The Physicochemical Characterization of Unconventional Starches and Flours Used in Asia
Abstract
1. Introduction
2. Materials and Methods
2.1. Materials
2.2. Chemical Composition
2.3. Morphological Properties
2.4. Functional Properties
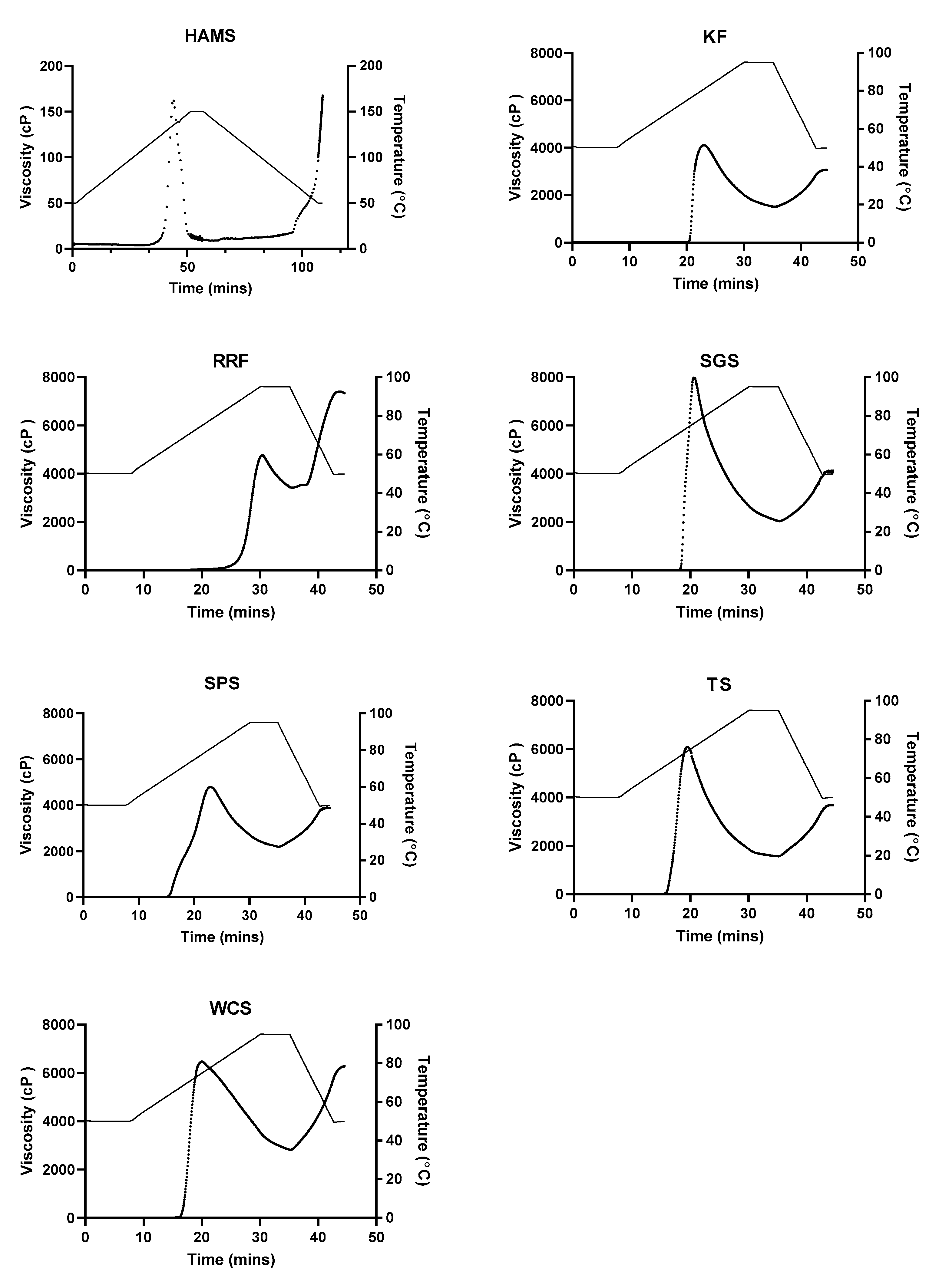
2.5. Pasting Properties
2.6. Thermal Properties
2.7. Textural Properties of Gel
2.8. In Vitro Enzymatic Digestibility
2.9. Statistical Analysis
3. Results and discussion
3.1. Chemical Composition
3.2. Morphological Properties
3.3. Functional and Pasting Properties
3.4. Thermal Properties
3.5. Textural Properties of Gel
3.6. In Vitro Digestibility
4. Conclusions
Author Contributions
Funding
Conflicts of Interest
References
- Agama-Acevedo, E.; Flores-Silva, P.C.; Bello-Perez, L.A. Chapter 3—Cereal Starch Production for Food Applications. In Starches for Food Application; Silva Clerici, M.T.P., Schmiele, M., Eds.; Academic Press: New York, NY, USA, 2019; pp. 71–102. [Google Scholar]
- Zhang, L.; Zhao, L.; Bian, X.; Guo, K.; Zhou, L.; Wei, C. Characterization and comparative study of starches from seven purple sweet potatoes. Food Hydrocoll. 2018, 80, 168–176. [Google Scholar] [CrossRef]
- Qiao, D.; Tu, W.; Zhang, B.; Wang, R.; Li, N.; Nishinari, K.; Riffat, S.; Jiang, F. Understanding the multi-scale structure and digestion rate of water chestnut starch. Food Hydrocoll. 2019, 91, 311–318. [Google Scholar] [CrossRef]
- Ahmad, F.B.; Williams, P.A.; Doublier, J.-L.; Durand, S.; Buleon, A. Physico-chemical characterisation of sago starch. Carbohydr. Polym. 1999, 38, 361–370. [Google Scholar] [CrossRef]
- Gunaratne, A.; Wu, K.; Collado, L.; Gan, R.-Y.; Arachchi, L.V.; Kumara, K.; Pathirana, S.M.; Corke, H. Physicochemical and functional properties of Caryota urens flour as compared to wheat flour. Int. J. Food Sci. Technol. 2016, 51, 2647–2653. [Google Scholar] [CrossRef]
- Jorhem, L. Determination of metals in foods by atomic absorption spectrometry after dry ashing: NMKL Collaborative Study. J. AOAC Int. 2000, 83, 1204–1211. [Google Scholar] [CrossRef]
- Cai, C.; Wei, C. In situ observation of crystallinity disruption patterns during starch gelatinization. Carbohydr. Polym. 2013, 92, 469–478. [Google Scholar] [CrossRef]
