Crystallized Pickering Emulsions from Plant Oil as a Local Alternative to Palm Oil
Abstract
1. Introduction
2. Materials and Methods
2.1. Raw Materials
2.1.1. Oils
2.1.2. Press Cakes
2.1.3. Waxes
2.2. Production Methods
2.2.1. Types of Crystallized Oils and Emulsions
2.2.2. Preparation of Basic Suspension Containing Oil, Wax, and Optional Press Cake
2.2.3. Preparation of the W/O Emulsion
2.2.4. Crystallization with Scraped Surface Freezer
2.3. Analysis Methods
2.3.1. Viscosity
2.3.2. Emulsion Stability
2.4. Experimental Design
3. Results and Discussion
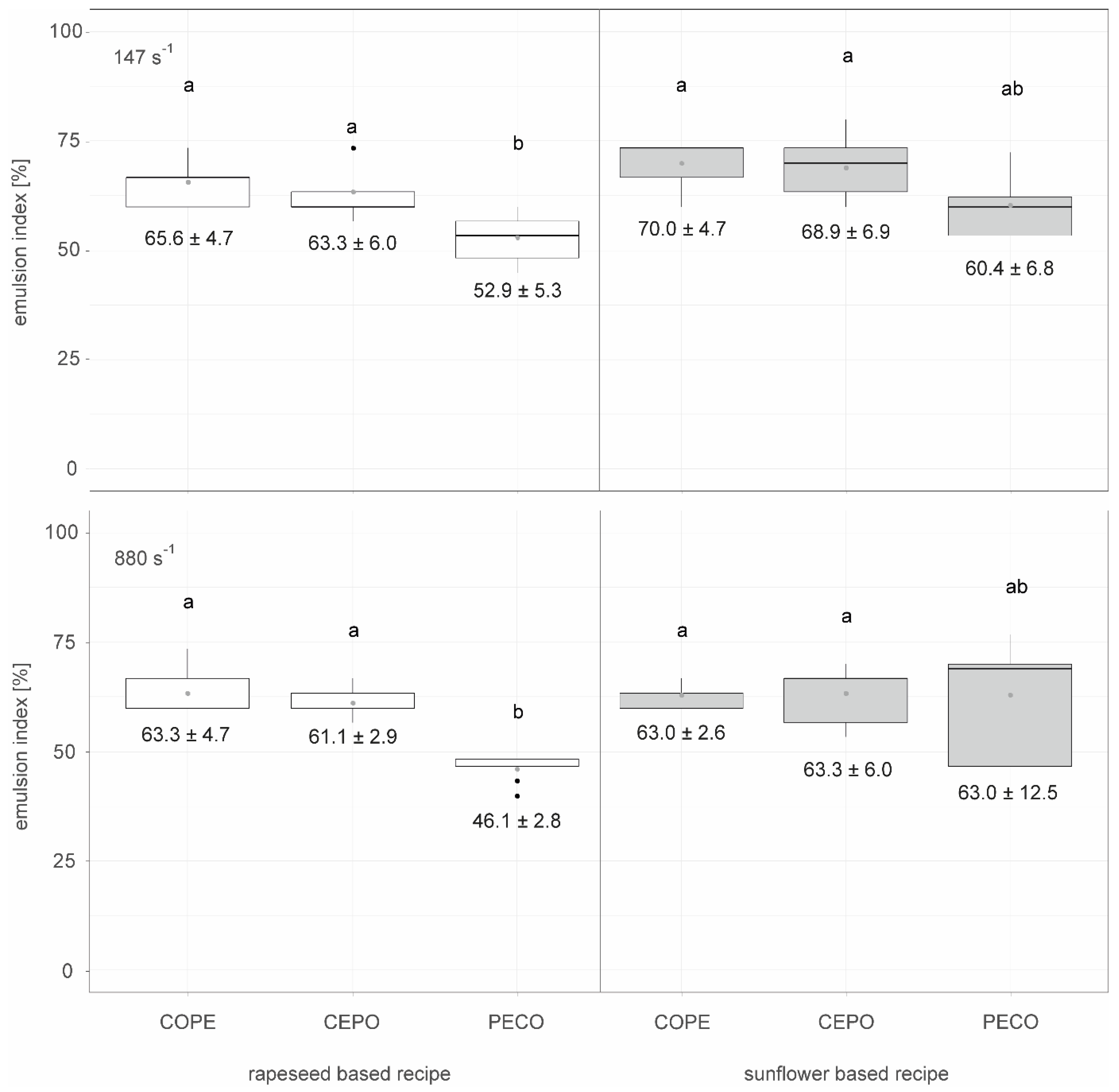
3.1. Effect of Order of Emulsification and Crystallization on Emulsion Stability and Viscosity
3.2. Effect of Wax Type on Emulsion Stability and Viscosity
4. Conclusions
Supplementary Materials
Author Contributions
Funding
Institutional Review Board Statement
Informed Consent Statement
Data Availability Statement
Acknowledgments
Conflicts of Interest
Abbreviations
| CO | Crystallized Oil |
| COP | Crystallized Oil with Press cake |
| PECO | Particle-stabilized Emulsified Crystallized Oil |
| CEPO | Crystallized Emulsified Particle-stabilized Oil |
| COPE | Crystallized Oil with Particle Emulsified |
References
- Dian, N.L.H.M.; Hamid, R.A.; Kanagaratnam, S.; Isa, W.R.A.; Hassim, N.A.M.; Ismail, N.H.; Omar, Z.; Sahri, M.M. Palm oil and palm kernel oil: Versatile ingredients for food applications. J. Oil Palm Res. 2017, 29, 487–511. [Google Scholar] [CrossRef]
- Mba, O.I.; Dumont, M.-J.; Ngadi, M. Palm oil: Processing, characterization and utilization in the food industry—A review. Food Biosci. 2015, 10, 26–41. [Google Scholar] [CrossRef]
- Norizzah, A.R.; Nur Azimah, K.; Zaliha, O. Influence of enzymatic and chemical interesterification on crystallisation properties of refined, bleached and deodourised (RBD) palm oil and RBD palm kernel oil blends. Food Res. Int. 2018, 106, 982–991. [Google Scholar] [CrossRef] [PubMed]
- Schweiz, P.N. Palmöl—Pamöl Netzwerk Schweiz 2023. Available online: https://palmoelnetzwerk.ch/palmoel/ (accessed on 2 August 2024).
- Dickinson, E. Use of nanoparticles and microparticles in the formation and stabilization of food emulsions. Trends Food Sci. Technol. 2012, 24, 4–12. [Google Scholar] [CrossRef]
