Preparation of Cinnamon Essential Oil/Succinic Acid-Modified Cyclodextrin and Their Application in Grass Carp Preservation
Abstract
1. Introduction
2. Materials and Methods
2.1. Screening Essential Oils
2.2. Modification of β-Cyclodextrin
2.3. Preparation of Inclusion Compounds
2.4. Determination of Encapsulation Rate
2.5. Structural Characterisation of Modified Cyclodextrins and Inclusion Compounds
2.5.1. Fourier Transform Infrared Spectroscopy (FTIR)
2.5.2. Nuclear Magnetic Resonance
2.5.3. X-Ray Diffraction Testing
2.5.4. Thermogravimetric Analysis
2.5.5. Electron Microscope
2.6. Antioxidant Activity
2.7. In Vitro Release Study
2.8. Molecular Docking
2.9. Treatments and Storage of Fish
2.9.1. Preservation of Fresh Meat
2.9.2. Drip Loss Rate Measurement
2.9.3. Determination of pH
2.9.4. Total Viable Count (TVC)
2.9.5. Determination of TBARS
2.9.6. Determination of TVB-N
2.9.7. Determination of K Value
2.9.8. Texture Analysis
2.10. Statistical Analysis
3. Results and Discussion
3.1. Screening of Essential Oils and Characterization
3.1.1. Screening Essential Oils
3.1.2. Fourier Transform Infrared Spectroscopy (FTIR)
3.1.3. Nuclear Magnetic Resonance
3.1.4. X-Ray Diffraction Testing
3.1.5. Thermogravimetric Analysis
3.1.6. Electron Microscope
3.1.7. Molecular Docking
3.2. Antioxidant Properties and In Vitro Sustained Release
3.2.1. Antioxidant Activity
3.2.2. Analysis of Release Rate
3.3. Applications in Fish Meat
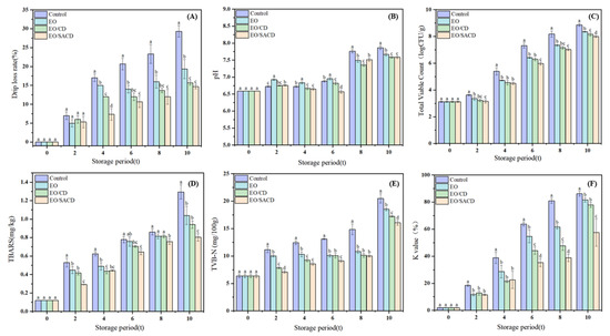
3.3.1. Drip Loss Rate Measurement
3.3.2. Determination of pH
3.3.3. Total Viable Count (TVC)
3.3.4. Determination of TBARS
3.3.5. Determination of TVB-N
3.3.6. Determination of K Value
3.3.7. Texture Analysis
4. Conclusions
Author Contributions
Funding
Institutional Review Board Statement
Informed Consent Statement
Data Availability Statement
Conflicts of Interest
References
- Wang, Z.; Lin, J.; Zhang, D.; Zheng, T.; Yu, L.; Wang, Y.; Ren, Y. Analysis of the Spawning Response Characteristics of Four Major Chinese Carps to Eco-Hydrological Processes in the Three Gorges Reservoir. Water 2025, 17, 3212. [Google Scholar] [CrossRef]
- Nie, X.; Zuo, Z.; Zhang, R.; Luo, S.; Chi, Y.; Yuan, X.; Song, C.; Wu, Y. New advances in biological preservation technology for aquatic products. NPJ Sci. Food 2025, 9, 15. [Google Scholar] [CrossRef] [PubMed]
- Sinlapapanya, P.; Sumpavapol, P.; Aluko, R.E.; Nuthong, P.; Zhang, B.; Benjakul, S. Antioxidant and antibacterial activities of indigenous plant leaf ethanolic extracts and their use for extending the shelf-life of Nile tilapia (Oreochromis niloticus) mince. Int. J. Food Sci. Technol. 2023, 58, 1987–1998. [Google Scholar] [CrossRef]
- Yang, K.; Bian, C.; Ma, X.; Mei, J.; Xie, J. Recent advances in emerging techniques for freezing and thawing on aquatic products’ quality. J. Food Process. Preserv. 2022, 46, 16609. [Google Scholar] [CrossRef]