- Leach, H.W.; McCowen, L.D.; Schoch, T.J. Structure of the Starch Granule. I. Swelling and Solubility Patterns of Various Starches. Cereal Chem. 1959, 36, 534–544. [Google Scholar]
- Hoover, R.; Ratnayake, W.S. Starch characteristics of black bean, chick pea, lentil, navy bean and pinto bean cultivars grown in Canada. Food Chem. 2002, 78, 489–498. [Google Scholar] [CrossRef]
- Lan, X.; Li, Y.; Xie, S.; Wang, Z. Ultrastructure of underutilized tuber starches and its relation to physicochemical properties. Food Chem. 2015, 188, 632–640. [Google Scholar] [CrossRef]
- Wang, Y.L.; White, P.J.; Pollak, L.M. Thermal and Gelling Properties of Maize Mutants from the OH43 Inbred Line. Cereal Chem. 1992, 69, 328–334. [Google Scholar]
- Kaur, L.; Singh, J.; McCarthy, O.J.; Singh, H. Physico-chemical, rheological and structural properties of fractionated potato starches. J. Food Eng. 2007, 82, 383–394. [Google Scholar] [CrossRef]
- Bourne, M.C. Texture profile analysis. Food Technol. 1978, 32, 62–66. [Google Scholar]
- Mishra, S.; Monro, J.A. Digestibility of starch fractions in wholegrain rolled oats. J. Cereal Sci. 2009, 50, 61–66. [Google Scholar] [CrossRef]
- Monro, J.A.; Wallace, A.; Mishra, S.; Eady, S.; Willis, J.A.; Scott, R.S.; Hedderley, D. Relative glycaemic impact of customarily consumed portions of eighty-three foods measured by digesting in vitro and adjusting for food mass and apparent glucose disposal. Br. J. Nutr. 2010, 104, 407–417. [Google Scholar] [CrossRef]
- Kaur, B.; Ranawana, V.; Teh, A.L.; Henry, C.J. The Glycemic Potential of White and Red Rice Affected by Oil Type and Time of Addition. J. Food Sci. 2015, 80, H2316–H2321. [Google Scholar] [CrossRef]
- Chusak, C.; Ying, J.A.Y.; Zhien, J.L.; Pasukamonset, P.; Henry, C.J.; Ngamukote, S.; Adisakwattana, S. Impact of Clitoria ternatea (butterfly pea) flower on in vitro starch digestibility, texture and sensory attributes of cooked rice using domestic cooking methods. Food Chem. 2019, 295, 646–652. [Google Scholar] [CrossRef]
- Englyst, H.N.; Hudson, G.J. Colorimetric method for routine measurement of dietary fibre as non-starch polysaccharides. A comparison with gas-liquid chromatography. Food Chem. 1987, 24, 63–76. [Google Scholar] [CrossRef]