- Calabrese, V.; Courtenay, J.C.; Edler, K.J.; Scott, J.L. Pickering emulsions stabilized by naturally derived or biodegradable particles. Curr. Opin. Green Sustain. Chem. 2018, 12, 83–90. [Google Scholar] [CrossRef]
- Murray, B.S. Stabilization of bubbles and foams. Curr. Opin. Colloid Interface Sci. 2007, 12, 232–241. [Google Scholar] [CrossRef]
- Murray, B.S.; Ettelaie, R. Foam stability: Proteins and nanoparticles. Curr. Opin. Colloid Interface Sci. 2004, 9, 314–320. [Google Scholar] [CrossRef]
- Alison, L. Pickering Emulsions Stabilized by Particles and Surface-Active Molecules: From Food to Porous Materials. Ph.D. Thesis, ETH Zurich, Zurich, Switzerland, 2018. [Google Scholar]
- Schröder, A.; Corsten, M.N.; Ho, K.K.H.Y.; Schroën, K.; Berton-Carabin, C.C. Pickering Emulsions. In Emulsion-Based Systems for Delivery of Food Active Compounds; John Wiley & Sons Ltd.: Oxford, UK, 2018. [Google Scholar]
- Ghosh, S.; Rousseau, D. Fat crystals and water-in-oil emulsion stability. Curr. Opin. Colloid Interface Sci. 2011, 16, 421–431. [Google Scholar] [CrossRef]
- Mert, B.; Demirkesen, I. Evaluation of highly unsaturated oleogels as shortening replacer in a short dough product. LWT Food Sci. Technol. 2016, 68, 477–484. [Google Scholar] [CrossRef]
- Onacik-Gür, S.; Żbikowska, A. Effect of high-oleic rapeseed oil oleogels on the quality of short-dough biscuits and fat migration. J. Food Sci. Technol. 2020, 57, 1609–1618. [Google Scholar] [CrossRef]
- Schmid, T.; Baumer, B.; Rüegg, R.; Näf, P.; Kinner, M.; Müller, N. Evaluation of innovative technological approaches to replace palm fat with physically modified Swiss rapeseed oil in bakery products. Int. J. Food Sci. Technol. 2020, 55, 2990–2999. [Google Scholar] [CrossRef]
- Tanislav, A.E.; Pușcaș, A.; Păucean, A.; Mureșan, A.E.; Semeniuc, C.A.; Mureșan, V.; Mudura, E. Evaluation of Structural Behavior in the Process Dynamics of Oleogel-Based Tender Dough Products. Gels 2022, 8, 317. [Google Scholar] [CrossRef] [PubMed]
- Thakur, D.; Singh, A.; Suhag, R.; Dhiman, A.; Chauhan, D.S. Oleogelation based on plant waxes: Characterization and food applications. J. Food Sci. Technol. 2023, 60, 2927–2944. [Google Scholar] [CrossRef] [PubMed]
- Gravelle, A.J.; Marangoni, A.G.; Davidovich-Pinhas, M. Chapter 14—Ethylcellulose Oleogels. In Edible Oleogels, 2nd ed.; Marangoni, A.G., Garti, N., Eds.; AOCS Press: Champaign, IL, USA, 2018; pp. 331–362. [Google Scholar]
