Accurate Discrimination of Mold-Damaged Citri Reticulatae Pericarpium Using Partial Least-Squares Discriminant Analysis and Selected Wavelengths
Abstract
1. Introduction
2. Materials and Methods
2.1. Samples
2.2. Spectra Measurement
2.3. Data Analysis
3. Results
3.1. Spectral Features and Discrimination Results of PCA
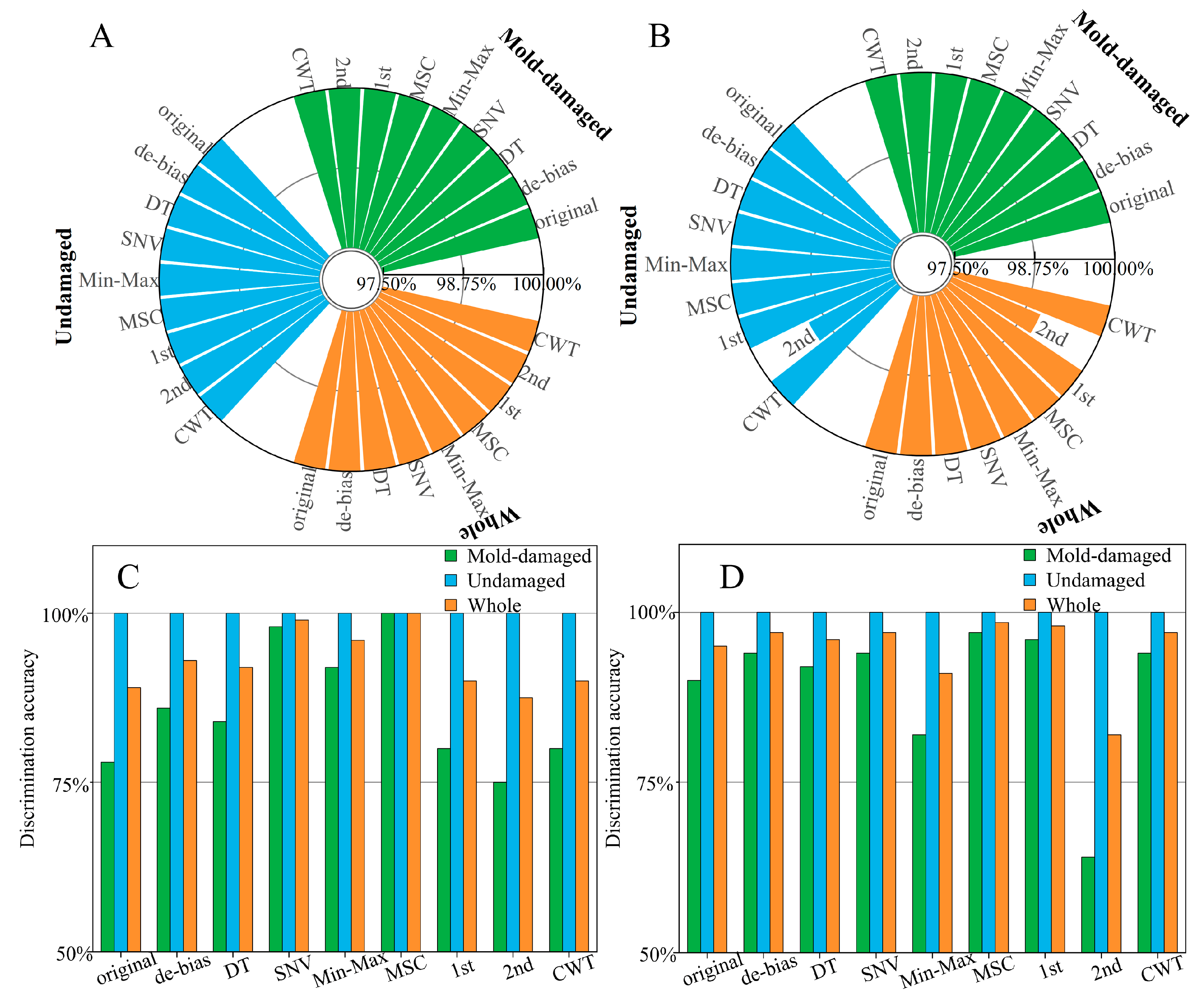
3.2. Discrimination Results of PLS-DA
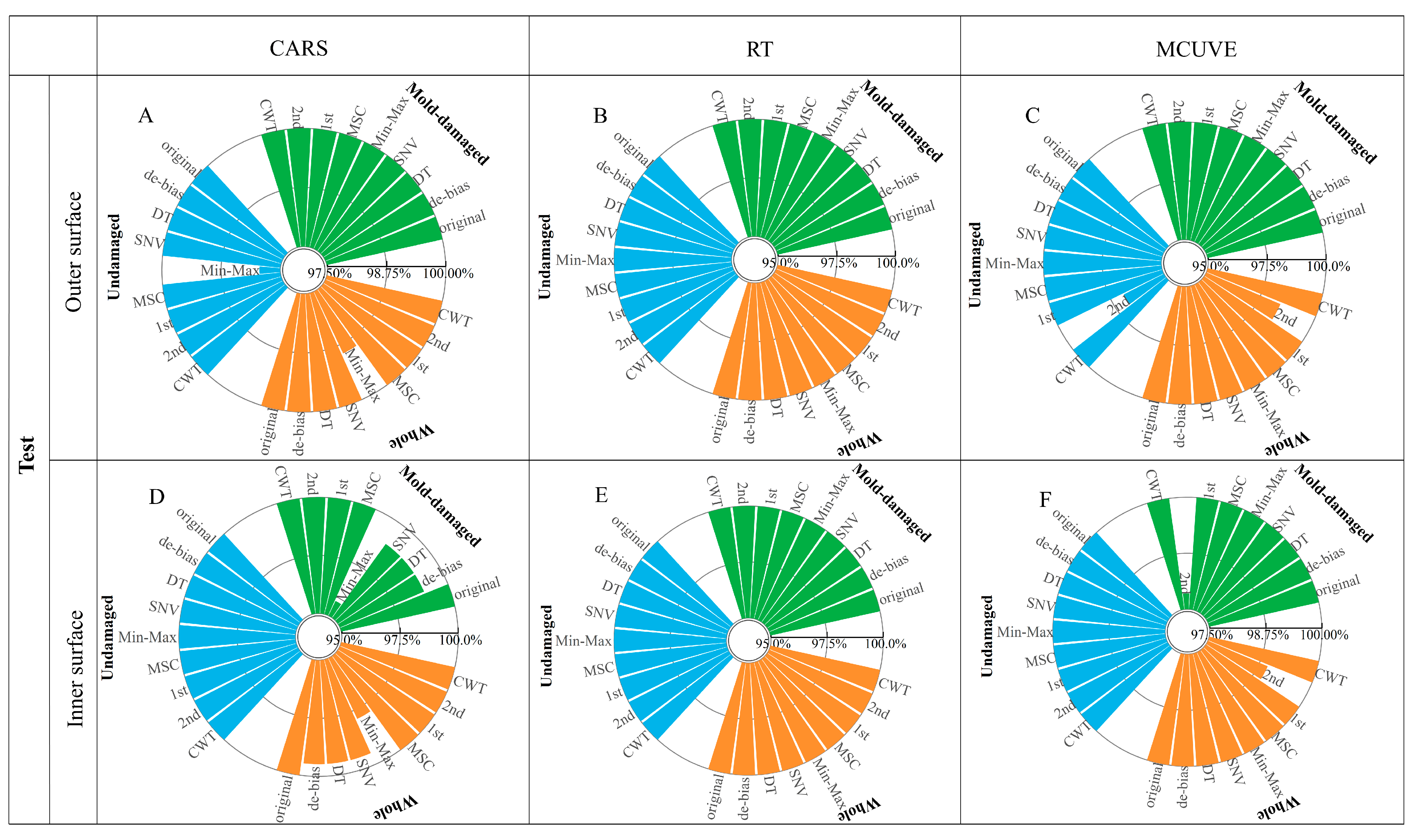
3.3. Discrimination Results of Wavelength Selection-PLS-DA
3.4. Variable Filtering Results
4. Conclusions
Author Contributions
Funding
Institutional Review Board Statement
Informed Consent Statement
Data Availability Statement
Conflicts of Interest
References
- Liu, L.C.; Wang, X.Y.; Li, L.N.; Yang, L.; Wang, Z.T. Research advances of chemical constituents and analytical methods of Citri Reticulatae Pericarpium Viride and Citri Reticulatae Pericarpium. China J. Chin. Mater. Med. 2022, 47, 2866–2879. [Google Scholar] [CrossRef]
- Yang, W.; Liu, M.; Chen, B.; Ning, J.; Wang, K.; Cai, Y.; Yang, D.; Zheng, G. Comparative analysis of chemical constituents in Citri Exocarpium Rubrum, Citri Reticulatae Endocarpium Alba, and Citri Fructus Retinervus. Food Sci. Nutr. 2022, 10, 3009–3023. [Google Scholar] [CrossRef] [PubMed]
- Bian, X.Q.; Xie, X.Y.; Cai, J.L.; Zhao, Y.R.; Miao, W.; Chen, X.L.; Xiao, Y.; Li, N.; Wu, J.L. Dynamic changes of phenolic acids and antioxidant activity of Citri Reticulatae Pericarpium during aging processes. Food Chem. 2021, 373, 131399. [Google Scholar] [CrossRef]
- Liu, M.S.; Wang, J.; Deng, H.D.; Geng, L.L. Comparative study on main components and detection methods of Pericarpium Citri Reticulatae from different habitats. IOP Conf. Ser. Earth Environ. Sci. 2021, 705, 012018. [Google Scholar] [CrossRef]
