Abstract
This study investigated the potential of olive leaf extract (OLE), as a functional ingredient, to improve cheese properties, because it is rich in phenols. Milk and dairy products are poor in phenolic compounds. The main objective was to determine the most effective coagulation method and timing of OLE supplementation to maximize retention in the cheese matrix. Experimental cheeses were produced using the rennet and acid coagulation methods, with OLE added either directly to the cheese milk or to the curd phase. Three OLE effective concentrations corresponding to 25%, 50%, and 75% inhibition of DPPH reagent (EFC25, EFC50, and EFC75, respectively) were added, i.e., 11.5 mg GAE L−1, 16.6 mg GAE L−1, and 26.3 mg GAE L−1, respectively. The results showed that OLE significantly increased the concentration of total phenols, total flavonoids, and antioxidant activity in all cheese samples and in the residual whey, especially at higher effective concentrations (EFC 50 and EFC 75). Rennet-coagulated cheese to which OLE was added prior to coagulation (EM 25, EM 50, EM 75) exhibited higher hardness, gumminess, and chewiness but lower elasticity, suggesting alterations in the paracasein matrix. OLE did not adversely affect acidity, water activity, or cheese yield. However, higher EFC resulted in significant colour changes (∆E* > 3.0). In conclusion, the enrichment of cheesemaking milk with OLE and the application of the rennet coagulation method are the most suitable to optimise the production of OLE-enriched cheese. This research shows the potential to improve the nutritional value of cheese while maintaining its desired characteristics.
1. Introduction
The food industry is one of the largest producers of waste, such as leaves, peels, seeds, shells, pomace, etc., generated at the end of the food production process, which has led to great concern about its management and environmental footprint. According to the Food and Agriculture Organisation (FAO), the processing of plant foods, especially fruits and vegetables, results in the highest food losses along the food chain. Since the waste and/or byproducts generated very often contain components with antioxidant and antimicrobial properties (e.g., phenolic compounds), the food industry and food science have focused on exploring the possibilities of their use as novel ingredients for the production of functional foods [1,2]. In this context, plant byproducts are being extensively investigated for their reuse due to their potential health benefits and the fact that they are usually generated in the household before consumption and are thus readily available for further processing. Such an approach is favoured by modern consumers, who show a continued interest in healthier, clean-labelled, and natural foods. It also contributes to recent food sector priorities aimed at reducing food losses through the implementation of “zero waste” policies and sustainable food production systems [1,3,4,5]. Dairy products such as cheese and fermented milk are considered as some of the most popular functional food matrices due to their significant share in the dairy products market, frequent consumption, and acceptance by health-conscious consumers [6,7]. Moreover, cheese and fermented milk represent a suitable medium for fortification with nutritionally valuable compounds, especially plant extracts containing phenolic compounds that are absent in milk and dairy products [7,8,9]. Since Mediterranean agriculture relies heavily on the cultivation of olives and the production of olive oil [10], large quantities of olive leaves remain after processing [11]. Numerous previous studies have shown that olive leaf extract (OLE) is a rich source of various phenolic compounds with numerous health-protective properties (i.e., antioxidant, anticarcinogenic, anti-inflammatory, antihypertensive, cholesterol-lowering, etc.), of which oleuropein was found in the highest concentrations (up to 14%) [10,12,13,14,15,16]. The European Food Safety Agency (EFSA) has recognised the beneficial effects of OLE on human health, paving the way for the potential use of OLE to supplement foods to prevent various diseases and maintain human health [17]. Accordingly, several authors have explored the possibilities of adding OLE to dairy products [11,17,18,19]. In line with this, our previous study [8] focused on the supplementation of cow’s milk yoghurt with OLE. We found that the addition of OLE resulted in shorter fermentation and had no negative effects on the viability of yoghurt starter bacteria. OLE-fortified yoghurts had higher total phenolic content and antioxidant activity. Considering the above, the objective of this study was to determine which method of milk coagulation is most suitable to produce cheese enriched with OLE and at what point in the manufacturing process the addition of OLE is most appropriate to better retain the extract in the cheese. In addition, the influence of the coagulation method and the timing of the addition of OLE on the texture, colour, total phenolic and flavonoid content, and antioxidant activity of the cheeses produced was studied.
2. Materials and Methods
2.1. Olive Leaf Extract (OLE) Production and Composition
Olive leaves (Olea Europaea L., variety Oblica) harvested during the summer of 2021 in the Zadar County region (Croatia) were used for extract production. Leaves were air-dried after harvesting and milled prior to extraction. Subsequently, microwave-assisted extraction (MAE) was performed on Ethos X (Milestone, Bergamo, Italy), according to the previously optimized procedure by Dobrinčić et al. [10] with some modifications. Each extraction cell contained 6 g of milled olive leaves and 80 mL of distilled water as extraction solvent. Other extraction conditions were as follows: temperature (80 °C), pressure (100 bar), extraction time (2 min), time to reach the extraction temperature (2 min), mixing (50%), and cooling (1 min). The obtained OLE was filtered, pasteurized (5 min/90 °C), and cool stored at 4 °C until evaporation. The evaporation was performed on Buchi R-200 Rotavapor with Heating Bath B-490 (Büchi, Switzerland) until approximately 16% dry matter. The obtained concentrated OLE was freeze stored at −18 °C until further use. The composition of the produced OLE was determined by HPLC analysis with Agilent 1260 Infinity quaternary LC system (AgilentTechnologies, Santa Clara, CA, USA) equipped with photodiode array detector (PDA), an automatic injector, and ChemStation software (version C.01.03, Agilent Technologies, Santa Clara, CA, USA) which the solvent composition and the gradient conditions were described previously by Dragović-Uzelac et al. [20]. The phenolic compounds were identified by comparing the retention times and spectral data with those of the authentic standards, and quantification was performed by the external standard calculation, using the calibration curves of the authentic standards. The obtained OLE contained on average 1.70 mg g−1 oleuropein; 0.72 mg g−1 rutin; 0.38 mg g−1 tyrosol; 0.30 mg g−1 caffeic acid; and 0.26 mg g−1 chlorogenic acid, with the sum of total phenolics of 35.23 ± 0.79 mg GAE g−1, total flavonoids of 3.56 ± 0.14 mg QE g−1, and antioxidant activity of 38.67 ± 1.35 mg GAE L−1 obtained by using the DPPH method [21].