- Li, Y.; Zou, Y.; Que, F.; Zhang, H. Recent advances in fabrication of edible polymer oleogels for food applications. Curr. Opin. Food Sci. 2022, 43, 114–119. [Google Scholar] [CrossRef]
- Hwang, H.S.; Singh, M.; Bakota, E.L.; Winkler-Moser, J.K.; Kim, S.; Liu, S.X. Margarine from Organogels of Plant Wax and Soybean Oil. J. Am. Oil Chem. Soc. 2013, 90, 1705–1712. [Google Scholar] [CrossRef]
- Patel, A.R.; Cludts, N.; Sintang, M.D.B.; Lesaffer, A.; Dewettinck, K. Edible oleogels based on water soluble food polymers: Preparation, characterization and potential application. Food Funct. 2014, 5, 2833–2841. [Google Scholar] [CrossRef]
- Rocha, J.C.B.; Lopes, J.D.; Mascarenhas, M.C.N.; Arellano, D.B.; Guerreiro, L.M.R.; da Cunha, R.L. Thermal and rheological properties of organogels formed by sugarcane or candelilla wax in soybean oil. Food Res. Int. 2013, 50, 318–323. [Google Scholar] [CrossRef]
- Toro-Vazquez, J.F.; Mauricio-Pérez, R.; González-Chávez, M.M.; Sánchez-Becerril, M.; Ornelas-Paz, J.d.J.; Pérez-Martínez, J.D. Physical properties of organogels and water in oil emulsions structured by mixtures of candelilla wax and monoglycerides. Food Res. Int. 2013, 54, 1360–1368. [Google Scholar] [CrossRef]
- Doan, C.D.; Van De Walle, D.; Dewettinck, K.; Patel, A.R. Evaluating the Oil-Gelling Properties of Natural Waxes in Rice Bran Oil: Rheological, Thermal, and Microstructural Study. J. Am. Oil Chem. Soc. 2015, 92, 801–811. [Google Scholar] [CrossRef]
- Tran, T.; Rousseau, D. Influence of shear on fat crystallization. Food Res. Int. 2016, 81, 157–162. [Google Scholar] [CrossRef]
- Patel, A.R.; Dewettinck, K. Current update on the influence of minor lipid components, shear and presence of interfaces on fat crystallization. Curr. Opin. Food Sci. 2015, 3, 65–70. [Google Scholar] [CrossRef]
- Rousseau, D. Trends in structuring edible emulsions with Pickering fat crystals. Curr. Opin. Colloid Interface Sci. 2013, 4, 283–291. [Google Scholar] [CrossRef]
- Schmid, T.; Kinner, M.; Stäheli, L.; Steinegger, S.; Hollenstein, L.; De La Gala, D.; Müller, N. Effect of Press Cake-Based Particles on Quality and Stability of Plant Oil Emulsions. Foods 2024, 13, 2969. [Google Scholar] [CrossRef] [PubMed]
- Sisko, A.W. The flow of lubricating greases. Ind. Eng. Chem. 1958, 50, 1789–1792. [Google Scholar] [CrossRef]