- Li, H.; Gidley, M.J.; Dhital, S. High-Amylose Starches to Bridge the “Fiber Gap”: Development, Structure, and Nutritional Functionality. Compr. Rev. Food Sci. Food Saf. 2019, 18, 362–379. [Google Scholar] [CrossRef]
- Jane, J.; Chen, Y.Y.; Lee, L.F.; McPherson, A.E.; Wong, K.S.; Radosavljevic, M.; Kasemsuwan, T. Effects of amylopectin branch chain length and amylose content on the gelatinization and pasting properties of starch. Cereal Chem. 1999, 76, 629–637. [Google Scholar] [CrossRef]
- Singh, V.; Ali, S.Z.; Somashekar, R.; Mukherjee, P.S. Nature of Crystallinity in Native and Acid Modified Starches. Int. J. Food Prop. 2006, 9, 845–854. [Google Scholar] [CrossRef]
- Srichuwong, S.; Sunarti, T.C.; Mishima, T.; Isono, N.; Hisamatsu, M. Starches from different botanical sources I: Contribution of amylopectin fine structure to thermal properties and enzyme digestibility. Carbohydr. Polym. 2005, 60, 529–538. [Google Scholar] [CrossRef]
- Reddy, C.K.; Kimi, L.; Haripriya, S.; Kang, N. Effects of Polishing on Proximate Composition, Physico- Chemical Characteristics, Mineral Composition and Antioxidant Properties of Pigmented Rice. Rice Sci. 2017, 24, 241–252. [Google Scholar] [CrossRef]
- Debet, M.; Gidley, M. Three classes of starch granule swelling: Influence of surface proteins and lipids. Carbohydr. Polym. 2006, 64, 452–465. [Google Scholar] [CrossRef]
- Cornejo-Ramírez, Y.I.; Martínez-Cruz, O.; Del Toro-Sánchez, C.L.; Wong-Corral, F.J.; Borboa-Flores, J.; Cinco-Moroyoqui, F.J. The structural characteristics of starches and their functional properties. CyTA J. Food 2018, 16, 1003–1017. [Google Scholar] [CrossRef]
- Sasaki, T.; Yasui, T.; Matsuki, J. Effect of Amylose Content on Gelatinization, Retrogradation, and Pasting Properties of Starches from Waxy and Nonwaxy Wheat and Their F1 Seeds. Cereal Chem. 2000, 77, 58–63. [Google Scholar] [CrossRef]
- Mepba, H.D.; Eboh, L.; Eko, C.B.; Ukpabi, U.J. Composition and pasting properties of starch from two cocoyam cultivars. J. Food Qual. 2009, 32, 522–537. [Google Scholar] [CrossRef]
