Socio-Demographic Correlates of Basic Food Needs: A Maslow’s Hierarchy Analysis
Abstract
1. Introduction
2. Materials and Methods
2.1. Participants, Recruitment, and Procedure
2.2. Study Objectives
2.3. Research Questions
2.4. Data Analysis
- (i)
- Pearson’s chi-square test with Rao & Scott adjustment for weighted survey designs [65,66] was applied to assess whether differences across sociodemographic categories (e.g., gender, age, marital status, education level, net income, and residence) regarding each basic food need were statistically significant. Statistical significance was determined at p < 0.05. It is important to note that this test provides evidence of association between variables, but only in isolation, without indicating the strength or relative proportions of these relationships. The magnitude and distribution of such effects are more appropriately examined using regression models that incorporate multiple variables.
- (ii)
- Multinomial logistic regression analysis was performed to evaluate correlations between variables and identify significant predictors. Multinomial regression is appropriate for dependent variables representing fundamental food needs, as these have five outcome levels: strongly disagree, disagree, neutral, agree, and strongly agree (Figure 1). In contrast, binary logistic regression can handle only two outcome categories and is therefore unsuitable for this study. This method estimates the odds of each outcome relative to a reference category, which was set as the strongly disagree response, and provides interpretable coefficients to measure how the outcome changes with small variations in the predictor. Multinomial regression is thus effective for identifying patterns, relationships, and trends, as well as for forecasting potential outcomes.
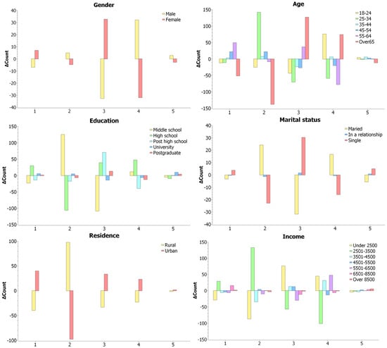
3. Results
- For RQ1: Pearson’s Chi-Square Test
3.1. The Need for Survival (Daily Food)
3.2. The Need for Food Security (Food Stocks)
- For RQ2: Multinomial logistic regression model
4. Discussion
4.1. Gender
4.2. Age
4.3. Education
4.4. Marital Status
4.5. Residence
4.6. Income
4.7. Potential Applications of the Results
5. Conclusions
Author Contributions
Funding
Institutional Review Board Statement
Informed Consent Statement
Data Availability Statement
Conflicts of Interest
References
- Maslow, A.H. A Theory of Human Motivation. Psychol. Rev. 1943, 50, 370–396. [Google Scholar] [CrossRef]
- Maslow, A.H.; Hirsh, E.; Stein, M.; Honigmann, I. A Clinically Derived Test for Measuring Psychological Security-Insecurity. J. Gen. Psychol. 1945, 33, 21–41. [Google Scholar] [CrossRef]
- Ben Hassen, T.; El Bilali, H.; Allahyari, M.S.; Berjan, S.; Fotina, O. Food Purchase and Eating Behavior during the COVID-19 Pandemic: A Cross-Sectional Survey of Russian Adults. Appetite 2021, 165, 105309. [Google Scholar] [CrossRef] [PubMed]
- Janssen, M.; Chang, B.P.I.; Hristov, H.; Pravst, I.; Profeta, A.; Millard, J. Changes in Food Consumption During the COVID-19 Pandemic: Analysis of Consumer Survey Data From the First Lockdown Period in Denmark, Germany, and Slovenia. Front. Nutr. 2021, 8, 635859. [Google Scholar] [CrossRef] [PubMed]
- Laato, S.; Islam, A.K.M.N.; Farooq, A.; Dhir, A. Unusual Purchasing Behavior during the Early Stages of the COVID-19 Pandemic: The Stimulus-Organism-Response Approach. J. Retail. Consum. Serv. 2020, 57, 102224. [Google Scholar] [CrossRef]
- Ichim, A.-M. Consumer Behavior towards Agri-Food Products during the COVID-19 Crisis: An Empirical Study. J. Mark. Res. Case Stud. 2023, 2023, 826704. [Google Scholar] [CrossRef]
- Yuen, K.F.; Leong, J.Z.E.; Wong, Y.D.; Wang, X. Panic Buying during COVID-19: Survival Psychology and Needs Perspectives in Deprived Environments. Int. J. Disaster Risk Reduct. 2021, 62, 102421. [Google Scholar] [CrossRef]
- Sobaih, A.E.E.; Moustafa, F. Panic Food Purchasing amid COVID-19 Pandemic: Does the Impact of Perceived Severity, Anxiety and Self-Isolation Really Matter? Int. J. Environ. Res. Public Health 2022, 19, 15277. [Google Scholar] [CrossRef]
- Yuen, K.F.; Wang, X.; Ma, F.; Li, K.X. The Psychological Causes of Panic Buying Following a Health Crisis. Int. J. Environ. Res. Public Health 2020, 17, 3513. [Google Scholar] [CrossRef]