- McClements, D.J. Critical Review of Techniques and Methodologies for Characterization of Emulsion Stability. Crit. Rev. Food Sci.Nutr. 2007, 47, 611–649. [Google Scholar] [CrossRef]
- Vidal, N.P.; Roman, L.; Swaray, V.J.S.; Ragavan, K.V.; Simsek, S.; Rahimi, J.; Kroetsch, B.; Martinez, M.M. Enhancing the nutritional value of cold-pressed oilseed cakes through extrusion cooking. Innov. Food Sci. Emerg. Technol. 2022, 77, 102956. [Google Scholar] [CrossRef]
- Gu, X.; Du, L.; Meng, Z. Comparative study of natural wax-based W/O emulsion gels: Microstructure and macroscopic properties. Food Res. Int. 2023, 165, 112509. [Google Scholar] [CrossRef]
- Toro-Vazquez, J.F.; Morales-Rueda, J.A.; Dibildox-Alvarado, E.; Charó-Alonso, M.; Alonzo-Macias, M.; González-Chávez, M.M. Thermal and Textural Properties of Organogels Developed by Candelilla Wax in Safflower Oil. J. Am. Oil Chem. Soc. 2007, 84, 989–1000. [Google Scholar] [CrossRef]
- Werner-Cárcamo, E.R.; Soleimaniam, Y.; Marcias-Rodriguez, B.A.; Mónica, R.; Marangoni, A.G. Mechanical properties of wax-oleogels: Assessing their potential to mimic commercial margarine functionality under small and large deformations. Food Res. Int. 2024, 189, 114579. [Google Scholar] [CrossRef]
- Blake, A.I.; Co, E.D.; Marangoni, A.G. Structure and Physical Properties of Plant Wax Crystal Networks and Their Relationship to Oil Binding Capacity. J. Am. Oil Chem. Soc. 2014, 91, 885–903. [Google Scholar] [CrossRef]
- Winkler-Moser, J.K.; Hwang, H.S.; Felker, F.C.; Byars, J.A.; Peterson, S.C. Increasing the firmness of wax-based oleogels using ternary mixtures of sunflower wax with beeswax: Candelilla wax combinations. J. Am. Oil Chem. Soc. 2023, 100, 387–402. [Google Scholar] [CrossRef]
- Tavernier, I.; Wijaya, W.; Van der Meeren, P.; Dewettinck, K.; Patel, A.R. Food-grade particles for emulsion stabilization. Trends Food Sci. Technol. 2016, 50, 159–174. [Google Scholar] [CrossRef]
- Pradhan, B.K.; Saigiri, S.; Bharti, D.; Kim, D.; Pal, K. Natural Wax-Based Oleogels for Food Application. Fat Mimetics Food Appl. 2023, 21–37. [Google Scholar]
- Hwang, H.S.; Winkler-Moser, J.K. Properties of margarines prepared from soybean oil oleogels with mixtures of candelilla wax and beeswax. J. Food Sci. 2020, 85, 3293–3302. [Google Scholar] [CrossRef] [PubMed]
