Lacticaseibacillus rhamnosus WH.FH-19: Probiotic Traits, Fermentation Performance, and Potential for Functional Fermented Milk Production
Abstract
1. Introduction
2. Materials and Methods
2.1. Bacterial Strains and Fermentation Preparation
2.2. Growth Kinetics and Fermentation Performance
2.3. In Vitro Probiotic Properties
2.3.1. Determination of the Autoaggregation Ability of the Strain
2.3.2. Determination of Strain Hydrophobicity
2.3.3. Determination of the Adhesion Ability of the Bacterial Strain to HT-29 Cells
2.3.4. Determination of the Survival Ability of the Strain in Simulated Gastric Fluid
2.3.5. Determination of Cholesterol-Lowering Capacity of Strains
2.3.6. Determination of Antioxidant Capacity of Strains
2.4. Safety Assessment
2.4.1. Hemolysis Assay
2.4.2. Antibiotic Sensitivity Test
2.4.3. Determination of Aminergic Activity
2.5. Key Quality Attribute Assessment
2.5.1. Determination of Diacetyl Content
2.5.2. Determination of Proteolytic Capacity
2.6. Physicochemical Property Analysis
2.6.1. Texture Profile Analysis
2.6.2. Texture and Water-Holding Capacity (WHC)
2.6.3. Rheological Properties
2.7. Statistical Analysis
3. Results and Discussion
3.1. Key Fermentation Parameters of L. rhamnosus WH.FH-19 Fermented Milk
3.2. Adaptive Assessment of L. rhamnosus WH.FH-19 in the Gastrointestinal Tract
3.3. Cholesterol-Lowering and Antioxidant Capacity
3.4. Safety Evaluation of L. rhamnosus WH.FH-19
3.5. Technological Optimization
3.6. Fermentation Characteristics and Quality Evolution of L. rhamnosus WH.FH-19 Fermented Milk During the Fermentation and Storage Stages
3.6.1. Acidification Dynamics and Post-Acidification Trend
3.6.2. Content of Free Amino Acids
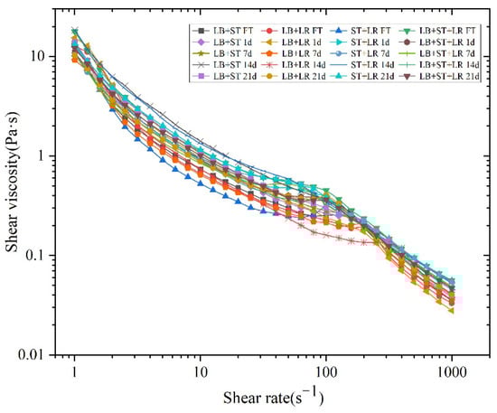
3.6.3. Quality Evolution of Fermented Milk During Storage
4. Conclusions
Author Contributions
Funding
Institutional Review Board Statement
Informed Consent Statement
Data Availability Statement
Acknowledgments
Conflicts of Interest
References
- Ağagündüz, D.; Yılmaz, B.; Şahin, T.Ö.; Güneşliol, B.E.; Ayten, Ş.; Russo, P.; Spano, G.; Rocha, J.M.; Bartkiene, E.; Özogul, F. Dairy Lactic Acid Bacteria and Their Potential Function in Dietetics: The Food–Gut-Health Axis. Foods 2021, 10, 3099. [Google Scholar] [CrossRef]
- Salva, S.; Nuñez, M.; Villena, J.; Ramón, A.; Font, G.; Alvarez, S. Development of a Fermented Goats’ Milk Containing Lactobacillus rhamnosus: In Vivo Study of Health Benefits. J. Sci. Food Agric. 2011, 91, 2355–2362. [Google Scholar] [CrossRef]
- Yadav, R.; Vij, R.; Kapila, S.; Khan, S.H.; Kumar, N.; Meena, S.; Kapila, R. Milk Fermented with Probiotic Strains Lactobacillus rhamnosus MTCC: 5957 and Lactobacillus rhamnosus MTCC: 5897 Ameliorates the Diet-Induced Hypercholesterolemia in Rats. Ann. Microbiol. 2019, 69, 483–494. [Google Scholar] [CrossRef]
