A Meta-Analysis of the Characterisations of Plastic Ingested by Fish Globally
Abstract
:1. Introduction
2. Materials and Methods
2.1. Literature Review
2.2. Quality Assessment and Data Extraction
2.3. Statistical Analysis
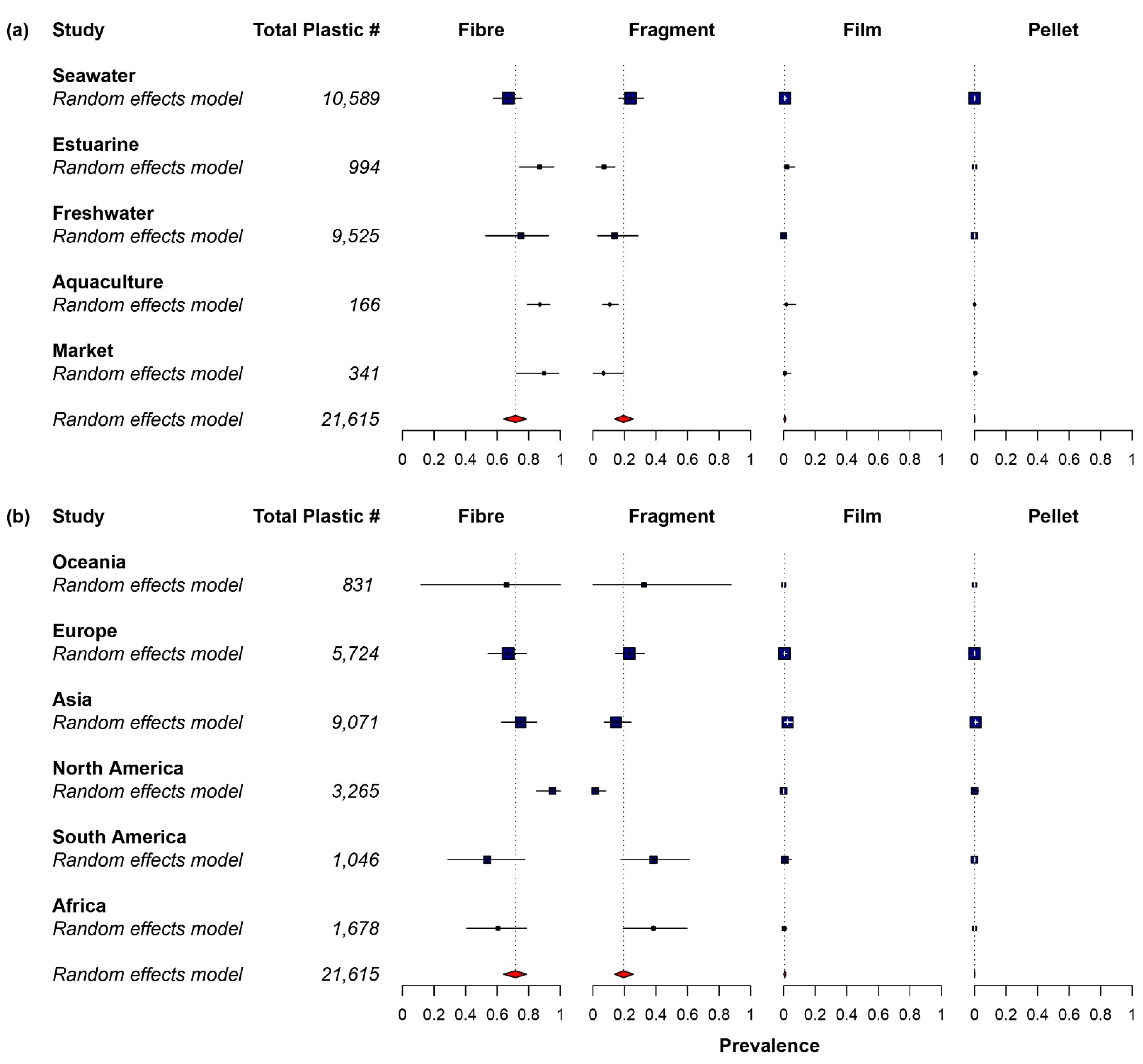
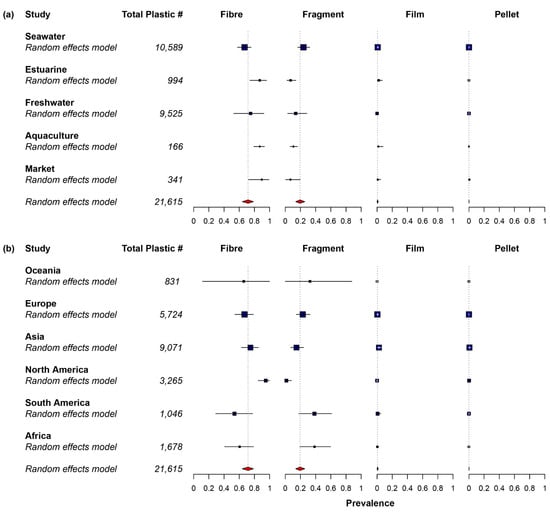
3. Results
3.1. Overview
3.2. Prevalence of Plastic Ingested
4. Discussion
5. Gaps and Recommendations
6. Conclusions
Supplementary Materials
Author Contributions
Funding
Institutional Review Board Statement
Informed Consent Statement
Data Availability Statement
Acknowledgments
Conflicts of Interest
References
- PlasticEurope. Plastics—The Facts 2020. Available online: https://www.plasticseurope.org/en/resources/market-data (accessed on 20 February 2022).
- PlasticEurope. The Compelling Facts About Plastics. Available online: https://www.plasticseurope.org/en/resources/market-data (accessed on 20 February 2022).
- Derraik, J.G. The pollution of the marine environment by plastic debris: A review. Mar. Pollut Bull. 2002, 44, 842–852. [Google Scholar] [CrossRef]
- Andrady, A.L. Microplastics in the marine environment. Mar. Pollut. Bull. 2011, 62, 1596–1605. [Google Scholar] [CrossRef] [PubMed]
- Van Cauwenberghe, L.; Vanreusel, A.; Mees, J.; Janssen, C.R. Microplastic pollution in deep-sea sediments. Env. Pollut. 2013, 182, 495–499. [Google Scholar] [CrossRef] [PubMed]
- Obbard, R.W.; Sadri, S.; Wong, Y.Q.; Khitun, A.A.; Baker, I.; Thompson, R.C. Global warming releases microplastic legacy frozen in Arctic Sea ice. Earths Future 2014, 2, 315–320. [Google Scholar] [CrossRef]
- Free, C.M.; Jensen, O.P.; Mason, S.A.; Eriksen, M.; Williamson, N.J.; Boldgiv, B. High-levels of microplastic pollution in a large, remote, mountain lake. Mar. Pollut. Bull. 2014, 85, 156–163. [Google Scholar] [CrossRef]
- Zhu, F.; Zhu, C.; Wang, C.; Gu, C. Occurrence and Ecological Impacts of Microplastics in Soil Systems: A Review. Bull. Env. Contam. Toxicol. 2019, 102, 741–749. [Google Scholar] [CrossRef]
- Cai, L.; Wang, J.; Peng, J.; Tan, Z.; Zhan, Z.; Tan, X.; Chen, Q. Characteristic of microplastics in the atmospheric fallout from Dongguan city, China: Preliminary research and first evidence. Env. Sci. Pollut. Res. Int. 2017, 24, 24928–24935. [Google Scholar] [CrossRef]
- Arthur, C.; Baker, J.; Bamford, H. Proceedings of the International Research Workshop on the Occurrence, Effects and Fate of Microplastic Marine Debris. NOAA Technical Memorandum NOS-OR&R-30, Tacoma, WA, USA, 9–11 September 2008.