- Carfora, V.; Catellani, P. Psychosocial Drivers Influencing Local Food Purchasing: Beyond Availability, the Importance of Trust in Farmers. Front. Nutr. 2023, 10, 1204732. [Google Scholar] [CrossRef]
- Wang, E.; An, N.; Gao, Z.; Kiprop, E.; Geng, X. Consumer Food Stockpiling Behavior and Willingness to Pay for Food Reserves in COVID-19. Food Secur. 2020, 12, 739–747. [Google Scholar] [CrossRef] [PubMed]
- Papagiannidis, S.; Alamanos, E.; Bourlakis, M.; Dennis, C. The Pandemic Consumer Response: A Stockpiling Perspective and Shopping Channel Preferences. Br. J. Manag. 2023, 34, 664–691. [Google Scholar] [CrossRef]
- FAO; IFAD; UNICEF; WFP; WHO. The State of Food Security and Nutrition in the World 2023; FAO: Rome, Italy; IFAD: Rome, Italy; UNICEF: Rome, Italy; WFP: Rome, Italy; WHO: Rome, Italy, 2023; ISBN 978-92-5-137226-5. [Google Scholar]
- Pourmotabbed, A.; Moradi, S.; Babaei, A.; Ghavami, A.; Mohammadi, H.; Jalili, C.; Symonds, M.E.; Miraghajani, M. Food Insecurity and Mental Health: A Systematic Review and Meta-Analysis. Public Health Nutr. 2020, 23, 1778–1790, Corrigendum in Public Health Nutr. 2020, 23, 1854. https://doi.org/10.1017/S1368980020001512. [Google Scholar] [CrossRef] [PubMed]
- Poulos, N.S.; Pitman, S.A.; Velazquez, C.E.; Pasch, K.E. Food Insecurity Is Associated with Poor Mental Health Outcomes among a Diverse Sample of Young Adults. Public Health Nutr. 2025, 28, e108. [Google Scholar] [CrossRef]
- Kovács, I.; Balázsné Lendvai, M.; Beke, J. The Importance of Food Attributes and Motivational Factors for Purchasing Local Food Products: Segmentation of Young Local Food Consumers in Hungary. Sustainability 2022, 14, 3224. [Google Scholar] [CrossRef]
- Randall, T.; Cousins, A.L.; Neilson, L.; Price, M.; Hardman, C.A.; Wilkinson, L.L. Sustainable Food Consumption across Western and Non-Western Cultures: A Scoping Review Considering the Theory of Planned Behaviour. Food Qual. Prefer. 2024, 114, 105086. [Google Scholar] [CrossRef]
- Wallnoefer, L.M.; Riefler, P. Short-Term Effects of the COVID-19 Outbreak on Consumer Perceptions of Local Food Consumption and the Local Agri-Food Sector in Austria. Agronomy 2022, 12, 1940. [Google Scholar] [CrossRef]
- van Lenthe, F.J.; Jansen, T.; Kamphuis, C.B.M. Understanding Socio-Economic Inequalities in Food Choice Behaviour: Can Maslow’s Pyramid Help? Br. J. Nutr. 2015, 113, 1139–1147. [Google Scholar] [CrossRef]
- Drewnowski, A.; Darmon, N. Food Choices and Diet Costs: An Economic Analysis. J. Nutr. 2005, 135, 900–904. [Google Scholar] [CrossRef]
- Goliszek, A.; Białoskurski, S.; Komor, A.; Nowak, A.; Jarosz-Angowska, A.; Krukowski, A.; Przybyłowicz, K.E.; Staniewska, K.; Dąbrowska, A. Motives Behind Dairy Product Purchasing Decisions Among Polish Doctors: An Age-Based Analysis. Foods 2025, 14, 3169. [Google Scholar] [CrossRef]
- Nicola, M.; Alsafi, Z.; Sohrabi, C.; Kerwan, A.; Al-Jabir, A.; Iosifidis, C.; Agha, M.; Agha, R. The Socio-Economic Implications of the Coronavirus Pandemic (COVID-19): A Review. Int. J. Surg. 2020, 78, 185–193. [Google Scholar] [CrossRef] [PubMed]
- Defta, N.; Barbu, A.; Ion, V.A.; Pogurschi, E.N.; Osman, A.; Cune, L.-C.; Bădulescu, L.A. Exploring the Relationship Between Socio-Demographic Factors and Consumers’ Perception of Food Promotions in Romania. Foods 2025, 14, 599. [Google Scholar] [CrossRef] [PubMed]
- Muresan, I.C.; Harun, R.; Brata, A.M.; Brata, V.D.; Chiciudean, D.I.; Tirpe, O.P.; Porutiu, A.; Dumitras, D.E. Factors Affecting Food Consumers’ Behavior during COVID-19 in Romania. Foods 2022, 11, 2275. [Google Scholar] [CrossRef] [PubMed]
- Béné, C.; Bakker, D.; Chavarro, M.J.; Even, B.; Melo, J.; Sonneveld, A. Global Assessment of the Impacts of COVID-19 on Food Security. Glob. Food Sec 2021, 31, 100575. [Google Scholar] [CrossRef]
- Moroșan, E.; Dărăban, A.; Popovici, V.; Rusu, A.; Ilie, E.I.; Licu, M.; Karampelas, O.; Lupuliasa, D.; Ozon, E.A.; Maravela, V.M.; et al. Socio-Demographic Factors, Behaviors, Motivations, and Attitudes in Food Waste Management of Romanian Households. Nutrients 2024, 16, 2738. [Google Scholar] [CrossRef]
- Batyk, I.M.; Žukovskis, J.; Pilelienė, L.; Batyk, I.M.; Žukovskis, J.; Pilelienė, L. Determinants of Cross-Border Food Purchases on the European Union Market: Research Results from the Lithuanian–Polish Border. Sustainability 2023, 15, 10288. [Google Scholar] [CrossRef]