- Doron, S.; Snydman, D.R.; Gorbach, S.L. Lactobacillus GG: Bacteriology and Clinical Applications. Gastroenterol. Clin. N. Am. 2005, 34, 483–498. [Google Scholar] [CrossRef] [PubMed]
- Douillard, F.P.; Ribbera, A.; Kant, R.; Pietilä, T.E.; Järvinen, H.M.; Messing, M.; Randazzo, C.L.; Paulin, L.; Laine, P.; Ritari, J.; et al. Comparative Genomic and Functional Analysis of 100 Lactobacillus rhamnosus Strains and Their Comparison with Strain GG. PLoS Genet. 2013, 9, e1003683. [Google Scholar] [CrossRef]
- Feng, L.; Yang, J.; Sun, L.; Zhu, X.; Lan, W.; Mu, G.; Zhu, X. Changes of Unique Flavor Substances and Metabolic Pathway Brought by Lacticaseibacillus rhamnosus WH. FH-19 Fermented Milk during Fermentation and Storage Stage: HS-SPME-GC-MS and HPLC-MS-Based Analysis. Food Biosci. 2025, 65, 105974. [Google Scholar] [CrossRef]
- Vázquez-Vargas, C.C.; Cordero-Soto, I.N.; Flores-Maciel, H.A.; Lara-Ceniceros, T.E.; Gallegos-Infante, A.; González-Herrera, S.M.; Ochoa-Martínez, L.A.; Rutiaga-Quiñones, O.M. Bioproduction of Exopolysaccharides by Lactic Acid Bacteria Using Agave By-Products. Process Biochem. 2024, 146, 234–240. [Google Scholar] [CrossRef]
- Yu, J.; Guo, H.; Sun, M.; Jiang, C.; Jiang, S.; Mu, G.; Tuo, Y.; Gao, P. Milk Fermented by Combined Starter Cultures Comprising Three Lactobacillus Strains Exerts an Alleviating Effect on Loperamide-Induced Constipation in BALB/c Mice. Food Funct. 2023, 14, 5264–5276. [Google Scholar] [CrossRef] [PubMed]
- Topçu, K.C.; Kaya, M.; Kaban, G. Probiotic Properties of Lactic Acid Bacteria Strains Isolated from Pastırma. LWT-Food Sci. Technol. 2020, 134, 110216. [Google Scholar] [CrossRef]
- Qureshi, N.; Gu, Q.; Li, P. Whole Genome Sequence Analysis and in Vitro Probiotic Characteristics of a Lactobacillus Strain Lactobacillus paracasei ZFM54. J. Appl. Microbiol. 2020, 129, 422–433. [Google Scholar] [CrossRef]
- Tarrah, A.; de Castilhos, J.; Rossi, R.C.; da Silva Duarte, V.; Ziegler, D.R.; Corich, V.; Giacomini, A. In Vitro Probiotic Potential and Anti-Cancer Activity of Newly Isolated Folate-Producing Streptococcus thermophilus Strains. Front. Microbiol. 2018, 9, 2214. [Google Scholar] [CrossRef] [PubMed]
- Zhang, L.; Meng, Y.; Li, J.; Yu, J.; Mu, G.; Tuo, Y. Lactiplantibacillus plantarum Y42 in Biofilm and Planktonic States Improves Intestinal Barrier Integrity and Modulates Gut Microbiota of Balb/c Mice. Foods 2022, 11, 1451. [Google Scholar] [CrossRef]
- Ragul, K.; Kandasamy, S.; Devi, P.B.; Shetty, P.H. Evaluation of Functional Properties of Potential Probiotic Isolates from Fermented Brine Pickle. Food Chem. 2020, 311, 126057. [Google Scholar] [CrossRef] [PubMed]
- Ma, R.; Miao, N.; Zhang, Q.; Jiang, S.; Li, X.; Chi, L.; Li, Y.; Mu, G.; Zhu, X. A New Attempt to Develop Fermented Milk with Low Whey Protein Allergenic Potential Using a Top-down Method. Food Biosci. 2023, 53, 102594. [Google Scholar] [CrossRef]
