Quality Changes in Live Ruditapes philippinarum During “Last Mile” Cold Chain Breakage: Effect of Packaging
Abstract
1. Introduction
2. Materials and Methods
2.1. Materials and Reagents
2.2. Sample Preparation
2.3. Temperature Measurement
2.4. Modeling
2.4.1. Physical Model
2.4.2. Assumptions and Governing Equation
- (1)
- All materials are considered isotropic.
- (2)
- The air inside the foam box is regarded as an incompressible fluid.
- (3)
- The initial temperature of the ice packs and the box interior is assumed to be uniform.
- (4)
- Changes in the density of the ice packs are neglected, thus assuming a constant volume for the ice packs [21].
2.4.3. Initial Conditions and Boundary Conditions
2.4.4. Geometric Model Meshing and Numerical Solution
2.4.5. Verification of Heat Transfer Model
2.5. Sensory Evaluation
2.6. Survival Rate Assessment
2.7. TVC Measurements
2.8. Determination of Physicochemical Properties
2.8.1. WHC Measurements
2.8.2. pH Measurements
2.8.3. TVB-N Measurements
2.8.4. TBA Measurements
2.9. Color Analysis
2.10. Texture Measurements
2.11. LF-NMR and MRI Measurements
2.11.1. LF-NMR Measurements
2.11.2. MRI Measurements
2.12. Statistical Analysis
3. Results and Discussion
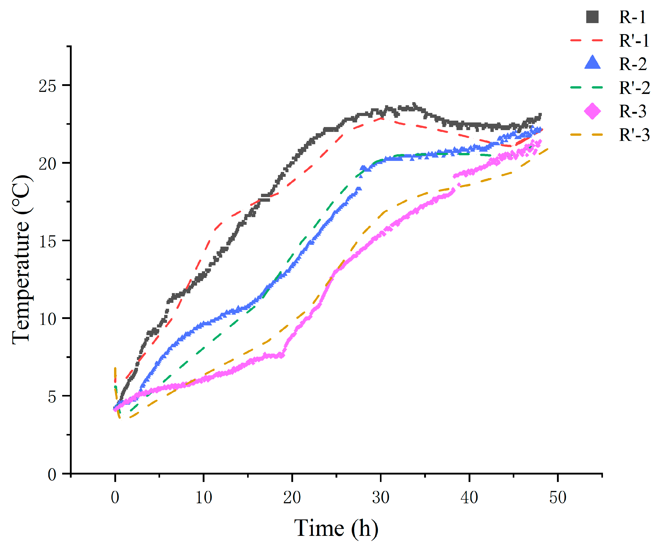
3.1. Temperature Distribution and Validation of the Model
3.2. Sensory Analysis
3.3. Survival Rate
3.4. Microbiological Analysis
3.5. Physical and Chemical Analysis
3.5.1. WHC
3.5.2. pH
3.5.3. TVB-N
3.5.4. TBA
3.6. Color Measurements
3.7. Texture Properties
3.8. Water Distribution Analysis
3.8.1. LF-NMR Analysis
3.8.2. MRI Analysis
3.8.3. Correlation Analysis Between LF-NMR and Physicochemical Properties
4. Conclusions
Author Contributions
Funding
Institutional Review Board Statement
Informed Consent Statement
Data Availability Statement
Conflicts of Interest
Appendix A
| Index | Equation | R2 |
|---|---|---|
| Survival rate | 0.155 A22 − 45.054 S23 + 54.622 | 0.858 |
| TVC | 3.699 S23 − 0.027 | 0.900 |
| TBARS | 0.018 T2W + 0.066 T21 + 0.514 S23 − 1.969 | 0.936 |
| TVB-N | 0.538 T2W + 0.039 T23 + 7.315 S23 − 12.642 | 0.909 |
| L* | 0.194 A21 − 0.038 A22 + 0.067 T23 − 1.983 A23 + 47.248 | 0.848 |
| b* | 0.055 T23 + 0.302 A23 − 2.855 S23 + 1.989 | 0.857 |
| Cooking loss | 0.683 T2W − 37.939 | 0.801 |
| Hardness | −29.164 T21 − 440.284 S23 + 1108.064 | 0.951 |
| Elasticity | −0.032 T2W − 0.018 T22 + 0.002 T23 + 2.608 | 0.811 |
| Cohesion | −0.011 T2W + 0.155 S21 + 0.001 T23 + 0.048 A23 − 0.364 S23 + 0.097 | 0.810 |
| Chewiness | 0.247 A22 − 46.713 S23 + 66.359 | 0.804 |
| Resilience | −0.003 T2W − 0.031 S21 − 0.106 S23 + 0.506 | 0.834 |
References
- FAO. The State of World Fisheries and Aquaculture 2024—Blue Transformation in Action; FAO: Rome, Italy, 2024. [Google Scholar]
- National Bureau of Statistics of China. China Statistical Yearbook; National Bureau of Statistics of China: Beijing, China, 2023.