- Żurek, J.; Rudy, M.; Żurek, J.; Rudy, M. Impact of the COVID-19 Pandemic on Changes in Consumer Purchasing Behavior in the Food Market with a Focus on Meat and Meat Products—A Comprehensive Literature Review. Foods 2024, 13, 933. [Google Scholar] [CrossRef]
- Recchia, D.; Rollet, P.; Perignon, M.; Bricas, N.; Vonthron, S.; Perrin, C.; Méjean, C. Changes in Food Purchasing Practices of French Households During the First COVID-19 Lockdown and Associated Individual and Environmental Factors. Front. Nutr. 2022, 9, 828550. [Google Scholar] [CrossRef]
- Lau, Y.; Not, C.; Pant, G.; Poo, M.C.-P. Impact of COVID-19 Pandemic on Food Purchasing, Food Packaging, and Food Wastage. Sustainability 2024, 16, 6812. [Google Scholar] [CrossRef]
- Smith, L.C.; Meade, B. Who Are the World’s Food Insecure? Identifying the Risk Factors of Food Insecurity Around the World; Economic Research Service: Washington, DC, USA, 2019. [Google Scholar]
- Wynes, S.; Nicholas, K.A. The Climate Mitigation Gap: Education and Government Recommendations Miss the Most Effective Individual Actions. Environ. Res. Lett. 2017, 12, 074024. [Google Scholar] [CrossRef]
- Laborde, D.; Martin, W.; Swinnen, J.; Vos, R. COVID-19 Risks to Global Food Security. Science 2020, 369, 500–502. [Google Scholar] [CrossRef] [PubMed]
- Béné, C. Resilience of Local Food Systems and Links to Food Security—A Review of Some Important Concepts in the Context of COVID-19 and Other Shocks. Food Secur. 2020, 12, 805–822. [Google Scholar] [CrossRef] [PubMed]
- Kent, K.; Murray, S.; Penrose, B.; Auckland, S.; Visentin, D.; Godrich, S.; Lester, E. Prevalence and Socio-Demographic Predictors of Food Insecurity in Australia during the COVID-19 Pandemic. Nutrients 2020, 12, 2682. [Google Scholar] [CrossRef] [PubMed]
- FAO; IFAD; UNICEF; WFP; WHO. The State of Food Security and Nutrition in the World 2025; FAO: Rome, Italy; IFAD: Rome, Italy; UNICEF: Rome, Italy; WFP: Rome, Italy; WHO: Rome, Italy, 2025; ISBN 978-92-5-139937-8. [Google Scholar]
- Adams, E.L.; Caccavale, L.J.; Smith, D.; Bean, M.K. Food Insecurity, the Home Food Environment, and Parent Feeding Practices in the Era of COVID-19. Obesity 2020, 28, 2056–2063. [Google Scholar] [CrossRef]
- Éliás, B.A.; Jámbor, A. Food Security and COVID-19: A Systematic Review of the First-Year Experience. Sustainability 2021, 13, 5294. [Google Scholar] [CrossRef]
- Burgaz, C.; Gorasso, V.; Achten, W.M.J.; Batis, C.; Castronuovo, L.; Diouf, A.; Asiki, G.; Swinburn, B.A.; Unar-Munguía, M.; Devleesschauwer, B.; et al. The Effectiveness of Food System Policies to Improve Nutrition, Nutrition-Related Inequalities and Environmental Sustainability: A Scoping Review. Food Secur. 2023, 15, 1313–1344. [Google Scholar] [CrossRef]
- Grace, D. Food Safety in Low and Middle Income Countries. Int. J. Environ. Res. Public Health 2015, 12, 10490–10507. [Google Scholar] [CrossRef]
- World Health Organization. WHO Estimates of the Global Burden of Foodborne Diseases: Foodborne Diseases Burden Epidemiology Reference Group 2007–2015; WHO Press: Geneva, Switzerland, 2015; 265p, ISBN 978-92-4-156516-5. Available online: https://www.who.int/publications/i/item/9789241565165 (accessed on 16 November 2025).
- Havelaar, A.H.; Kirk, M.D.; Torgerson, P.R.; Gibb, H.J.; Hald, T.; Lake, R.J.; Praet, N.; Bellinger, D.C.; de Silva, N.R.; Gargouri, N.; et al. World Health Organization Global Estimates and Regional Comparisons of the Burden of Foodborne Disease in 2010. PLoS Med. 2015, 12, e1001923. [Google Scholar] [CrossRef]
- Attrey, D.P. Role of Risk Analysis and Risk Communication in Food Safety Management. In Food Safety in the 21st Century; Elsevier: Amsterdam, The Netherlands, 2017; pp. 53–68. [Google Scholar]
- Gizaw, Z. Public Health Risks Related to Food Safety Issues in the Food Market: A Systematic Literature Review. Environ. Health Prev. Med. 2019, 24, 68. [Google Scholar] [CrossRef]
- European Food Safety Authority (EFSA); European Centre for Disease Prevention and Control (ECDC). The European Union One Health 2023 Zoonoses Report. EFSA J. 2024, 22, e9106. [Google Scholar] [CrossRef]
- FAO; IFAD; UNICEF; WFP; WHO. Food Safety and Quality. Available online: https://www.fao.org/food-safety/background/en/ (accessed on 10 October 2025).