- Fendall, L.S.; Sewell, M.A. Contributing to marine pollution by washing your face: Microplastics in facial cleansers. Mar. Pollut. Bull. 2009, 58, 1225–1228. [Google Scholar] [CrossRef]
- Browne, M.A.; Crump, P.; Niven, S.J.; Teuten, E.; Tonkin, A.; Galloway, T.; Thompson, R. Accumulation of microplastic on shorelines woldwide: Sources and sinks. Env. Sci. Technol. 2011, 45, 9175–9179. [Google Scholar] [CrossRef]
- Lebreton, L.C.M.; van der Zwet, J.; Damsteeg, J.W.; Slat, B.; Andrady, A.; Reisser, J. River plastic emissions to the world’s oceans. Nat. Commun. 2017, 8, 15611. [Google Scholar] [CrossRef]
- Eriksen, M.; Lebreton, L.C.; Carson, H.S.; Thiel, M.; Moore, C.J.; Borerro, J.C.; Galgani, F.; Ryan, P.G.; Reisser, J. Plastic pollution in the world’s oceans: More than 5 trillion plastic pieces weighing over 250,000 tons afloat at sea. PLoS ONE 2014, 9, e111913. [Google Scholar] [CrossRef] [PubMed] [Green Version]
- Ryan, P.G. Ingestion of Plastics by Marine Organisms. In Hazardous Chemicals Associated with Plastics in the Marine Environment; Takada, H., Karapanagioti, H.K., Eds.; Springer International Publishing: Cham, Switzerland, 2016; pp. 235–266. [Google Scholar]
- Kuhn, S.; van Franeker, J.A. Plastic ingestion by the northern fulmar (Fulmarus glacialis) in Iceland. Mar. Pollut. Bull. 2012, 64, 1252–1254. [Google Scholar] [CrossRef] [PubMed]
- Reynolds, C.; Ryan, P.G. Micro-plastic ingestion by waterbirds from contaminated wetlands in South Africa. Mar. Pollut Bull. 2018, 126, 330–333. [Google Scholar] [CrossRef] [PubMed]
- Murray, F.; Cowie, P.R. Plastic contamination in the decapod crustacean Nephrops norvegicus (Linnaeus, 1758). Mar. Pollut. Bull. 2011, 62, 1207–1217. [Google Scholar] [CrossRef] [PubMed]
- Iannilli, V.; Di Gennaro, A.; Lecce, F.; Sighicelli, M.; Falconieri, M.; Pietrelli, L.; Poeta, G.; Battisti, C. Microplastics in Talitrus saltator (Crustacea, Amphipoda): New evidence of ingestion from natural contexts. Environ. Sci. Pollut. Res. Int. 2018, 25, 28725–28729. [Google Scholar] [CrossRef]
- Fernandez, C.; Anastasopoulou, A. Plastic ingestion by blue shark Prionace glauca in the South Pacific Ocean (south of the Peruvian Sea). Mar. Pollut. Bull. 2019, 149, 110501. [Google Scholar] [CrossRef]
- Foekema, E.M.; De Gruijter, C.; Mergia, M.T.; van Franeker, J.A.; Murk, A.J.; Koelmans, A.A. Plastic in north sea fish. Env. Sci. Technol. 2013, 47, 8818–8824. [Google Scholar] [CrossRef]
- Lusher, A.L.; Hernandez-Milian, G.; O’Brien, J.; Berrow, S.; O’Connor, I.; Officer, R. Microplastic and macroplastic ingestion by a deep diving, oceanic cetacean: The True’s beaked whale Mesoplodon mirus. Environ. Pollut. 2015, 199, 185–191. [Google Scholar] [CrossRef]
- Stamper, M.A.; Whitaker, B.R.; Schofield, T.D. Case Study: Morbidity in a Pygmy Sperm Whale Kogia breviceps due to ocean-bourne plastic. Mar. Mammal. Sci. 2006, 22, 719–722. [Google Scholar] [CrossRef]
- Setälä, O.; Fleming-Lehtinen, V.; Lehtiniemi, M. Ingestion and transfer of microplastics in the planktonic food web. Env. Pollut. 2014, 185, 77–83. [Google Scholar] [CrossRef]
- Nelms, S.E.; Galloway, T.S.; Godley, B.J.; Jarvis, D.S.; Lindeque, P.K. Investigating microplastic trophic transfer in marine top predators. Env. Pollut. 2018, 238, 999–1007. [Google Scholar] [CrossRef] [PubMed]
- Chagnon, C.; Thiel, M.; Antunes, J.; Ferreira, J.L.; Sobral, P.; Ory, N.C. Plastic ingestion and trophic transfer between Easter Island flying fish (Cheilopogon rapanouiensis) and yellowfin tuna (Thunnus albacares) from Rapa Nui (Easter Island). Env. Pollut. 2018, 243, 127–133. [Google Scholar] [CrossRef] [PubMed]
- Markic, A.; Niemand, C.; Bridson, J.H.; Mazouni-Gaertner, N.; Gaertner, J.C.; Eriksen, M.; Bowen, M. Double trouble in the South Pacific subtropical gyre: Increased plastic ingestion by fish in the oceanic accumulation zone. Mar. Pollut. Bull. 2018, 136, 547–564. [Google Scholar] [CrossRef] [PubMed]
- Welden, N.A.; Abylkhani, B.; Howarth, L.M. The effects of trophic transfer and environmental factors on microplastic uptake by plaice, Pleuronectes plastessa, and spider crab, Maja squinado. Environ. Pollut. 2018, 239, 351–358. [Google Scholar] [CrossRef] [Green Version]
- Ferreira, G.V.B.; Barletta, M.; Lima, A.R.A.; Morley, S.A.; Costa, M.F. Dynamics of Marine Debris Ingestion by Profitable Fishes Along the Estuarine Ecocline. Sci. Rep. 2019, 9, 13514. [Google Scholar] [CrossRef]
- Santos, R.G.; Andrades, R.; Boldrini, M.A.; Martins, A.S. Debris ingestion by juvenile marine turtles: An underestimated problem. Mar. Pollut. Bull. 2015, 93, 37–43. [Google Scholar] [CrossRef]
- Pierce, K.E.; Harris, R.J.; Larned, L.S.; Pokras, M. Obstruction and starvation associated with plastic ingestion in a Northern Gannet Morus bassanus and a Greater Shearwater Puffinus gravis. Mar. Ornithol. 2004, 32, 187–189. [Google Scholar]
- Beck, C.A.; Barros, N.B. The impact of debris on the Florida manatee. Mar. Pollut. Bull. 1991, 22, 508–510. [Google Scholar] [CrossRef]
- Haetrakul, T.; Munanansup, S.; Assawawongkasem, N.; Chansue, N. A Case Report: Stomach Foreign Object in Whaleshark (Rhincodon Types) Stranded in Thailand. In Proceedings of the 4th International Symposium on SEASTAR2000 and Asian Bio-logging Science (The 8th SEASTAR2000 Workshop), Phuket, Thailand, 15–17 December 2007. [Google Scholar]
- Jabeen, K.; Li, B.; Chen, Q.; Su, L.; Wu, C.; Hollert, H.; Shi, H. Effects of virgin microplastics on goldfish (Carassius auratus). Chemosphere 2018, 213, 323–332. [Google Scholar] [CrossRef]
- Naidoo, T.; Glassom, D. Decreased growth and survival in small juvenile fish, after chronic exposure to environmentally relevant concentrations of microplastic. Mar. Pollut. Bull. 2019, 145, 254–259. [Google Scholar] [CrossRef]
- Lu, Y.; Zhang, Y.; Deng, Y.; Jiang, W.; Zhao, Y.; Geng, J.; Ding, L.; Ren, H. Uptake and Accumulation of Polystyrene Microplastics in Zebrafish (Danio rerio) and Toxic Effects in Liver. Environ. Sci. Technol. 2016, 50, 4054–4060. [Google Scholar] [CrossRef] [PubMed]
- Critchell, K.; Hoogenboom, M.O. Effects of microplastic exposure on the body condition and behaviour of planktivorous reef fish (Acanthochromis polyacanthus). PLoS ONE 2018, 13, e0193308. [Google Scholar] [CrossRef] [PubMed] [Green Version]
- Ahrendt, C.; Perez-Venegas, D.J.; Urbina, M.; Gonzalez, C.; Echeveste, P.; Aldana, M.; Pulgar, J.; Galban-Malagon, C. Microplastic ingestion cause intestinal lesions in the intertidal fish Girella laevifrons. Mar. Pollut. Bull. 2020, 151, 110795. [Google Scholar] [CrossRef] [PubMed]
- Hoss, D.E.; Settle, L.R. Ingestion of Plastics by Teleost Fishes. In Proceedings of the Second International Conference on Marine Debris. NOAA Technical Memorandum. NOAA-TM-NMFS-SWFSC-154, Honolulu, HI, USA, 2–7 April 1989; pp. 693–709. [Google Scholar]
- Cannon, S.M.E.; Lavers, J.L.; Figueiredo, B. Plastic ingestion by fish in the Southern Hemisphere: A baseline study and review of methods. Mar. Pollut. Bull. 2016, 107, 286–291. [Google Scholar] [CrossRef] [PubMed]
- Pinheiro, C.; Oliveira, U.; Vieira, M. Occurrence and impacts of microplastics in freshwater fish. J. Aquac. Mar. Biol. 2017, 5, 00138. [Google Scholar] [CrossRef] [Green Version]
- Liboiron, F.; Ammendolia, J.; Saturno, J.; Melvin, J.; Zahara, A.; Richard, N.; Liboiron, M. A zero percent plastic ingestion rate by silver hake (Merluccius bilinearis) from the south coast of Newfoundland, Canada. Mar. Pollut. Bull. 2018, 131, 267–275. [Google Scholar] [CrossRef]