- Zdrojewska, I.; Lebiedzinska, A.; Szefer, P. Selected seafoods as the components of a highly nutritional diet. [Wybrane owoce morza jako skladniki diety o wysokiej wartosci odzywczej]. Rocz. Panstw. Zakl. Hig. 2005, 56, 131–137. [Google Scholar] [PubMed]
- Barrento, S.; Lupatsch, I.; Keay, A.; Christophersen, G. Metabolic rate of blue mussels (Mytilus edulis) under varying post-harvest holding conditions. Aquat. Living Resour. 2013, 26, 241–247. [Google Scholar] [CrossRef]
- Chen, L.; Shi, H.; Zhang, X.; Xue, C.; Nie, C.; Yang, F.; Shao, Y.; Xue, Y.; Zhang, H.; Li, Z. The effect of depuration salinity on the survival, nutritional composition, biochemical responses and proteome of Pacific oyster (Crassostrea gigas) during anhydrous living-preservation. Food Control 2022, 138, 108977. [Google Scholar] [CrossRef]
- Ekanem, E.O.; Achinewhu, S.C. Mortality and quality indices of live West African hard-shell clams (Galatea paradoxa Born) during wet and dry postharvest storage. J. Food Process. Preserv. 2006, 30, 247–257. [Google Scholar] [CrossRef]
- Chen, S.Q.; Zhang, C.H.; Xiong, Y.F.; Tian, X.Q.; Liu, C.C.; Jeevithan, E.; Wu, W.H. A GC-MS-based metabolomics investigation on scallop (Chlamys farreri) during semi-anhydrous living-preservation. Innov. Food Sci. Emerg. Technol. 2015, 31, 185–195. [Google Scholar] [CrossRef]
- Li, M.; Xie, B.S.; Li, Y.X.; Cao, P.H.; Leng, G.H.; Li, C.C. Emerging phase change cold storage technology for fresh products cold chain logistics. J. Energy Storage 2024, 88, 111531. [Google Scholar] [CrossRef]
- Bi, S.J.; Xue, C.H.; Xu, L.L.; Wen, Y.Q.; Wang, L.H.; Li, Z.J.; Liu, H.Y. Physiological Responses of Clam (Ruditapes philippinarum) to Transport Modes with Different Temperatures. J. Ocean Univ. China 2023, 22, 517–526. [Google Scholar] [CrossRef]
- Jiang, P.H.; Qin, X.M.; Fan, X.P.; Zhang, C.F.; Chen, D.J. The impact of anhydrous storage and transportation at ice temperatures on the post-capture viability and quality of Patinopecten yessoensis. J. Agric. Food Res. 2024, 18, 101277. [Google Scholar] [CrossRef]
- Bai, B.; Zhao, K.; Li, X.Z. Application research of nano-storage materials in cold chain logistics of e-commerce fresh agricultural products. Results Phys. 2019, 13, 102049. [Google Scholar] [CrossRef]
- Meng, X.C.; Xie, R.H.; Liao, J.; Shen, X.; Yang, S.C. A cost-effective over-temperature alarm system for cold chain delivery. J. Food Eng. 2024, 368, 111914. [Google Scholar] [CrossRef]
- Youngtae, P.; Siku, K.; Kwangyeol, R. Prediction of Refrigerated Vehicle Environment for Optimization of Cold-Chain Logistics. ICIC Express Lett. Part B Appl. 2023, 14, 193–199. [Google Scholar] [CrossRef]
- Zhao, X.; Pei, L.; Jia, X.; Qu, M.; Zhang, Z.; Wang, Y. Study the Test Method of Temperature and Humidity Monitoring Equipment in the Cold Chain Transportation Process. J. Phys. Conf. Ser. 2023, 2437, 012065. [Google Scholar] [CrossRef]
