The Establishment of Evaluation Models for the Cooking Suitability of Different Pork Muscles
Abstract
:1. Introduction
2. Materials and Methods
2.1. Materials
2.2. Experimental Methods
2.2.1. Pork Cooking
2.2.2. Sensory Evaluation Methods
2.2.3. Edible Quality Index Determination
2.2.4. Nutritional Quality Index Determination
2.3. Statistical Analysis
3. Results
3.1. Fresh Meat Quality Analysis for Different Muscles of Pork
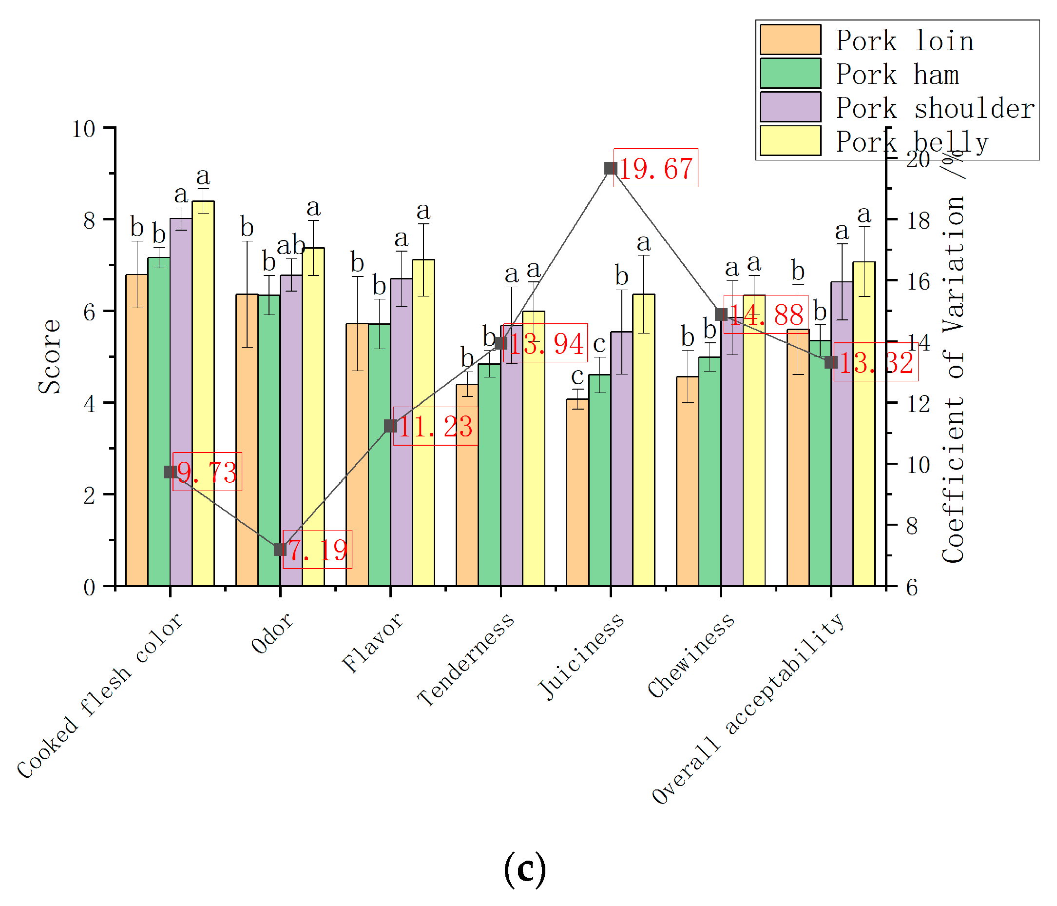
3.2. Sensory Analysis for the Cooking Quality of Different Muscles of Pork
3.3. Key Quality Index Screening and Evaluation Model Construction
3.3.1. Principal Component Analysis
3.3.2. Cluster Analysis
3.3.3. Correlation Analysis
3.3.4. Screening of Key Quality Indicators
3.3.5. Model Construction and Suitability Evaluation
3.4. Verification of the Comprehensive Quality Evaluation Equation for Different Muscles of Pork
4. Conclusions
Supplementary Materials
Author Contributions
Funding
Institutional Review Board Statement
Informed Consent Statement
Data Availability Statement
Acknowledgments
Conflicts of Interest
References
- Yu, W.; Jensen, J.D. Sustainability implications of rising global pork demand. Anim. Front. 2022, 12, 56–60. [Google Scholar] [CrossRef] [PubMed]
- OECD; Food and Agriculture Organization. OECD-FAO Agricultural Outlook 2022–2031; OECD Publishing: Paris, France, 2022. [Google Scholar]
- Tongyu, Y.; Zuli, W.; Xiaohong, L.; Shuihua, X.; Haifeng, Z. Development of the world pig industry in 2021 and Trends in 2022. Swine Ind. Sci. 2022, 39, 34–38. Available online: https://kns.cnki.net/kcms/detail/detail.aspx?FileName=TJXM202202013&DbName=CJFQ2022 (accessed on 25 February 2022).