- Lou, X.; Zhou, Q.; Jiang, Q.; Lin, L.; Zhu, W.; Mei, X.; Xiong, J.; Gao, Y. Inhibitory effect and mechanism of violacein on planktonic growth, spore germination, biofilm formation and toxin production of Bacillus cereus and its application in grass carp preservation. Int. J. Food Microbiol. 2025, 426, 110917. [Google Scholar] [CrossRef]
- Jelena, B.; Branislava, N.; Ivana, L.; Jovana, P.; Branimir, B.; Saša, Đ.; Lidija, P. Microencapsulation of juniper berry essential oil (Juniperus communis L.) by spray drying: Microcapsule characterization and release kinetics of the oil. Food Hydrocoll. 2021, 125, 107403. [Google Scholar]
- Angane, M.; Swift, S.; Huang, K.; Butts, C.A.; Quek, S.Y. Essential Oils and Their Major Components: An Updated Review on Antimicrobial Activities, Mechanism of Action and Their Potential Application in the Food Industry. Foods 2022, 11, 464. [Google Scholar] [CrossRef]
- Zhang, Z.; Zhao, Y.; Chen, X.; Li, W.; Wang, L.; Li, W.; Du, J.; Zhang, S. Effects of cinnamon essential oil on the physiological metabolism of Salmonella enteritidis. Front. Microbiol. 2022, 13, 1035894. [Google Scholar] [CrossRef]
- Farahmand, A.; Mousavi, S.F.; Emadzadeh, B.; Ghorani, B. Liposome-fluidic method for aroma masking of cinnamon essential oil in beverage. J. Polym. Environ. 2024, 33, 717–729. [Google Scholar] [CrossRef]
- Zhang, K.; He, Y.; Dai, Y.; Shi, Y.; Li, L.; Zhang, Z.; Xia, F.; Zhang, X. Cyclodextrin membranes prepared by interfacial polymerization for separation. Chem. Eng. J. (CEJ) 2024, 492, 152165. [Google Scholar] [CrossRef]
- Xu, Y.; Wang, X.; Fu, Z.; Huang, J.; Lai, X.; Tai, Z.; Wu, X. Enhanced Solubility, Stability, and Safety through Busulfan/Sulfobutyl Ether β-Cyclodextrin Inclusion Complexes. ACS Appl. Polym. Mater. 2025, 7, 13052–13062. [Google Scholar] [CrossRef]
- Lin, L.; Mao, X.; Sun, Y.; Cui, H. Antibacterial mechanism of artemisinin/beta-cyclodextrins against methicillin-resistant Staphylococcus aureus (MRSA). Microb. Pathog. 2018, 118, 66–73. [Google Scholar] [CrossRef] [PubMed]
- Silva-Cullishpuma, D.A.; Mercader-Ros, M.T.; Gómez-López, V.M.; Martínez-Sánchez, S.M.; Pérez-Sánchez, H.; Zamora-Ledezma, C.; Lucas-Abellán, C. Biocompatible Water-Soluble Hydroxypropyl-β-Cyclodextrin/Cannabidiol Powder Formulated via Spray Drying. ACS Appl. Eng. Mater. 2025, 3, 3428–3441. [Google Scholar] [CrossRef]
- Khatoon, H.; Faudzi, S.M.M.; Sohajda, T. Mechanisms and Therapeutic Applications of β-Cyclodextrin in Drug Solubilisation and Delivery Systems. Chem. Biodivers. 2025, 22, e00359. [Google Scholar] [CrossRef]
- Hao, Z.; Han, S.; Hu, Y.; Yu, Y.; Wang, Y.; Li, C.; Gu, Z.; Wu, Z.; Zhao, Z.; Xu, H.; et al. Preparation of pickering emulsions stabilised by octenyl succinic anhydride modified α-cyclodextrins for improving storage stability and curcumin bioavailability. LWT 2024, 197, 115883. [Google Scholar] [CrossRef]