- Skudlarek, J.G.; Coyle, S.D.; Bright, L.A.; Tidwell, J.H. Effect of Holding and Packing Conditions on Hemolymph Parameters of Freshwater Prawns, Macrobrachium rosenbergii, during Simulated Waterless Transport. J. World Aquac. Soc. 2011, 42, 603–617. [Google Scholar] [CrossRef]
- Teng, X.Y.; Cong, X.H.; Chen, L.P.; Wang, Q.; Xue, C.H.; Li, Z.J. Effect of repeated freeze-thawing on the storage quality of pacific oyster (Crassostrea gigas). J. Food Meas. Charact. 2022, 16, 4641–4649. [Google Scholar] [CrossRef]
- Alfaro, A.C.; Nguyen, T.V.; Mellow, D. A metabolomics approach to assess the effect of storage conditions on metabolic processes of New Zealand surf clam (Crassula aequilatera). Aquaculture 2019, 498, 315–321. [Google Scholar] [CrossRef]
- Huo, Z.M.; Li, Y.; Rbbani, M.G.; Wu, Q.D.; Yan, X.W. Temperature challenge on larvae and juveniles of the Manila clam Ruditapes philippinarum. Aquac. Res. 2018, 49, 1727–1731. [Google Scholar] [CrossRef]
- So, J.H.; Joe, S.Y.; Hwang, S.H.; Jun, S.J.; Lee, S.H. Analysis of the Temperature Distribution in a Refrigerated Truck Body Depending on the Box Loading Patterns. Foods 2021, 10, 2560. [Google Scholar] [CrossRef]
- Manzocco, L.; Alongi, M.; Cortella, G.; Anese, M. Optimizing radiofrequency assisted cryogenic freezing to improve meat microstructure and quality. J. Food Eng. 2022, 335, 111184. [Google Scholar] [CrossRef]
- Hu, W.J.; Song, M.J.; Jiang, Y.Q.; Yao, Y.; Gao, Y. A modeling study on the heat storage and release characteristics of a phase change material based double-spiral coiled heat exchanger in an air source heat pump for defrosting. Appl. Energy 2019, 236, 877–892. [Google Scholar] [CrossRef]
- Perrot, P. A to Z of Thermodynamics; Oxford University Press: Oxford, UK, 1998; ISBN 0-19-856552-6. [Google Scholar]
- Gulati, T.; Datta, A.K. Enabling computer-aided food process engineering: Property estimation equations for transport phenomena-based models. J. Food Eng. 2013, 116, 483–504. [Google Scholar] [CrossRef]
- Laguerre, O.; Chaomuang, N.; Derens, E.; Flick, D. How to predict product temperature changes during transport in an insulated box equipped with an ice pack: Experimental versus 1-D and 3-D modelling approaches. Int. J. Refrig. Rev. Int. Du Froid 2019, 100, 196–207. [Google Scholar] [CrossRef]
- Zhao, S.Q.; Ding, W.M.; Zhao, S.Q.; Gu, J.B. Adaptive neural fuzzy inference system for feeding decision-making of grass carp (Ctenopharyngodon idellus) in outdoor intensive culturing ponds. Aquaculture 2019, 498, 28–36. [Google Scholar] [CrossRef]
- Manousaridis, G.; Nerantzaki, A.; Paleologos, E.K.; Tsiotsias, A.; Savvaidis, I.N.; Kontominas, M.G. Effect of ozone on microbial, chemical and sensory attributes of shucked mussels. Food Microbiol. 2005, 22, 1–9. [Google Scholar] [CrossRef]
- Gonçalves, A.; Pedro, S.; Duarte, A.; Nunes, M.L. Effect of enriched oxygen atmosphere storage on the quality of live clams (Ruditapes decussatus). Int. J. Food Sci. Technol. 2009, 44, 2598–2605. [Google Scholar] [CrossRef]
- Alcicek, Z. Effects of Different Liquid Smoke Flavor Levels on the Shelf Life of Venus Clam (Chamelea gallina, L 1758) Meat. J. Food Process. Preserv. 2014, 38, 964–970. [Google Scholar] [CrossRef]