Determination of OLE Effective Concentrations
OLE concentrations used in the production of cheeses were determined considering the antioxidant activity by using the DPPH method according to Tavakoli et al. [21]. After determining the antioxidant activity of the prepared OLE solutions of known concentrations, an inhibition curve was established from the DPPH reagent inhibition values by using the GraphPad Prism version 8.3.0. (GraphPad Software, La Jolla, CA). The obtained inhibition curve was further used to determine the effective concentrations of OLE that inhibit 25, 50, and 75% of the DPPH reagent (EFC 25, EFC 50, and EFC 75), which were 11.5; 16.6; and 26.3 mg GAE L−1, respectively.
2.2. Production of Cheese with OLE Addition
The cheese curds were produced on a lab scale from commercially available pasteurised, non-homogenized milk with 3.2% milk fat, 4.8% carbohydrates, 3.3% proteins (Veronika mini dairy, Desinić, Croatia) by enzymatic (sample codes EM and EC) and acid (samples code AM and AC) coagulation, respectively (Figure 1). In the experimental setup, 4 L of milk was utilized for the production of each cheese curd sample. For each coagulation method, two groups of cheeses were produced depending on the moment of OLE addition, whereby three different effective concentrations of OLE (EFC 25, EFC 50, and EFC 75) were applied. For each coagulation method, OLE was added either directly into the milk before coagulation or into the obtained curd. Depending on the coagulation method, control cheeses without OLE (EFC 0) were produced as well. Also, whey samples remaining after each production process (sample codes: WEM and WEC for enzymatic coagulation; WAM and WAC for acid coagulation) were collected and cool stored until further analysis (Figure 1). For cheeses produced by enzymatic coagulation, calcium chloride (CaCl2) (Gram-mol, Croatia) and natural rennet (IMCU 1170, chymosin 90%, pepsin 10%) (Caglificio Clerici, SIRIS, Lub do.o., Split, Croatia) were added according to the manufacturer’s instructions. The acid coagulation method included inoculation by adding 10 DCU of starter cheese culture (LYO 100 DCU, Danisco, Denmark). All the cheese curds were pressed by their own weight for approximately 2–4 h and then subjected to a 5 kg weight for 24 h with occasional turning. After removing the cheeses from the mould, they were weighed and packed in hermetically sealed, disinfected polypropylene bags at the end of the production process and cool stored at +4 °C until further analysis.
Figure 1.
The scheme of cheese curd production enriched with olive leaf extract (OLE) at different stages of production.
2.3. Physicochemical Composition and Water Activity Measurements
Physicochemical composition of curds (moisture, total solids, fat, protein, fat in dry matter—FDM, and saturated fatty acids—SFA) was determined using NIR (near infrared) transmission technology by FoodScan™ 2 Lab with FOSS ANN Dairy Calibration (FOSS Analytical A/S). Measurements were conducted on 15 g of crushed curd in a plastic Petri dish (diameter 90 mm). Active acidity (pH) of cheese was determined by using a pH meter ProfiLine pH 3110 (Xylem Analytics, Weilheim in Oberbayern, Germany) according to Božanić et al. [22]. pH value of whey samples was also determined, without prior sample preparation. Titratable acidity (°SH) of cheese samples was determined according to the AOAC standard method [23]. Water activity (aw) of cheese was determined by using a HygroPalm HP23 aw meter (Rotronic, Bassersdorf, Switzerland).
2.4. Colour Determination
The colour of cheese curd samples was determined according to the CIElab system using a CM-CM-700d colorimeter (Konica Minolta, Tokyo, Japan) with D65 light source, as previously described in the study by Barukčić et al. [8]. L*, a* and b* parameters were measured and the total colour difference (ΔE*) was calculated following Equation (1):
where L*, a*, and b* refer to the test samples and , , and to the control samples. The obtained results were interpreted according to the model described by Mokrzycki and Tatol [24] (Table 1).
Table 1.
Typical scale of the total colour difference for understanding human visual perception.
2.5. Texture Determination
The texture of cheese curds was determined using a texture analyser (Ametek Lloyd Instruments Ltd., West Sussex, UK) as Marušić Radovčić et al. [25] previously described. Cheese samples were twice compressed up to 50% of deformation with a 50 kg cell, at a speed of 1 m s−1 with a 5-s interval between two cycles. The obtained data were processed using NexygenPlus software version 3.0 (Ametek Lloyd Instrument LTD, West Sussex, UK) hich generated the values for adhesiveness (Nmm), adhesive force (N*), cohesiveness, hardness (N), gumminess (N), chewiness (Nmm), stringiness (mm), resilience, fracture, (N) and springiness (mm).
* N standing for newton (The SI unit of force)
2.6. Spectrophotometric Analyses of Cheese Curds and Whey Samples
2.6.1. Sample Preparation
The OLE and whey samples were diluted with distilled water to achieve acceptable absorbance results (between 0 and 1). Cheese curd samples were prepared according to Apostolidis et al. [26] by homogenising 20 g of cheese with 20 mL of distilled water and centrifuging the prepared suspension at 10,000 rpm for 10 min at 5 °C. The obtained supernatant was separated and stored at 4 °C until further analysis.
2.6.2. Total Phenol Content
The total phenol content was determined by using the Folin–Ciocalteu method, modified according to Shortle et al. [27]. The standard curve was plotted using 500 mg L−1 gallic acid (Sigma-Aldrich, St. Louis, MO, USA) as a stock solution, and Equation (2) was obtained as follows:
2.6.3. Total Flavonoid Content
The total flavonoid content was determined according to Aryal et al. [28] with slight modifications. The standard curve was derived using 2 mmol L−1 quercetin (Sigma-Aldrich, St. Louis, MO, USA) as a stock solution, from which Equation (3) was obtained:
2.6.4. Antioxidant Activity by Using the FRAP Method
The antioxidant activity of cheese and whey samples was determined by using the ferric reducing antioxidant power (FRAP) method according to Benzie et al. [29]. The standard curve was plotted using 1 mmol L−1 Trolox (Sigma-Aldrich, St. Louis, MO, USA) as a stock solution, from which Equation (4) was obtained:
2.7. Statistical Analysis
Each experiment was repeated in triplicate, and the obtained results were expressed as mean values ± standard deviations (SDs). Three-way analysis of variance (ANOVA) was performed to determine the significant effect of factors as well as their interactions on the examined physicochemical and textural parameters, total phenols, flavonoids, and antioxidant activity. In this regard, one factor was the method of cheese milk coagulation (enzyme or acid), another factor was the moment of OLE addition (prior to coagulation or curd supplementation), and the third factor was the effective concentration of added OLE (EFC 25, EFC 50, and EFC 75). Multiple comparison of means within groups was performed with Tukey’s HSD test using GraphPad Prism software. The significance level for all tests was set at p ≤ 0.05.