- Nichols, M.; Stevenson, L.; Behravesh, C.B.; Tauxe, R.V. Food Safety and Security. In Beyond One Health; Wiley: Hoboken, NJ, USA, 2018; pp. 61–90. [Google Scholar]
- Sandri, E.; Sguanci, M.; Cantín Larumbe, E.; Cerdá Olmedo, G.; Piredda, M.; Mancin, S. Influence of Nutrition, Lifestyle Habits, and Socio-Demographic Determinants on Eating Disorder Symptoms in the Spanish Young Adult Population: A Cross-Sectional Nationwide Survey. Medicina 2024, 60, 1565. [Google Scholar] [CrossRef] [PubMed]
- Mahmood, H.; Furqan, M.; Meraj, G.; Shahid Hassan, M. The Effects of COVID-19 on Agriculture Supply Chain, Food Security, and Environment: A Review. PeerJ 2024, 12, e17281. [Google Scholar] [CrossRef] [PubMed]
- Yusuf, M.-B.O.; Lawal, S.O.; Mahadi, N.F. An Overview of Studies on Food Insecurity During and After the COVID-19 Pandemic: A Systematic Review. Folia Oeconomica Stetin. 2025, 25, 375–402. [Google Scholar] [CrossRef]
- Gebeyehu, D.T.; East, L.; Wark, S.; Islam, M.S. A Systematic Review of the Direct and Indirect COVID-19’s Impact on Food Security and Its Dimensions: Pre- and Post-Comparative Analysis. BMC Public Health 2023, 23, 2298. [Google Scholar] [CrossRef]
- Pérez-Escamilla, R. Food and Nutrition Security Definitions, Constructs, Frameworks, Measurements, and Applications: Global Lessons. Front. Public Health 2024, 12, 1340149. [Google Scholar] [CrossRef]
- Manikas, I.; Ali, B.M.; Sundarakani, B. A Systematic Literature Review of Indicators Measuring Food Security. Agric. Food Secur. 2023, 12, 10. [Google Scholar] [CrossRef]
- Chaparro-Africano, A.M.; Garzón-Méndez, J.D. Consumer Profile and Factors Determining the Purchase of Agroecological Products. A Case Study: UNIMINUTO Agroecological Fair and Minuto de Dios Solidarity Market, Colombia. Agron. Colomb. 2021, 39, 265–281. [Google Scholar] [CrossRef]
- Balan, I.M.; Popescu, A.C.; Iancu, T.; Popescu, G.; Tulcan, C. Food Safety versus Food Security in a World of Famine. J. Adv. Res. Soc. Sci. Humanit. 2020, 5, 20–30. [Google Scholar] [CrossRef]
- USAID; Global Alliance for Improved Nutrition. Literature Review Linking Food Safety and Nutrition; A USAID EatSafe Project Report; Global Alliance for Improved Nutrition: Geneva, Switzerland, 2020. [Google Scholar]
- Omar, N.A.; Nazri, M.A.; Ali, M.H.; Alam, S.S. The Panic Buying Behavior of Consumers during the COVID-19 Pandemic: Examining the Influences of Uncertainty, Perceptions of Severity, Perceptions of Scarcity, and Anxiety. J. Retail. Consum. Serv. 2021, 62, 102600. [Google Scholar] [CrossRef]
- Barbu, A.; Ion, V.A.; Frîncu, M.; Defta, N.; Lagunovschi-Luchian, V.; Bădulescu, L.A. Organic Vegetable Chips: Exploring Romanian Consumers’ Preferences in Relation to Socio-Demographic Factors. Foods 2023, 12, 3374. [Google Scholar] [CrossRef] [PubMed]
- R Core Team. R: A Language and Environment for Statistical Computing; R Foundation for Statistical Computing: Vienna, Austria; Available online: https://cran.r-project.org/manuals.html (accessed on 9 October 2025).
- Lumley, T. Analysis of Complex Survey Samples. J. Stat. Softw. 2004, 9, 1–19. [Google Scholar] [CrossRef]
- Recensamantul Populatiei Si Locuintelor—RPL 2021. Available online: https://www.recensamantromania.ro/ (accessed on 9 October 2025).
- TEMPO Online. Available online: http://statistici.insse.ro:8077/tempo-online/#/pages/tables/insse-table (accessed on 9 October 2025).
