | 7.53 | 4.83 | ||
| 3 | PrP | 0.05 | 95.05 | 5.82 | 6.61 |
| 20 | 110.09 | 3.14 | 5.74 | ||
| 80 | 95.02 | 4.46 | 5.8 | ||
| 4 | BuP | 0.045 | 93.76 | 9.46 | 2.27 |
| 1 | 109.77 | 2.73 | 4.79 | ||
| 4 | 97.79 | 3.93 | 4.92 | ||
| 5 | 4-HB | 0.07 | 91.89 | 10.27 | 6.36 |
| 20 | 109.47 | 3.98 | 11.2 | ||
| 80 | 108.09 | 2.32 | 11.7 | ||
| 6 | 3,4-DHB | 0.25 | 98.7 | 6.09 | 8.68 |
| 20 | 106.93 | 2.32 | 10.6 | ||
| 80 | 107.55 | 4.23 | 10.3 | ||
| Analyte | GM a | Percentiles | Mean | Range | DR b (%) | ||
|---|---|---|---|---|---|---|---|
| 25th | Median | 75th | |||||
| paraben | |||||||
| MeP | 1.80 | 0.78 | 1.40 | 2.63 | 8.03 | 0.22~185.72 | 100.00 |
| EtP | 0.74 | 0.41 | 0.76 | 1.15 | 1.18 | 0.07~22.85 | 100.00 |
| n-PrP | 0.80 | 0.26 | 0.61 | 1.32 | 4.98 | 0.10~105.81 | 100.00 |
| n-BuP | 0.02 | <LOD | <LOD | 0.02 | 0.04 | <LOD~1.85 | 28.47 |
| paraben metabolite | |||||||
| 4-HB | 6.36 | 3.37 | 4.92 | 9.69 | 13.16 | 1.17~268.89 | 100.00 |
| 3,4-DHB | 0.15 | <LOD | <LOD | 0.32 | 1.26 | <LOD~65.60 | 38.89 |
Disclaimer/Publisher’s Note: The statements, opinions and data contained in all publications are solely those of the individual author(s) and contributor(s) and not of MDPI and/or the editor(s). MDPI and/or the editor(s) disclaim responsibility for any injury to people or property resulting from any ideas, methods, instructions or products referred to in the content. |
© 2023 by the authors. Licensee MDPI, Basel, Switzerland. This article is an open access article distributed under the terms and conditions of the Creative Commons Attribution (CC BY) license (https://creativecommons.org/licenses/by/4.0/).
Share and Cite
Dai, J.; Zhang, L.; Xu, J.; Peng, F.; Wu, Z.; Fu, L.; Guo, Y.; Chang, B.; Lu, W.; Ding, C. Determination of Parabens and Their Metabolites in Seminal Plasma from Chinese Men by Ultra High Performance Liquid Chromatography Tandem Mass Spectrometry (UPLC-MS/MS). Toxics 2023, 11, 131. https://doi.org/10.3390/toxics11020131
Dai J, Zhang L, Xu J, Peng F, Wu Z, Fu L, Guo Y, Chang B, Lu W, Ding C. Determination of Parabens and Their Metabolites in Seminal Plasma from Chinese Men by Ultra High Performance Liquid Chromatography Tandem Mass Spectrometry (UPLC-MS/MS). Toxics. 2023; 11(2):131. https://doi.org/10.3390/toxics11020131
Chicago/Turabian StyleDai, Jing, Linyuan Zhang, Jianfeng Xu, Fangda Peng, Zhijun Wu, Longlong Fu, Ying Guo, Bing Chang, Wenhong Lu, and Chunguang Ding. 2023. "Determination of Parabens and Their Metabolites in Seminal Plasma from Chinese Men by Ultra High Performance Liquid Chromatography Tandem Mass Spectrometry (UPLC-MS/MS)" Toxics 11, no. 2: 131. https://doi.org/10.3390/toxics11020131
APA StyleDai, J., Zhang, L., Xu, J., Peng, F., Wu, Z., Fu, L., Guo, Y., Chang, B., Lu, W., & Ding, C. (2023). Determination of Parabens and Their Metabolites in Seminal Plasma from Chinese Men by Ultra High Performance Liquid Chromatography Tandem Mass Spectrometry (UPLC-MS/MS). Toxics, 11(2), 131. https://doi.org/10.3390/toxics11020131