- Sun, Y.; Xu, H.; Ma, Y.; Hou, Y.; Cheng, S.; Tan, M.; Chang, J.; Wang, H. Films for salmon freshness monitor, prepared with lipophilic soy protein, hydroxypropyl methylcellulose, and octadecenylsuccinic anhydride-modified γ-cyclodextrin-MOF loaded with shikonin. Food Hydrocoll. 2025, 170, 111752. [Google Scholar] [CrossRef]
- Santos, D.L.S.d.; Almeida, N.A.; Almeida, J.M.d.; Oliveira, M.E.A.S.; Rocha, L.d.O.; Cirone Silva, N.C. Antimicrobial activity evaluation of combinations of essential oils, thymol and R-limonene against food-borne pathogens and spoilage agents. Food Biosci. 2024, 62, 105035. [Google Scholar] [CrossRef]
- Hu, Y.; Julian McClements, D.; Li, X.; Chen, L.; Long, J.; Jiao, A.; Xie, F.; Wang, J.; Jin, Z.; Qiu, C. Improved art bioactivity by encapsulation within cyclodextrin carboxylate. Food Chem. 2022, 384, 132429. [Google Scholar] [CrossRef]
- Phong, W.N.; Al-Salami, H.; Gibberd, M.R.; Dykes, G.A.; Payne, A.D.; Coorey, R. Comparative evaluation of encapsulation using β-cyclodextrin versus freeze-drying for better retention and stabilizing of black Périgord truffle (Tuber melanosporum) aroma. J. Food Sci. 2022, 87, 3482–3495. [Google Scholar] [CrossRef]
- Tian, Y.; Yuan, C.; Cui, B.; Lu, L.; Zhao, M.; Liu, P.; Wu, Z.; Li, J. Pickering emulsions stabilized by β-cyclodextrin and cinnamaldehyde essential oil/β-cyclodextrin composite: A comparison study. Food Chem. 2021, 337, 131995. [Google Scholar]
- Rubio-Senent, F.; Bermúdez-Oria, A.; Ramos, J.; Rodríguez-Gutiérrez, G.; Fernández-Bolaños, J. Inclusion complex of trans-p-coumaroyl-secologanoside (comselogoside) with β-cyclodextrin. Part I. structural characterization and study of solubilization and stabilization. Food Hydrocoll. 2024, 155, 110166. [Google Scholar] [CrossRef]
- Wang, H.; Zhou, X.; Deng, Y.; Zhang, R.; Fu, K.; Huang, J.; Huang, Q.; Zeng, C.; Liu, D.; Wang, W. Variations in volatile components and biological activities of essential oils from Citrus aurantium ‘changshanhuyou’ at different growth and ripening stages. Food Res. Int. 2024, 197, 115303. [Google Scholar] [CrossRef]
- Ning, J.; Sha, L.; Zuo, Q.; Wei, R.; Sun, C.; Wei, J.; Wang, M. Room-temperature stable Perillaldehyde—Natural cyclodextrin inclusion complexes: Preparation, characterization, thermal stability, water solubility, antioxidant activity and slow–release performance. J. Mol. Struct. 2024, 1312, 138483. [Google Scholar] [CrossRef]
- Yuan, C.; Thomas, D.S.; Hook, J.M.; Qin, G.; Qi, K.; Zhao, J. Molecular Encapsulation of Eucalyptus staigeriana Essential Oil by Forming Inclusion Complexes with Hydroxypropyl-β-Cyclodextrin. Food Bioproc. Technol. 2019, 12, 1264–1272. [Google Scholar] [CrossRef]
- Zhang, Y.; Mu, Y.; Wang, L.; Zeng, Q.; Zhang, P.; Peng, H.; Chen, Q.; Jia, J.; Pan, Z.; Li, Q. Effect of composite cultivation on the meat quality of crucian carp (Carassius auratus). Aquacult. Int. 2024, 32, 6251–6271. [Google Scholar] [CrossRef]