- Lohr, S.L. Sampling: Design and Analysis, 3rd ed.; Chapman and Hall/CRC: Boca Raton, FL, USA, 2021; ISBN 9780429298899. [Google Scholar]
- Thulin, M. Modern Statistics with R: From Wrangling and Exploring Data to Inference and Predictive Modelling; CRC Press: Boca Raton, FL, USA, 2025; ISBN 9781003401339. [Google Scholar]
- Rao, J.N.K.; Scott, A.J. The Analysis of Categorical Data From Complex Sample Surveys: Chi-Squared Tests for Goodness of Fit and Independence in Two-Way Tables. J. Am. Stat. Assoc. 1981, 76, 221. [Google Scholar] [CrossRef]
- Rao, J.N.K.; Scott, A.J. On Chi-Squared Tests for Multiway Contingency Tables with Cell Proportions Estimated from Survey Data. Ann. Stat. 1984, 12, 46–60. [Google Scholar] [CrossRef]
- McFadden, D. Conditional Logit Analysis of Qualitative Choice Behavior. In Frontiers in Econometrics; Zarembka, P., Ed.; Academic Press: Cambridge, MA, USA, 1973; pp. 105–142. [Google Scholar]
- Cox, D.R.; Snell, E.J. Analysis of Binary Data, 2nd ed.; Chapman & Hall/CRC Press: Boca Raton, FL, USA, 1989; ISBN 0412306204. [Google Scholar]
- Nagelkerke, N.J.D. A Note on a General Definition of the Coefficient of Determination. Biometrika 1991, 78, 691–692. [Google Scholar] [CrossRef]
- Cook, J.T.; Frank, D.A. Food Security, Poverty, and Human Development in the United States. Ann. N. Y. Acad. Sci. 2008, 1136, 193–209. [Google Scholar] [CrossRef]
- Gundersen, C.; Ziliak, J.P. Food Insecurity And Health Outcomes. Health Aff. 2015, 34, 1830–1839. [Google Scholar] [CrossRef]
- Nuworsu, E.K.; Katare, B. How Does Increasing the Minimum Wage Affect Household Food Insecurity? J. Agric. Appl. Econ. Assoc. 2025, 4, 391–404. [Google Scholar] [CrossRef]
- MaCurdy, T. How Effective Is the Minimum Wage at Supporting the Poor? J. Political Econ. 2015, 123, 497–545. [Google Scholar] [CrossRef]
- Coleman-Jensen, A.; Rabbitt, M.P.; Gregory, C.A.; Singh, A. Statistical Supplement to Household Food Security in the United States in 2020 | Economic Research Service. Available online: https://www.ers.usda.gov/publications/pub-details?pubid=102071 (accessed on 9 October 2025).
- Loopstra, R.; Tarasuk, V. Severity of Household Food Insecurity Is Sensitive to Change in Household Income and Employment Status among Low-Income Families1–3. J. Nutr. 2013, 143, 1316–1323. [Google Scholar] [CrossRef]
- Tarasuk, V.; Mitchell, A. Household Food Insecurity in Canada, 2017–2018. Toronto: Research to Identify Policy Options to Reduce Food Insecurity (PROOF). Available online: https://proof.utoronto.ca/resource/household-food-insecurity-in-canada-2017-2018/ (accessed on 10 October 2025).
- McNulty, K. Handbook of Regression Modeling in People Analytics; Chapman and Hall/CRC: Boca Raton, FL, USA, 2021; ISBN 9781003194156. [Google Scholar]
- Venables, W.N.; Ripley, B.D. Modern Applied Statistics with S, 4th ed.; Springer: New York, NY, USA, 2002; ISBN 9780387217062. [Google Scholar]
- Akaike, H. A New Look at the Statistical Model Identification. IEEE Trans. Autom. Contr 1974, 19, 716–723. [Google Scholar] [CrossRef]
- Schwarz, G. Estimating the Dimension of a Model. Ann. Stat. 1978, 6, 461–464. Available online: https://www.jstor.org/stable/2958889 (accessed on 16 November 2025).
- National Institute of Statistics. Purchasing Power in Romania Compared to EU Member States in 2023—Provisional Data | National Institute of Statistics. Available online: https://insse.ro/cms/en/content/purchasing-power-romania-compared-eu-member-states-2023-provisional-data (accessed on 13 December 2025).
- Statista Economy of Romania—Statistics & Facts | Statista. Available online: https://www.statista.com/topics/11165/economy-of-romania/ (accessed on 13 December 2025).
- Dudek, H.; Myszkowska-Ryciak, J. Food Insecurity in Central-Eastern Europe: Does Gender Matter? Sustainability 2022, 14, 5435. [Google Scholar] [CrossRef]
- Bryan, E.; Ringler, C.; Meinzen-Dick, R. Gender, Resilience, and Food Systems. In Resilience and Food Security in a Food Systems Context; Béné, C., Devereux, S., Eds.; Springer International Publishing: Cham, Switzerland, 2023; ISBN 978-3-031-23534-4. Available online: https://www.springerprofessional.de/en/gender-resilience-and-food-systems/24675938 (accessed on 16 November 2025).