- Chang, L.; Mu, G.; Wang, M.; Zhao, T.; Tuo, Y.; Zhu, X.; Qian, F. Microbial Diversity and Quality-Related Physicochemical Properties of Spicy Cabbage in Northeastern China and Their Correlation Analysis. Foods 2022, 11, 1511. [Google Scholar] [CrossRef]
- Tian, H.; Hang, S.; Huang, N.; Yu, H.; Chen, C.; Ge, C. Strain-Level Variation in Diacetyl Production by Lactiplantibacillus plantarum Reveals Genetic Drivers of Flavor in Fermented Dairy. J. Dairy Sci. 2025, 108, 10689–10699. [Google Scholar] [CrossRef]
- Ganje, M.; Sekhavatizadeh, S.S.; Teymouri, F.; Gilkheiri, M.; Rahmani, B. Encapsulation of Lacticaseibacillus rhamnosus by Extrusion Method to Access the Viability in Saffron Milk Dessert and Under Simulated Gastrointestinal Conditions. Food Sci. Nutr. 2024, 12, 9714–9726. [Google Scholar] [CrossRef]
- Fan, X.; Du, L.; Xu, J.; Shi, Z.; Zhang, T.; Jiang, X.; Zeng, X.; Wu, Z.; Pan, D. Effect of Single Probiotics Lacticaseibacillus casei CGMCC1.5956 and Levilactobacillus brevis CGMCC1.5954 and Their Combination on the Quality of Yogurt as Fermented Milk. LWT-Food Sci. Technol. 2022, 163, 113530. [Google Scholar] [CrossRef]
- Bintsis, T. Lactic Acid Bacteria as Starter Cultures: An Update in Their Metabolism and Genetics. AIMS Microbiol. 2018, 4, 665–684. [Google Scholar] [CrossRef]
- Śliżewska, K.; Chlebicz-Wójcik, A.; Nowak, A. Probiotic Properties of New Lactobacillus Strains Intended to Be Used as Feed Additives for Monogastric Animals. Probiotics Antimicrob. Proteins 2020, 13, 146–162. [Google Scholar] [CrossRef]
- Reuben, R.C.; Roy, P.C.; Sarkar, S.L.; Alam, R.-U.; Jahid, I.K. Isolation, Characterization, and Assessment of Lactic Acid Bacteria toward Their Selection as Poultry Probiotics. BMC Microbiol. 2019, 19, 253. [Google Scholar] [CrossRef] [PubMed]
- Saliba, L.; Zoumpopoulou, G.; Anastasiou, R.; Hassoun, G.; Karayiannis, Y.; Sgouras, D.; Tsakalidou, E.; Deiana, P.; Montanari, L.; Mangia, N.P. Probiotic and Safety Assessment of Lactobacillus Strains Isolated from Lebanese Baladi Goat Milk. Int. Dairy J. 2021, 120, 105092. [Google Scholar] [CrossRef]
- Nomoto, K. Prevention of Infections by Probiotics. J. Biosci. Bioeng. 2005, 100, 583–592. [Google Scholar] [CrossRef]
- Galdeano, C.M.; Perdigon, G. Role of Viability of Probiotic Strains in Their Persistence in the Gut and in Mucosal Immune Stimulation. J. Appl. Microbiol. 2004, 97, 673–681. [Google Scholar] [CrossRef]
- Rajoka, M.S.R.; Mehwish, H.M.; Siddiq, M.; Haobin, Z.; Zhu, J.; Yan, L.; Shao, D.; Xu, X.; Shi, J. Identification, Characterization, and Probiotic Potential of Lactobacillus rhamnosus Isolated from Human Milk. LWT-Food Sci. Technol. 2017, 84, 271–280. [Google Scholar] [CrossRef]