- Ruihua, W.; Wanzhou, J.; Qian, W.; Jianchu, C.; Xingqian, Y.; Donghong, L. Effects of Different Cooking Methods on Lipid Oxidation and Volatile Compound Profile of Pork. Mod. Food Sci. Technol. 2016, 32, 175–182+312. [Google Scholar] [CrossRef]
- Wei, L.; Min, C.; Yaqian, X.; Qian, Z.; Xing, Q.; Xiaoyan, Z.; Wenzheng, Z. Effects of roasting time on the volatile flavor compounds of Chinese roasted pork belly. Chin. Condiment 2021, 46, 54–58. [Google Scholar] [CrossRef]
- Ángel-Rendón, S.V.; Filomena-Ambrosio, A.; Hernández-Carrión, M.; Llorca, E.; Hernando, I.; Quiles, A.; Sotelo-Díaz, I. Pork meat prepared by different cooking methods. A microstructural, sensorial and physicochemical approach. Meat Sci. 2020, 163, 108089. [Google Scholar] [CrossRef]
- Hui, L.; Haifei, L.; Debao, W.; Nan, W.; Jiuru, H.; Rugang, T.; Xiao, W.; Meng, Z.; Ding, Y.; Chunxia, Z.; et al. Analysis of Physical-chemical Quality and Suitability Evaluation for Roast Processing of Beef Cuts from Different Parts of Simmental Cattle. Animal Husb. Feed. Sci. 2021, 42, 97–101. [Google Scholar] [CrossRef]
- Wanming, H. Study on the Quality Characteristics and Suitability of Processing Traditional Beef Products in Different Parts of Simmental Hybrid Cattle. Master’s Thesis, Henan Agricultural University, Zheng Zhou, China, 2020. [Google Scholar] [CrossRef]
- Gaiming, Z.; Shanshan, L.; Wenming, C.; Chaozhi, Z.; Jiaqi, L.; Yangyang, J.; Feng, Y.; Xueyuan, B.; Xinglei, Q. Haracteristics of different cuts of Xia-Nan beef and the suitability evaluation for beef jerky. Food Sci. 2021, 42, 80–89. [Google Scholar] [CrossRef]
- Liu, X.; You, J.; Cheng, K.; You, M.; Liu, D. Effects of Different Cooking Methods on Lipid Oxidation and Volatile Compound Profile of Pork. Food Sci. 2021, 42, 86–93. [Google Scholar] [CrossRef]
- Wang, K. Study on Processing Characteristics and Suitability Qinghai Plateau Yak Meat from Different Parts. Master’s Thesis, Henan Agricultural University, Zheng Zhou, China, 2020. [Google Scholar] [CrossRef]
- Song, J. Research on Processing Suitability of Different Parts of Hybrid Lamb between Bamei Sheep and Small Tailed Han Sheep. Master’s Thesis, Gansu Agricultural University, Lanzhou, China, 2016. Available online: https://kns.cnki.net/KCMS/detail/detail.aspx?dbname=CMFD201602&filename=1016902534.nh (accessed on 1 June 2016).
- Chao, H.; Meng, L.; Tingting, L.; Xue, P.; Jie, L.; Jinhui, Z. Comparison and analysis of the four methods of determining weights in multi-objective comprehensive evaluation. J. Hubei Univ. 2016, 38, 172–178. [Google Scholar]
- GB/T 22210-2008; Specification for Sensory Evaluation of Meat and Meat Products. Standardization Administration of China: Beijing, China, 2008.