- Kurniawan, M.; Subramanian, S.; Norrman, J.; Paso, K. Influence of Microcrystalline Wax on the Properties of Model Wax-Oil Gels. Energy Fuels 2018, 32, 5857–5867. [Google Scholar] [CrossRef]









| Type | Shear Rate [s−1] | Recipe | [%] | [%] | [h] | [h] | |
|---|---|---|---|---|---|---|---|
| CEPO | 147 | rapeseed | 65.2 | 0.860 | 6.46 | 0.848 | 0.907 |
| CEPO | 147 | sunflower | 70.9 | 0.906 | 6.39 | 1.13 | 0.858 |
| CEPO | 440 | rapeseed | 63.6 | 0.596 | 5.72 | 0.508 | 0.957 |
| CEPO | 440 | sunflower | 67.0 | 0.815 | 5.57 | 0.780 | 0.906 |
| CEPO | 880 | rapeseed | 62.5 | 0.508 | 5.31 | 0.396 | 0.970 |
| CEPO | 880 | sunflower | 65.3 | 0.822 | 3.90 | 0.626 | 0.913 |
| COPE | 147 | rapeseed | 68.0 | 1.14 | 6.73 | 1.29 | 0.823 |
| COPE | 147 | sunflower | 71.6 | 0.793 | 7.99 | 1.18 | 0.884 |
| COPE | 440 | rapeseed | 66.4 | 0.988 | 4.17 | 0.815 | 0.871 |
| COPE | 440 | sunflower | 65.5 | 0.557 | 6.00 | 0.526 | 0.958 |
| COPE | 880 | rapeseed | 65.9 | 1.03 | 4.44 | 0.841 | 0.865 |
| COPE | 880 | sunflower | 63.7 | 0.706 | 4.97 | 0.551 | 0.940 |
| PECO | 147 | rapeseed | 55.6 | 1.69 | 6.52 | 1.27 | 0.820 |
| PECO | 147 | sunflower | 63.3 | 1.97 | 6.90 | 1.92 | 0.681 |
| PECO | 440 | rapeseed | 52.2 | 1.62 | 5.84 | 1.01 | 0.855 |
| PECO | 440 | sunflower | 63.4 | 1.11 | 5.71 | 0.938 | 0.866 |
| PECO | 880 | rapeseed | 48.1 | 0.902 | 2.42 | 0.287 | 0.951 |
| PECO | 880 | sunflower | 63.7 | 2.09 | 5.68 | 1.78 | 0.642 |
| Type | Shear Rate [s−1] | Recipe | [mPa s] | [mPa s] | [mPa s] | [mPa s] | [-] | [-] | |
|---|---|---|---|---|---|---|---|---|---|
| CEPO | 147 | rapeseed | 136.8 | 8.188 | 901.2 | 25.67 | 0.2383 | 0.03634 | 0.8442 |
| CEPO | 147 | sunflower | 125.9 | 10.04 | 1374 | 28.04 | 0.3208 | 0.02443 | 0.9131 |
| CEPO | 440 | rapeseed | 135.5 | 6.160 | 789.9 | 18.61 | 0.2675 | 0.02934 | 0.8879 |
| CEPO | 440 | sunflower | 123.3 | 8.417 | 1331 | 23.16 | 0.3296 | 0.02071 | 0.9352 |
| CEPO | 880 | rapeseed | 133.3 | 7.500 | 870.7 | 23.07 | 0.2536 | 0.03338 | 0.8623 |
| CEPO | 880 | sunflower | 122.6 | 12.08 | 1348 | 33.68 | 0.3216 | 0.02988 | 0.8753 |
| COPE | 147 | rapeseed | 134.3 | 9.786 | 1133 | 30.31 | 0.2482 | 0.03384 | 0.8601 |
| COPE | 147 | sunflower | 125.0 | 7.345 | 1174 | 21.80 | 0.2802 | 0.02291 | 0.9272 |
| COPE | 440 | rapeseed | 130.6 | 10.53 | 993.2 | 32.40 | 0.2532 | 0.04111 | 0.8052 |