- Kroon, F.J.; Motti, C.E.; Jensen, L.H.; Berry, K.L.E. Classification of marine microdebris: A review and case study on fish from the Great Barrier Reef, Australia. Sci. Rep. 2018, 8, 16422. [Google Scholar] [CrossRef] [Green Version]
- Markic, A.; Gaertner, J.-C.; Gaertner-Mazouni, N.; Koelmans, A.A. Plastic ingestion by marine fish in the wild. Crit. Rev. Env. Sci. Tec. 2020, 50, 657–697. [Google Scholar] [CrossRef]
- Wootton, N.; Reis-Santos, P.; Gillanders, B.M. Microplastic in fish—A global synthesis. Rev. Fish Biol. Fish. 2021, 31, 753–771. [Google Scholar] [CrossRef]
- Savoca, M.S.; McInturf, A.G.; Hazen, E.L. Plastic ingestion by marine fish is widespread and increasing. Glob. Chang. Biol. 2021, 27, 2188–2199. [Google Scholar] [CrossRef]
- Garrido Gamarro, E.; Ryder, J.; Elvevoll, E.O.; Olsen, R.L. Microplastics in fish and shellfish—A threat to seafood safety? J. Aquat. Food Prod. Technol. 2020, 29, 417–425. [Google Scholar] [CrossRef]
- Provencher, J.F.; Bond, A.L.; Avery-Gomm, S.; Borrelle, S.B.; Rebolledo, E.L.B.; Hammer, S.; Kühn, S.; Lavers, J.L.; Mallory, M.L.; Trevail, A. Quantifying ingested debris in marine megafauna: A review and recommendations for standardization. Anal. Methods 2017, 9, 1454–1469. [Google Scholar] [CrossRef]
- Gall, S.C.; Thompson, R.C. The impact of debris on marine life. Mar. Pollut. Bull. 2015, 92, 170–179. [Google Scholar] [CrossRef] [PubMed]
- Azizi, N.; Khoshnamvand, N.; Nasseri, S. The quantity and quality assessment of microplastics in the freshwater fishes: A systematic review and meta-analysis. Reg. Stud. Mar. Sci. 2021, 47, 101955. [Google Scholar] [CrossRef]
- Rochman, C.M.; Tahir, A.; Williams, S.L.; Baxa, D.V.; Lam, R.; Miller, J.T.; Teh, F.C.; Werorilangi, S.; Teh, S.J. Anthropogenic debris in seafood: Plastic debris and fibers from textiles in fish and bivalves sold for human consumption. Sci. Rep. 2015, 5, 14340. [Google Scholar] [CrossRef] [PubMed]
- Ding, J.; Li, J.; Sun, C.; Jiang, F.; Ju, P.; Qu, L.; Zheng, Y.; He, C. Detection of microplastics in local marine organisms using a multi-technology system. Anal. Methods 2019, 11, 78–87. [Google Scholar] [CrossRef]
- Lee, J.; Lee, J.S.; Jang, Y.C.; Hong, S.Y.; Shim, W.J.; Song, Y.K.; Hong, S.H.; Jang, M.; Han, G.M.; Kang, D.; et al. Distribution and Size Relationships of Plastic Marine Debris on Beaches in South Korea. Arch. Env. Contam. Toxicol. 2015, 69, 288–298. [Google Scholar] [CrossRef]
- GESAMP. Guidelines for the Monitoring and Assessment of Plastic Litter and Microplastics in the Ocean; United Nations Environment Programme: Nairobi, Kenya, 2019; p. 130. [Google Scholar]
- Fossi, M.C.; Romeo, T.; Baini, M.; Panti, C.; Marsili, L.; Campani, T.; Canese, S.; Galgani, F.; Druon, J.-N.; Airoldi, S. Plastic debris occurrence, convergence areas and fin whales feeding ground in the Mediterranean marine protected area Pelagos sanctuary: A modeling approach. Front. Mar. Sci. 2017, 4, 167. [Google Scholar] [CrossRef]
- McNeish, R.E.; Kim, L.H.; Barrett, H.A.; Mason, S.A.; Kelly, J.J.; Hoellein, T.J. Microplastic in riverine fish is connected to species traits. Sci. Rep. 2018, 8, 11639. [Google Scholar] [CrossRef] [Green Version]
- Eriksen, M.; Mason, S.; Wilson, S.; Box, C.; Zellers, A.; Edwards, W.; Farley, H.; Amato, S. Microplastic pollution in the surface waters of the Laurentian Great Lakes. Mar. Pollut. Bull. 2013, 77, 177–182. [Google Scholar] [CrossRef]
- Acharya, S.; Rumi, S.S.; Hu, Y.; Abidi, N. Microfibers from synthetic textiles as a major source of microplastics in the environment: A review. Text. Res. J. 2021, 91, 2136–2156. [Google Scholar] [CrossRef]
- Imhof, H.K.; Schmid, J.; Niessner, R.; Ivleva, N.P.; Laforsch, C. A novel, highly efficient method for the separation and quantification of plastic particles in sediments of aquatic environments. Limnol. Oceanogr. Meth. 2012, 10, 524–537. [Google Scholar] [CrossRef]
- Naji, A.; Nuri, M.; Amiri, P.; Niyogi, S. Small microplastic particles (S-MPPs) in sediments of mangrove ecosystem on the northern coast of the Persian Gulf. Mar. Pollut. Bull. 2019, 146, 305–311. [Google Scholar] [CrossRef] [PubMed]
- Abbasi, S.; Soltani, N.; Keshavarzi, B.; Moore, F.; Turner, A.; Hassanaghaei, M. Microplastics in different tissues of fish and prawn from the Musa Estuary, Persian Gulf. Chemosphere 2018, 205, 80–87. [Google Scholar] [CrossRef] [PubMed]
- Abidli, S.; Akkari, N.; Lahbib, Y.; El Menif, N.T. First evaluation of microplastics in two commercial fish species from the lagoons of Bizerte and Ghar El Melh (Northern Tunisia). Reg. Stud. Mar. Sci. 2021, 41, 101581. [Google Scholar] [CrossRef]
- Abiñon, B.S.F.; Camporedondo, B.S.; Mercadal, E.M.B.; Olegario, K.M.R.; Palapar, E.M.H.; Ypil, C.W.R.; Tambuli, A.E.; Lomboy, C.A.L.M.; Garces, J.J.C. Abundance and characteristics of microplastics in commercially sold fishes from Cebu Island, Philippines. Int. J. Aquat. Biol. 2020, 8, 424–433. [Google Scholar] [CrossRef]
- Agharokh, A.; S Taleshi, M.; Bibak, M.; Rasta, M.; Torabi Jafroudi, H.; Rubio Armesto, B. Assessing the relationship between the abundance of microplastics in sediments, surface waters, and fish in the Iran southern shores. Environ. Sci. Pollut. Res. Int. 2021, 29, 18546–18558. [Google Scholar] [CrossRef]
- Arias, A.H.; Ronda, A.C.; Oliva, A.L.; Marcovecchio, J.E. Evidence of Microplastic Ingestion by Fish from the Bahia Blanca Estuary in Argentina, South America. Bull. Environ. Contam. Toxicol. 2019, 102, 750–756. [Google Scholar] [CrossRef]
- Atamanalp, M.; Köktürk, M.; Parlak, V.; Ucar, A.; Arslan, G.; Alak, G. A new record for the presence of microplastics in dominant fish species of the Karasu River Erzurum, Turkey. Environ. Sci. Pollut. Res. Int. 2021, 29, 7866–7876. [Google Scholar] [CrossRef]
- Atamanalp, M.; Köktürk, M.; Uçar, A.; Duyar, H.A.; Özdemir, S.; Parlak, V.; Esenbuğa, N.; Alak, G. Microplastics in Tissues (Brain, Gill, Muscle and Gastrointestinal) of Mullus barbatus and Alosa immaculata. Arch. Environ. Contam. Toxicol. 2021, 81, 460–469. [Google Scholar] [CrossRef]
- Atici, A.A.; Sepil, A.; Sen, F. High levels of microplastic ingestion by commercial, planktivorous Alburnus tarichi in Lake Van, Turkey. Food Addit. Contam. Part A Chem. Anal. Control. Expo. Risk Assess 2021, 38, 1767–1777. [Google Scholar] [CrossRef] [PubMed]
- Avio, C.G.; Gorbi, S.; Regoli, F. Experimental development of a new protocol for extraction and characterization of microplastics in fish tissues: First observations in commercial species from Adriatic Sea. Mar. Environ. Res. 2015, 111, 18–26. [Google Scholar] [CrossRef] [PubMed]
- Avio, C.G.; Pittura, L.; d’Errico, G.; Abel, S.; Amorello, S.; Marino, G.; Gorbi, S.; Regoli, F. Distribution and characterization of microplastic particles and textile microfibers in Adriatic food webs: General insights for biomonitoring strategies. Environ. Pollut. 2020, 258, 113766. [Google Scholar] [CrossRef]
- Bagheri, T.; Gholizadeh, M.; Abarghouei, S.; Zakeri, M.; Hedayati, A.; Rabaniha, M.; Aghaeimoghadam, A.; Hafezieh, M. Microplastics distribution, abundance and composition in sediment, fishes and benthic organisms of the Gorgan Bay, Caspian sea. Chemosphere 2020, 257, 127201. [Google Scholar] [CrossRef] [PubMed]