- Arunyanart, T.; Charoenrein, S. Effect of sucrose on the freeze–thaw stability of rice starch gels: Correlation with microstructure and freezable water. Carbohydr. Polym. 2008, 74, 514–518. [Google Scholar] [CrossRef]
- Chen, X.; Guo, L.; Chen, P.; Xu, Y.; Hao, H.; Du, X. Investigation of the high-amylose maize starch gelatinization behaviours in glycerol-water systems. J.Cereal Sci. 2017, 77, 135–140. [Google Scholar] [CrossRef]
- Cai, C.; Zhao, L.; Huang, J.; Chen, Y.; Wei, C. Morphology, structure and gelatinization properties of heterogeneous starch granules from high-amylose maize. Carbohydr. Polym. 2014, 102, 606–614. [Google Scholar] [CrossRef]
- Brites, C.; Santos, C.; Bagulho, A.; Beirão-da-Costa, M. Effect of wheat puroindoline alleles on functional properties of starch. Eur. Food Res. Technol. 2008, 226, 1205–1212. [Google Scholar] [CrossRef]
- Fuentes, C.; Kang, I.; Lee, J.; Song, D.; Sjöö, M.; Choi, J.; Lee, S.; Nilsson, L. Fractionation and characterization of starch granules using field-flow fractionation (FFF) and differential scanning calorimetry (DSC). Anal. Bioanal. Chem. 2019, 411, 3665–3674. [Google Scholar] [CrossRef] [PubMed]
- Singh, S.; Singh, N.; Isono, N.; Noda, T. Relationship of granule size distribution and amylopectin structure with pasting, thermal, and retrogradation properties in wheat starch. J. Agric. Food Chem. 2010, 58, 1180–1188. [Google Scholar] [CrossRef] [PubMed]
- Bajaj, R.; Singh, N.; Kaur, A.; Inouchi, N. Structural, morphological, functional and digestibility properties of starches from cereals, tubers and legumes: A comparative study. J. Food Sci. Technol. 2018, 55, 3799–3808. [Google Scholar] [CrossRef] [PubMed]
- Colonna, P.; Leloup, V.; Buleon, A. Limiting factors of starch hydrolysis. Eur. J. Clin. Nutr. 1992, 46 (Suppl. 2), S17–S32. [Google Scholar]



| Starch/Flour | Moisture (%) | Protein (%) | Fat (%) | Ash (%) | Dietary Fiber (%) | Available Carbohydrates (%) | Phosphorus (mg/100 g) | Starch (%) | Amylose (%) |
|---|---|---|---|---|---|---|---|---|---|
| HAMS | 9.17 ± 0.08 | 0.75 ± 0.00 | 0.87 ± 0.07 | 0.04 ± 0.01 | 39.41 ± 0.2 | 49.78 ± 0.10 | 23.20 ± 0.14 | 94.84 ± 0.08 | 59.74 ± 2.82 |
| KF | 10.22 ± 0.21 | 0.57 ± 0.04 | <0.01 ± 0.00 | 0.17 ± 0.00 | 1.79 ± 0.36 | 87.24 ± 0.25 | 21.61 ± 0.13 | 55.89 ± 16.5 | 26.16 ± 0.32 |