- Wang, T.T.; Li, Z.X.; Mi, N.S.; Yuan, F.Z.; Zou, L.; Lin, H.; Pavase, T. Effects of brown algal phlorotannins and ascorbic acid on the physiochemical properties of minced fish (Pagrosomus major) during freeze-thaw cycles. Int. J. Food Sci. Technol. 2017, 52, 706–713. [Google Scholar] [CrossRef]
- Gudjónsdóttir, M.; Lauzon, H.L.; Magnússon, H.; Sveinsdóttir, K.; Arason, S.; Martinsdóttir, E.; Rustad, T. Low field Nuclear Magnetic Resonance on the effect of salt and modified atmosphere packaging on cod (Gadus morhua) during superchilled storage. Food Res. Int. 2011, 44, 241–249. [Google Scholar] [CrossRef]
- Liu, S.; Zhang, L.; Li, Z.; Liu, M.; Chen, J.; Hong, P.; Zhong, S.; Huang, J. Effect of temperature fluctuation on the freshness, water migration and quality of cold-storage Penaeus vannamei. LWT Food Sci. Technol. 2024, 193, 115771. [Google Scholar] [CrossRef]
- Sun, Y.; Jia, Y.; Song, M.; Liu, Y.; Xin, L.; Chen, X.; Fu, H.; Wang, Y.; Wang, Y. Effects of radio frequency thawing on the quality characteristics of frozen mutton. Food Bioprod. Process. 2023, 139, 24–33. [Google Scholar] [CrossRef]
- Liu, J.L.; Huang, J.Y.; Jiang, L.; Lin, J.H.; Ge, Y.L.; Hu, Y.Q. Chitosan/polyvinyl alcohol food packaging incorporated with purple potato anthocyanins and nano-ZnO: Application on the preservation of hairtail (Trichiurus haumela) during chilled storage. Int. J. Biol. Macromol. 2024, 277, 134435. [Google Scholar] [CrossRef]
- Chen, Y.C.; Yao, X.Y.; Sun, J.L.; Ma, A.J. Effects of different high temperature-pressure processing times on the sensory quality, nutrition and allergenicity of ready-to-eat clam meat. Food Res. Int. 2024, 185, 114263. [Google Scholar] [CrossRef]
- Yang, B.; Zhang, Y.; Jiang, S.; Lu, J.; Lin, L. Effects of different cooking methods on the edible quality of crayfish (Procambarus clarkii) meat. Food Chem. Adv. 2023, 2, 100168. [Google Scholar] [CrossRef]
- Wang, X.; Xie, X.R.; Zhang, T.; Zheng, Y.; Guo, Q.Y. Effect of edible coating on the whole large yellow croaker (Pseudosciaena crocea) after a 3-day storage at −18 °C: With emphasis on the correlation between water status and classical quality indices. LWT Food Sci. Technol. 2022, 163, 113514. [Google Scholar] [CrossRef]
- Cheng, S.; Zhang, T.; Yao, L.; Wang, X.; Song, Y.; Wang, H.; Wang, H.; Tan, M. Use of low-field-NMR and MRI to characterize water mobility and distribution in pacific oyster (Crassostrea gigas) during drying process. Dry. Technol. 2018, 36, 630–636. [Google Scholar] [CrossRef]
- NSSP. Guide for the Control of Molluscan Shellfish 2023 Revision; U.S. Food and Drug Administration: Silver Spring, MD, USA; Interstate Shellfish Sanitation Conference: Richmond, VA, USA, 2023. [Google Scholar]
- Pattanaik, S.; Jenamani, M. Identifying the cooling heterogeneity and quality decay of Indian mangoes during cold chain export by multiphysics modeling. J. Food Process Eng. 2023, 46, e14250. [Google Scholar] [CrossRef]