- Bayo, J.; Rojo, D.; Martinez-Banos, P.; Lopez-Castellanos, J.; Olmos, S. Commercial Gilthead Seabream (Sparus aurata L.) from the Mar Menor Coastal Lagoon as Hotspots of Microplastic Accumulation in the Digestive System. Int. J. Environ. Res. Public Health 2021, 18, 6844. [Google Scholar] [CrossRef]
- Beer, S.; Garm, A.; Huwer, B.; Dierking, J.; Nielsen, T.G. No increase in marine microplastic concentration over the last three decades—A case study from the Baltic Sea. Sci. Total Environ. 2018, 621, 1272–1279. [Google Scholar] [CrossRef] [PubMed]
- Bellas, J.; Martinez-Armental, J.; Martinez-Camara, A.; Besada, V.; Martinez-Gomez, C. Ingestion of microplastics by demersal fish from the Spanish Atlantic and Mediterranean coasts. Mar. Pollut. Bull. 2016, 109, 55–60. [Google Scholar] [CrossRef]
- Bessa, F.; Barria, P.; Neto, J.M.; Frias, J.; Otero, V.; Sobral, P.; Marques, J.C. Occurrence of microplastics in commercial fish from a natural estuarine environment. Mar. Pollut. Bull. 2018, 128, 575–584. [Google Scholar] [CrossRef]
- Bottari, T.; Savoca, S.; Mancuso, M.; Capillo, G.; GiuseppePanarello, G.; MartinaBonsignore, M.; Crupi, R.; Sanfilippo, M.; D’Urso, L.; Compagnini, G.; et al. Plastics occurrence in the gastrointestinal tract of Zeus faber and Lepidopus caudatus from the Tyrrhenian Sea. Mar. Pollut. Bull. 2019, 146, 408–416. [Google Scholar] [CrossRef]
- Chen, J.C.; Fang, C.; Zheng, R.H.; Hong, F.K.; Jiang, Y.L.; Zhang, M.; Li, Y.; Hamid, F.S.; Bo, J.; Lin, L.S. Microplastic pollution in wild commercial nekton from the South China Sea and Indian Ocean, and its implication to human health. Mar. Environ. Res. 2021, 167, 105295. [Google Scholar] [CrossRef]
- Cordova, M.R.; Riani, E.; Shiomoto, A. Microplastics ingestion by blue panchax fish (Aplocheilus sp.) from Ciliwung Estuary, Jakarta, Indonesia. Mar. Pollut. Bull. 2020, 161, 111763. [Google Scholar] [CrossRef] [PubMed]
- Crutchett, T.; Paterson, H.; Ford, B.M.; Speldewinde, P. Plastic Ingestion in Sardines (Sardinops sagax) From Frenchman Bay, Western Australia, Highlights a Problem in a Ubiquitous Fish. Front. Mar. Sci. 2020, 7, 526. [Google Scholar] [CrossRef]
- Da Silva, J.M.; Alves, L.M.F.; Laranjeiro, M.I.; Bessa, F.; Silva, A.V.; Norte, A.C.; Lemos, M.F.L.; Ramos, J.A.; Novais, S.C.; Ceia, F.R. Accumulation of chemical elements and occurrence of microplastics in small pelagic fish from a neritic environment. Environ. Pollut. 2022, 292, 118451. [Google Scholar] [CrossRef] [PubMed]
- Daniel, D.B.; Ashraf, P.M.; Thomas, S.N. Microplastics in the edible and inedible tissues of pelagic fishes sold for human consumption in Kerala, India. Environ. Pollut. 2020, 266, 115365. [Google Scholar] [CrossRef]
- Dhimmer, V.R. Microplastics in Gastrointestinal Tracts of Trachurus trachurus and Scomber colias from the Portuguese Coastal Waters. Ph.D. Thesis, Universidade Nova de Lisboa, Lisbon, Portugal, 2017. [Google Scholar]
- Digka, N.; Tsangaris, C.; Torre, M.; Anastasopoulou, A.; Zeri, C. Microplastics in mussels and fish from the Northern Ionian Sea. Mar. Pollut. Bull. 2018, 135, 30–40. [Google Scholar] [CrossRef]
- Ding, J.; Jiang, F.; Li, J.; Wang, Z.; Sun, C.; Wang, Z.; Fu, L.; Ding, N.X.; He, C. Microplastics in the Coral Reef Systems from Xisha Islands of South China Sea. Environ. Sci. Technol. 2019, 53, 8036–8046. [Google Scholar] [CrossRef]
- Feng, Z.; Zhang, T.; Li, Y.; He, X.; Wang, R.; Xu, J.; Gao, G. The accumulation of microplastics in fish from an important fish farm and mariculture area, Haizhou Bay, China. Sci. Total Environ. 2019, 696, 133948. [Google Scholar] [CrossRef]
- Garcia-Garin, O.; Vighi, M.; Aguilar, A.; Tsangaris, C.; Digka, N.; Kaberi, H.; Borrell, A. Boops boops as a bioindicator of microplastic pollution along the Spanish Catalan coast. Mar. Pollut. Bull. 2019, 149, 110648. [Google Scholar] [CrossRef]
- Ghosh, G.C.; Akter, S.M.; Islam, R.M.; Habib, A.; Chakraborty, T.K.; Zaman, S.; Kabir, A.E.; Shipin, O.V.; Wahid, M.A. Microplastics contamination in commercial marine fish from the Bay of Bengal. Reg. Stud. Mar. Sci. 2021, 44, 101728. [Google Scholar] [CrossRef]
- Gurjar, U.R.; Xavier, K.A.M.; Shukla, S.P.; Deshmukhe, G.; Jaiswar, A.K.; Nayak, B.B. Incidence of microplastics in gastrointestinal tract of golden anchovy (Coilia dussumieri) from north east coast of Arabian Sea: The ecological perspective. Mar. Pollut. Bull. 2021, 169, 112518. [Google Scholar] [CrossRef]
- Gurjar, U.R.; Xavier, K.A.M.; Shukla, S.P.; Jaiswar, A.K.; Deshmukhe, G.; Nayak, B.B. Microplastic pollution in coastal ecosystem off Mumbai coast, India. Chemosphere 2021, 288, 132484. [Google Scholar] [CrossRef] [PubMed]
- Hamilton, B.M.; Rochman, C.M.; Hoellein, T.J.; Robison, B.H.; Van Houtan, K.S.; Choy, C.A. Prevalence of microplastics and anthropogenic debris within a deep-sea food web. Mar. Ecol. Prog. Ser. 2021, 675, 23–33. [Google Scholar] [CrossRef]
- Heshmati, S.; Makhdoumi, P.; Pirsaheb, M.; Hossini, H.; Ahmadi, S.; Fattahi, H. Occurrence and characterization of microplastic content in the digestive system of riverine fishes. J. Environ. Manag. 2021, 299, 113620. [Google Scholar] [CrossRef] [PubMed]
- Hipfner, J.M.; Galbraith, M.; Tucker, S.; Studholme, K.R.; Domalik, A.D.; Pearson, S.F.; Good, T.P.; Ross, P.S.; Hodum, P. Two forage fishes as potential conduits for the vertical transfer of microfibres in Northeastern Pacific Ocean food webs. Env. Pollut. 2018, 239, 215–222. [Google Scholar] [CrossRef]
- Hossain, M.S.; Sobhan, F.; Uddin, M.N.; Sharifuzzaman, S.M.; Chowdhury, S.R.; Sarker, S.; Chowdhury, M.S.N. Microplastics in fishes from the Northern Bay of Bengal. Sci. Total Environ. 2019, 690, 821–830. [Google Scholar] [CrossRef]
- Hosseinpour, A.; Chamani, A.; Mirzaei, R.; Mohebbi-Nozar, S.L. Occurrence, abundance and characteristics of microplastics in some commercial fish of northern coasts of the Persian Gulf. Mar. Pollut. Bull. 2021, 171, 112693. [Google Scholar] [CrossRef]
- Huang, J.S.; Koongolla, J.B.; Li, H.X.; Lin, L.; Pan, Y.F.; Liu, S.; He, W.H.; Maharana, D.; Xu, X.R. Microplastic accumulation in fish from Zhanjiang mangrove wetland, South China. Sci. Total Sci. Total Environ. 2020, 708, 134839. [Google Scholar] [CrossRef]
- Jaafar, N.; Azfaralariff, A.; Musa, S.M.; Mohamed, M.; Yusoff, A.H.; Lazim, A.M. Occurrence, distribution and characteristics of microplastics in gastrointestinal tract and gills of commercial marine fish from Malaysia. Sci. Total Environ. 2021, 799, 149457. [Google Scholar] [CrossRef]
- James, K.; Vasant, K.; Padua, S.; Gopinath, V.; Abilash, K.S.; Jeyabaskaran, R.; Babu, A.; John, S. An assessment of microplastics in the ecosystem and selected commercially important fishes off Kochi, south eastern Arabian Sea, India. Mar. Pollut. Bull. 2020, 154, 111027. [Google Scholar] [CrossRef]
- Karbalaei, S.; Golieskardi, A.; Hamzah, H.B.; Abdulwahid, S.; Hanachi, P.; Walker, T.R.; Karami, A. Abundance and characteristics of microplastics in commercial marine fish from Malaysia. Mar. Pollut. Bull. 2019, 148, 5–15. [Google Scholar] [CrossRef]
- Koongolla, J.B.; Lin, L.; Pan, Y.F.; Yang, C.P.; Sun, D.R.; Liu, S.; Xu, X.R.; Maharana, D.; Huang, J.S.; Li, H.X. Occurrence of microplastics in gastrointestinal tracts and gills of fish from Beibu Gulf, South China Sea. Environ. Pollut. 2020, 258, 113734. [Google Scholar] [CrossRef] [PubMed]