3. Results and Discussion
3.1. Physicochemical Composition of the Produced Cheese Curds
The physicochemical composition of the cheese curds is presented in Table 2. The effective concentration of OLE and the coagulation method had a significant effect on moisture, fat, protein, SFA, FDM, and total solids (p < 0.0001). Moisture content ranged from 67.385 ± 1.22 (EC 75) to 79.88 ± 0.66% (AM 0), with higher values for acid-coagulated cheese curds, which are in accordance with those previously reported for soft cheese [30]. Furthermore, acid-coagulated cheese curds had a lower fat, protein, SFA, and FDM content than rennet-coagulated cheese curds. The moisture content for rennet-coagulated curds was somewhat higher than usually reported for this type of coagulation [30,31,32]. Such results might be explained by the fact that this study focused on drained cheese curds without additional treatments such as salting or aging, which usually reduce the moisture content in cheese.
Table 2.
Influence of the coagulation method (enzymatic/E or acid/A), effective concentration of olive leaf extract (OLE) (EFC 0, EFC 25, EFC 50, EFC 75), and the moment of OLE addition (milk/M or curd/C) on the physicochemical characteristics of OLE-enriched cheese curds.
Since the water activity (aw) of cheese curds supplemented with OLE before coagulation did not increase compared to the control sample, the increase in total solids and protein content is most likely due to the proposed casein-polyphenol complexes. Due to protein dissociation and changes in ionic strength that occur naturally at lower pH values, the acidification of milk that occurs during fermentation increases the number of binding sites on proteins. Accordingly, the observed higher total solids, protein content, and aw values (Table 2) indicate that the added OLE polyphenols most likely formed complexes with milk proteins (especially caseins), which was more intense in samples supplemented with higher effective concentrations before coagulation. These observations could be additionally confirmed by the results of colour measurement (Table 2), as the effective concentration and the time of OLE addition showed a statistically significant (p < 0.01) influence on the measured values of the parameters L*, a*, and b* and, accordingly, on the calculated ΔE* values of the supplemented cheeses, regardless of the coagulation method (p > 0.05). More specifically, ΔE* values were significantly (p < 0.0001) higher in cheeses supplemented with OLE before coagulation than in control cheeses and cheeses supplemented after coagulation (quark supplementation). Thereby, the ΔE* values increased with the increase of the effective OLE concentration in both types of supplements and coagulation methods. However, the obtained ΔE* values of enzyme-coagulated cheese curds were significantly lower than those of acid-coagulated cheese supplemented at the same time of the production process (Table 2). All cheeses supplemented prior to coagulation had ΔE* values greater than 3.0, indicating colour changes visible to the human eye [24,37]. These results indicate that acid coagulation led to more intense interactions between the added OLE components and the cheese proteins, and thus to the preservation of the bioactive components of OLE in the produced cheeses. Accordingly, these cheese samples were characterised by more intense colour changes. Barukčić et al. [8] previously found similar observations in fermented milk supplemented with OLE, as did Roseiro et al. [38], who studied the mechanisms of the binding of polyphenols to milk proteins.
3.2. Textural Parameters of OLE Supplemented Cheese Curds
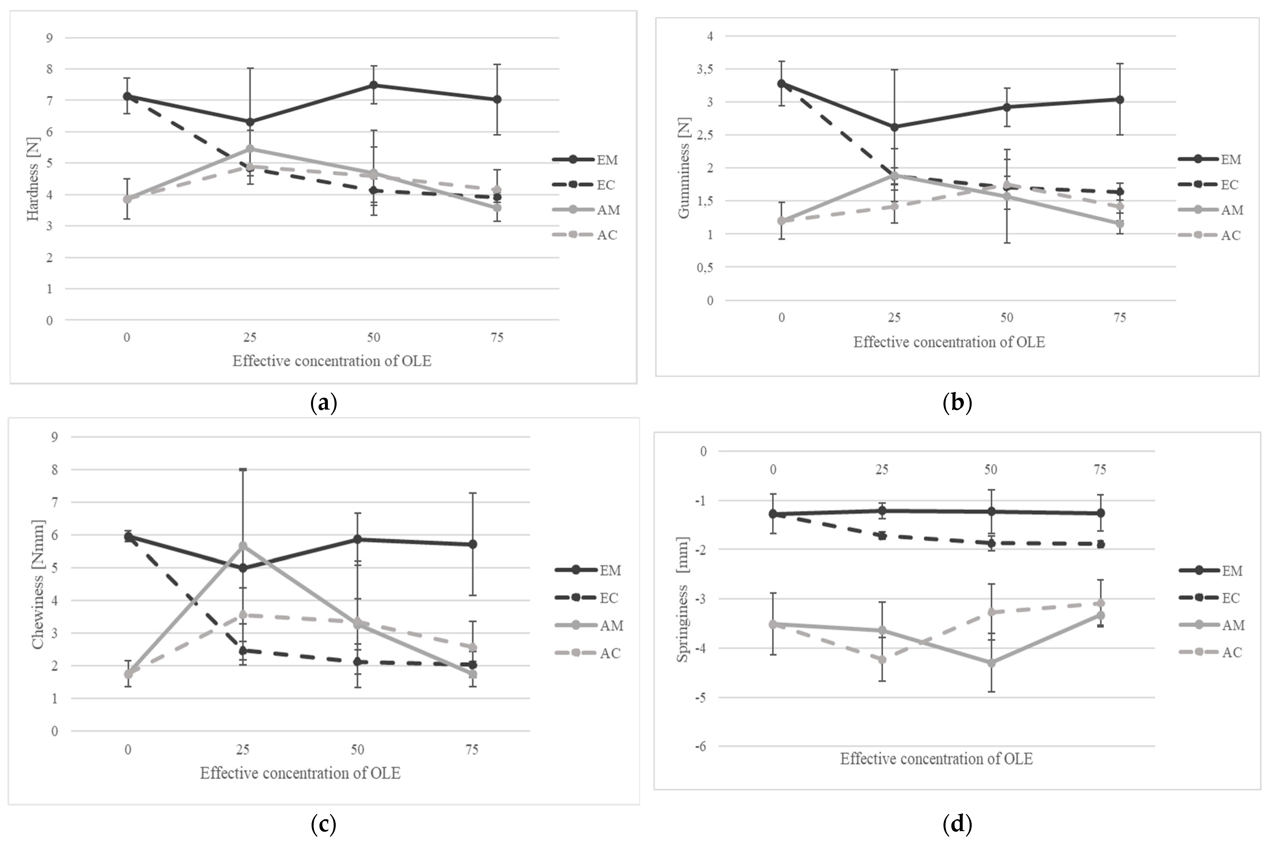
Statistically significant differences (p < 0.05) between samples were found for hardness (N) (Figure 2a), gumminess (N) (Figure 2b), chewiness (Nmm) (Figure 2c), and springiness (mm) (Figure 2d). Cheese hardness is quantified as the force required to cause the deformation of the cheese, while gumminess is defined as the energy required to crush the cheese to the point where it can be swallowed. Elasticity refers to the ability of the cheese to regain its original shape after initial compression, while chewiness represents the energy required to chew the cheese to a consistency suitable for swallowing.