- Meissner, T.; Gassmann, X.; Faure, C.; Schleich, J. Individual Characteristics Associated with Risk and Time Preferences: A Multi Country Representative Survey. J. Risk Uncertain. 2022, 66, 77–107. [Google Scholar] [CrossRef]
- Dhuria, P.; Lawrence, W.; Crozier, S.; Cooper, C.; Baird, J.; Vogel, C. Women’s Perceptions of Factors Influencing Their Food Shopping Choices and How Supermarkets Can Support Them to Make Healthier Choices. BMC Public Health 2021, 21, 1070. [Google Scholar] [CrossRef] [PubMed]
- Hassen, K.; Zinab, B.; Belachew, T. Gender and Education as Predictors of Food Insecurity among Coffee Farming Households of the Jimma Zone, Southwest of Ethiopia. BMC Nutr. 2016, 2, 75. [Google Scholar] [CrossRef]
- Pacheco, L.; Lobão, J.; Coelho, S. Gender and Risk Aversion: Evidence from a Natural Experiment. Games 2023, 14, 49. [Google Scholar] [CrossRef]
- Byrnes, J.P.; Miller, D.C.; Schafer, W.D. Gender Differences in Risk Taking: A Meta-Analysis. Psychol. Bull. 1999, 125, 367–383. [Google Scholar] [CrossRef]
- Croson, R.; Gneezy, U. Gender Differences in Preferences. J. Econ. Lit. 2009, 47, 448–474. [Google Scholar] [CrossRef]
- Bleichrodt, H.; L’Haridon, O. Prospect Theory’s Loss Aversion Is Robust to Stake Size. Judgm. Decis. Mak. 2023, 18, e14. [Google Scholar] [CrossRef]
- Liang, S.; Fan, P.; Yang, G. To Take a Risk or Not? The Effect of Perceived Scarcity on Risky Choices. Behav. Sci. 2023, 13, 743. [Google Scholar] [CrossRef]
- Bahaciu, G.V.; Dragomir, N.; Defta, N.; Nicolae, C.G. Study Regarding Consumers Behavior towards Innovative Confectionery Products. Sci. papers. Ser. D Anim. Sci. 2019, 62, 404–409. [Google Scholar]
- Nicolae, C.; Isfan, N.; Bahaciu, G.V.; Marin, M.P.; Moga, L.M. Case Study in Traceability and Consumer’ Choices on Fish and Fishery Products. Agrolife Sci. J. 2016, 5, 103–107. [Google Scholar]
- Makowska, M.; Boguszewski, R.; Hrehorowicz, A. Generational Differences in Food Choices and Consumer Behaviors in the Context of Sustainable Development. Foods 2024, 13, 521. [Google Scholar] [CrossRef] [PubMed]
- Achón, M.; Serrano, M.; García-González, Á.; Alonso-Aperte, E.; Varela-Moreiras, G. Present Food Shopping Habits in the Spanish Adult Population: A Cross-Sectional Study. Nutrients 2017, 9, 508. [Google Scholar] [CrossRef]
- Ruppenthal, T.; Rückert-John, J. Food Shopping and Eating Habits of Young Adults. Br. Food J. 2025, 127, 2233–2252. [Google Scholar] [CrossRef]
- Gonzalez, D.; Karpman, M.; Gupta, P.; Waxman, E. Households Faced Persistent Challenges Affording Food in 2024. 2025. Available online: https://www.urban.org/sites/default/files/2025-03/Households-Faced-Persistent-Challenges-Affording-Food-in-2024.pdf (accessed on 12 December 2025).
- Hunger Count 2025—Food Banks as a Lifeline: Canada’s New Normal. 2025. Available online: https://content.foodbankscanada.ca/wordpress/2025/10/FBC_HungerCount_EN_2025.pdf (accessed on 12 December 2025).
- Aljahdali, A.A.; Na, M.; Leung, C.W. Food Insecurity and Health-Related Quality of Life among a Nationally Representative Sample of Older Adults: Cross-Sectional Analysis. BMC Geriatr. 2024, 24, 126. [Google Scholar] [CrossRef]
- Phulkerd, S.; Thapsuwan, S.; Chamratrithirong, A.; Gray, R.S.; Pattaravanich, U.; Ungchusak, C.; Saonuam, P. Financial Hardship on Food Security in Ageing Populations. Int. J. Public Health 2023, 68, 1605755. [Google Scholar] [CrossRef]
- Mutisya, M.; Ngware, M.W.; Kabiru, C.W.; Kandala, N. The Effect of Education on Household Food Security in Two Informal Urban Settlements in Kenya: A Longitudinal Analysis. Food Secur. 2016, 8, 743–756. [Google Scholar] [CrossRef]
- Velásquez, C. Educational Level and Food Security in The Northern Zone of Ecuador. In Psychosocial Risks in Education and Quality Educational Processes; European Publisher: Brussels, Belgium, 2021; pp. 81–87. [Google Scholar] [CrossRef]
- Darmon, N.; Drewnowski, A. Does Social Class Predict Diet Quality? Am. J. Clin. Nutr. 2008, 87, 1107–1117. [Google Scholar] [CrossRef]
- Silva, A.; Rivera, M.; Durán-Agüero, S.; Sactic, M.I. Single-Person Households: Insights from a Household Survey of Fruit and Vegetable Purchases. Nutrients 2024, 16, 2851. [Google Scholar] [CrossRef] [PubMed]
- Lee, H.; Kim, S.-J.; Kang, M. Comparative Study on Eating Habits and Health of Single-Person and Multi-Person Households. PLoS ONE 2025, 20, e0327763. [Google Scholar] [CrossRef] [PubMed]