- Li, W.; Pan, Z.; Xu, J.; Liu, Q.; Zou, Q.; Lin, H.; Wu, L.; Huang, H. Microplastics in a pelagic dolphinfish (Coryphaena hippurus) from the Eastern Pacific Ocean and the implications for fish health. Sci. Total Environ. 2021, 809, 151126. [Google Scholar] [CrossRef] [PubMed]
- Lin, L.; Ma, L.S.; Li, H.X.; Pan, Y.F.; Liu, S.; Zhang, L.; Peng, J.P.; Fok, L.; Xu, X.R.; He, W.H. Low level of microplastic contamination in wild fish from an urban estuary. Mar. Pollut. Bull. 2020, 160, 111650. [Google Scholar] [CrossRef] [PubMed]
- Liu, S.; Chen, H.; Wang, J.; Su, L.; Wang, X.; Zhu, J.; Lan, W. The distribution of microplastics in water, sediment, and fish of the Dafeng River, a remote river in China. Ecotoxicol. Environ. Saf. 2021, 228, 113009. [Google Scholar] [CrossRef] [PubMed]
- Lopes, C.; Raimundo, J.; Caetano, M.; Garrido, S. Microplastic ingestion and diet composition of planktivorous fish. Limnol. Oceanogr. Lett. 2020, 5, 103–112. [Google Scholar] [CrossRef] [Green Version]
- Lusher, A.L.; McHugh, M.; Thompson, R.C. Occurrence of microplastics in the gastrointestinal tract of pelagic and demersal fish from the English Channel. Mar. Pollut. Bull. 2013, 67, 94–99. [Google Scholar] [CrossRef]
- Lusher, A.L.; O’Donnell, C.; Officer, R.; O’Connor, I. Microplastic interactions with North Atlantic mesopelagic fish. ICES J. Mar. Sci. 2016, 73, 1214–1225. [Google Scholar] [CrossRef]
- Makhdoumi, P.; Hossini, H.; Nazmara, Z.; Mansouri, K.; Pirsaheb, M. Occurrence and exposure analysis of microplastic in the gut and muscle tissue of riverine fish in Kermanshah province of Iran. Mar. Pollut. Bull. 2021, 173, 112915. [Google Scholar] [CrossRef]
- McIlwraith, H.K.; Kim, J.; Helm, P.; Bhavsar, S.P.; Metzger, J.S.; Rochman, C.M. Evidence of Microplastic Translocation in Wild-Caught Fish and Implications for Microplastic Accumulation Dynamics in Food Webs. Environ. Sci. Technol. 2021, 55, 12372–12382. [Google Scholar] [CrossRef]
- Morgana, S.; Ghigliotti, L.; Estevez-Calvar, N.; Stifanese, R.; Wieckzorek, A.; Doyle, T.; Christiansen, J.S.; Faimali, M.; Garaventa, F. Microplastics in the Arctic: A case study with sub-surface water and fish samples off Northeast Greenland. Environ. Pollut. 2018, 242, 1078–1086. [Google Scholar] [CrossRef]
- Murphy, F.; Russell, M.; Ewins, C.; Quinn, B. The uptake of macroplastic & microplastic by demersal & pelagic fish in the Northeast Atlantic around Scotland. Mar. Pollut. Bull. 2017, 122, 353–359. [Google Scholar] [CrossRef] [PubMed] [Green Version]
- Naidoo, T.; Sershen; Thompson, R.C.; Rajkaran, A. Quantification and characterisation of microplastics ingested by selected juvenile fish species associated with mangroves in KwaZulu-Natal, South Africa. Environ. Pollut. 2020, 257, 113635. [Google Scholar] [CrossRef] [PubMed]
- Nematollahi, M.J.; Keshavarzi, B.; Moore, F.; Esmaeili, H.R.; Nasrollahzadeh Saravi, H.; Sorooshian, A. Microplastic fibers in the gut of highly consumed fish species from the southern Caspian Sea. Mar. Pollut. Bull. 2021, 168, 112461. [Google Scholar] [CrossRef] [PubMed]
- Nikki, R.; Abdul Jaleel, K.U.; Ragesh, S.; Shini, S.; Saha, M.; Dinesh Kumar, P.K. Abundance and characteristics of microplastics in commercially important bottom dwelling finfishes and shellfish of the Vembanad Lake, India. Mar. Pollut. Bull. 2021, 172, 112803. [Google Scholar] [CrossRef] [PubMed]
- O’Connor, J.D.; Murphy, S.; Lally, H.T.; O’Connor, I.; Nash, R.; O’Sullivan, J.; Bruen, M.; Heerey, L.; Koelmans, A.A.; Cullagh, A.; et al. Microplastics in brown trout (Salmo trutta Linnaeus, 1758) from an Irish riverine system. Environ. Pollut. 2020, 267, 115572. [Google Scholar] [CrossRef] [PubMed]
- Palazzo, L.; Coppa, S.; Camedda, A.; Cocca, M.; De Falco, F.; Vianello, A.; Massaro, G.; de Lucia, G.A. A novel approach based on multiple fish species and water column compartments in assessing vertical microlitter distribution and composition. Env. Pollut. 2021, 272, 116419. [Google Scholar] [CrossRef]
- Palermo, J.; Labrador, K.; Follante, J.; Agmata, A.; Pante, M.; Rollon, R.; David, L. Susceptibility of Sardinella lemuru to emerging marine microplastic pollution. Glob. J. Environ. Sci. Manag. 2020, 6, 373–384. [Google Scholar] [CrossRef]
- Pan, Z.; Zhang, C.; Wang, S.; Sun, D.; Zhou, A.; Xie, S.; Xu, G.; Zou, J. Occurrence of Microplastics in the Gastrointestinal Tract and Gills of Fish from Guangdong, South China. J. Mar. Sci. Eng. 2021, 9, 981. [Google Scholar] [CrossRef]
- Park, T.J.; Kim, M.K.; Lee, S.H.; Lee, Y.S.; Kim, M.J.; Song, H.Y.; Park, J.H.; Zoh, K.D. Occurrence and characteristics of microplastics in fish of the Han River, South Korea: Factors affecting microplastic abundance in fish. Environ. Res. 2021, 206, 112647. [Google Scholar] [CrossRef]
- Parton, K.J.; Godley, B.J.; Santillo, D.; Tausif, M.; Omeyer, L.C.M.; Galloway, T.S. Investigating the presence of microplastics in demersal sharks of the North-East Atlantic. Sci. Rep. 2020, 10, 12204. [Google Scholar] [CrossRef]
- Parvin, F.; Jannat, S.; Tareq, S.M. Abundance, characteristics and variation of microplastics in different freshwater fish species from Bangladesh. Sci. Total Environ. 2021, 784, 147137. [Google Scholar] [CrossRef] [PubMed]
- Pellini, G.; Gomiero, A.; Fortibuoni, T.; Ferra, C.; Grati, F.; Tassetti, A.N.; Polidori, P.; Fabi, G.; Scarcella, G. Characterization of microplastic litter in the gastrointestinal tract of Solea solea from the Adriatic Sea. Environ. Pollut. 2018, 234, 943–952. [Google Scholar] [CrossRef] [PubMed]
- Pereira, J.M.; Rodriguez, Y.; Blasco-Monleon, S.; Porter, A.; Lewis, C.; Pham, C.K. Microplastic in the stomachs of open-ocean and deep-sea fishes of the North-East Atlantic. Environ. Pollut. 2020, 265, 115060. [Google Scholar] [CrossRef] [PubMed]
- Piccardo, M.; Felline, S.; Terlizzi, A. Preliminary Assessment of Microplastic Accumulation in Wild Mediterranean Species. Proceedings of the International Conference on Microplastic Pollution in the Mediterranean Sea; Springer Water: Cham. Switzerland, 2018; pp. 115–120. [Google Scholar]
- Pullen, E.V. Microplastics in the Digestive System of the Atlantic Sharpnose Shark (Rhizoprionodon terraenovae) in Winyah Bay, SC. Master’s Thesis, Coastal Carolina University, Conway, SC, USA, 2019. [Google Scholar]
- Rasta, M.; Sattari, M.; Taleshi, M.S.; Namin, J.I. Microplastics in different tissues of some commercially important fish species from Anzali Wetland in the Southwest Caspian Sea, Northern Iran. Mar. Pollut. Bull. 2021, 169, 112479. [Google Scholar] [CrossRef]
- Rios-Fuster, B.; Alomar, C.; Compa, M.; Guijarro, B.; Deudero, S. Anthropogenic particles ingestion in fish species from two areas of the western Mediterranean Sea. Mar. Pollut. Bull. 2019, 144, 325–333. [Google Scholar] [CrossRef]
- Rodriguez-Romeu, O.; Constenla, M.; Carrasson, M.; Campoy-Quiles, M.; Soler-Membrives, A. Are anthropogenic fibres a real problem for red mullets (Mullus barbatus) from the NW Mediterranean? Sci. Total Environ. 2020, 733, 139336. [Google Scholar] [CrossRef]
- Romeo, T.; Pietro, B.; Peda, C.; Consoli, P.; Andaloro, F.; Fossi, M.C. First evidence of presence of plastic debris in stomach of large pelagic fish in the Mediterranean Sea. Mar. Pollut. Bull. 2015, 95, 358–361. [Google Scholar] [CrossRef]
- Rummel, C.D.; Loder, M.G.; Fricke, N.F.; Lang, T.; Griebeler, E.M.; Janke, M.; Gerdts, G. Plastic ingestion by pelagic and demersal fish from the North Sea and Baltic Sea. Mar. Pollut. Bull. 2016, 102, 134–141. [Google Scholar] [CrossRef]