- Jang, W.; Choi, J.; Yu, H.; Kim, S.; Ha, S.-D.; Lee, J. Determination of naturally derived propionic, benzoic, and sorbic acids in seafood, meats, and fruits during storage. J. Food Compos. Anal. 2025, 137, 106897. [Google Scholar] [CrossRef]
- Songsaeng, S.; Sophanodora, P.; Kaewsrithong, J.; Ohshima, T. Quality changes in oyster (Crassostrea belcheri) during frozen storage as affected by freezing and antioxidant. Food Chem. 2010, 123, 286–290. [Google Scholar] [CrossRef]
- Li, Z.Y.; Li, L.Q.; Zhang, Y.C.; He, Q. Frozen kinetics models for sensory, chemical, and microbial spoilage of preserved razor clam (Sinonovacula constricta) at different temperatures. Int. J. Food Eng. 2020, 16, 20190288. [Google Scholar] [CrossRef]
- Bi, S.; Xue, C.; Sun, C.; Chen, L.; Sun, Z.; Wen, Y.; Li, Z.; Chen, G.; Wei, Z.; Liu, H. Impact of transportation and rehydration strategies on the physiological responses of clams (Ruditapes philippinarum). Aquac. Rep. 2022, 22, 100976. [Google Scholar] [CrossRef]
- Braun, P.; Fehlhaber, K. Amount of lipolytes and proteolytes in food of animal origin. Dtsch. Tierarztl. Wochenschr. 2001, 108, 371–375. [Google Scholar]
- Chen, J.; Kudo, H.; Kan, K.; Kawamura, S.; Koseki, S. Growth-Inhibitory Effect of d-Tryptophan on Vibrio spp. in Shucked and Live Oysters. Appl. Environ. Microbiol. 2018, 84, e01543-18. [Google Scholar] [CrossRef] [PubMed]
- Fernandez-piquer, J.; Bowman, J.P.; Ross, T.; Estrada-flores, S.; Tamplin, M.L. Preliminary Stochastic Model for Managing Vibrio parahaemolyticus and Total Viable Bacterial Counts in a Pacific Oyster (Crassostrea gigas) Supply Chain. J. Food Prot. 2013, 76, 1168–1178. [Google Scholar] [CrossRef]
- Bernardez, M.; Pastoriza, L. Effect of oxygen concentration and temperature on the viability of small-sized mussels in hermetic packages. LWT Food Sci. Technol. 2013, 54, 285–290. [Google Scholar] [CrossRef]
- Love, D.C.; Lane, R.M.; Davis BJ, K.; Clancy, K.; Fry, J.P.; Harding, J.; Hudson, B. Performance of Cold Chains for Chesapeake Bay Farmed Oysters and Modeled Growth of Vibrio parahaemolyticus. J. Food Prot. 2019, 82, 168–178. [Google Scholar] [CrossRef] [PubMed]
- Xuan, X.T.; Cui, Y.; Lin, X.D.; Yu, J.F.; Liao, X.J.; Ling, J.G.; Shang, H.T. Impact of High Hydrostatic Pressure on the Shelling Efficacy, Physicochemical Properties, and Microstructure of Fresh Razor Clam (Sinonovacula constricta). J. Food Sci. 2018, 83, 284–293. [Google Scholar] [CrossRef]
- Ersoy, B.; Özeren, A. The effect of cooking methods on mineral and vitamin contents of African catfish. Food Chem. 2009, 115, 419–422. [Google Scholar] [CrossRef]
- Lonergan, S.M.; Topel, D.G.; Marple, D.N. The Science of Animal Growth and Meat Technology, 2nd ed.; Elsevier Inc.: Amsterdam, The Netherlands; Iowa State University: Ames, IA, USA, 2019. [Google Scholar]
- Wang, S.; Zhang, D.; Yang, Q.; Wen, X.; Li, X.; Yan, T.; Zhang, R.; Wang, W.; Akhtar, K.H.; Huang, C.; et al. Effects of different cold chain logistics modes on the quality and bacterial community succession of fresh pork. Meat Sci. 2024, 213, 109502. [Google Scholar] [CrossRef]