Figure 2.
The textural properties of (a) hardness, (b) gumminess, (c) chewiness, (d) and springiness of OLE-enriched enzymatic (EM, EC) and acid-coagulated (AM, AC) cheese curds in relation to the added effective olive leaf extract (OLE) concentrations (0, 25, 50, 75). The addition of OLE to milk is represented by a solid line, while the dashed line corresponds to the addition of OLE to cheese curds. The black lines indicate enzymatic coagulation, while the grey ones correspond to the acid coagulation.
The authors observed significantly lower values of hardness in all examined cheese curds, with values ranging from 3.57 ± 0.43 (AM 75) to 7.49 ± 0.61 N (EM 50). Such low values of hardness are not expected for traditionally produced rennet-coagulated cheese, but these results may be related to the high retention of moisture in cheese curds supplemented with high levels of OLE. When comparing between the results of the physicochemical composition (Table 2) and hardness of cheese curds (Figure 2a), it becomes clear that the curd hardness highly depends on moisture, fat, and protein content. Cheese curds with OLE supplemented to milk prior to coagulation achieved significantly (p < 0.0001) higher hardness, gumminess, and chewiness than cheese curds with OLE supplementation after the coagulation, regardless of the coagulation method. A drop in temperature during curd supplementation with OLE apparently resulted in the weaker binding of cheese granules and affected the texture parameters in curd-supplemented cheeses. Enzyme-coagulated cheese curds supplemented with OLE prior to coagulation (EM 25, EM 50, EM 75) achieved the highest hardness, gumminess, and chewiness and the lowest brittleness among all enzyme-coagulated cheese curds and among all manufactured cheese curds, regardless of the coagulation method. These results indicate a change in the paracasein matrix and are consistent with previous studies [39]. The binding of OLE polyphenols to casein appeared to strengthen the curd network and increase cheese curd firmness. Cheese composition also affects the final texture, as both dissolved calcium in the cheese serum and calcium bound to the protein network have been shown to affect the rate of proteolysis, and cheeses having a higher fat content are less firm and more elastic [40]. It is important to highlight that, particularly in the context of enzymatic coagulation, the results refer to drained curds before the salting stage, as this differentiation exerts a substantial influence on the texture parameters. To better understand the matrix changes, future studies should provide a detailed analysis of the final cheese composition in relation to the textural parameters. In general, it was observed that cheese curds enriched with OLE produced by acid coagulation had significantly lower hardness (p < 0.0001), gumminess (p < 0.0010), and chewiness (p < 0.0100), and higher brittleness (p < 0.0010), regardless of cheese milk fortification or cheese curd supplementation, again suggesting a change in the protein network. As mentioned by Lucey et al. [41], acidity plays an important role in determining the textural properties of cheese, a finding consistent with the results of our study. In our study, we observed slightly higher pH values when OLE was added directly to milk compared to other methods. Table 2 shows that the samples to which OLE was added directly at a concentration equivalent to EFC 50 had the highest titratable acidity values. This indicates that the addition of OLE to the milk affected the acidity of the cheese and likely contributed to the observed changes in texture. The results of the three-way ANOVA confirmed a significant difference between the coagulation methods and the time points of OLE supplementation in terms of hardness (p < 0.0001), gumminess (p < 0.0001), chewiness (p = 0.0002), and elasticity (p = 0.0255), regardless of the effective OLE concentration (p > 0.05) (Table S2).
3.3. Total Phenols, Flavonoids, and Antioxidant Activity of the Produced Cheese Curds and Remaining Whey
3.3.1. Total Phenols (TP)
The total phenolic concentration (TP) varied between 1.13 ± 0.04 (EM 0) and 2.21 ± 0.03 mg GAE g−1 (EM 25) for enzymatic coagulation (Figure 3a) and between 1.29 ± 0.08 mg GAE g−1 (AM 0) and 1.73 ± 0.14 mg GAE g−1 (AC 75) for acid coagulation (Figure 3b), respectively. The TP in the remaining whey varied between 2.37 ± 0.04 (WEM 0) and 3.48 ± 0.06 mg GAE g−1 (WEC 75) for enzymatic coagulation and between 2.98 ± 0.09 (WAM 0) and 5.57 ± 0.40 mg GAE g−1 (WAC 75) for acid coagulation, respectively. In general, it was found that the addition of OLE significantly (p < 0.0001) increased the TP in all cheese samples as well as in the remaining whey, regardless of the coagulation method (p > 0.05). The obtained results are consistent with previously published data [8,42,43,44,45]. The increase in TP corresponds to the increase in the effective concentration of the added OLE, except in the sample EM 25, where the TP was the highest, probably due to the variations in the dewatering process. The difference between the effective concentrations and the times of the addition of OLE was significant (p < 0.0001). Due to the low molecular weight and good solubility properties of phenolic compounds, the production of cheese from OLE-fortified milk resulted in the better retention of phenols in cheese compared to supplementation with curds. The retention of phenolic compounds in cheese is due to hydrophobic, hydrophilic, ionic, or covalent interactions between phenolic compounds and milk proteins [46]. The mechanism of these interactions is not yet fully understood, and further studies to increase the retention coefficient and the possibility of producing functional products are of interest [47]. Indeed, soluble compounds of low molecular weight are often lost to a great extent in cheese whey. The increased levels of the TP in all samples of collected whey may indicate limited retention in the cheese matrix. Antioxidative activity in whey is primarily dependent on whey proteins and their peptides [48], formed by enzymatic breakdown, which could explain the observed results. Furthermore, whey proteins exhibit higher antioxidative activity than caseins, and previous studies have demonstrated that certain milk components, such as B-group vitamins, proteins, amino acids, etc. [49], can participate in reactions with the Folin–Ciocalteu reagent. Moreover, a positive correlation between TP determination with the Folin–Ciocalteu reagent and FRAP in milk has been documented [50], and this should be taken into consideration when interpreting the results of the TP in the collected whey samples.