- Sainio, E.; Lehtiniemi, M.; Setälä, O. Microplastic ingestion by small coastal fish in the northern Baltic Sea, Finland. Mar. Pollut. Bull. 2021, 172, 112814. [Google Scholar] [CrossRef]
- Sathish, M.N.; Jeyasanta, I.; Patterson, J. Occurrence of microplastics in epipelagic and mesopelagic fishes from Tuticorin, Southeast coast of India. Sci. Total Environ. 2020, 720, 137614. [Google Scholar] [CrossRef]
- Savoca, S.; Matanović, K.; D’Angelo, G.; Vetri, V.; Anselmo, S.; Bottari, T.; Mancuso, M.; Kužir, S.; Spanò, N.; Capillo, G. Ingestion of plastic and non-plastic microfibers by farmed gilthead sea bream (Sparus aurata) and common carp (Cyprinus carpio) at different life stages. Sci. Total Environ. 2021, 782, 146851. [Google Scholar] [CrossRef]
- Selvam, S.; Manisha, A.; Roy, P.D.; Venkatramanan, S.; Chung, S.; Muthukumar, P.; Jesuraja, K.; Elgorban, A.M.; Ahmed, B.; Elzain, H.E. Microplastics and trace metals in fish species of the Gulf of Mannar (Indian Ocean) and evaluation of human health. Environ. Pollut. 2021, 291, 118089. [Google Scholar] [CrossRef] [PubMed]
- Shabaka, S.H.; Marey, R.S.; Ghobashy, M.; Abushady, A.M.; Ismail, G.A.; Khairy, H.M. Thermal analysis and enhanced visual technique for assessment of microplastics in fish from an Urban Harbor, Mediterranean Coast of Egypt. Mar. Pollut. Bull. 2020, 159, 111465. [Google Scholar] [CrossRef] [PubMed]
- Siddique, M.A.M.; Uddin, A.; Rahman, S.M.A.; Rahman, M.; Islam, M.S.; Kibria, G. Microplastics in an anadromous national fish, Hilsa shad Tenualosa ilisha from the Bay of Bengal, Bangladesh. Mar. Pollut. Bull. 2021, 174, 113236. [Google Scholar] [CrossRef]
- Silva-Cavalcanti, J.S.; Silva, J.D.B.; Franca, E.J.; Araujo, M.C.B.; Gusmao, F. Microplastics ingestion by a common tropical freshwater fishing resource. Environ. Pollut. 2017, 221, 218–226. [Google Scholar] [CrossRef]
- Sparks, C.; Immelman, S. Microplastics in offshore fish from the Agulhas Bank, South Africa. Mar. Pollut. Bull. 2020, 156, 111216. [Google Scholar] [CrossRef]
- Su, L.; Deng, H.; Li, B.; Chen, Q.; Pettigrove, V.; Wu, C.; Shi, H. The occurrence of microplastic in specific organs in commercially caught fishes from coast and estuary area of east China. J. Hazard. Mater. 2019, 365, 716–724. [Google Scholar] [CrossRef]
- Sun, X.; Li, Q.; Shi, Y.; Zhao, Y.; Zheng, S.; Liang, J.; Liu, T.; Tian, Z. Characteristics and retention of microplastics in the digestive tracts of fish from the Yellow Sea. Environ. Pollut. 2019, 249, 878–885. [Google Scholar] [CrossRef]
- Suwartiningsih, N.; Setyowati, I.; Astuti, R. Microplastics in pelagic and demersal fishes of Pantai Baron, Yogyakarta, Indonesia. J. Biodjati. 2020, 5, 33–49. [Google Scholar] [CrossRef]
- Taghizadeh Rahmat Abadi, Z.; Abtahi, B.; Grossart, H.P.; Khodabandeh, S. Microplastic content of Kutum fish, Rutilus frisii kutum in the southern Caspian Sea. Sci. Total Environ. 2021, 752, 141542. [Google Scholar] [CrossRef]
- Tanaka, K.; Takada, H. Microplastic fragments and microbeads in digestive tracts of planktivorous fish from urban coastal waters. Sci. Rep. 2016, 6, 34351. [Google Scholar] [CrossRef] [PubMed]
- Tsangaris, C.; Digka, N.; Valente, T.; Aguilar, A.; Borrell, A.; de Lucia, G.A.; Gambaiani, D.; Garcia-Garin, O.; Kaberi, H.; Martin, J.; et al. Using Boops boops (osteichthyes) to assess microplastic ingestion in the Mediterranean Sea. Mar. Pollut. Bull. 2020, 158, 111397. [Google Scholar] [CrossRef] [PubMed]
- Turhan, D.Ö. Evaluation of Microplastics in the Surface Water, Sediment and Fish of Sürgü Dam Reservoir (Malatya) in Turkey. Turk. J. Fish Aquat. Sci. 2021, 22, TRJFAS20157. [Google Scholar] [CrossRef]
- Valente, T.; Sbrana, A.; Scacco, U.; Jacomini, C.; Bianchi, J.; Palazzo, L.; de Lucia, G.A.; Silvestri, C.; Matiddi, M. Exploring microplastic ingestion by three deep-water elasmobranch species: A case study from the Tyrrhenian Sea. Environ. Pollut. 2019, 253, 342–350. [Google Scholar] [CrossRef]
- Wang, F.; Wu, H.; Wu, W.; Wang, L.; Liu, J.; An, L.; Xu, Q. Microplastic characteristics in organisms of different trophic levels from Liaohe Estuary, China. Sci. Total Env. 2021, 789, 148027. [Google Scholar] [CrossRef]
- Wang, Q.; Zhu, X.; Hou, C.; Wu, Y.; Teng, J.; Zhang, C.; Tan, H.; Shan, E.; Zhang, W.; Zhao, J. Microplastic uptake in commercial fishes from the Bohai Sea, China. Chemosphere 2021, 263, 127962. [Google Scholar] [CrossRef]
- Wang, S.; Zhang, C.; Pan, Z.; Sun, D.; Zhou, A.; Xie, S.; Wang, J.; Zou, J. Microplastics in wild freshwater fish of different feeding habits from Beijiang and Pearl River Delta regions, south China. Chemosphere 2020, 258, 127345. [Google Scholar] [CrossRef]
- Wieczorek, A.M.; Morrison, L.; Croot, P.L.; Allcock, A.L.; MacLoughlin, E.; Savard, O.; Brownlow, H.; Doyle, T.K. Frequency of microplastics in mesopelagic fishes from the Northwest Atlantic. Front. Mar. Sci. 2018, 5, 39. [Google Scholar] [CrossRef] [Green Version]
- Wootton, N.; Ferreira, M.; Reis-Santos, P.; Gillanders, B.M. A Comparison of Microplastic in Fish from Australia and Fiji. Front. Mar. Sci. 2021, 8, 677. [Google Scholar] [CrossRef]
- Wootton, N.; Reis-Santos, P.; Dowsett, N.; Turnbull, A.; Gillanders, B.M. Low abundance of microplastics in commercially caught fish across southern Australia. Environ. Pollut. 2021, 290, 118030. [Google Scholar] [CrossRef]
- Wu, F.; Wang, Y.; Leung, J.Y.S.; Huang, W.; Zeng, J.; Tang, Y.; Chen, J.; Shi, A.; Yu, X.; Xu, X.; et al. Accumulation of microplastics in typical commercial aquatic species: A case study at a productive aquaculture site in China. Sci. Total Env. 2020, 708, 135432. [Google Scholar] [CrossRef] [PubMed]
- Xu, X.; Zhang, L.; Xue, Y.; Gao, Y.; Wang, L.; Peng, M.; Jiang, S.; Zhang, Q. Microplastic pollution characteristic in surface water and freshwater fish of Gehu Lake, China. Environ. Sci Pollut. Res. Int. 2021, 28, 67203–67213. [Google Scholar] [CrossRef] [PubMed]
- Yuan, W.; Liu, X.; Wang, W.; Di, M.; Wang, J. Microplastic abundance, distribution and composition in water, sediments, and wild fish from Poyang Lake, China. Ecotoxicol. Environ. Saf. 2019, 170, 180–187. [Google Scholar] [CrossRef] [PubMed]
- Zakeri, M.; Naji, A.; Akbarzadeh, A.; Uddin, S. Microplastic ingestion in important commercial fish in the southern Caspian Sea. Mar. Pollut. Bull. 2020, 160, 111598. [Google Scholar] [CrossRef] [PubMed]
- Zhang, C.; Wang, S.; Pan, Z.; Sun, D.; Xie, S.; Zhou, A.; Wang, J.; Zou, J. Occurrence and distribution of microplastics in commercial fishes from estuarine areas of Guangdong, South China. Chemosphere 2020, 260, 127656. [Google Scholar] [CrossRef] [PubMed]
- Zhang, D.; Cui, Y.; Zhou, H.; Jin, C.; Yu, X.; Xu, Y.; Li, Y.; Zhang, C. Microplastic pollution in water, sediment, and fish from artificial reefs around the Ma’an Archipelago, Shengsi, China. Sci. Total Environ. 2020, 703, 134768. [Google Scholar] [CrossRef] [PubMed]
- Zhang, F.; Wang, X.; Xu, J.; Zhu, L.; Peng, G.; Xu, P.; Li, D. Food-web transfer of microplastics between wild caught fish and crustaceans in East China Sea. Mar. Pollut. Bull. 2019, 146, 173–182. [Google Scholar] [CrossRef]
- Zhang, F.; Xu, J.; Zhu, L.; Peng, G.; Jabeen, K.; Wang, X.; Li, D. Seasonal distributions of microplastics and estimation of the microplastic load ingested by wild caught fish in the East China Sea. J. Hazard. Mater. 2021, 419, 126456. [Google Scholar] [CrossRef]