- Lu, X.; Zhang, Y.M.; Zhu, L.X.; Luo, X.; Hopkins, D.L. Effect of superchilled storage on shelf life and quality characteristics of M-longissimus lumborum from Chinese Yellow cattle. Meat Sci. 2019, 149, 79–84. [Google Scholar] [CrossRef]
- Chen, B.H.; Xu, T.S.; Yan, Q.; Karsli, B.; Li, D.P.; Xie, J. Effect of temperature fluctuations on large yellow croaker fillets (Larimichthys crocea) in cold chain logistics: A microbiological and metabolomic analysis. J. Food Eng. 2025, 386, 112290. [Google Scholar] [CrossRef]
- Bekhit, A.; Holman BW, B.; Giteru, S.G.; Hopkins, D.L. Total volatile basic nitrogen (TVB-N) and its role in meat spoilage: A review. Trends Food Sci. Technol. 2021, 109, 280–302. [Google Scholar] [CrossRef]
- Gu, M.; Tu, C.; Jiang, H.; Li, T.; Xu, N.; Shui, S.; Benjakul, S.; Zhang, B. Physicochemical characteristics and microbial diversity of sous vide scallops (Chlamys farreri) during chilled storage. LWT Food Sci. Technol. 2024, 204, 116437. [Google Scholar] [CrossRef]
- GB 2733-2015; National Food Safety Standard Fresh, Frozen Aquatic Products of Animal Origin. National Standardization Administration of China: Beijing, China, 2015.
- Muela, E.; Sanudo, C.; Campo, M.M.; Medel, I.; Beltrán, J.A. Effect of freezing method and frozen storage duration on instrumental quality of lamb throughout display. Meat Sci. 2010, 84, 662–669. [Google Scholar] [CrossRef]
- Gunsen, U.; Ozcan, A.; Aydin, A. The Effect of Modified Atmosphere Packaging on Extending Shelf-Lifes of Cold Storaged Marinated Seafood Salad. J. Anim. Vet. Adv. 2010, 9, 2017–2024. [Google Scholar] [CrossRef]
- Hong, H.; Luo, Y.K.; Zhou, Z.Y.; Bao, Y.L.; Lu, H.; Shen, H.X. Effects of different freezing treatments on the biogenic amine and quality changes of bighead carp (Aristichthys nobilis) heads during ice storage. Food Chem. 2013, 138, 1476–1482. [Google Scholar] [CrossRef]
- Muznebin, F.; Alfaro, A.C.; Venter, L.; Young, T. Acute thermal stress and endotoxin exposure modulate metabolism and immunity in marine mussels (Perna canaliculus). J. Therm. Biol. 2022, 110, 103327. [Google Scholar] [CrossRef]
- Delisle, L.; Pauletto, M.; Vidal-Dupiol, J.; Petton, B.; Bargelloni, L.; Montagnani, C.; Pernet, F.; Corporeau, C.; Fleury, E. High temperature induces transcriptomic changes in Crassostrea gigas that hinder progress of ostreid herpesvirus (OsHV-1) and promote survival. J. Exp. Biol. 2020, 223, jeb226233. [Google Scholar] [CrossRef]
- Madigan, T.; Kiermeier, A.; Carragher, J.; Lopes, M.D.; Cozzolino, D. The use of rapid instrumental methods to assess freshness of half shell Pacific oysters, Crassostrea gigas: A feasibility study. Innov. Food Sci. Emerg. Technol. 2013, 19, 204–209. [Google Scholar] [CrossRef]
