Implications of Pulsed Electric Field Pre-Treatment on Goat Milk Pasteurization
Abstract
:1. Introduction
2. Materials and Methods
2.1. Milk Samples
2.2. Regeneration of Bacterial Cultures
2.3. Preparation of the Inoculum for Use in Inactivation Studies
2.4. Pulsed Electric Field Tests
2.5. Combined PEF and Milk Thermal Treatments
2.6. Cleaning-in-Place of Heat Exchanger Unit
2.7. Quantification of the Surviving Cells
2.8. Measurements of pH, Electrical Conductivity, Titratable Acidity (TA), Total Soluble Solids (TSS), and Viscosity in Goat Milk
2.9. Heat Treatment and PEF Energy Calculations
2.10. Data Analysis
3. Results and Discussion
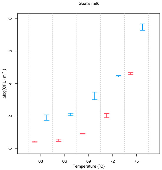
3.1. Microbial Inactivation
3.2. Chemical Analysis
3.3. Energy Considerations
4. Conclusions
Author Contributions
Funding
Data Availability Statement
Acknowledgments
Conflicts of Interest
References
- Nayik, G.A.; Jagdale, Y.D.; Gaikwad, S.A.; Devkatte, A.N.; Dar, A.H.; Ansari, M.J. Nutritional Profile, Processing and Potential Products: A Comparative Review of Goat Milk. Dairy 2022, 3, 622–647. [Google Scholar] [CrossRef]
- Morales, F.D.A.R.; Genís, J.M.C.; Guerrero, Y.M. Current status, challenges and the way forward for dairy goat production in Europe. Asian-Australas. J. Anim. Sci. 2019, 32, 1256–1265. [Google Scholar] [CrossRef] [PubMed]
- Ine, P.D. Available online: https://www.ine.pt/xportal/xmain?xpid=INE&xpgid=ine_indicadores&indOcorrCod=0000919&contexto=bd&selTab=tab2&xlang=pt (accessed on 20 January 2023).
- Hammam, A.R.A.; Salman, S.M.; Elfaruk, M.S.; Alsaleem, K.A. Goat Milk: Compositional, Technological, Nutritional, and Therapeutic Aspects. Asian J. Dairy Food Res. 2022, 41, 367–376. [Google Scholar] [CrossRef]
- Zhao, X.; Cheng, M.; Zhang, X.; Li, X.; Chen, D.; Qin, Y.; Wang, J.; Wang, C. The effect of heat treatment on the microstructure and functional properties of whey protein from goat milk. J. Dairy Sci. 2020, 103, 1289–1302. [Google Scholar] [CrossRef] [PubMed]
- Ballabio, C.; Chessa, S.; Rignanese, D.; Gigliotti, C.; Pagnacco, G.; Terracciano, L.; Fiocchi, A.; Restani, P.; Caroli, A. Goat milk allergenicity as a function of αS1-casein genetic polymorphism. J. Dairy Sci. 2011, 94, 998–1004. [Google Scholar] [CrossRef] [PubMed]
- Roncada, P.; Gaviraghi, A.; Liberatori, S.; Canas, B.; Bini, L.; Greppi, G.F. Identification of caseins in goat milk. Proteomics 2002, 2, 723–726. [Google Scholar] [CrossRef] [PubMed]
- Anema, S.G.; Stanley, D.J. Heat-induced, pH-Dependent Behaviour of Protein in Caprine Milk. Int. Dairy J. 1998, 8, 917–923. [Google Scholar] [CrossRef]
- Leconte, N.; Graet, Y.; Garem, A. Heat-induced coagulation of goat milk: Modification of the environment of the casein micelles by membrane processes. Lait 2002, 82, 673–681. [Google Scholar]
- Moatsou, G. Heat treatment of goat milk—A review. Int. Dairy J. 2023, 139, 105569. [Google Scholar] [CrossRef]
- Kędzierska-Matysek, M.; Litwińczuk, Z.; Florek, M.; Barłowska, J. The effects of breed and other factors on the composition and freezing point of cow’s milk in Poland. Int. J. Dairy Technol. 2011, 64, 336–342. [Google Scholar] [CrossRef]
- Prasantha, B.D.R.; Wimalasiri, K.M.S. Effect of HTST Thermal Treatments on End-Use Quality Characteristics of Goat Milk. Int. J. Food Sci. 2019, 2019, 1801724. [Google Scholar] [CrossRef] [PubMed]