Figure 3.
Total phenols (TP) (mg GAE g−1) and antioxidant activity (AA) (µmol TEQ g−1) in olive leaf extract (OLE) (0, 25, 50, 75) enriched cheese curds produced by rennet (EM, EC) (a) or acid coagulation (AM, AC) (b) and the remaining whey (WEM, WEC, WAM, WAC). Black columns indicate TP in cheese curd samples, while grey columns correspond to TP in whey samples. Solid fill represents milk supplementation with OLE, while the dotted pattern indicates curd supplementation with OLE. The black line represents an AA (µmol TEQ g−1) in cheese curd samples, while the grey line corresponds to AA in whey samples.
3.3.2. Total Flavonoids (TF)
The concentration of total flavonoids (TF) in cheese varied between 0.28 ± 0.02 (EM 0) and 0.65 ± 0.01 mg QE g−1 (EM 75) in enzymatic coagulation (Figure 4a) and between 0.04 ± 0.01 (AC 50) and 0.06 ± 0.01 mg QE g−1 (AC 75) in acid coagulation (Figure 4b), respectively. The TF in the remaining whey varied between 0.65 ± 0.03 (WEM 50) and 0.82 ± 0.01 mg QE g−1 (WEM 0) for enzymatic coagulation and between 0.59 ± 0.06 (WAM 0, WAC 0) and 3.84 ± 0.23 mg QE g−1 (WAC 75) for acid coagulation, respectively. According to the three-way ANOVA, all three factors (coagulation method, time of supplementation, and effective concentration) had a significant effect (p < 0.0001) on TF in cheese. Enzyme coagulation resulted in significantly (p < 0.0001) better retention of flavonoids in cheese compared to acid coagulation, regardless of whether OLE was added to the milk or curds. Interestingly, even the control samples (AM 0, AC 0) had remarkably low TF values, which then increased slightly with the addition of OLE. The TF values obtained are similar to those obtained by Frühbauerová et al. [51] when processed cheese was fortified with oven-dried and freeze-dried grape skin powder. However, taking into account some previous studies, the interactions between flavonoid structures and milk proteins become more stable when the pH is closer to the isoelectric point of the protein [38], and the above pH values (Table 2) of acid-coagulated cheeses are close to this point, so the formation of a complex between casein and flavonoids could complicate the analysis, thus the influence of the coagulation method on TF values cannot be clearly highlighted. In general, milk fortification resulted in the better retention of flavonoids than the addition of curds, for both enzyme-coagulated and acid-coagulated cheeses. This is also confirmed by the TF values for the residual whey (Figure 4), which were significantly higher for WEC 25, WEC 50, WEC 75, WAC 25, WAC 50, and WAC 75 compared to WEM 25, WEM 50, WEM 75, WAM 25, WAM 50, and WAM 75. Increasing the effective concentration of OLE resulted in a linear increase in TF values regardless of whether OLE was added to the milk or curd prior to enzyme coagulation, whereas this was not the case for acid-coagulated cheeses.

Figure 4.
Total flavonoids (mg QE g−1) in olive leaf extract (OLE) (0, 25, 50, 75) enriched cheese curds produced by rennet (EM, EC) (a) or acid coagulation (AM, AC) (b) and the remaining whey (WEM, WEC, WAM, WAC). Black columns indicate TF in cheese curd samples, while grey columns correspond to TF in whey samples. Solid fill represents milk supplementation with OLE, while the dotted pattern indicates curd supplementation with OLE.
3.3.3. Antioxidant Activity (AA)
The antioxidant activity (AA) of cheese ranged from 1.58 ± 0.06 (EM 0) to 4.45 ± 0.14 µmol g−1 (EM 75) for enzymatic coagulation (Figure 3a) and from 2.37 ± 0.05 (AM 0) to 6.63 ± 0.34 µmol g−1 (AC 25) for acid coagulation (Figure 3b), respectively. The AA of the remaining whey ranged from 4.55 ± 0.12 (WEM 0, WEC 0) to 11.14 ± 1.83 µmol g−1 (WEM 25) for enzymatic coagulation and from 5.79 ± 0.51 (WAM 0, WAC 0) to 14.63 ± 2.08 µmol g−1 (WAC 25) for acid coagulation, respectively. When comparing the AA values of control cheese (EM 0, EC 0, AM 0, AC 0) and OLE-enriched cheese (Figure 3a,b), it was found that OLE enrichment significantly (p < 0.0001) increased the AA value, regardless of the coagulation method and the time of OLE enrichment. The same trend was also observed for TP, which is in agreement with [52], who found a positive correlation between AA and total polyphenol content. Numerous studies have already shown that the AA of dairy products can be significantly improved by adding sources of various phytochemicals [9,44,53]. According to the three-way ANOVA, all three factors (coagulation method, time of supplementation, and effective concentration) had a significant effect (p < 0.0001) on the AA in cheese. The highest AA was observed in acid-coagulated cheese curds to which OLE was added directly to the curds. An increase in AA was also observed in the whey remaining after acid coagulation, which was significantly higher compared to enzymatic coagulation (p < 0.0001), correlating with the results of the TP (Figure 3). Although the influence of OLE on the AA of cheese has not been studied in detail, some previous studies have also shown that the addition of OLE leads to an increase in the antioxidant activity of yogurt [8,19] and kefir [54]—dairy products that are also produced by acid coagulation.
4. Conclusions
The results of this study demonstrated that higher effective concentrations of OLE (EFC 50 and EFC 75) supplemented to rennet-coagulated cheese curds increased fat, protein, SFA, and total solids in cheese curds, likely due to polyphenol-casein complex formation, with notable colour changes. Acid-coagulated cheeses exhibited more pronounced colour changes compared to rennet-coagulated ones. Rennet-coagulated cheese curds supplemented with OLE before coagulation (EM 25, EM 50, EM 75) displayed elevated hardness, gumminess, and chewiness but reduced elasticity, indicating paracasein matrix changes. OLE significantly increased the total phenolic concentration, particularly at higher effective concentrations (EFC 50 and EFC 75). Cheese curds made from OLE-fortified milk exhibited better phenol retention compared to post-coagulation OLE supplementation. While the exact interaction mechanism between phenolic compounds and milk proteins requires further exploration, these results suggest OLE’s potential to enhance cheese’s antioxidant and health-promoting properties, especially when added before rennet coagulation. However, further studies are required to understand the effects on cheese properties during the ripening process and shelf life.