- Tian, H.; Li, W.; Chen, C.; Yu, H.; Yuan, H. Antibacterial absorbent mat based on oxidized bacterial nanocellulose for chilled meat preservation. Food Packag. Shelf Life 2023, 40, 101194. [Google Scholar] [CrossRef]
- Yuan, H.; Li, W.; Chen, C.; Yu, H.; Huang, J.; Lou, X.; Tian, H. The role of bacterial nanocellulose mats encapsulated with cinnamaldehyde on chilled meat preservation. Int. J. Food Sci. Technol. 2022, 58, 880–889. [Google Scholar] [CrossRef]
- Kim, H.; Hong, G.-P. Comparison of Superchilling and Supercooling on Extending the Fresh Quality of Beef Loin. Foods 2022, 11, 2729. [Google Scholar] [CrossRef] [PubMed]
- Huang, P.-H.; Hou, C.-Y.; Hsieh, C.-W.; Cheng, K.-C.; Ciou, J.-Y.; Qiu, Y.-T.; Huang, C.-C.; Hazeena, S.H. Investigation of the physicochemical properties of the thin slices of dried pork meat paper mixed with squid. J. Food Sci. Technol. 2023, 60, 1590–1599. [Google Scholar] [CrossRef]
- Yu, D.; Zhao, W.; Dong, J.; Zang, J.; Regenstein, J.M.; Jiang, Q.; Xia, W. Multifunctional bioactive coatings based on water-soluble chitosan with pomegranate peel extract for fish flesh preservation. Food Chem. 2021, 374, 131619. [Google Scholar] [CrossRef]
- Yang, W.; Sui, K.; Qiu, F.; Zhu, Q.; Luo, J.; Yu, S. Application of Ice Temperature Storage Technology Assisted by Chlorine Dioxide and Chitosan for the Preservation of Fresh Fish Slices. Food. Sci. Nutr. 2025, 13, e70127. [Google Scholar] [CrossRef] [PubMed]
- Vidaković Knežević, S.; Knežević, S.; Vranešević, J.; Kravić, S.Ž.; Lakićević, B.; Kocić-Tanackov, S.; Karabasil, N. Effects of Selected Essential Oils on Listeria monocytogenes in Biofilms and in a Model Food System. Foods 2023, 12, 1930. [Google Scholar] [CrossRef] [PubMed]
- Hădărugă, N.G.; Chirilă, C.A.; Szakal, R.N.; Gălan, I.M.; Simandi, M.D.; Bujancă, G.S.; David, I.; Riviş, A.; Stanciu, S.M.; Hădărugă, D.I. FTIR–PCA Approach on Raw and Thermally Processed Chicken Lipids Stabilized by Nano-Encapsulation in β-Cyclodextrin. Foods 2022, 11, 3632. [Google Scholar] [CrossRef] [PubMed]
- Xu, H.; Ma, Q.; Qiu, C.; Wang, J.; Jin, Z.; Hu, Y. Encapsulation and controlled delivery of curcumin by self-assembled cyclodextrin succinate/chitosan nanoparticles. Food Hydrocoll. 2024, 157, 110465. [Google Scholar] [CrossRef]
- Cheng, Y.; Fu, Y.; Gu, D.; Huang, Y.; Lu, Y.; Liu, Y.; Li, X.; Yao, X.; Zhang, X.; Jian, W.; et al. Seasonal Variation in Chemical Composition and Antioxidant and Antibacterial Activity of Essential Oil from Cinnamomum cassia Leaves. Plants 2024, 14, 81. [Google Scholar] [CrossRef]
- Deng, C.; Cao, C.; Zhang, Y.; Hu, J.; Gong, Y.; Zheng, M.; Zhou, Y. Formation and stabilization mechanism of β-cyclodextrin inclusion complex with C10 aroma molecules. Food Hydrocoll. 2022, 123, 107013. [Google Scholar] [CrossRef]