| RRF | 5.78 ± 0.28 | 9.94 ± 0.00 | 1.26 ± 0.10 | 0.60 ± 0.03 | 2.73 ± 0.35 | 79.69 ± 0.31 | 17.21 ± 0.10 | 41.82 ± 5.85 | 26.10 ± 2.07 |
| SGS | 9.31 ± 0.39 | <0.10 ± 0.00 | <0.01 ± 0.00 | <0.01± 0.00 | 0.53 ± 0.01 | 90.05 ± 0.39 | 9.84 ± 0.06 | 89.56 ± 0.60 | 26.98 ± 1.15 |
| SPS | 11.16 ± 0.09 | 0.10 ± 0.00 | <0.01 ± 0.00 | 0.10 ± 0.01 | 0.81 ± 0.01 | 87.83 ± 0.10 | 13.73 ± 0.08 | 84.02 ± 1.04 | 21.36 ± 0.60 |
| TS | 9.97 ± 0.10 | <0.10 ± 0.00 | 0.19 ± 0.01 | 0.02 ± 0.00 | 0.68 ± 0.00 | 89.04 ± 0.10 | 7.86 ± 0.05 | 88.80 ± 0.13 | 24.14 ± 0.12 |
| WCS | 10.51 ± 0.23 | 0.36 ± 0.05 | 0.49 ± 0.04 | 0.28 ± 0.01 | 0.67 ± 0.02 | 87.70 ± 0.29 | 11.86 ± 0.07 | 90.00 ± 2.50 | 22.45 ± 0.51 |
| Starch/Flour | Crystallinity | D4,3 (µm) | D10 (µm) | D50 (µm) | D90 (µm) |
|---|---|---|---|---|---|
| HAMS | B | 15.53 ± 1.14 | 6.24 ± 0.20 | 12.83 ± 0.61 | 26.53 ± 1.14 |
| KF | A | 45.50 ± 0.59 | 18.66 ± 0.10 | 38.95 ± 0.25 | 75.40 ± 1.24 |
| RRF | A | 24.37 ± 0.48 | 5.41 ± 0.05 | 16.32 ± 0.57 | 51.87 ± 2.55 |
| SGS | A | 35.77 ± 0.10 | 17.71 ± 0.05 | 31.39 ± 0.08 | 54.67 ± 0.16 |
| SPS | A | 22.36 ± 1.13 | 9.35 ± 0.20 | 18.97 ± 0.75 | 37.06 ± 2.32 |
| TS | C | 15.56 ± 0.01 | 7.33 ± 0.01 | 13.74 ± 0.01 | 24.44 ± 0.01 |
| WCS | A | 20.70 ± 0.05 | 8.08 ± 0.03 | 16.91 ± 0.02 | 35.51 ± 0.08 |
| Starch/Flour | WSI (g/100 g) | SP (g/g) | Freeze Thaw Stability (%) |
|---|---|---|---|
| HAMS | 4.78 ± 0.84 | 2.55 ± 0.06 | - |
| KF | 18.50 ± 1.73 | 31.58 ± 0.56 | 24.91 ± 2.04 |
| RRF | 17.38 ± 0.79 | 12.11 ± 0.54 | 43.87 ± 3.60 |
| SGS | 12.20 ± 3.31 | 38.15 ± 3.08 | 28.43 ± 3.83 |
| SPS | 26.85 ± 6.38 | 32.12 ± 3.07 | 29.36 ± 1.83 |
| TS | 18.82 ± 7.32 | 32.10 ± 6.78 | 48.14 ± 4.33 |
| WCS | 13.28 ± 1.40 | 20.75 ± 0.62 | 38.38 ± 3.26 |
| Starch/Flour | PT (°C) | PV (cP) | HV (cP) | BV (cP) | FV (cP) | SV (cP) |
|---|---|---|---|---|---|---|
| HAMS | 123.3 | 161.8 | 8.6 | 153.2 | 166.2 | 157.6 |
| KF | 75.0 | 4105.0 | 1501.0 | 2604.0 | 3061.5 | 1560.5 |
| RRF | 66.2 | 4763.0 | 3422.5 | 1340.5 | 7342.0 | 3919.5 |
| SGS | 70.2 | 8025.0 | 2038.5 | 5986.5 | 4127.5 | 2089.0 |
| SPS | 63.5 | 4799.0 | 2195.5 | 2603.5 | 3876.5 | 1681.0 |