- Wei, W.; Xudong, Z.; Xiaoyan, T.; Guanghong, Z. CN304650416S; Pig Color Grading Atlas; Intellectual Property Publishing House: Beijing, China, 2018. [Google Scholar]
- Wei, W.; Xudong, Z.; Xiaoyan, T.; Guanghong, Z. CN304612439S; Pork Marbling Grading Atlas; Intellectual Property Publishing House: Beijing, China, 2018. [Google Scholar]
- NY/T 2793-2015; Objective Evaluation Methods of Meat Edible Quality. Ministry of Agriculture of the People’s Republic of China: Beijing, China, 2015.
- GB 5009.5-2016; Determination of Protein in Food. National Food Safety Standard: Beijing, China, 2016.
- GB 5009.6-2016; Determination of Fat in Foods. National Food Safety Standard: Beijing, China, 2016.
- GB 5009.124-2016; Determination of Amino Acids in Food. National Food Safety Standard: Beijing, China, 2016.
- GB 5009.168-2016; Determination of Fatty Acids in Food. National Food Safety Standard: Beijing, China, 2016.
- Qianqian, G.; Xiaoyan, T.; Ting, T.; Junliang, Z. Comparative Study on the Umami Characteristics of Pork from Different Breeds. Meat Res. 2020, 34, 1–5. [Google Scholar] [CrossRef]
- GB 5009.128-2016; Determination of Cholesterol in Foods. National Food Safety Standard: Beijing, China, 2016.
- Li, H.; Xu, C.; Meng, F.; Yao, Z.; Fan, Z.; Yang, Y.; Meng, X.; Zhan, Y.; Sun, Y.; Ma, F.; et al. Genome-Wide Association Studies for Flesh Color and Intramuscular Fat in (Duroc × Landrace × Large White) Crossbred Commercial Pigs. Genes 2022, 13, 2131. [Google Scholar] [CrossRef]
- Zhang, D.; Li, H.; Emara, A.M.; Wang, Z.; Chen, X.; He, Z. Study on the mechanism of KCl replacement of NaCl on the water retention of salted pork. Food Chem. 2020, 332, 127414. [Google Scholar] [CrossRef] [PubMed]
- Coombs, C.E.; Holman, B.W.; Friend, M.A.; Hopkins, D.L. Long-term red meat preservation using chilled and frozen storage combinations: A review. Meat Sci. 2017, 125, 84–94. [Google Scholar] [CrossRef]
- Zhang, Y.; Zhang, Y.; Li, H.; Guo, T.; Jia, J.; Zhang, P.; Wang, L.; Xia, N.; Qian, Q.; Peng, H.; et al. Comparison of Nutrition and Flavor Characteristics of Five Breeds of Pork in China. Foods 2022, 11, 2704. [Google Scholar] [CrossRef]
- Jing, L.; Yuanyuan, Y.; Qingyu, Z.; Chaohua, T.; Yuchang, Q.; Junmin, Z. Research progress on the relationship between meat flavor precursors and flavor quality. Chin. J. Anim. Sci. 2019, 55, 1–7. [Google Scholar] [CrossRef]
- Daiwen, C.; Keying, Z.; Zuyu, H. The formation principle of pork quality characteristics. J. Sichuan Ag Ricultural Univ. 2002, 20, 60–66. [Google Scholar] [CrossRef]
- Cannata, S.; Engle, T.E.; Moeller, S.J.; Zerby, H.N.; Radunz, A.E.; Green, M.D.; Bass, P.D.; Belk, K.E. Effect of visual marbling on sensory properties and quality traits of pork loin. Meat Sci. 2010, 85, 428–434. [Google Scholar] [CrossRef]
- Yangyang, J.; Chaozhi, Z.; Gaiming, Z.; Huilin, W.; Jiaqi, L.; Shanshan, L.; Feng, Y.; Hang, L.; Mingshan, H. Effect of Different Beef Cuts on Quality of Dried Beef Slices. Meat Res. 2019, 33, 1–6. [Google Scholar] [CrossRef]
- Knecht, D.; Duzinski, K.; Jankowska-Makosa, A. Pork ham and belly quality can be estimated from loin quality measurements? Meat Sci. 2018, 145, 144–149. [Google Scholar] [CrossRef]
- Yechuan, H.; Hongjun, L.; Zhaomin, W.; Li, F. Comparison of Muscle Lipid Content and Fatty acid Composition among Different Positions of Rongchang Pork Carcass. Food Sci. 2011, 32, 216–220. [Google Scholar]
- Soncin, S.; Chiesa, L.M.; Cantoni, C.; Biondi, P.A. Preliminary study of the volatile fraction in the raw meat of pork, duck and goose. J. Food Compos. Anal. 2007, 20, 436–439. [Google Scholar] [CrossRef]
- Myers, A.J.; Scramlin, S.M.; Dilger, A.C.; Souza, C.M.; McKeith, F.K.; Killefer, J. Contribution of lean, fat, muscle color and degree of doneness to pork and beef species flavor. Meat Sci. 2009, 82, 59–63. [Google Scholar] [CrossRef] [PubMed]
- Yuan, Z. The Influence of Raw Meat Attributes on Quality of Meat Products. Master’s Thesis, Henan Agricultural University, Zheng Zhou, China, 2013. Available online: https://kns.cnki.net/KCMS/detail/detail.aspx?dbname=CMFD201401&filename=1014105488.nh (accessed on 1 June 2013).