- Kuppusamy, P.; Kim, D.; Soundharrajan, I.; Park, H.S.; Jung, J.S.; Yang, S.H.; Choi, K.C. Low-Carbohydrate Tolerant LAB Strains Identified from Rumen Fluid: Investigation of Probiotic Activity and Legume Silage Fermentation. Microorganisms 2020, 8, 1044. [Google Scholar] [CrossRef] [PubMed]
- Le, B.; Yang, S.-H. Identification of a Novel Potential Probiotic Lactobacillus plantarum FB003 Isolated from Salted-Fermented Shrimp and Its Effect on Cholesterol Absorption by Regulation of NPC1L1 and PPARα. Probiotics Antimicrob. Proteins 2018, 11, 785–793. [Google Scholar] [CrossRef]
- Ference, B.A.; Ginsberg, H.N.; Graham, I.; Ray, K.K.; Packard, C.J.; Bruckert, E.; Hegele, R.A.; Krauss, R.M.; Raal, F.J.; Schunkert, H.; et al. Low-Density Lipoproteins Cause Atherosclerotic Cardiovascular Disease. 1. Evidence from Genetic, Epidemiologic, and Clinical Studies. A Consensus Statement from the European Atherosclerosis Society Consensus Panel. Eur. Heart J. 2017, 38, 2459–2472. [Google Scholar] [CrossRef] [PubMed]
- Yang, S.-Y.; Chae, S.A.; Bang, W.Y.; Lee, M.; Ban, O.-H.; Kim, S.-J.; Jung, Y.H.; Yang, J. Anti-Inflammatory Potential of Lactiplantibacillus plantarum IDCC 3501 and Its Safety Evaluation. Braz. J. Microbiol. 2021, 52, 2299–2306. [Google Scholar] [CrossRef]
- Wang, H.; Li, L. Comprehensive Evaluation of Probiotic Property, Hypoglycemic Ability and Antioxidant Activity of Lactic Acid Bacteria. Foods 2022, 11, 1363. [Google Scholar] [CrossRef]
- Han, Q.; Kong, B.; Chen, Q.; Sun, F.; Zhang, H. In Vitro Comparison of Probiotic Properties of Lactic Acid Bacteria Isolated from Harbin Dry Sausages and Selected Probiotics. J. Funct. Foods 2017, 32, 391–400. [Google Scholar] [CrossRef]
- Schaich, K.M.; Tian, X.; Xie, J. Reprint of “Hurdles and Pitfalls in Measuring Antioxidant Efficacy: A Critical Evaluation of ABTS, DPPH, and ORAC Assays”. J. Funct. Foods 2015, 18, 782–796. [Google Scholar] [CrossRef]
- Li, S.; Zhao, Y.; Zhang, L.; Zhang, X.; Huang, L.; Li, D.; Niu, C.; Yang, Z.; Wang, Q. Antioxidant Activity of Lactobacillus plantarum Strains Isolated from Traditional Chinese Fermented Foods. Food Chem. 2012, 135, 1914–1919. [Google Scholar] [CrossRef]
- Barbieri, F.; Montanari, C.; Gardini, F.; Tabanelli, G. Biogenic Amine Production by Lactic Acid Bacteria: A Review. Foods 2019, 8, 17. [Google Scholar] [CrossRef]
- Milesi, M.M.; Wolf, I.V.; Bergamini, C.V.; Hynes, E.R. Two Strains of Nonstarter Lactobacilli Increased the Production of Flavor Compounds in Soft Cheeses. J. Dairy Sci. 2010, 93, 5020–5031. [Google Scholar] [CrossRef] [PubMed]
- Hovjecki, M.; Miloradovic, Z.; Rac, V.; Pudja, P.; Miocinovic, J. Influence of Heat Treatment of Goat Milk on Casein Micelle Size, Rheological and Textural Properties of Acid Gels and Set Type Yoghurts. J. Texture Stud. 2020, 51, 680–687. [Google Scholar] [CrossRef]