| TS | 63.6 | 6097.5 | 1573.0 | 4524.5 | 3679.5 | 2106.5 |
| WCS | 65.5 | 6472.0 | 2820.0 | 3652.5 | 6287.0 | 3467.0 |
| Starch/Flour | To (°C) | Tp (°C) | Tc (°C) | Enthalpy (J/g) |
|---|---|---|---|---|
| HAMS | 91.9 ± 2.5 | 110.7 ± 0.2 | 132.4 ± 9.8 | 3.1 ± 0.6 |
| KF | 74.3 ± 0.4 | 77.4 ± 0.5 | 81.5 ± 0.6 | 4.2 ± 0.5 |
| RRF | 60.7 ± 0.2 | 66.2 ± 0.1 | 71.1 ± 1.2 | 1.6 ± 0.1 |
| SGS | 61.9 ± 0.4 | 72.5 ± 0.2 | 81.1 ± 0.7 | 6.1 ± 0.9 |
| SPS | 61.8 ± 0.4 | 66.8 ± 0.0 | 79.3 ± 0.7 | 3.0 ± 0.2 |
| TS | 61.4 ± 0.5 | 68.1 ± 0.1 | 76.6 ± 0.8 | 3.1 ± 0.2 |
| WCS | 60.2 ± 0.8 | 68.1 ± 0.6 | 74.4 ± 0.7 | 3.6 ± 0.2 |
| Starch/Flour | KF | RRF | SGS | SPS | TS | WCS |
|---|---|---|---|---|---|---|
| Hardness (N) | 12.09 ± 0.62 a | 1.45 ± 0.08 b | 5.41 ± 0.41 c | 4.35 ± 0.34 c,d | 3.84 ± 0.29 d | 8.75 ± 0.91 e |
| Springiness | 0.92 ± 0.02 a | 0.52 ± 0.02 b | 0.89 ± 0.01 a | 0.94 ± 0.02 a | 0.90 ± 0.01 a | 1.29 ± 0.37 a |
| Cohesiveness | 0.82 ± 0.01 b | 0.26 ± 0.01 c | 0.75 ± 0.02 b | 0.73 ± 0.02 b | 0.73 ± 0.02 b | 0.90 ± 0.02 a |
| Chewiness | 9.10 ± 0.51 a | 0.19 ± 0.02 b | 3.64 ± 0.36 c | 3.01 ± 0.35 c | 2.54 ± 0.19 c | 9.98 ± 2.18 a |
© 2020 by the authors. Licensee MDPI, Basel, Switzerland. This article is an open access article distributed under the terms and conditions of the Creative Commons Attribution (CC BY) license (http://creativecommons.org/licenses/by/4.0/).
Share and Cite
Grace, N.C.F.; Jeyakumar Henry, C. The Physicochemical Characterization of Unconventional Starches and Flours Used in Asia. Foods 2020, 9, 182. https://doi.org/10.3390/foods9020182
Grace NCF, Jeyakumar Henry C. The Physicochemical Characterization of Unconventional Starches and Flours Used in Asia. Foods. 2020; 9(2):182. https://doi.org/10.3390/foods9020182
Chicago/Turabian StyleGrace, Ng C. F., and Christiani Jeyakumar Henry. 2020. "The Physicochemical Characterization of Unconventional Starches and Flours Used in Asia" Foods 9, no. 2: 182. https://doi.org/10.3390/foods9020182
APA StyleGrace, N. C. F., & Jeyakumar Henry, C. (2020). The Physicochemical Characterization of Unconventional Starches and Flours Used in Asia. Foods, 9(2), 182. https://doi.org/10.3390/foods9020182