Supplementary Materials
The following supporting information can be downloaded at: https://www.mdpi.com/article/10.3390/foods13040616/s1, Table S1: 3way ANOVA results for physicochemical characteristics of OLE supplemented cheese curds; Table S2: 3way ANOVA results for textural parameters of OLE supplemented cheese curds; Table S3: 3way ANOVA results for TPs, TFs, and AA in cheese curds.
Author Contributions
Conceptualization, I.B.J. and E.Z.; methodology, I.B.J., A.D., T.V.P., S.P. and N.M.R.; software, E.Z. and L.V.; validation, K.L.J., A.D. and E.Z.; formal analysis, E.Z., L.V., I.B.J., A.D., S.P. and N.M.R.; investigation, E.Z., L.V. and I.B.J.; resources, M.B., T.V.P. and S.P.; data curation, E.Z., I.B.J. and L.V.; writing—original draft preparation, L.V., E.Z. and I.B.J.; writing—review and editing, I.B.J., E.Z., K.L.J., A.D., N.M.R., S.P., A.D. and T.V.P.; visualization, E.Z. and L.V.; supervision, I.B.J.; project administration, M.B.; funding acquisition, M.B. All authors have read and agreed to the published version of the manuscript.
Funding
This research was co-funded and produced as a part of the “Modification of cheese ripening process and development of whey-based products-SIRENA” project co-financed by the European Union from the European Structural and Investment Funds in the financial period 2014–2020, Contract No: KK.01.1.1.04.0096; and by the University of Zagreb, Grant: Influence of the plant extract on the milk fermentation. The APC waiver was arranged by Katarina Lisak Jakopović, Associate Professor.
Institutional Review Board Statement
Not applicable.
Informed Consent Statement
Not applicable.
Data Availability Statement
The data presented in this study are available on request from the corresponding author. The data are not publicly available due to data designed for other ongoing research should be protected before formal publication.
Acknowledgments
The authors acknowledge the use of resources provided by the Operational Programme Competitiveness and Cohesion as part of the “Atrium of Knowledge” project co-financed by the European Union from the European Regional Development Fund and the Operational Programme Competitiveness and Cohesion 2014–2020, Contract No: KK.01.1.1.02.0005. and by the project of the European Union, “Equipping the semi-industrial practice for the development of new food technologies”, contract number KK.01.1.1.02.0001.
Conflicts of Interest
The authors declare no conflicts of interest.
References
- Iriondo-DeHond, M.; Miguel, E.; Del Castillo, M.D. Food byproducts as sustainable ingredients for innovative and healthy dairy foods. Nutrients 2018, 10, 1358. [Google Scholar] [CrossRef]
- Mirabella, N.; Castellani, V.; Sala, S. Current options for the valorization of food manufacturing waste: A review. J. Clean. Prod. 2014, 65, 28–41. [Google Scholar] [CrossRef]
- Zandona, E.; Blažić, M.; Režek Jambrak, A. Whey utilization: Sustainable uses and environmental Approach. Food Technol. Biotech. 2021, 59, 147–161. [Google Scholar] [CrossRef] [PubMed]
- Marinelli, V.; Spinelli, S.; Angiolillo, L.; Del Nobile, M.A.; Conte, A. Emerging techniques applied to by-products for food fortification. J. Food Technol. 2020, 57, 905–914. [Google Scholar] [CrossRef] [PubMed]
- Olszewska, M.A.; Gędas, A.; Simões, M. Antimicrobial polyphenol-rich extracts: Applications and limitations in the food industry. Food Res. Int. 2020, 134, 109214. [Google Scholar] [CrossRef] [PubMed]
- El-Sayed, S.M.; Youssef, A.M. Potential application of herbs and spices and their effects in functional dairy products. Heliyon 2019, 5, e01989. [Google Scholar] [CrossRef] [PubMed]
- Granato, D.; Santos, J.S.; Salem, R.D.; Mortazavian, A.M.; Rocha, R.S.; Cruz, A.G. Effects of herbal extracts on quality traits of yogurts, cheeses, fermented milks, and ice creams: A technological perspective. Curr. Opin. Food Sci. 2018, 19, 1–7. [Google Scholar] [CrossRef]
- Barukčić, I.; Filipan, K.; Lisak Jakopović, K.; Božanić, R.; Blažić, M.; Repajić, M. The Potential of Olive Leaf Extract as a Functional Ingredient in Yoghurt Production: The Effects on Fermentation, Rheology, Sensory, and Antioxidant Properties of Cow Milk Yoghurt. Foods 2022, 11, 701. [Google Scholar] [CrossRef]
- Lisak Jakopović, K.; Repajić, M.; Rumora Samarin, I.; Božanić, R.; Blažić, M.; Barukčić Jurina, I. Fortification of Cow Milk with Moringa oleifera Extract: Influence on Physicochemical Characteristics, Antioxidant Capacity and Mineral Content of Yoghurt. Fermentation 2022, 8, 545. [Google Scholar] [CrossRef]
- Dobrinčić, A.; Repajić, M.; Garofulić, I.E.; Tuđen, L.; Dragović-Uzelac, V.; Levaj, B. Comparison of different extraction methods for the recovery of olive leaves polyphenols. Processes 2020, 8, 1008. [Google Scholar] [CrossRef]
- Talhaoui, N.; Trabelsi, N.; Taamalli, A.; Verardo, V.; Gómez-Caravaca, A.M.; Fernández-Gutiérrez, A.; Arraez-Roman, D. Olea europaea as potential source of bioactive compounds for diseases prevention. Stud. Nat. Prod. Chem. 2018, 57, 389–411. [Google Scholar] [CrossRef]
- Otero, D.M.; Lorini, A.; Oliveira, F.M.; da Fonseca Antunes, B.; Oliveira, R.M.; Zambiazi, R.C. Leaves of Olea europaea L. as a source of oleuropein: Characteristics and biological aspects. Res. Soc. Dev. 2021, 10, e185101321130. [Google Scholar] [CrossRef]