- Cao, C.; Wei, D.; Xu, L.; Hu, J.; Qi, J.; Zhou, Y. Characterization of tea tree essential oil and large-ring cyclodextrins (CD9–CD22) inclusion complex and evaluation of its thermal stability and volatility. J. Sci. Food Agric. 2021, 101, 2877–2883. [Google Scholar] [CrossRef]
- Hartell, M.G.; Hicks, R.; Bhattacharjee, A.K.; Koser, B.W.; Carvalho, K.; Van Hamont, J.E. Nuclear magnetic resonance and molecular modeling analysis of the interaction of the antimalarial drugs artelinic acid and artesunic acid with beta-cyclodextrin. J. Pharm. Sci. 2004, 93, 2076–2089. [Google Scholar] [CrossRef]
- Liang, T.; Yan, K.; Zhao, T.; Ji, B. Evaluation of crosslinking effect of different polycarboxylic acids with cellulose by acid–base titration and anti-wrinkle performance. Cellulose 2022, 29, 4229–4241. [Google Scholar] [CrossRef]
- Martel, B.; Ruffin, D.; Weltrowski, M.; Lekchiri, Y.; Morcellet, M. Water-soluble polymers and gels from the polycondensation between cyclodextrins and poly(carboxylic acid)s: A study of the preparation parameters. J. Appl. Polym. Sci. 2005, 97, 433–442. [Google Scholar] [CrossRef]
- Chaudhari, P.; Ghate, V.M.; Lewis, S.A. Supramolecular cyclodextrin complex: Diversity, safety, and applications in ocular therapeutics. Exp. Eye Res. 2019, 189, 107829. [Google Scholar] [CrossRef]
- Solomon, C.; Anuța, V.; Sarbu, I.; Ozon, E.A.; Musuc, A.M.; Bratan, V.; Rusu, A.; Surdu, V.-A.; Croitoru, C.; Chandak, A.; et al. Enhancing the Drug Release and Physicochemical Properties of Rivaroxaban via Cyclodextrin Complexation: A Comprehensive Analytical Approach. Pharmaceuticals 2025, 18, 761. [Google Scholar] [CrossRef]
- Sandilya, A.A.; Priya, M.H. The counteracting influence of 2-hydroxypropyl substitution and the presence of a guest molecule on the shape and size of the β-cyclodextrin cavity. PCCP 2024, 26, 11531–11544. [Google Scholar] [CrossRef]
- Wang, X.; Li, M.; Liu, F.; Peng, F.; Li, F.; Lou, X.; Jin, Y.; Wang, J.; Xu, H. Fabrication and characterization of zein-tea polyphenols-pectin ternary complex nanoparticles as an effective hyperoside delivery system: Formation mechanism, physicochemical stability, and in vitro release property. Food Chem. 2021, 364, 130335. [Google Scholar] [CrossRef] [PubMed]
- Li, Z.; Jiang, X.; Zhu, L.; Chen, F.; Liu, H.; Ming, L. New insights into the thermal degradation behavior of Hydroxypropyl-beta-cyclodextrin inclusion complexes containing carvacrol essential oil via thermogravimetric analysis. J. Therm. Anal. Calorim. 2022, 147, 11301–11312. [Google Scholar] [CrossRef]
- Ferreira, T.G.; de Freitas Souza, T.; de Lima Paula, P.; de Oliveira Lemos, A.S.; Pinto, N.d.C.C.; Denadai, Â.M.L.; Fabri, R.L. Structural, physicochemical, and functional (antioxidant/anti-inflammatory) properties of β-cyclodextrin supramolecular complexation with Mitracarpus frigidus extract. J. Drug Deliv. Sci. Technol. 2023, 84, 104431. [Google Scholar] [CrossRef]