- Zhu, L.Y.; Liu, X.L.; Zheng, Q.; Kang, Y.J.; Li, J.W.; Xiao, S.; Xiong, Y.F.; Cai, K.Z.; Wu, M.Q.; Yang, M. Prediction of Q-markers of Citri Reticulatae Pericarpium volatile oil and GC-MS based quantitative analysis. China. J. Chin. Mater. Med. 2021, 46, 6403–6409. [Google Scholar] [CrossRef]
- Yu, X.Y.; Chen, X.C.; Li, Y.T.; Li, L. Effect of drying methods on volatile compounds of citrus reticulata ponkan and chachi peels as characterized by GC-MS and GC-IMS. Foods 2022, 11, 2662. [Google Scholar] [CrossRef]
- Li, X.Q.; Yang, Y.H.; Zhu, Y.T.; Ben, A.L.; Qi, J. A novel strategy for discriminating different cultivation and screening odor and taste flavor compounds in Xinhui tangerine peel using E-nose, E-tongue, and chemometrics. Food Chem. 2022, 384, 132519. [Google Scholar] [CrossRef]
- Shi, X.Y.; Gan, X.Q.; Wang, X.B.; Peng, J.L.; Li, Z.H.; Wu, X.Q.; Shao, Q.S.; Zhang, A.L. Rapid detection of Ganoderma lucidum spore powder adulterated with dyed starch by NIR spectroscopy and chemometrics. LWT 2022, 167, 113829. [Google Scholar] [CrossRef]
- Shawky, E.; El-Khair, R.M.A.; Selim, D.A. NIR spectroscopy-multivariate analysis for rapid authentication, detection and quantification of common plant adulterants in saffron (Crocus sativus L.) stigmas. LWT 2020, 122, 109032. [Google Scholar] [CrossRef]
- Magwaza, L.S.; Naidoo, S.I.M.; Laurie, S.M.; Laing, M.D.; Shimelis, H. Development of NIRS models for rapid quantification of protein content in sweetpotato [Ipomoea batatas (L.) LAM.]. LWT 2016, 72, 63–70. [Google Scholar] [CrossRef]
- Pan, S.W.; Zhang, X.; Xu, W.B.; Yin, J.W.; Gu, H.Y.; Yu, X.Y. Rapid On-site identification of geographical origin and storage age of tangerine peel by near-infrared spectroscopy. Spectrochim. Acta A 2022, 271, 120936. [Google Scholar] [CrossRef] [PubMed]