- Khan, M.I.; Jo, C.; Tariq, M.R. Meat flavor precursors and factors influencing flavor precursors--A systematic review. Meat Sci. 2015, 110, 278–284. [Google Scholar] [CrossRef]
- Chang, C.; Wu, G.; Zhang, H.; Jin, Q.; Wang, X. Deep-fried flavor: Characteristics, formation mechanisms, and influencing factors. Crit. Rev. Food Sci. Nutr. 2020, 60, 1496–1514. [Google Scholar] [CrossRef]
- Whitfield, F.B. Volatiles from interactions of Maillard reactions and lipids. Crit. Rev. Food Sci. Nutr. 1992, 31, 1–58. [Google Scholar] [CrossRef]
- Zhou, Y.; Xie, F.; Zhou, X.; Wang, Y.; Tang, W.; Xiao, Y. Effects of Maillard reaction on flavor and safety of Chinese traditional food: Roast duck. J. Sci. Food Agric. 2016, 96, 1915–1922. [Google Scholar] [CrossRef]
- Li, C.; Wang, D.; Dong, H.; Xu, W.; Gao, F.; Zhou, G.; Zhang, M. Effects of different cooking regimes on the microstructure and tenderness of duck breast muscle. J. Sci. Food Agric. 2013, 93, 1979–1985. [Google Scholar] [CrossRef]
- Sasaki, K.; Motoyama, M.; Narita, T.; Hagi, T.; Ojima, K.; Oe, M.; Nakajima, I.; Kitsunai, K.; Saito, Y.; Hatori, H.; et al. Characterization and classification of Japanese consumer perceptions for beef tenderness using descriptive texture characteristics assessed by a trained sensory panel. Meat Sci. 2014, 96, 994–1002. [Google Scholar] [CrossRef]
- Xiying, Z.; Liangliang, Z.; Xuan, Z.; Zhaojun, L.; Jiaqi, Z.; Aiwen, J.; Rongyang, L.; Chengyu, L.; Chao, J.; Wangjun, W. Comparison of methods for measuring drip loss from pork and analysis of its correlation with meat quality traits. Anim. Husb. Vet. Med. 2020, 52, 40–44. Available online: https://kns.cnki.net/kcms/detail/detail.aspx?FileName=XMYS202006012&DbName=DKFX2020 (accessed on 9 June 2022).