- Borjan, D.; Leitgeb, M.; Knez, Ž.; Hrnčič, M.K. Microbiological and antioxidant activity of phenolic compounds in olive leaf extract. Molecules 2020, 25, 5946. [Google Scholar] [CrossRef]
- Malliou, F.; Andreadou, I.; Gonzalez, F.J.; Lazou, A.; Xepapadaki, E.; Vallianou, I.; Konstandi, M. The olive constituent oleuropein, as a PPARα agonist, markedly reduces serum triglycerides. J. Nutr. Biochem. 2018, 59, 17–28. [Google Scholar] [CrossRef] [PubMed]
- Zhu, F.; Du, B.; Xu, B. Anti-inflammatory effects of phytochemicals from fruits, vegetables, and food legumes: A review. Crit. Rev. Food Sci. 2018, 58, 1260–1270. [Google Scholar] [CrossRef] [PubMed]
- Shamshoum, H.; Vlavcheski, F.; Tsiani, E. Anticancer effects of oleuropein. Biofactors 2017, 43, 517–528. [Google Scholar] [CrossRef] [PubMed]
- Zoidou, E.; Melliou, E.; Moatsou, G.; Magiatis, Ρ. Preparation of functional yogurt enriched with olive-derived products. In Yogurt in Health and Disease Prevention; Shah, N.P., Ed.; Academic Press: Cambridge, MA, USA, 2017; pp. 203–220. [Google Scholar]
- Pourghorban, S.; Yadegarian, L.; Jalili, M.; Rashidi, L. Comparative Physicochemical, Microbiological, Antioxidant, and Sensory properties of pre-and post-fermented yoghurt enriched with olive leaf and its extract. Food Sci. Nutr. 2022, 10, 751–762. [Google Scholar] [CrossRef] [PubMed]
- Cho, W.Y.; Kim, D.H.; Lee, H.J.; Yeon, S.J.; Lee, C.H. Quality characteristic and antioxidant activity of yogurt containing olive leaf hot water extract. CyTA-J. Food 2020, 18, 43–50. [Google Scholar] [CrossRef]
- Dragović-Uzelac, V.; Elez Garofulić, I.; Jukić, M.; Penić, M.; Dent, M. The Influence of Microwave-Assisted Extraction on the Isolation of Sage (Salvia officinalis L.) Polyphenols. Food Technol. Biotechnol. 2012, 50, 377–383. [Google Scholar]
- Tavakoli, H.; Hosseini, O.; Jafari, S.M.; Katouzian, I. Evaluation of physicochemical and antioxidant properties of yogurt enriched by olive leaf phenolics within nanoliposomes. J. Agr. Food Chem. 2018, 66, 9231–9240. [Google Scholar] [CrossRef] [PubMed]
- Božanić, R.; Jeličić, I.; Bilušić, T. Analiza Mlijeka i Mliječnih Proizvoda: Priručnik; Plejada: Zagreb, Croatia, 2010; pp. 27–31. [Google Scholar]
- AOAC 920.124-1920; Acidity of Cheese. Titrimetric Method. Association of Official Agricultural Chemists (AOAC): Rockville, MD, USA, 1920.
- Mokrzycki, W.S.; Tatol, M. Colour difference ∆E-A survey. Mach. Graph. Vis. 2011, 20, 383–411. [Google Scholar]
- Marušić Radovčić, N.; Poljanec, I.; Petričević, S.; Mora, L.; Medić, H. Influence of muscle type on physicochemical parameters, lipolysis, proteolysis, and volatile compounds throughout the processing of smoked dry-cured ham. Foods 2021, 10, 1228. [Google Scholar] [CrossRef]
- Apostolidis, E.; Kwon, Y.I.; Shetty, K. Inhibitory potential of herb, fruit, and fungal-enriched cheese against key enzymes linked to type 2 diabetes and hypertension. Innov. Food Sci. Emerg. 2007, 8, 46–54. [Google Scholar] [CrossRef]
- Shortle, E.; O’grady, M.N.; Gilroy, D.; Furey, A.; Quinn, N.; Kerry, J.P. Influence of extraction technique on the anti-oxidative potential of hawthorn (Crataegus monogyna) extracts in bovine muscle homogenates. Meat Sci. 2014, 98, 828–834. [Google Scholar] [CrossRef] [PubMed]
- Aryal, S.; Baniya, M.K.; Danekhu, K.; Kunwar, P.; Gurung, R.; Koirala, N. Total phenolic content, flavonoid content and antioxidant potential of wild vegetables from Western Nepal. Plants 2019, 8, 96. [Google Scholar] [CrossRef] [PubMed]
- Benzie, I.F.; Strain, J.J. The ferric reducing ability of plasma (FRAP) as a measure of “antioxidant power”: The FRAP assay. Anal. Biochem. 1996, 239, 70–76. [Google Scholar] [CrossRef] [PubMed]
- Feeney, E.L.; Lamichhane, P.; Sheehan, J.J. The cheese matrix: Understanding the impact of cheese structure on aspects of cardiovascular health–a food science and a human nutrition perspective. Int. J. Dairy Technol. 2021, 74, 656–670. [Google Scholar] [CrossRef]
- Giroux, H.J.; Dupont, F.; Villeneuve, G.; Britten, M. Effect of heating milk on whey protein denaturation and cheese-making properties. Int. Dairy J. 2020, 111, 104831. [Google Scholar] [CrossRef]
- Zhang, J.; Yang, M.; Cai, D.; Hao, Y.; Zhao, X.; Zhu, Y.; Yang, Z. Composition, coagulation characteristics, and cheese making capacity of yak milk. J. Dairy Sci. 2020, 103, 1276–1288. [Google Scholar] [CrossRef]
- Kaya, S.; Öner, M.D. Water Activity and moisture sorption isotherms of Gaziantep cheese. J. Food Quality 1996, 19, 121–132. [Google Scholar] [CrossRef]
- Gomez, L.; Tiwari, B.; Garcia-Vaquero, M. Emerging Extraction Techniques: Microwave-Assisted Extraction in Sustainable Seaweed Technologies; Torres, M.D., Kraan, S., Dominguez, H., Eds.; Elsevier Inc.: Amsterdam, The Netherlands, 2020; pp. 207–224. [Google Scholar] [CrossRef]
- Marcos, A. Water Activity in Cheese in Relation to Composition, Stability and Safety. In Cheese: Chemistry, Physics and Microbiology; Fox, P.F., Ed.; Springer: Boston, MA, USA, 1993; pp. 439–469. [Google Scholar] [CrossRef]