- Li, P.; Zhang, X.X.; Li, S.K.; Du, G.R.; Jiang, L.W.; Liu, X.; Ding, S.H.; Shan, Y. A rapid and nondestructive approach for the classification of different-age Citri Reticulatae Pericarpium using portable near infrared spectroscopy. Sensors 2020, 20, 1586. [Google Scholar] [CrossRef] [PubMed]
- Li, P.; Zhang, X.X.; Zheng, Y.; Yang, F.; Jiang, L.W.; Liu, X.; Ding, S.H.; Shan, Y. A novel method for the nondestructive classification of different-age Citri Reticulatae Pericarpium based on data combination technique. Food Sci. Nutr. 2021, 9, 943–951. [Google Scholar] [CrossRef] [PubMed]
- Qin, Y.W.; Zhao, Q.; Zhou, D.; Shi, Y.B.; Shuo, H.Y.; Li, M.X.; Zhang, W.; Jiang, C.G. Application of flash GC e-nose and FT-NIR combined with deep learning algorithm in preventing age fraud and quality evaluation of Pericarpium Citri Reticulatae. Food Chem. X 2024, 21, 101220. [Google Scholar] [CrossRef]
- Zhao, N.; Li, Z.Y.; Li, Y.P.; Liu, G.X.; Deng, X.L.; Ma, Q.; Hong, C.L.; Sun, S.G. Rapid qualitative and quantitative characterization of Arnebiae radix by near-infrared spectroscopy (NIRS) with partial least squares-discriminant analysis (PLS-DA). Anal. Lett. 2023, 56, 656–668. [Google Scholar] [CrossRef]
- Sun, F.; Chen, Y.; Wang, K.Y.; Wang, S.M.; Liang, S.W. Identification of genuine and adulterated Pinellia ternata by mid-infrared (MIR) and near-infrared (NIR) spectroscopy with partial least squares-discriminant analysis (PLS-DA). Anal. Lett. 2020, 53, 937–959. [Google Scholar] [CrossRef]
- Shen, G.H.; Kang, X.C.; Su, J.S.; Qiu, J.B.; Liu, X.; Xu, J.H.; Shi, J.R.; Mohamed, S.R. Rapid detection of fumonisin B1 and B2 in ground corn samples using smartphone-controlled portable near-infrared spectrometry and chemometrics. Food Chem. 2022, 384, 132487. [Google Scholar] [CrossRef]
- Souza, S.J.; Valderrama, P.; Filho, N.C.; Pilau, E.J.; Tanamati, A.A.C.; Wentzell, P.D.; Março, P.H. Partial least squares discrimination applied to a few samples dataset: A case for predicting the presence of pesticide in lettuce. J. Chemom. 2020, 34, e3299. [Google Scholar] [CrossRef]