| Indicators | Pork Loin | Pork Ham | Pork Shoulder | Pork Belly | Coefficient of Variation (%) |
|---|---|---|---|---|---|
| Flesh color | 3.31 ± 0.53 c | 3.88 ± 0.44 b | 4.79 ± 0.48 a | 4.01 ± 0.10 b | 15.30 |
| Elasticity | 3.94 ± 0.40 b | 4.57 ± 0.84 ab | 5.23 ± 0.44 a | 4.62 ± 0.41 ab | 11.54 |
| Marbling | 2.57 ± 0.27 b | 2.83 ± 0.53 b | 3.85 ± 0.42 a | 2.72 ± 0.28 b | 14.91 |
| L* | 52.25 ± 4.97 a | 46.62 ± 3.06 b | 46.12 ± 5.32 b | 45.65 ± 2.71 b | 6.48 |
| a* | 11.41 ± 1.25 b | 13.93 ± 3.07 b | 19.69 ± 2.82 a | 20.75 ± 3.64 a | 27.36 |
| b* | 3.16 ± 1.65 c | 4.14 ± 1.25 bc | 6.00 ± 1.49 ab | 6.53 ± 1.79 a | 31.78 |
| Drip loss (%) | 9.87 ± 1.98 a | 7.86 ± 1.85 b | 1.41 ± 1.07 c | 0.52 ± 0.24 c | 94.63 |
| Shearing force (kgf) | 5.25 ± 2.29 a | 5.70 ± 1.79 a | 4.11 ± 0.93 a | 4.26 ± 1.05 a | 15.92 |
| Protein (%) | 21.17 ± 0.43 a | 19.13 ± 1.16 b | 16.23 ± 1.24 c | 13.07 ± 1.66 d | 20.26 |
| Fat (%) | 1.44 ± 0.54 c | 2.00 ± 0.73 c | 13.57 ± 2.82 b | 34.90 ± 9.96 a | 120.57 |
| Cholesterol (mg/100 g) | 50.21 ± 1.61 c | 57.53 ± 2.55 b | 60.92 ± 2.36 a | 49.62 ± 2.51 c | 10.18 |
| UFA (%) | 58.02 ± 1.07 b | 60.12 ± 0.91 a | 57.19 ± 1.33 b | 61.21 ± 0.80 a | 3.14 |
| Inosinic acid (mg/100 g) | 226.55 ± 21.49 a | 171.50 ± 32.36 b | 92.66 ± 16.65 c | 94.74 ± 25.83 c | 44.30 |
| Flavored amino acid (g/100 g) | 9.49 ± 0.36 a | 8.85 ± 0.17 b | 6.7 ± 0.48 c | 5.27 ± 1.05 d | 25.71 |
| Indicators | PC1 | PC2 | PC3 | PC4 | Weight |
|---|---|---|---|---|---|
| Odor | 0.701 | 0.462 | −0.105 | 0.340 | 0.2162 |
| Flavor | 0.774 | 0.366 | 0.046 | 0.312 | 0.2298 |
| Tenderness | 0.921 | 0.168 | 0.096 | 0.11 | 0.2250 |
| Juiciness | 0.831 | 0.423 | −0.036 | 0.194 | 0.2335 |
| Chewiness | 0.900 | 0.298 | 0.121 | 0.145 | 0.2418 |
| Flesh color | 0.405 | −0.752 | −0.207 | 0.041 | −0.0277 |
| Elasticity | 0.311 | −0.603 | −0.121 | 0.387 | 0.0034 |
| Marbling | 0.274 | −0.754 | 0.230 | 0.289 | −0.0001 |
| L* | −0.291 | 0.375 | 0.639 | 0.392 | 0.0700 |
| a* | 0.816 | −0.165 | 0.178 | −0.085 | 0.1549 |
| b* | 0.616 | −0.116 | 0.494 | −0.053 | 0.1495 |
| Drip loss | −0.867 | 0.318 | 0.083 | 0.043 | −0.1264 |
| Shearing force | −0.368 | 0.016 | −0.666 | 0.44 | −0.0996 |
| Fat | 0.910 | 0.160 | −0.083 | −0.244 | 0.1820 |
| Cholesterol | −0.109 | −0.831 | 0.008 | 0.151 | −0.1165 |
| Protein | −0.914 | 0.076 | 0.099 | 0.241 | −0.1517 |
| Inosinic acid | −0.856 | 0.400 | 0.115 | 0.043 | −0.1111 |
| UFA | 0.356 | 0.491 | −0.546 | −0.018 | 0.0870 |
| Flavored amino acid | −0.925 | 0.090 | 0.051 | 0.187 | −0.1600 |
| Characteristic root | 9.181 | 3.551 | 1.614 | 1.055 | |
| Variance contribution rate (%) | 48.323 | 18.692 | 8.496 | 5.555 | |
| Cumulative variance contribution rate (%) | 48.323 | 67.015 | 75.511 | 81.066 |
| Indicators | PC1 | PC2 | PC3 | PC4 | Weight |
|---|---|---|---|---|---|
| Odor | 0.669 | 0.291 | 0.111 | 0.548 | 0.2073 |