- Ge, Y.; Yu, X.; Zhao, X.; Liu, C.; Li, T.; Mu, S.; Zhang, L.; Chen, Z.; Zhang, Z.; Song, Z.; et al. Fermentation Characteristics and Postacidification of Yogurt by Streptococcus thermophilus CICC 6038 and Lactobacillus delbrueckii ssp. Bulgaricus CICC 6047 at Optimal Inoculum Ratio. J. Dairy Sci. 2024, 107, 123–140. [Google Scholar] [CrossRef] [PubMed]
- Rutella, G.S.; Tagliazucchi, D.; Solieri, L. Survival and Bioactivities of Selected Probiotic Lactobacilli in Yogurt Fermentation and Cold Storage: New Insights for Developing a Bi-Functional Dairy Food. Food Microbiol. 2016, 60, 54–61. [Google Scholar] [CrossRef]
- Li, S.N.; Tang, S.H.; He, Q.; Hu, J.X.; Zheng, J. In Vitro Antioxidant and Angiotensin-Converting Enzyme Inhibitory Activity of Fermented Milk with Different Culture Combinations. J. Dairy Sci. 2020, 103, 1120–1130. [Google Scholar] [CrossRef] [PubMed]
- Madhu, A.N.; Amrutha, N.; Prapulla, S.G. Characterization and Antioxidant Property of Probiotic and Synbiotic Yogurts. Probiotics Antimicrob. Proteins 2012, 4, 90–97. [Google Scholar] [CrossRef]
- Akalın, A.S.; Unal, G.; Dinkci, N.; Hayaloglu, A.A. Microstructural, Textural, and Sensory Characteristics of Probiotic Yogurts Fortified with Sodium Calcium Caseinate or Whey Protein Concentrate. J. Dairy Sci. 2012, 95, 3617–3628. [Google Scholar] [CrossRef]
- Martin, A.H.; Bakhuizen, E.; Ersch, C.; Urbonaite, V.; de Jongh, H.H.J.; Pouvreau, L. Gelatin Increases the Coarseness of Whey Protein Gels and Impairs Water Exudation from the Mixed Gel at Low Temperatures. Food Hydrocoll. 2016, 56, 236–244. [Google Scholar] [CrossRef]
- Parvarei, M.M.; Fazeli, M.R.; Mortazavian, A.M.; Nezhad, S.S.; Mortazavi, S.A.; Golabchifar, A.A.; Khorshidian, N. Comparative Effects of Probiotic and Paraprobiotic Addition on Microbiological, Biochemical and Physical Properties of Yogurt. Food Res. Int. 2021, 140, 110030. [Google Scholar] [CrossRef] [PubMed]
- Gantumur, M.-A.; Sukhbaatar, N.; Jiang, Q.; Enkhtuya, E.; Hu, J.; Gao, C.; Jiang, Z.; Li, A. Effect of Modified Fermented Whey Protein Fortification on the Functional, Physical, Microstructural, and Sensory Properties of Low-Fat Yogurt. Food Control 2024, 155, 110032. [Google Scholar] [CrossRef]








| Antibiotic Sensitivity | Biogenic Amine (mg L−1) | |||
|---|---|---|---|---|
| L. rhamnosus WH.FH-19 | Ampicillin | S | Phenylethylamine | 0.738 ± 0.189 |
| Streptomycin | S | Putrescine | 0.336 ± 0.017 | |
| Rifampicin | S | Cadaverine | 0.959 ± 0.047 | |
| Erythromycin | S | Histamine | ND | |
| Kanamycin | R | Tyramine | 4.853 ± 0.647 | |
| Penicillin G | S | Spermine | ND | |
| Levofloxacin | I | Spermidine | ND | |
| Gentamicin | R | Total Amines | 6.886 ± 0.9 | |
| Chloramphenicol | S | |||
| Tetracycline | S | |||
| Inoculation Ratio | Firmness (g) | Consistency (g·s) | Cohesiveness (g) | Index of Viscosity (g·s) |
|---|---|---|---|---|