- Lin, C.-S.; Tsai, Y.-H.; Chen, P.-W.; Chen, Y.-C.; Wei, P.-C.; Tsai, M.-L.; Kuo, C.-H.; Lee, Y.-C. Impacts of high-hydrostatic pressure on the organoleptic, microbial, and chemical qualities and bacterial community of freshwater clam during storage studied using high-throughput sequencing. LWT Food Sci. Technol. 2022, 171, 114124. [Google Scholar] [CrossRef]
- Hoang, T.H.; Stone DA, J.; Duong, D.N.; Harris, J.O.; Qin, J.G. Changes of body colour and tissue pigments in greenlip abalone (Haliotis laevigata Donovan) fed macroalgal diets at different temperatures. Aquac. Res. 2020, 51, 5175–5183. [Google Scholar] [CrossRef]
- Zheng, J.Y.; Tao, N.P.; Gong, J.; Gu, S.Q.; Xu, C.H. Comparison of non-volatile taste-active compounds between the cooked meats of pre- and post-spawning Yangtze Coilia ectenes. Fish. Sci. 2015, 81, 559–568. [Google Scholar] [CrossRef]
- Lee, Y.-C.; Lin, C.-S.; Zeng, W.-H.; Hwang, C.-C.; Chiu, K.; Ou, T.-Y.; Chang, T.-H.; Tsai, Y.-H. Effect of a Novel Microwave-Assisted Induction Heating (MAIH) Technology on the Quality of Prepackaged Asian Hard Clam (Meretrix lusoria). Foods 2021, 10, 2299. [Google Scholar] [CrossRef] [PubMed]
- Ovissipour, M.; Rasco, B.; Tang, J.; Sablani, S.S. Kinetics of quality changes in whole blue mussel (Mytilus edulis) during pasteurization. Food Res. Int. 2013, 53, 141–148. [Google Scholar] [CrossRef]
- Carneiro, C.D.; Mársico, E.T.; Ribeiro, R.D.R.; Conte, C.A.; Alvares, T.S.; de Jesus, E.F.O. Studies of the effect of sodium tripolyphosphate on frozen shrimp by physicochemical analytical methods and Low Field Nuclear Magnetic Resonance (LF 1H NMR). LWT Food Sci. Technol. 2013, 50, 401–407. [Google Scholar] [CrossRef]
- Sun, X.; Xiao, L.; Lan, W.; Liu, S.; Wang, Q.; Yang, X.; Zhang, W.; Xie, J. Effects of temperature fluctuation on quality changes of large yellow croaker (Pseudosciaena crocea) with ice storage during logistics process. J. Food Process. Preserv. 2018, 42, e13505. [Google Scholar] [CrossRef]
- Sánchez-Valencia, J.; Sánchez-Alonso, I.; Martinez, I.; Careche, M. Low-Field Nuclear Magnetic Resonance of Proton (<SUP>1</SUP>H LF NMR) Relaxometry for Monitoring the Time and Temperature History of Frozen Hake (Merluccius merluccius L.) Muscle. Food Bioprocess Technol. 2015, 8, 2137–2145. [Google Scholar] [CrossRef]
- Wang, X.Y.; Geng, L.J.; Xie, J.; Qian, Y.F. Relationship Between Water Migration and Quality Changes of Yellowfin Tuna (Thunnus albacares) During Storage at 0 °C and 4 °C by LF-NMR. J. Aquat. Food Prod. Technol. 2018, 27, 35–47. [Google Scholar] [CrossRef]
- Lan, W.Q.; Liu, J.L.; Wang, M.; Xie, J. Effects of apple polyphenols and chitosan-based coatings on quality and shelf life of large yellow croaker (Pseudosciaena crocea) as determined by low field nuclear magnetic resonance and fluorescence spectroscopy. J. Food Saf. 2021, 41, e12887. [Google Scholar] [CrossRef]
- Wang, X.Y.; Xie, J. Evaluation of water dynamics and protein changes in bigeye tuna (Thunnus obesus) during cold storage. LWT Food Sci. Technol. 2019, 108, 289–296. [Google Scholar] [CrossRef]