- Arruda, T.R.; Silva, R.R.A.; Marques, C.S.; e Moraes, A.R.F.; Bernardes, P.C.; de Oliveira, T.V.; de Oliveira, S.O.; Muranyi, P.; Soares, N.d.F.F. β-cyclodextrin versus hydroxypropyl-β-cyclodextrin: Is inclusion complexation a suitable alternative to improve the properties of hop-derived β-acids? Food Hydrocoll. 2024, 149, 109622. [Google Scholar] [CrossRef]
- Ez-Zoubi, A.; Ez Zoubi, Y.; Bentata, F.; El-Mrabet, A.; Ben Tahir, C.; Labhilili, M.; Farah, A. Preparation and Characterization of a Biopesticide Based on Artemisia herba-alba Essential Oil Encapsulated with Succinic Acid-Modified Beta-Cyclodextrin. J. Chem. 2023, 2023, 3830819. [Google Scholar] [CrossRef]
- Kuzmanović Nedeljković, S.; Ćujić Nikolić, N.; Radan, M.; Milivojević, D.; Stević, T.; Pljevljakušić, D.; Nikodinović-Runić, J.; Bigović, D.; Šavikin, K.; Filipić, B. Microencapsulation of Origanum heracleoticum L. and Thymus vulgaris L. essential oils—Novel strategy to combat multi-resistant Acinetobacter baumannii. Ind. Crops Prod. 2024, 216, 118762. [Google Scholar] [CrossRef]
- Shu, C.; Yusufali, Z.; Ho, K.K.H.Y.; Sun, X. Nanoencapsulated cinnamaldehyde@β-cyclodextrin inclusion complexes as a sustained release strategy for postharvest rambutan preservation. Food Hydrocoll. 2025, 159, 110724. [Google Scholar] [CrossRef]
- Sayyar, Z.; Jafarizadeh-Malmiri, H. Effectiveness of temperature and preparation method on stability kinetic of Curcumin nanodispersion: Cytotoxicity and in vitro release assessment. J. Drug Deliv. Sci. Technol. 2023, 80, 104190. [Google Scholar] [CrossRef]
- Yang, Y.-S.; Li, Z.; Zhang, K.-J.; Yang, S. Preparation of water-soluble altrenogest inclusion complex with β-cyclodextrin derivatives and in vitro sustained-release test. Polymer 2022, 249, 124803. [Google Scholar] [CrossRef]
- Ko, W.-C.; Shi, H.-Z.; Chang, C.-K.; Huang, Y.-H.; Chen, Y.-A.; Hsieh, C.-W. Effect of adjustable parallel high voltage on biochemical indicators and actomyosin Ca2+-ATPase from tilapia (Orechromis niloticus). LWT-Food Sci. Technol. 2016, 69, 417–423. [Google Scholar] [CrossRef]
- Handayani, N.A.; Purbasari, A.; Sumardiono, S.; Fatikah, A.F.; Nurrudina, F. The Development of Intelligent Film From Crosslinked–Acylation Cassava Starch and Purple Sweet Potato Anthocyanin for Monitoring Indian Mackerel Fish Freshness. J. Food Process Eng. 2025, 48, e70043. [Google Scholar] [CrossRef]
- Kunová, S.; Sendra, E.; Haščík, P.; Vukovic, N.L.; Vukic, M.; Kačániová, M. Influence of Essential Oils on the Microbiological Quality of Fish Meat during Storage. Animals 2021, 11, 3145. [Google Scholar] [CrossRef] [PubMed]
- Marrero, M.; Monroig, Ó.; Navarro, J.C.; Ribes-Navarro, A.; Pérez, J.A.; Galindo, A.; Rodríguez, C. Metabolic and molecular evidence for long-chain PUFA biosynthesis capacity in the grass carp Ctenopharyngodon idella. Comp. Biochem. Physiol. A Mol. Integr. Physiol. 2022, 270, 111232. [Google Scholar] [CrossRef]