- Niles, M.T.; McCarthy, A.C.; Malacarne, J.; Bliss, S.; Belarmino, E.H.; Laurent, J.; Merrill, S.C.; Nowak, S.A.; Schattman, R.E. Home and Wild Food Procurement Were Associated with Improved Food Security during the COVID-19 Pandemic in Two Rural US States. Sci. Rep. 2024, 14, 2682. [Google Scholar] [CrossRef] [PubMed]
- Luca, L.; Alexandri, C.; Ionel, I.; Leonte, M.-J.-C. Securitatea Alimentară, ca Element al Politicii Agricole Comune Și Agriculturii României În Context European. Provocări 2023–2027; European Institute of Romania (EIR): Bucharest, Romania, 2022. [Google Scholar]
- Paştiu, C.A.; Maican, S.Ş.; Dobra, I.B.; Muntean, A.C.; Haţegan, C. Food Insecurity among Consumers from Rural Areas in Romania. Front. Nutr. 2024, 10, 1345729. [Google Scholar] [CrossRef]
- Baladina, N.; Toiba, H.; Hanani, N.; Suhartini, S.; Widarjono, A. Do Income Levels Affect the Food Consumption Pattern of Households? Evidence from Indonesia. Asian Econ. Financ. Rev. 2024, 14, 695–711. [Google Scholar] [CrossRef]
- Hajipoor, M.; Rahbarinejad, P.; Irankhah, K.; Sobhani, S.R. Comparing Food Consumption during the COVID-19 Pandemic: Analysis of Household Income and Expenditure Survey Data in Iran. J. Health Popul. Nutr. 2023, 42, 43. [Google Scholar] [CrossRef]
- Wang, Z.; Josephson, A.; Dizon, F. Intra-Household Inequality in Food Expenditures and Diet Quality in the Philippines. Food Secur. 2025, 17, 293–330. [Google Scholar] [CrossRef]
- Costlow, L.; Gilbert, R.; Masters, W.A.; Ortenzi, F.; Beal, T.; Deo, A.; Sutiyo, W.; Noor, S.; Gonzalez, W. Healthy Diets Are Affordable but Often Displaced by Other Foods in Indonesia. arXiv 2025, arXiv:2509.20203. [Google Scholar] [CrossRef]
- Cairns, G. A Critical Review of Evidence on the Sociocultural Impacts of Food Marketing and Policy Implications. Appetite 2019, 136, 193–207. [Google Scholar] [CrossRef]
- Alves Gomes, M.; Meisen, T. A Review on Customer Segmentation Methods for Personalized Customer Targeting in E-Commerce Use Cases. Inf. Syst. E-Bus. Manag. 2023, 21, 527–570. [Google Scholar] [CrossRef]
- Weidig, J.; Weippert, M.; Kuehnl, C. Personalized Touchpoints and Customer Experience: A Conceptual Synthesis. J. Bus. Res. 2024, 177, 114641. [Google Scholar] [CrossRef]
- Allenby, G.M.; Rossi, P.E. Marketing Models of Consumer Heterogeneity. J. Econ. 1998, 89, 57–78. [Google Scholar] [CrossRef]
- Mora Cortez, R.; Højbjerg Clarke, A.; Freytag, P.V. B2B Market Segmentation: A Systematic Review and Research Agenda. J. Bus. Res. 2021, 126, 415–428. [Google Scholar] [CrossRef]
- Atwal, G.; Williams, A. Luxury Brand Marketing—The Experience Is Everything! J. Brand Manag. 2009, 16, 338–346. [Google Scholar] [CrossRef]
- Arrigo, E. Social Media Marketing in Luxury Brands. Manag. Res. Rev. 2018, 41, 657–679. [Google Scholar] [CrossRef]
- Defta, N.; Defta (Osman), A.; Dragomir, N.; Scripa, A.M. The Influence of Communication and Mass-Media Campaigns on Choosing Food Items. Sci. Papers. Ser. D Anim. Sci. 2024, LXVII, 420–425. Available online: https://animalsciencejournal.usamv.ro/pdf/2024/issue_1/Art53.pdf (accessed on 16 November 2025).
- Grapă, A.T.; Defta, N.; Oprea, I. Study on Consumer Confidence in the Food Products Labelling System. Sci. Papers. Ser. D Anim. Sci. 2022, LXV, 493–499. [Google Scholar]
- Panteli, A.; Kalaitzi, E.; Fidas, C.A. Identifying Individual Information Processing Styles During Advertisement Viewing Through EEG-Driven Classifiers. Information 2025, 16, 757. [Google Scholar] [CrossRef]
- Gaytancıoğlu, O.; Yılmaz, F.; Geçgel, Ü. The Effect of Fatty Acids Profile in Potato and Corn Chips on Consumer Preferences. Foods 2024, 13, 3292. [Google Scholar] [CrossRef]
- Chilón-Troncos, R.F.; García-Salirrosas, E.E.; Escobar-Farfán, M.; Millones-Liza, D.Y.; Villar-Guevara, M. Predicting Willingness to Consume Healthy Brand Foods Using the Theory of Planned Behavior: The Role of Nutritional Literacy. Front. Nutr. 2024, 11, 1353569. [Google Scholar] [CrossRef]



| Characteristics | Share in the Sample | Percentage (%) |
|---|---|---|
| Gender | Female | 40 |
| Male | 60 | |
| Age (years) | 18–24 | 11.6 |
| 25–34 | 15.1 | |
| 35–44 | 7.1 | |
| 45–54 | 11.6 | |
| 55–64 | 13.8 | |
| Over 65 | 40.8 | |
| Marital status | Single | 13.8 |
| In a relationship | 0.7 | |
| Married | 85.5 | |
| Middle school education | 17.3 | |
| Education level | High school education | 57.2 |
| Post-secondary education | 13.5 | |
| University education | 6.85 | |
| Postgraduate education | 5.1 | |
| Household monthly net income (RON) | Under 2500 | 25 |
| 2501–3500 | 26.1 | |
| 3501–4500 | 26.9 | |
| 4501–5500 | 3.7 | |
| 5501–6500 | 12.3 | |