| Flavor | 0.806 | 0.324 | 0.146 | 0.326 | 0.2243 |
| Tenderness | 0.889 | 0.304 | 0.025 | 0.046 | 0.2086 |
| Juiciness | 0.850 | 0.349 | 0.137 | 0.218 | 0.2272 |
| Chewiness | 0.926 | 0.247 | 0.014 | 0.042 | 0.2081 |
| Flesh color | 0.425 | −0.757 | −0.180 | −0.006 | −0.0196 |
| Elasticity | 0.338 | −0.594 | −0.046 | 0.361 | 0.0186 |
| Marbling | 0.333 | −0.711 | 0.326 | 0.285 | 0.0286 |
| L* | −0.300 | 0.383 | 0.666 | 0.178 | 0.0516 |
| a* | 0.821 | −0.128 | 0.159 | −0.090 | 0.1479 |
| b* | 0.631 | −0.057 | 0.463 | −0.143 | 0.1402 |
| Drip loss | −0.863 | 0.302 | 0.105 | 0.098 | −0.1147 |
| Shearing force | −0.357 | −0.018 | −0.539 | 0.623 | −0.0691 |
| Fat | 0.911 | 0.211 | −0.148 | −0.198 | 0.1715 |
| Cholesterol | −0.084 | −0.852 | 0.076 | 0.091 | −0.1001 |
| Protein | −0.920 | 0.028 | 0.159 | 0.200 | −0.1452 |
| Inosinic acid | −0.861 | 0.375 | 0.131 | 0.062 | −0.1065 |
| UFA | 0.314 | 0.474 | −0.596 | 0.044 | 0.0692 |
| Flavored amino acid | −0.923 | 0.052 | 0.106 | 0.188 | −0.1481 |
| Characteristic root | 9.282 | 3.293 | 1.615 | 1.255 | |
| Variance contribution rate (%) | 48.854 | 17.33 | 8.499 | 6.607 | |
| Cumulative variance contribution rate (%) | 48.854 | 66.184 | 74.683 | 81.289 |
| Indicators | PC1 | PC2 | PC3 | PC4 | PC5 | Weight |
|---|---|---|---|---|---|---|
| Cooked flesh color | 0.8380 | −0.0550 | 0.0610 | −0.0920 | 0.2750 | 0.1502 |
| Odor | 0.6060 | −0.3930 | 0.2260 | 0.2570 | 0.5250 | 0.0981 |
| Flavor | 0.7260 | −0.2270 | 0.1350 | 0.4210 | 0.3160 | 0.1379 |
| Tenderness | 0.8040 | −0.0410 | 0.0530 | 0.4120 | −0.3440 | 0.1620 |
| Juiciness | 0.8320 | −0.1080 | 0.1150 | 0.3020 | −0.3630 | 0.1578 |
| Chewiness | 0.8470 | −0.1420 | −0.0070 | 0.3580 | −0.1860 | 0.1523 |
| Flesh color | 0.5590 | 0.6350 | 0.2160 | −0.0440 | −0.0540 | 0.1653 |
| Elasticity | 0.4240 | 0.5580 | 0.1550 | 0.1080 | −0.1340 | 0.1408 |
| Marbling | 0.3980 | 0.7330 | −0.1150 | 0.1960 | 0.2240 | 0.1395 |
| L* | −0.3490 | −0.2550 | −0.5000 | 0.5850 | 0.0550 | −0.0798 |
| a* | 0.7840 | 0.0340 | −0.2870 | −0.2810 | 0.3010 | 0.0977 |
| b* | 0.5960 | 0.0020 | −0.5630 | −0.0540 | 0.2440 | 0.0583 |
| Drip loss | −0.9170 | −0.1450 | −0.0280 | 0.0740 | 0.0710 | −0.1655 |
| Shearing force | −0.3140 | 0.0210 | 0.7620 | 0.1450 | 0.2210 | 0.0111 |
| Fat | 0.8570 | −0.3590 | −0.0600 | −0.2460 | −0.0510 | 0.0917 |
| Cholesterol | 0.0380 | 0.8640 | 0.1000 | 0.0480 | 0.1590 | 0.0963 |
| Protein | −0.9050 | 0.1260 | 0.0210 | 0.2330 | 0.0890 | −0.1249 |
| Inosinic acid | −0.9080 | −0.2250 | −0.0440 | 0.1500 | 0.0570 | −0.1676 |
| UFA | 0.2720 | −0.5910 | 0.4500 | −0.2320 | −0.0040 | 0.0077 |
| Flavored amino acid | −0.9160 | 0.0990 | 0.0610 | 0.1960 | 0.1100 | −0.1288 |
| Characteristic root | 9.627 | 2.882 | 1.626 | 1.377 | 1.065 | |
| Variance contribution rate (%) | 48.135 | 14.412 | 8.129 | 6.883 | 5.325 | |