- Yildiz, Z.I.; Topuz, F.; Aboelkheir, M.; Kilic, M.E.; Durgun, E.; Uyar, T. Nanoencapsulation of Menthol/Cyclodextrin Inclusion Complexes in Rapidly Dissolving Electrospun Gelatin Nanofibers. ACS Food Sci. Technol. 2024, 4, 392–403. [Google Scholar] [CrossRef]
- Xiong, X.; Tan, Y.; Mubango, E.; Shi, C.; Regenstein, J.M.; Yang, Q.; Hong, H.; Luo, Y. Rapid freshness and survival monitoring biosensors of fish: Progress, challenge, and future perspective. Trends Food Sci. Technol. 2022, 129, 61–73. [Google Scholar] [CrossRef]
- Sun, L.; Gao, R.-J.; Shi, C.-J.; Hemmings, A.M.; Qian, Y.-F. Impact of collagen degradation on the textural quality of salmon (Salmo salar): A preliminary study from the perspective of endogenous collagenase and bacteria. Food Biosci. 2025, 69, 107003. [Google Scholar] [CrossRef]









| Microbial Strain | Cinnamon EO | Oregano EO | Lemongrass EO | Thyme EO |
|---|---|---|---|---|
| Escherichia coli | 1.25 mg/mL | >2.5 mg/mL | >2.5 mg/mL | >2.5 mg/mL |
| Staphylococcus aureus | 1.25 mg/mL | >2.5 mg/mL | >2.5 mg/mL | >2.5 mg/mL |
| Pseudomonas fluorescens | 2.5 mg/mL | >2.5 mg/mL | >2.5 mg/mL | >2.5 mg/mL |
| Listeria monocytogenes | 2.5 mg/mL | >2.5 mg/mL | >2.5 mg/mL | >2.5 mg/mL |
Disclaimer/Publisher’s Note: The statements, opinions and data contained in all publications are solely those of the individual author(s) and contributor(s) and not of MDPI and/or the editor(s). MDPI and/or the editor(s) disclaim responsibility for any injury to people or property resulting from any ideas, methods, instructions or products referred to in the content. |
© 2025 by the authors. Licensee MDPI, Basel, Switzerland. This article is an open access article distributed under the terms and conditions of the Creative Commons Attribution (CC BY) license (https://creativecommons.org/licenses/by/4.0/).
Share and Cite
Li, X.; Li, H.; Zhang, Y.; Teng, W.; Wang, Y.; Cao, J.; Wang, J. Preparation of Cinnamon Essential Oil/Succinic Acid-Modified Cyclodextrin and Their Application in Grass Carp Preservation. Foods 2025, 14, 4100. https://doi.org/10.3390/foods14234100
Li X, Li H, Zhang Y, Teng W, Wang Y, Cao J, Wang J. Preparation of Cinnamon Essential Oil/Succinic Acid-Modified Cyclodextrin and Their Application in Grass Carp Preservation. Foods. 2025; 14(23):4100. https://doi.org/10.3390/foods14234100
Chicago/Turabian StyleLi, Xiaoshan, Haoxin Li, Yuemei Zhang, Wendi Teng, Ying Wang, Jinxuan Cao, and Jinpeng Wang. 2025. "Preparation of Cinnamon Essential Oil/Succinic Acid-Modified Cyclodextrin and Their Application in Grass Carp Preservation" Foods 14, no. 23: 4100. https://doi.org/10.3390/foods14234100
APA StyleLi, X., Li, H., Zhang, Y., Teng, W., Wang, Y., Cao, J., & Wang, J. (2025). Preparation of Cinnamon Essential Oil/Succinic Acid-Modified Cyclodextrin and Their Application in Grass Carp Preservation. Foods, 14(23), 4100. https://doi.org/10.3390/foods14234100