| 6501–8500 | 2.9 | |
| Over 8500 | 3.1 | |
| Residence | Urban | 64.1 |
| Rural | 35.9 |
| β | S.E. | Wald z | Sig. | Exp(β) | 95% C.I. for Exp(β) | ||
|---|---|---|---|---|---|---|---|
| Lower | Upper | ||||||
| Disagree relative to the reference category | |||||||
| Gender | |||||||
| Male | 1.938 | 0.975 | 1.988 | 0.047 | 6.941 | 1.028 | 46.886 |
| Age | |||||||
| Age.L | −9.388 | 0.804 | −11.670 | 0.000 | |||
| Residence | |||||||
| Urban | −2.9951 | 0.931 | −3.216 | 0.001 | 0.050 | 0.008 | 0.310 |
| neutral relative to the reference category | |||||||
| Age | |||||||
| Age.L | 9.689 | 0.625 | 15.493 | 0.000 | 16,145.01 | 4738.955 | 55,003.95 |
| Education Level | |||||||
| Education level.L | −1.693 | 0.465 | −3.639 | 0.184 | 0.074 | 0.458 | |
| agree relative to the reference category | |||||||
| Gender | |||||||
| Male | 1.438 | 0.434 | 3.316 | 4.211 | 1.800 | 9.851 | |
| Age | |||||||
| Age.L | 8.299 | 0.604 | 13.736 | 0.000 | 4021.488 | 1230.484 | 13,143.10 |
| Marital Status | |||||||
| Marital status.L | 1.573 | 0.409 | 3.845 | 0.0001 | 4.819 | 2.162 | 10.743 |
| Education Level | |||||||
| Education level.L | −13.438 | 0.482 | −27.879 | 0.000 | 5.6 | 3.7 | |
| stronglyagree relative to the reference category | |||||||
| Age | |||||||
| Age.L | 7.04402 | 0.608566 | 11.57478 | 0.000 | 1145.990 | 347.671 | 3777.407 |
| Marital Status | |||||||
| Marital status.L | 1.176305 | 0.431468 | 2.72628 | 0.006 | 3.242 | 1.392 | 7.553 |
| Income | |||||||
| Income.L | 2.90569 | 1.14225 | 2.54383 | 0.011 | 18.278 | 1.948 | 171.479 |
| β | S.E. | Wald z | Sig. | Exp(β) | 95% C.I. for Exp(β) | ||
|---|---|---|---|---|---|---|---|
| Lower | Upper | ||||||
| Disagree relative to the reference category | |||||||
| Gender | |||||||
| Male | −1.545 | 0.321 | −4.814 | 0.213 | 0.114 | 0.400 | |
| Education Level | |||||||
| Education level.L | −10.421 | 0.391 | −26.638 | 0.000 | |||
| Residence | |||||||
| Urban | −2.281 | 0.469 | −4.863 | 0.102 | 0.041 | 0.256 | |
| neutral relative to the reference category | |||||||
| Age | |||||||
| Age.L | 1.892 | 0.654 | 2.895 | 0.004 | 6.632 | 1.842 | 23.876 |
| Education Level | |||||||
| Education level.L | 1.066 | 0.333 | 3.205 | 0.001 | 2.903 | 1.513 | 5.570 |
| Residence | |||||||
| Urban | −3.960 | 0.439 | −9.024 | 0.000 | 0.019 | 0.008 | 0.045 |
| agree relative to the reference category | |||||||
| Marital Status | |||||||
| Marital status.L | 1.668 | 0.355 | 4.696 | 5.302 | 2.643 | 10.637 | |
| Education Level | |||||||
| Education level.L | −9.150 | 0.380 | −24.060 | 0.000 | 5.0 | 2.2 | |
| Residence | |||||||
| Urban | −3.034 | 0.474 | −6.406 | 0.048 | 0.019 | 0.122 | |
| strongly agree relative to the reference category | |||||||
| Age | |||||||
| Age.L | −12.569 | 0.654 | −19.216 | 0.000 | |||
| Education Level | |||||||
| Education level.L | 3.389 | 0.435 | 7.798 | 6.2 | 29.648 | 12.648 | 69.494 |
| Residence | |||||||
| Urban | −2.302 | 0.608 | −3.788 | 0.100 | 0.030 | 0.329 | |
Disclaimer/Publisher’s Note: The statements, opinions and data contained in all publications are solely those of the individual author(s) and contributor(s) and not of MDPI and/or the editor(s). MDPI and/or the editor(s) disclaim responsibility for any injury to people or property resulting from any ideas, methods, instructions or products referred to in the content. |
© 2025 by the authors. Licensee MDPI, Basel, Switzerland. This article is an open access article distributed under the terms and conditions of the Creative Commons Attribution (CC BY) license.
Share and Cite
Defta, N.; Barbu, A.; Ion, V.A.; Vidu, L.; Peț, E.; Cune, L.-C.; Bădulescu, L.A. Socio-Demographic Correlates of Basic Food Needs: A Maslow’s Hierarchy Analysis. Foods 2026, 15, 57. https://doi.org/10.3390/foods15010057
Defta N, Barbu A, Ion VA, Vidu L, Peț E, Cune L-C, Bădulescu LA. Socio-Demographic Correlates of Basic Food Needs: A Maslow’s Hierarchy Analysis. Foods. 2026; 15(1):57. https://doi.org/10.3390/foods15010057
Chicago/Turabian StyleDefta, Nicoleta, Andreea Barbu, Violeta Alexandra Ion, Livia Vidu, Elena Peț, Liviu-Cristian Cune, and Liliana Aurelia Bădulescu. 2026. "Socio-Demographic Correlates of Basic Food Needs: A Maslow’s Hierarchy Analysis" Foods 15, no. 1: 57. https://doi.org/10.3390/foods15010057
APA StyleDefta, N., Barbu, A., Ion, V. A., Vidu, L., Peț, E., Cune, L.-C., & Bădulescu, L. A. (2026). Socio-Demographic Correlates of Basic Food Needs: A Maslow’s Hierarchy Analysis. Foods, 15(1), 57. https://doi.org/10.3390/foods15010057