- Marcos, A.; Alcalá, M.; León, F.; Fernández-Salguero, J.; Esteban, M.A. Water Activity and Chemical Composition of Cheese. J. Dairy Sci. 1981, 64, 622–626. [Google Scholar] [CrossRef]
- Feng, C.; Wang, B.; Zhao, A.; Wei, L.; Shao, Y.; Wang, Y.; Cao, B.; Zhang, F. Quality characteristics and antioxidant activities of goat milk yogurt with added jujube pulp. Food Chem. 2018, 277, 238–245. [Google Scholar] [CrossRef] [PubMed]
- Roseiro, L.B.; Viala, D.; Besle, J.M.; Carnat, A.; Fraisse, D.; Chezal, J.M. Preliminary observations of flavonoid glycosides from the vegetable coagulant Cynara L. in protected designation of origin cheeses. Int. Dairy J. 2005, 15, 579–584. [Google Scholar] [CrossRef]
- Giroux, H.J.; Grandpré, G.D.; Fustier, P.; Champagne, C.P.; St-Gelais, D.; Lacroix, M. Production and characterization of Cheddar-type cheese enriched with green tea extract. Dairy Sci. Technol. 2013, 93, 241–254. [Google Scholar] [CrossRef]
- Kongo, J.M.; Malcata, F.X. Cheese: Processing and sensory properties. In Encyclopedia of Food and Health; Caballero, B., Finglas, P.M., Toldrá, F., Eds.; Academic Press: Cambridge, MA, USA, 2016; pp. 748–754. ISBN 9780123849533. [Google Scholar] [CrossRef]
- Lucey, J.A. Formation, structural properties, and rheology of acid-coagulated milk gels. In Cheese; Academic Press: Cambridge, MA, USA, 2017; pp. 179–197. [Google Scholar] [CrossRef]
- Santos, I.C.; Favetta, P.M.; Silva, G.G.; Legnani, N.G.E.; Jacomassi, E.; Soares, A.A.; Otutumi, L.K.; Germano, R.M.; Gonçalves, D.D.; Barbosa, L.N. Origanum vulgare extract as a natural additive in fresh cheese. Semin. Cienc. Agrar. 2022, 43, 1705–1720. [Google Scholar] [CrossRef]
- Carvalho, F.; Rodrigues, A.; Gomes, D.M.G.S.; Ferreira, F.M.L.; Dias, S.P.; Pereira, C.J.D. Improvement of Ripened Cheese Quality and Safety with Thymus mastichina L. Bioactive Extracts. In Advances in Biotechnology for Food Industry, 14th ed.; Holban, A.M., Grumezescu, A.M., Eds.; Academic Press: Cambridge, MA, USA, 2018; pp. 197–211. [Google Scholar] [CrossRef]
- Ribeiro, A.; Caleja, C.; Barros, L.; Santos-Buelga, C.; Barreiro, M.F.; Ferreira, I.C. Rosemary extracts in functional foods: Extraction, chemical characterization and incorporation of free and microencapsulated forms in cottage cheese. Food Funct. 2016, 7, 2185–2196. [Google Scholar] [CrossRef] [PubMed]
- Josipović, R.; Markov, K.; Frece, J.; Stanzer, D.; Cvitković, A. Upotreba začina u proizvodnji tradicionalnih sireva. Mljekarstvo 2016, 66, 12–25. [Google Scholar] [CrossRef]
- Yildirim-Elikoglu, S.; Erdem, Y.K. Interactions between milk proteins and polyphenols: Binding mechanisms, related changes, and the future trends in the dairy industry. Food Rev. Int. 2018, 34, 665–697. [Google Scholar] [CrossRef]
- Han, J.; Britten, M.; St-Gelais, D.; Champagne, C.P.; Fustier, P.; Salmier, S. Polyphenolic compounds as functional ingredients in cheese. Food Chem. 2011, 124, 1589–1594. [Google Scholar] [CrossRef]
- Athira, S.; Mann, B.; Saini, P.; Sharma, R.; Kumar, R.; Singh, A.K. Production and characterisation of whey protein hydrolysate having antioxidant activity from cheese whey. J. Sci. Food Agric. 2015, 95, 2908–2915. [Google Scholar] [CrossRef]
- Everette, J.D.; Bryant, Q.M.; Green, A.M.; Abbey, Y.A.; Wangila, G.W.; Walker, R.B. Thorough study of reactivity of various compound classes toward the Folin−Ciocalteu reagent. J. Agric. Food Chem. 2010, 58, 8139–8144. [Google Scholar] [CrossRef]
- Alyaqoubi, S.; Abdullah, A.; Samudi, M.; Abdullah, N.; Addai, Z.R.; Al-Ghazali, M. Effect of different factors on goat milk antioxidant activity. Int. J. Chemtech Res. 2014, 6, 3091–3196. [Google Scholar]
- Frühbauerová, M.; Červenka, L.; Hájek, T.; Salek, R.N.; Velichová, H.; Buňka, F. Antioxidant properties of processed cheese spread after freeze-dried ond oven-dried grape skin powder addition. Potravin. Slovak J. Food Sci. 2020, 14, 203–238. [Google Scholar] [CrossRef]
- Alonso, Á.M.; Guillén, D.A.; Barroso, C.G.; Puertas, B.; García, A. Determination of antioxidant activity of wine byproducts and its correlation with polyphenolic content. J. Agr. Food Chem. 2002, 50, 5832–5836. [Google Scholar] [CrossRef] [PubMed]
- Qureshi, T.M.; Amjad, A.; Nadeem, M.; Murtaza, M.A.; Munir, M. Antioxidant potential of a soft cheese (paneer) supplemented with the extracts of date (Phoenix dactylifera L.) cultivars and its whey. Asian-Australas J. Anim. 2019, 32, 1591–1602. [Google Scholar] [CrossRef]
- Okur, Ö.D. An evaluation of the quality characteristics of kefir fortified with olive (Olea europaea) leaf extract. Brit Food J. 2022, 124, 1727–1736. [Google Scholar] [CrossRef]
Disclaimer/Publisher’s Note: The statements, opinions and data contained in all publications are solely those of the individual author(s) and contributor(s) and not of MDPI and/or the editor(s). MDPI and/or the editor(s) disclaim responsibility for any injury to people or property resulting from any ideas, methods, instructions or products referred to in the content. |
© 2024 by the authors. Licensee MDPI, Basel, Switzerland. This article is an open access article distributed under the terms and conditions of the Creative Commons Attribution (CC BY) license (https://creativecommons.org/licenses/by/4.0/).