- Truzzi, E.; Marchetti, L.; Fratagnoli, A.; Rossi, M.C.; Bertelli, D. Novel application of 1H NMR spectroscopy coupled with chemometrics for the authentication of dark chocolate. Food Chem. 2023, 404, 134522. [Google Scholar] [CrossRef]
- Shao, Y.Y.; Liu, Y.; Xuan, G.T.; Shi, Y.K.; Li, Q.K.; Hu, Z.C. Detection and analysis of sweet potato defects based on hyperspectral imaging technology. Infrared. Phys. Techn. 2022, 127, 104403. [Google Scholar] [CrossRef]
- Han, X.; Chen, X.; Ma, J.; Chen, J.; Xie, B.; Yin, W.; Yang, Y.; Jia, W.; Xie, D.; Huang, F. Discrimination of chemical oxygen demand pollution in surface water based on visible near-infrared spectroscopy. Water 2022, 14, 3003. [Google Scholar] [CrossRef]
- Xu, Y.L.; Yang, W.Z.; Wu, X.W.; Wang, Y.Z.; Zhang, J.Y. ResNet model automatically extracts and identifies FT-NIR features for geographical traceability of Polygonatum kingianum. Foods 2022, 11, 3568. [Google Scholar] [CrossRef] [PubMed]
- Xu, H.; Liu, Z.C.; Cai, W.S.; Shao, X.G. A wavelength selection method based on randomization test for near-infrared spectral analysis. Chemometr. Intell. Lab. Syst. 2009, 97, 189–193. [Google Scholar] [CrossRef]
- Li, L.; Peng, Y.; Li, Y.; Wang, F. A new scattering correction method of different spectroscopic analysis for assessing complex mixtures. Anal. Chim. Acta 2019, 1087, 20–28. [Google Scholar] [CrossRef]
- Wold, S. Cross-Validatory estimation of the number of components in factor and principal components models. Technometrics 1978, 20, 397–405. [Google Scholar] [CrossRef]
- Rong, Y.; Xie, J.; Yuan, H.; Wang, H.L.; Liu, F.; Deng, Y.; Jiang, Y.; Yang, Y. Characterization of volatile metabolites in Pu-erh teas with different storage years by combining GC-E-Nose, GC-MS, and GC-IMS. Food Chem. X 2023, 18, 100693. [Google Scholar] [CrossRef]