- Zhang, L.; Xie, Y.; Zhong, S.; Liu, J.; Qin, Y.; Gao, P. Microplastics in freshwater and wild fishes from Lijiang River in Guangxi, Southwest China. Sci. Total Environ. 2021, 755, 142428. [Google Scholar] [CrossRef]
- Zhang, S.; Sun, Y.; Liu, B.; Li, R. Full size microplastics in crab and fish collected from the mangrove wetland of Beibu Gulf: Evidences from Raman Tweezers (1–20 mum) and spectroscopy (20–5000 mum). Sci. Total Environ. 2021, 759, 143504. [Google Scholar] [CrossRef]
- Zheng, K.; Fan, Y.; Zhu, Z.; Chen, G.; Tang, C.; Peng, X. Occurrence and Species-Specific Distribution of Plastic Debris in Wild Freshwater Fish from the Pearl River Catchment, China. Environ. Toxicol. Chem. 2019, 38, 1504–1513. [Google Scholar] [CrossRef] [PubMed]
- Zhu, J.; Zhang, Q.; Li, Y.; Tan, S.; Kang, Z.; Yu, X.; Lan, W.; Cai, L.; Wang, J.; Shi, H. Microplastic pollution in the Maowei Sea, a typical mariculture bay of China. Sci. Total Environ. 2019, 658, 62–68. [Google Scholar] [CrossRef] [PubMed]
- Zhu, L.; Wang, H.; Chen, B.; Sun, X.; Qu, K.; Xia, B. Microplastic ingestion in deep-sea fish from the South China Sea. Sci. Total Environ. 2019, 677, 493–501. [Google Scholar] [CrossRef] [PubMed]
- Lindeque, P.K.; Cole, M.; Coppock, R.L.; Lewis, C.N.; Miller, R.Z.; Watts, A.J.R.; Wilson-McNeal, A.; Wright, S.L.; Galloway, T.S. Are we underestimating microplastic abundance in the marine environment? A comparison of microplastic capture with nets of different mesh-size. Environ. Pollut. 2020, 265, 114721. [Google Scholar] [CrossRef] [PubMed]
- Roch, S.; Ros, A.F.; Friedrich, C.; Brinker, A. Microplastic evacuation in fish is particle size-dependent. Freshw. Biol. 2021, 66, 926–935. [Google Scholar] [CrossRef]
- Jantz, L.A.; Morishige, C.L.; Bruland, G.L.; Lepczyk, C.A. Ingestion of plastic marine debris by longnose lancetfish (Alepisaurus ferox) in the North Pacific Ocean. Mar. Pollut. Bull. 2013, 69, 97–104. [Google Scholar] [CrossRef]
- Liboiron, M.; Melvin, J.; Richard, N.; Saturno, J.; Ammendolia, J.; Liboiron, F.; Charron, L.; Mather, C. Low incidence of plastic ingestion among three fish species significant for human consumption on the island of Newfoundland, Canada. Mar. Pollut. Bull. 2019, 141, 244–248. [Google Scholar] [CrossRef]
- Santos, T.d.; Bastian, R.; Felden, J.; Rauber, A.M.; Reynalte-Tataje, D.A.; Mello, F.T.d. First record of microplastics in two freshwater fish species (Iheringhthys labrosus and Astyanax lacustris) from the middle section of the Uruguay River, Brazil. Acta Limnol. Bras. 2020, 32, e26. [Google Scholar] [CrossRef]
- Saturno, J.; Liboiron, M.; Ammendolia, J.; Healey, N.; Earles, E.; Duman, N.; Schoot, I.; Morris, T.; Favaro, B. Occurrence of plastics ingested by Atlantic cod (Gadus morhua) destined for human consumption (Fogo Island, Newfoundland and Labrador). Mar. Pollut. Bull. 2020, 153, 110993. [Google Scholar] [CrossRef]
- Gago, J.; Carretero, O.; Filgueiras, A.V.; Vinas, L. Synthetic microfibers in the marine environment: A review on their occurrence in seawater and sediments. Mar. Pollut. Bull. 2018, 127, 365–376. [Google Scholar] [CrossRef]
- Xu, Y.; Chan, F.K.S.; Stanton, T.; Johnson, M.F.; Kay, P.; He, J.; Wang, J.; Kong, C.; Wang, Z.; Liu, D.; et al. Synthesis of dominant plastic microfibre prevalence and pollution control feasibility in Chinese freshwater environments. Sci. Total Environ. 2021, 783, 146863. [Google Scholar] [CrossRef] [PubMed]
- Wang, W.; Ndungu, A.W.; Li, Z.; Wang, J. Microplastics pollution in inland freshwaters of China: A case study in urban surface waters of Wuhan, China. Sci. Total Environ. 2017, 575, 1369–1374. [Google Scholar] [CrossRef] [PubMed]
- Burns, E.E.; Boxall, A.B.A. Microplastics in the aquatic environment: Evidence for or against adverse impacts and major knowledge gaps. Environ. Toxicol. Chem. 2018, 37, 2776–2796. [Google Scholar] [CrossRef] [PubMed] [Green Version]
- Chen, G.; Li, Y.; Wang, J. Occurrence and ecological impact of microplastics in aquaculture ecosystems. Chemosphere 2021, 274, 129989. [Google Scholar] [CrossRef]
- Napper, I.E.; Thompson, R.C. Release of synthetic microplastic plastic fibres from domestic washing machines: Effects of fabric type and washing conditions. Mar. Pollut. Bull. 2016, 112, 39–45. [Google Scholar] [CrossRef] [Green Version]
- Li, B.; Liang, W.; Liu, Q.X.; Fu, S.; Ma, C.; Chen, Q.; Su, L.; Craig, N.J.; Shi, H. Fish Ingest Microplastics Unintentionally. Env. Sci Technol. 2021, 55, 10471–10479. [Google Scholar] [CrossRef]
- Qiao, R.; Deng, Y.; Zhang, S.; Wolosker, M.B.; Zhu, Q.; Ren, H.; Zhang, Y. Accumulation of different shapes of microplastics initiates intestinal injury and gut microbiota dysbiosis in the gut of zebrafish. Chemosphere 2019, 236, 124334. [Google Scholar] [CrossRef]
- Grigorakis, S.; Mason, S.A.; Drouillard, K.G. Determination of the gut retention of plastic microbeads and microfibers in goldfish (Carassius auratus). Chemosphere 2017, 169, 233–238. [Google Scholar] [CrossRef] [Green Version]
- Marti, E.; Martin, C.; Galli, M.; Echevarria, F.; Duarte, C.M.; Cozar, A. The Colors of the Ocean Plastics. Env. Sci. Technol. 2020, 54, 6594–6601. [Google Scholar] [CrossRef]
- Suaria, G.; Achtypi, A.; Perold, V.; Lee, J.R.; Pierucci, A.; Bornman, T.G.; Aliani, S.; Ryan, P.G. Microfibers in oceanic surface waters: A global characterization. Sci. Adv. 2020, 6, eaay8493. [Google Scholar] [CrossRef]
- Barrows, A.P.W.; Cathey, S.E.; Petersen, C.W. Marine environment microfiber contamination: Global patterns and the diversity of microparticle origins. Environ. Pollut. 2018, 237, 275–284. [Google Scholar] [CrossRef] [PubMed] [Green Version]
- Lu, H.-C.; Ziajahromi, S.; Neale, P.A.; Leusch, F.D. A systematic review of freshwater microplastics in water and sediments: Recommendations for harmonisation to enhance future study comparisons. Sci. Total Environ. 2021, 781, 146693. [Google Scholar] [CrossRef]
- Carson, H.S. The incidence of plastic ingestion by fishes: From the prey’s perspective. Mar. Pollut. Bull. 2013, 74, 170–174. [Google Scholar] [CrossRef] [PubMed]
- Ory, N.C.; Sobral, P.; Ferreira, J.L.; Thiel, M. Amberstripe scad Decapterus muroadsi (Carangidae) fish ingest blue microplastics resembling their copepod prey along the coast of Rapa Nui (Easter Island) in the South Pacific subtropical gyre. Sci. Total Environ. 2017, 586, 430–437. [Google Scholar] [CrossRef] [PubMed]
- Gove, J.M.; Whitney, J.L.; McManus, M.A.; Lecky, J.; Carvalho, F.C.; Lynch, J.M.; Li, J.; Neubauer, P.; Smith, K.A.; Phipps, J.E.; et al. Prey-size plastics are invading larval fish nurseries. Proc. Natl. Acad. Sci. USA 2019, 116, 24143–24149. [Google Scholar] [CrossRef] [PubMed] [Green Version]
- Herrera, A.; Stindlova, A.; Martinez, I.; Rapp, J.; Romero-Kutzner, V.; Samper, M.D.; Montoto, T.; Aguiar-Gonzalez, B.; Packard, T.; Gomez, M. Microplastic ingestion by Atlantic chub mackerel (Scomber colias) in the Canary Islands coast. Mar. Pollut. Bull. 2019, 139, 127–135. [Google Scholar] [CrossRef]
- Herring, P. Blue pigment of a surface-living oceanic copepod. Nature 1965, 205, 103–104. [Google Scholar] [CrossRef]
- Erni-Cassola, G.; Zadjelovic, V.; Gibson, M.I.; Christie-Oleza, J.A. Distribution of plastic polymer types in the marine environment; A meta-analysis. J. Hazard. Mater. 2019, 369, 691–698. [Google Scholar] [CrossRef]