| Cumulative variance contribution rate (%) | 48.135 | 62.547 | 70.676 | 77.559 | 82.884 |
| Method of Cooking | Key Indicator | PCA Weight | Normalized Weight |
|---|---|---|---|
| Boiling | a* (X1) | 0.1549 | 0.1537 |
| Fat (X2) | 0.1820 | 0.1805 | |
| Odor (X3) | 0.2162 | 0.2145 | |
| Tenderness (X4) | 0.2250 | 0.2233 | |
| Flavor (X5) | 0.2298 | 0.2281 | |
| Scalding | a* (X1) | 0.1479 | 0.1541 |
| Fat (X2) | 0.1715 | 0.1787 | |
| Odor (X3) | 0.2073 | 0.2160 | |
| Tenderness (X4) | 0.2086 | 0.2174 | |
| Flavor (X5) | 0.2243 | 0.2337 | |
| Roasting | Flavor (X1) | 0.1379 | 0.1539 |
| Marbling (X2) | 0.1395 | 0.1557 | |
| Elasticity (X3) | 0.1408 | 0.1572 | |
| Cooked flesh color (X4) | 0.1502 | 0.1677 | |
| Tenderness (X5) | 0.1620 | 0.1808 | |
| Flesh color (X6) | 0.1653 | 0.1845 |
| Method of Cooking | Muscle | Y | Suitability |
|---|---|---|---|
| Boiling | Pork loin | 0.2774 | Unsuitable |
| Pork ham | 0.2967 | Unsuitable | |
| Pork shoulder | 0.5212 | Relatively suitable | |
| Pork belly | 0.7841 | The most suitable | |
| Scalding | Pork loin | 0.2602 | Relatively suitable |
| Pork ham | 0.2505 | Unsuitable | |
| Pork shoulder | 0.4965 | Relatively suitable | |
| Pork belly | 0.7449 | The most suitable | |
| Roasting | Pork loin | 0.1967 | Unsuitable |
| Pork ham | 0.2573 | Relatively suitable | |
| Pork shoulder | 0.4484 | The most suitable | |
| Pork belly | 0.4249 | The most suitable |
Disclaimer/Publisher’s Note: The statements, opinions and data contained in all publications are solely those of the individual author(s) and contributor(s) and not of MDPI and/or the editor(s). MDPI and/or the editor(s) disclaim responsibility for any injury to people or property resulting from any ideas, methods, instructions or products referred to in the content. |
© 2023 by the authors. Licensee MDPI, Basel, Switzerland. This article is an open access article distributed under the terms and conditions of the Creative Commons Attribution (CC BY) license (https://creativecommons.org/licenses/by/4.0/).
Share and Cite
Duan, S.; Tang, X.; Zhan, J.; Liu, S.; Zhang, Y. The Establishment of Evaluation Models for the Cooking Suitability of Different Pork Muscles. Foods 2023, 12, 742. https://doi.org/10.3390/foods12040742
Duan S, Tang X, Zhan J, Liu S, Zhang Y. The Establishment of Evaluation Models for the Cooking Suitability of Different Pork Muscles. Foods. 2023; 12(4):742. https://doi.org/10.3390/foods12040742
Chicago/Turabian StyleDuan, Shengnan, Xiaoyan Tang, Junliang Zhan, Suke Liu, and Yuhui Zhang. 2023. "The Establishment of Evaluation Models for the Cooking Suitability of Different Pork Muscles" Foods 12, no. 4: 742. https://doi.org/10.3390/foods12040742
APA StyleDuan, S., Tang, X., Zhan, J., Liu, S., & Zhang, Y. (2023). The Establishment of Evaluation Models for the Cooking Suitability of Different Pork Muscles. Foods, 12(4), 742. https://doi.org/10.3390/foods12040742