- Hultmann, L.; Phu, T.M.; Tobiassen, T.; Aas-Hansen, O.; Rustad, T. Effects of pre-slaughter stress on proteolytic enzyme activities and muscle quality of farmed Atlantic cod (Gadus morhua). Food Chem. 2012, 134, 1399–1408. [Google Scholar] [CrossRef]
- Tan, M.Q.; Lin, Z.Y.; Zu, Y.X.; Zhu, B.W.; Cheng, S.S. Effect of multiple freeze-thaw cycles on the quality of instant sea cucumber: Emphatically on water status of by LF-NMR and MRI. Food Res. Int. 2018, 109, 65–71. [Google Scholar] [CrossRef]
- Xie, J.; Wang, Z.; Wang, S.; Qian, Y.F. Textural and quality changes of hairtail fillets (Trichiurus haumela) related with water distribution during simulated cold chain logistics. Food Sci. Technol. Int. 2020, 26, 291–299. [Google Scholar] [CrossRef] [PubMed]













| Parameter Name | Value | Description |
|---|---|---|
| T1→2/K | 273.15 | Phase transition initiation temperature |
| ∆T1→2/K | 3.5 | Phase transition temperature interval |
| L1→2/(kJ·kg−1) | 333 | Latent heat of phase transformation |
| Tice/K | 268.15 | Ice pack initial temperature |
| T0/K | 293.15 | Model initial temperature |
| Tcontent/K | 278.15 | Content initial temperature |
| Characteristics | Value | Determination Method |
|---|---|---|
| Thermal conductivity, (W·m−1·K−1) | 0.4 | Estimation from the mass fraction of water, protein, and fat [23] |
| m−3) | 1200 | Calculation from the measured volume and weight |
| Thermal capacity, Cpf (J·kg−1·K−1) | 3800 | Experimentally measured |
| Group | RMSE (°C) |
|---|---|
| R-1 | 0.97115 |
| R-2 | 0.8858 |
| R-3 | 0.81767 |
Disclaimer/Publisher’s Note: The statements, opinions and data contained in all publications are solely those of the individual author(s) and contributor(s) and not of MDPI and/or the editor(s). MDPI and/or the editor(s) disclaim responsibility for any injury to people or property resulting from any ideas, methods, instructions or products referred to in the content. |
© 2025 by the authors. Licensee MDPI, Basel, Switzerland. This article is an open access article distributed under the terms and conditions of the Creative Commons Attribution (CC BY) license (https://creativecommons.org/licenses/by/4.0/).
Share and Cite
Huang, Y.; Xie, X.; Younas, S.; Liu, C.; Wang, X. Quality Changes in Live Ruditapes philippinarum During “Last Mile” Cold Chain Breakage: Effect of Packaging. Foods 2025, 14, 1011. https://doi.org/10.3390/foods14061011
Huang Y, Xie X, Younas S, Liu C, Wang X. Quality Changes in Live Ruditapes philippinarum During “Last Mile” Cold Chain Breakage: Effect of Packaging. Foods. 2025; 14(6):1011. https://doi.org/10.3390/foods14061011
Chicago/Turabian StyleHuang, Yiming, Xinrui Xie, Shoaib Younas, Caiyun Liu, and Xin Wang. 2025. "Quality Changes in Live Ruditapes philippinarum During “Last Mile” Cold Chain Breakage: Effect of Packaging" Foods 14, no. 6: 1011. https://doi.org/10.3390/foods14061011
APA StyleHuang, Y., Xie, X., Younas, S., Liu, C., & Wang, X. (2025). Quality Changes in Live Ruditapes philippinarum During “Last Mile” Cold Chain Breakage: Effect of Packaging. Foods, 14(6), 1011. https://doi.org/10.3390/foods14061011