- Yang, L.; Zhang, Y.; Kang, S.; Wang, Z.; Wu, C. Microplastics in freshwater sediment: A review on methods, occurrence, and sources. Sci. Total Environ. 2021, 754, 141948. [Google Scholar] [CrossRef]
- Geyer, R.; Jambeck, J.R.; Law, K.L. Production, use, and fate of all plastics ever made. Sci. Adv. 2017, 3, e1700782. [Google Scholar] [CrossRef] [Green Version]
- Food and Agriculture Organization (FAO). The State of World Fisheries and Aquaculture 2020; Food and Agriculture Organization (FAO): Rome, Italy, 2020. [Google Scholar] [CrossRef]
- Zeytin, S.; Wagner, G.; Mackay-Roberts, N.; Gerdts, G.; Schuirmann, E.; Klockmann, S.; Slater, M. Quantifying microplastic translocation from feed to the fillet in European sea bass Dicentrarchus labrax. Mar. Pollut. Bull. 2020, 156, 111210. [Google Scholar] [CrossRef] [PubMed]
- Akhbarizadeh, R.; Moore, F.; Keshavarzi, B. Investigating microplastics bioaccumulation and biomagnification in seafood from the Persian Gulf: A threat to human health? Food Addit. Contam. Part A 2019, 36, 1696–1708. [Google Scholar] [CrossRef] [PubMed]
- Barboza, L.G.A.; Lopes, C.; Oliveira, P.; Bessa, F.; Otero, V.; Henriques, B.; Raimundo, J.; Caetano, M.; Vale, C.; Guilhermino, L. Microplastics in wild fish from North East Atlantic Ocean and its potential for causing neurotoxic effects, lipid oxidative damage, and human health risks associated with ingestion exposure. Sci. Total Environ. 2020, 717, 134625. [Google Scholar] [CrossRef] [PubMed]
- Cox, K.D.; Covernton, G.A.; Davies, H.L.; Dower, J.F.; Juanes, F.; Dudas, S.E. Human Consumption of Microplastics. Environ. Sci Technol. 2019, 53, 7068–7074. [Google Scholar] [CrossRef] [PubMed] [Green Version]
- Schwabl, P.; Koppel, S.; Konigshofer, P.; Bucsics, T.; Trauner, M.; Reiberger, T.; Liebmann, B. Detection of Various Microplastics in Human Stool: A Prospective Case Series. Ann. Intern. Med. 2019, 171, 453–457. [Google Scholar] [CrossRef]
- Ibrahim, Y.S.; Tuan Anuar, S.; Azmi, A.A.; Wan Mohd Khalik, W.M.A.; Lehata, S.; Hamzah, S.R.; Ismail, D.; Ma, Z.F.; Dzulkarnaen, A.; Zakaria, Z.; et al. Detection of microplastics in human colectomy specimens. JGH Open 2021, 5, 116–121. [Google Scholar] [CrossRef]
- Smith, M.; Love, D.C.; Rochman, C.M.; Neff, R.A. Microplastics in Seafood and the Implications for Human Health. Curr. Env. Health Rep. 2018, 5, 375–386. [Google Scholar] [CrossRef] [Green Version]
- Lv, W.; Zhou, W.; Lu, S.; Huang, W.; Yuan, Q.; Tian, M.; Lv, W.; He, D. Microplastic pollution in rice-fish co-culture system: A report of three farmland stations in Shanghai, China. Sci. Total Environ. 2019, 652, 1209–1218. [Google Scholar] [CrossRef]
- Cheung, L.T.O.; Lui, C.Y.; Fok, L. Microplastic Contamination of Wild and Captive Flathead Grey Mullet (Mugil cephalus). Int. J. Environ. Res. Public Health 2018, 15, 597. [Google Scholar] [CrossRef] [Green Version]
- Ibrahim, Y.S.; Rathnam, R.; Anuar, S.T.; Khalik, W.M.A.W.M. Isolation and Charaterisation of Microplastic Abundance in Lates calcarifer from Setiu Wetlands, Malaysia. Malays. J. Anal. Sci. 2017, 21, 1054–1064. [Google Scholar] [CrossRef]
- Chen, B.; Fan, Y.; Huang, W.; Rayhan, A.; Chen, K.; Cai, M. Observation of microplastics in mariculture water of Longjiao Bay, southeast China: Influence by human activities. Mar. Pollut. Bull. 2020, 160, 111655. [Google Scholar] [CrossRef] [PubMed]
- Hanachi, P.; Karbalaei, S.; Walker, T.R.; Cole, M.; Hosseini, S.V. Abundance and properties of microplastics found in commercial fish meal and cultured common carp (Cyprinus carpio). Environ. Sci. Pollut. Res. Int. 2019, 26, 23777–23787. [Google Scholar] [CrossRef] [PubMed]
- Hurt, R.; O’Reilly, C.M.; Perry, W.L. Microplastic prevalence in two fish species in two US reservoirs. Limnol. Oceanohr. Lett. 2020, 5, 147–153. [Google Scholar] [CrossRef] [Green Version]
- Yin, L.; Chen, B.; Xia, B.; Shi, X.; Qu, K. Polystyrene microplastics alter the behavior, energy reserve and nutritional composition of marine jacopever (Sebastes schlegelii). J. Hazard. Mater. 2018, 360, 97–105. [Google Scholar] [CrossRef] [PubMed]
- IUCN. The IUCN Red List of Threatened Species. Available online: https://www.iucnredlist.org (accessed on 20 February 2022).
- Kuhn, S.; van Franeker, J.A. Quantitative overview of marine debris ingested by marine megafauna. Mar. Pollut. Bull. 2020, 151, 110858. [Google Scholar] [CrossRef]
- Frias, J.; Nash, R. Microplastics: Finding a consensus on the definition. Mar. Pollut. Bull. 2019, 138, 145–147. [Google Scholar] [CrossRef]
- Fernandez-Ojeda, C.; Muniz, M.C.; Cardoso, R.P.; Dos Anjos, R.M.; Huaringa, E.; Nakazaki, C.; Henostroza, A.; Garces-Ordonez, O. Plastic debris and natural food in two commercially important fish species from the coast of Peru. Mar. Pollut. Bull. 2021, 173, 113039. [Google Scholar] [CrossRef]
- Song, Z.; Liu, K.; Wang, X.; Wei, N.; Zong, C.; Li, C.; Jiang, C.; He, Y.; Li, D. To what extent are we really free from airborne microplastics? Sci. Total Environ. 2021, 754, 142118. [Google Scholar] [CrossRef]
- Güven, O.; Gokdag, K.; Jovanovic, B.; Kideys, A.E. Microplastic litter composition of the Turkish territorial waters of the Mediterranean Sea, and its occurrence in the gastrointestinal tract of fish. Environ. Pollut. 2017, 223, 286–294. [Google Scholar] [CrossRef]
- Hermsen, E.; Mintenig, S.M.; Besseling, E.; Koelmans, A.A. Quality Criteria for the Analysis of Microplastic in Biota Samples: A Critical Review. Environ. Sci. Technol. 2018, 52, 10230–10240. [Google Scholar] [CrossRef]





| Standardised Shape | Description | Alternative Shape |
|---|---|---|
| Fibre | Thin or fibrous plastic that has a length longer than its width | Line, Monofilament, Thread, Polyfilament, Twine, Fibrous, Microfibre |
| Film | Flat and thin plane of smooth or angular edges plastic | Sheet, Plastic Packaging, Wrapper, Plastic Bag, Packet Wrap, Food Package, Strip |
| Fragment | Irregular, hard, and jagged plastic particle | Flake, Particle, Piece, Tag, Chip |
| Foam | Lightweight, sponge-like plastic | Polystyrene, Polystyrene Spherule, Styrofoam, Styrofoam Fragment, Sponge, Expanded Polystyrene Foam (EPS) |
| Pellet | Hard, rounded plastic particle | Bead, Granule, Microbead, Particle, Spherule |
Publisher’s Note: MDPI stays neutral with regard to jurisdictional claims in published maps and institutional affiliations. |
© 2022 by the authors. Licensee MDPI, Basel, Switzerland. This article is an open access article distributed under the terms and conditions of the Creative Commons Attribution (CC BY) license (https://creativecommons.org/licenses/by/4.0/).
Share and Cite
Lim, K.P.; Lim, P.E.; Yusoff, S.; Sun, C.; Ding, J.; Loh, K.H. A Meta-Analysis of the Characterisations of Plastic Ingested by Fish Globally. Toxics 2022, 10, 186. https://doi.org/10.3390/toxics10040186
Lim KP, Lim PE, Yusoff S, Sun C, Ding J, Loh KH. A Meta-Analysis of the Characterisations of Plastic Ingested by Fish Globally. Toxics. 2022; 10(4):186. https://doi.org/10.3390/toxics10040186
Chicago/Turabian StyleLim, Kok Ping, Phaik Eem Lim, Sumiani Yusoff, Chengjun Sun, Jinfeng Ding, and Kar Hoe Loh. 2022. "A Meta-Analysis of the Characterisations of Plastic Ingested by Fish Globally" Toxics 10, no. 4: 186. https://doi.org/10.3390/toxics10040186
APA StyleLim, K. P., Lim, P. E., Yusoff, S., Sun, C., Ding, J., & Loh, K. H. (2022). A Meta-Analysis of the Characterisations of Plastic Ingested by Fish Globally. Toxics, 10(4), 186. https://doi.org/10.3390/toxics10040186