| 1:1:1 | 104.52 ± 0.88 c | 654.82 ± 4.61 c | −36.85 ± 1.35 a | −212.90 ± 1.04 b |
| 1:1:10 | 114.53 ± 1.53 b | 720.53 ± 5.11 a | −29.11 ± 0.99 b | −224.30 ± 3.86 a |
| 1:1:100 | 129.53 ± 1.95 a | 702.10 ± 2.88 b | −31.05 ± 1.10 b | −154.52 ± 3.49 c |
| 1:1:1000 | 112.28 ± 2.55 b | 633.53 ± 8.74 d | −19.28 ± 1.90 c | −88.42 ± 1.27 d |
| Temperature (°C) | Firmness (g) | Consistency (g·s) | Cohesiveness (g) | Index of Viscosity (g·s) |
|---|---|---|---|---|
| 34 | 80.37 ± 13.19 b | 495.90 ± 67.34 b | −23.47 ± 6.30 b | −94.02 ± 36.63 b |
| 37 | 123.05 ± 7.69 a | 702.80 ± 31.32 a | −38.6 ± 6.40 a | −203.72 ± 41.04 a |
| 40 | 131.76 ± 17.89 a | 754.91 ± 50.87 a | −37.74 ± 1.33 a | −191.18 ± 8.92 a |
| 42 | 118.51 ± 22.16 a | 725.49 ± 108.61 a | −35.62 ± 8.64 a | −182.19 ± 42.13 a |
| Inoculum Size (CFU mL−1) | Firmness (g) | Consistency (g·s) | Cohesiveness (g) | Index of Viscosity (g·s) |
|---|---|---|---|---|
| 5 × 106 | 125.50 ± 17.19 b | 748.08 ± 46.50 b | −37.41 ± 0.65 a | −214.11 ± 15.24 ab |
| 1 × 107 | 124.50 ± 12.90 b | 715.76 ± 55.07 b | −35.5 ± 3.88 a | −178.67 ± 12.49 b |
| 5 × 107 | 160.21 ± 5.18 a | 875.15 ± 5.52 a | −41.86 ± 7.97a | −231.84 ± 32.68 a |
| 1 × 108 | 167.27 ± 1.69 a | 895.26 ± 20.53 a | −36.24 ± 1.46a | −205.65 ± 18.18 ab |
| Sample | Fermentation Time (°T) | Storage Time (°T) | |||||
|---|---|---|---|---|---|---|---|
| 0 h | 2.5 h | FT | 1 d | 7 d | 14 d | 21 d | |
| LB+ST | 15.29 ± 0.17 Af | 25.39 ± 0.30 Be | 64.33 ± 0.14 Cd | 72.47 ± 0.75 Cc | 82.31 ± 1.63 Cb | 84.13 ± 2.66 Dab | 86.07 ± 3.02 Da |
| LB+LR | 15.56 ± 0.15 Ag | 20.43 ± 1.03 Cf | 79.88 ± 0.89 Ae | 85.85 ± 1.42 Ad | 89.17 ± 2.42 Bc | 118.40 ± 0.54 Ab | 124.14 ± 0.67 Aa |
| ST+LR | 15.71 ± 0.36 Ag | 24.20 ± 1.05 Bf | 69.72 ± 0.87 Be | 76.44 ± 0.85 Bd | 83.86 ± 0.68 Cc | 90.52 ± 0.47 Cb | 104.04 ± 1.73 Ca |
| LB+ST+LR | 15.28 ± 0.27 Ag | 28.17 ± 0.78 Af | 68.87 ± 1.13 Be | 78.56 ± 1.81 Bd | 93.54 ± 0.82 Ac | 103.12 ± 3.25 Bb | 109.58 ± 1.37 Ba |
| Group | LB+ST | LB+LR | ST+LR | LB+ST+LR |
|---|---|---|---|---|
| Fermentation time (h) | 4.5 | 5 | 4.25 | 4 |
| Sample | LB+ST | LB+LR | ST+LR | LB+ST+LR |
|---|---|---|---|---|
| FT | 40.839 ± 1.750 Dbc | 43.007 ± 3.721 Cb | 38.712 ± 0.962 Bc | 63.217 ± 1.090 Ba |
| 1 d | 42.634 ± 1.953 Dd | 50.593 ± 2.056 Bc | 60.093 ± 0.576 Ab | 66.451 ± 0.223 ABa |
| 7 d | 47.366 ± 1.978 Cc | 68.694 ± 6.137 Aa | 58.434 ± 1.512 Ab | 66.468 ± 3.649 ABa |
| 14 d | 60.932 ± 4.107 Bb | 69.896 ± 1.956 Aa | 59.985 ± 1.687 Ab | 66.479 ± 0.767 ABa |
| 21 d | 72.098 ± 0.584 Aa | 72.563 ± 1.502 Aa | 58.975 ± 1.427 Ac | 67.982 ± 0.254 Ab |
| Fermented Milk | LB+ST | LB+LR | ST+LR | LB+ST+LR | |
|---|---|---|---|---|---|
| Firmness (g) | FT | 47.75 ± 1.30 Bd | 47.97 ± 3.50 Bd | 53.82 ± 3.42 Bd | 60.15 ± 4.10 Ad |
| 1d | 57.27 ± 1.55 Cc | 66.41 ± 3.82 ABc | 60.95 ± 4.66 BCc | 68.94 ± 2.30 Ac | |