Disclaimer/Publisher’s Note: The statements, opinions and data contained in all publications are solely those of the individual author(s) and contributor(s) and not of MDPI and/or the editor(s). MDPI and/or the editor(s) disclaim responsibility for any injury to people or property resulting from any ideas, methods, instructions or products referred to in the content. |
© 2024 by the authors. Licensee MDPI, Basel, Switzerland. This article is an open access article distributed under the terms and conditions of the Creative Commons Attribution (CC BY) license (https://creativecommons.org/licenses/by/4.0/).
Share and Cite
Tan, H.; Liu, Y.; Tang, H.; Fan, W.; Jiang, L.; Li, P. Accurate Discrimination of Mold-Damaged Citri Reticulatae Pericarpium Using Partial Least-Squares Discriminant Analysis and Selected Wavelengths. Foods 2024, 13, 3856. https://doi.org/10.3390/foods13233856
Tan H, Liu Y, Tang H, Fan W, Jiang L, Li P. Accurate Discrimination of Mold-Damaged Citri Reticulatae Pericarpium Using Partial Least-Squares Discriminant Analysis and Selected Wavelengths. Foods. 2024; 13(23):3856. https://doi.org/10.3390/foods13233856
Chicago/Turabian StyleTan, Huizhen, Yang Liu, Hui Tang, Wei Fan, Liwen Jiang, and Pao Li. 2024. "Accurate Discrimination of Mold-Damaged Citri Reticulatae Pericarpium Using Partial Least-Squares Discriminant Analysis and Selected Wavelengths" Foods 13, no. 23: 3856. https://doi.org/10.3390/foods13233856
APA StyleTan, H., Liu, Y., Tang, H., Fan, W., Jiang, L., & Li, P. (2024). Accurate Discrimination of Mold-Damaged Citri Reticulatae Pericarpium Using Partial Least-Squares Discriminant Analysis and Selected Wavelengths. Foods, 13(23), 3856. https://doi.org/10.3390/foods13233856