| COPE | 440 | sunflower | 122.8 | 7.408 | 1021 | 21.39 | 0.2994 | 0.02547 | 0.9091 |
| COPE | 880 | rapeseed | 128.7 | 8.153 | 964.2 | 24.47 | 0.2721 | 0.03150 | 0.8722 |
| COPE | 880 | sunflower | 119.1 | 9.374 | 919.7 | 26.72 | 0.3077 | 0.03510 | 0.8386 |
| PECO | 147 | rapeseed | 132.5 | 5.314 | 935.5 | 13.17 | 0.3855 | 0.01618 | 0.9561 |
| PECO | 147 | sunflower | 120.6 | 6.920 | 538.6 | 16.68 | 0.3985 | 0.03535 | 0.8175 |
| PECO | 440 | rapeseed | 130.7 | 2.829 | 704.1 | 6.800 | 0.3999 | 0.01101 | 0.9788 |
| PECO | 440 | sunflower | 117.8 | 6.474 | 580.7 | 14.98 | 0.4166 | 0.02918 | 0.8651 |
| PECO | 880 | rapeseed | 127.5 | 4.928 | 491.4 | 11.03 | 0.4305 | 0.02522 | 0.8938 |
| PECO | 880 | sunflower | 120.4 | 10.61 | 893.9 | 27.70 | 0.3591 | 0.03616 | 0.8192 |
Disclaimer/Publisher’s Note: The statements, opinions and data contained in all publications are solely those of the individual author(s) and contributor(s) and not of MDPI and/or the editor(s). MDPI and/or the editor(s) disclaim responsibility for any injury to people or property resulting from any ideas, methods, instructions or products referred to in the content. |
© 2025 by the authors. Licensee MDPI, Basel, Switzerland. This article is an open access article distributed under the terms and conditions of the Creative Commons Attribution (CC BY) license (https://creativecommons.org/licenses/by/4.0/).
Share and Cite
Husmann, C.; Schmid, T.; Waser, C.; Kaelin, I.; Hollenstein, L.; Müller, N. Crystallized Pickering Emulsions from Plant Oil as a Local Alternative to Palm Oil. Foods 2025, 14, 104. https://doi.org/10.3390/foods14010104
Husmann C, Schmid T, Waser C, Kaelin I, Hollenstein L, Müller N. Crystallized Pickering Emulsions from Plant Oil as a Local Alternative to Palm Oil. Foods. 2025; 14(1):104. https://doi.org/10.3390/foods14010104
Chicago/Turabian StyleHusmann, Cyrill, Tamara Schmid, Chiara Waser, Ivo Kaelin, Lukas Hollenstein, and Nadina Müller. 2025. "Crystallized Pickering Emulsions from Plant Oil as a Local Alternative to Palm Oil" Foods 14, no. 1: 104. https://doi.org/10.3390/foods14010104
APA StyleHusmann, C., Schmid, T., Waser, C., Kaelin, I., Hollenstein, L., & Müller, N. (2025). Crystallized Pickering Emulsions from Plant Oil as a Local Alternative to Palm Oil. Foods, 14(1), 104. https://doi.org/10.3390/foods14010104