| 7d | 81.08 ± 0.72 Ab | 70.39 ± 4.33 Bc | 69.90 ± 3.52 Bb | 74.22 ± 3.95 Bbc | |
| 14d | 83.08 ± 2.01 Bab | 79.57 ± 3.77 Bb | 91.25 ± 3.87 Aa | 77.51 ± 3.54 Bb | |
| 21d | 86.30 ± 3.68 Ba | 88.19 ± 4.66 ABa | 94.22 ± 3.31 Aa | 87.78 ± 2.42 ABa | |
| Consistency (g·s) | FT | 309.73 ± 3.47 Be | 293.42 ± 3.87 Cd | 307.44 ± 3.60 Be | 344.94 ± 3.84 Ae |
| 1d | 380.45 ± 3.15 Cd | 436.50 ± 4.17 Bc | 368.17 ± 4.83 Dd | 447.23 ± 4.73 Ad | |
| 7d | 519.23 ± 4.61 Ab | 439.87 ± 3.86 Cc | 413.98 ± 3.70 Dc | 464.09 ± 3.27 Bc | |
| 14d | 512.70 ± 3.38 Ac | 509.79 ± 3.29 Ab | 510.48 ± 4.69 Ab | 496.33 ± 3.74 Bb | |
| 21d | 529.90 ± 1.96 Ba | 545.45 ± 4.77 Aa | 523.94 ± 1.69 Ca | 548.15 ± 2.39 Aa | |
| Cohesiveness (g) | FT | −12.18 ± 1.03 ABc | −8.10 ± 2.33 Cd | −9.77 ± 0.43 BCd | −13.69 ± 1.89 Ad |
| 1d | −18.70 ± 2.59 Bb | −23.69 ± 2.60 Ac | −14.75 ± 2.55 Bc | −24.06 ± 1.76 Ac | |
| 7d | −32.62 ± 3.13 Aa | −31.43 ± 2.35 Ab | −20.70 ± 3.20 Bb | −30.78 ± 2.41 Ab | |
| 14d | −30.20 ± 2.66 Ba | −37.99 ± 3.26 Aa | −25.28 ± 2.57 Cab | −30.32 ± 0.97 Bb | |
| 21d | −31.92 ± 2.84 BCa | −39.06 ± 3.66 Aa | −26.81 ± 2.99 Ca | −34.28 ± 1.33 ABa | |
Disclaimer/Publisher’s Note: The statements, opinions and data contained in all publications are solely those of the individual author(s) and contributor(s) and not of MDPI and/or the editor(s). MDPI and/or the editor(s) disclaim responsibility for any injury to people or property resulting from any ideas, methods, instructions or products referred to in the content. |
© 2026 by the authors. Licensee MDPI, Basel, Switzerland. This article is an open access article distributed under the terms and conditions of the Creative Commons Attribution (CC BY) license.
Share and Cite
Sun, S.; Feng, L.; Sun, L.; Zhu, X.; Zhou, M.; Li, X.; Mu, G. Lacticaseibacillus rhamnosus WH.FH-19: Probiotic Traits, Fermentation Performance, and Potential for Functional Fermented Milk Production. Foods 2026, 15, 271. https://doi.org/10.3390/foods15020271
Sun S, Feng L, Sun L, Zhu X, Zhou M, Li X, Mu G. Lacticaseibacillus rhamnosus WH.FH-19: Probiotic Traits, Fermentation Performance, and Potential for Functional Fermented Milk Production. Foods. 2026; 15(2):271. https://doi.org/10.3390/foods15020271
Chicago/Turabian StyleSun, Shiyuan, Lu Feng, Liping Sun, Xuemei Zhu, Mo Zhou, Xinling Li, and Guangqing Mu. 2026. "Lacticaseibacillus rhamnosus WH.FH-19: Probiotic Traits, Fermentation Performance, and Potential for Functional Fermented Milk Production" Foods 15, no. 2: 271. https://doi.org/10.3390/foods15020271
APA StyleSun, S., Feng, L., Sun, L., Zhu, X., Zhou, M., Li, X., & Mu, G. (2026). Lacticaseibacillus rhamnosus WH.FH-19: Probiotic Traits, Fermentation Performance, and Potential for Functional Fermented Milk Production. Foods, 15(2), 271. https://doi.org/10.3390/foods15020271