- Lucey, J.A.; Teo, C.T.; Munro, P.A.; Singh, H. Microstructure, permeability and appearance of acid gels made from heated skim milk. Food Hydrocoll. 1998, 12, 159–165. [Google Scholar] [CrossRef]
- Park, Y.W.; Juárez, M.; Ramos, M.; Haenlein, G.F.W. Physico-chemical characteristics of goat and sheep milk. Small Rumin. Res. 2007, 68, 88–113. [Google Scholar] [CrossRef]
- Deshwal, G.K.; Tiwari, S.; Kadyan, S. Applications of emerging processing technologies for quality and safety enhancement of non-bovine milk and milk products. LWT 2021, 149, 111845. [Google Scholar] [CrossRef]
- Lee, G.J.; Han, B.K.; Choi, H.J.; Kang, S.H.; Baick, S.C.; Lee, D.-U. Inactivation of Escherichia coli, Saccharomyces cerevisiae, and Lactobacillus brevis in Low-fat Milk by Pulsed Electric Field Treatment: A Pilot-scale Study. Korean J. Food Sci. Anim. Resour. 2015, 35, 800–806. [Google Scholar] [CrossRef] [PubMed]
- Zhang, Z.-H.; Wang, L.-H.; Zeng, X.-A.; Han, Z.; Brennan, C.S. Non-thermal technologies and its current and future application in the food industry: A review. Int. J. Food Sci. Technol. 2019, 54, 1–13. [Google Scholar] [CrossRef]
- Sharma, P.; Oey, I.; Bremer, P.; Everett, D.W. Microbiological and enzymatic activity of bovine whole milk treated by pulsed electric fields. Int. J. Dairy Technol. 2018, 71, 10–19. [Google Scholar] [CrossRef]
- Sampedro, F.; McAloon, A.; Yee, W.; Fan, X.; Zhang, H.; Geveke, D. Cost analysis of commercial pasteurization of orange juice by pulsed electric fields. Innov. Food Sci. Emerg. Technol. 2013, 17, 72–78. [Google Scholar] [CrossRef]
- Arshad, R.N.; Abdul-Malek, Z.; Roobab, U.; Munir, M.A.; Naderipour, A.; Qureshi, M.I.; Bekhit, A.E.-D.; Liu, Z.-W.; Aadil, R.M. Pulsed electric field: A potential alternative towards a sustainable food processing. Trends Food Sci. Technol. 2021, 111, 43–54. [Google Scholar] [CrossRef]
- Zimmermann, U.; Pilwat, G.; Riemann, F. Dielectric breakdown of cell membranes. Biophys. J. 1974, 14, 881–899. [Google Scholar] [CrossRef]
- Arshad, R.N.; Abdul-Malek, Z.; Munir, A.; Buntat, Z.; Ahmad, M.H.; Jusoh, Y.M.; Bekhit, A.E.-D.; Roobab, U.; Manzoor, M.F.; Aadil, R.M. Electrical systems for pulsed electric field applications in the food industry: An engineering perspective. Trends Food Sci. Technol. 2020, 104, 1–13. [Google Scholar] [CrossRef]
- Soltanzadeh, M.; Peighambardoust, S.H.; Gullon, P.; Hesari, J.; Gullón, B.; Alirezalu, K.; Lorenzo, J. Quality aspects and safety of pulsed electric field (PEF) processing on dairy products: A comprehensive review. Food Rev. Int. 2022, 38, 96–117. [Google Scholar] [CrossRef]
- Guerrero-Beltrán, J.; Sepulveda, D.R.; Góngora-Nieto, M.M.; Swanson, B.; Barbosa-Cánovas, G.V. Milk thermization by pulsed electric fields (PEF) and electrically induced heat. J. Food Eng. 2010, 100, 56–60. [Google Scholar] [CrossRef]
- Alirezalu, K.; Munekata, P.E.S.; Parniakov, O.; Barba, F.J.; Witt, J.; Toepfl, S.; Wiktor, A.; Lorenzo, J.M. Pulsed electric field and mild heating for milk processing: A review on recent advances. J. Sci. Food Agric. 2020, 100, 16–24. [Google Scholar] [CrossRef] [PubMed]
- Ahmad, T.; Butt, M.Z.; Aadil, R.M.; Inam-Ur-Raheem, M.; Abdullah; Bekhit, A.E.; Guimarães, J.T.; Balthazar, C.F.; Rocha, R.S.; Esmerino, E.A.; et al. Impact of nonthermal processing on different milk enzymes. Int. J. Dairy Technol. 2019, 72, 481–495. [Google Scholar] [CrossRef]
- Sharma, P.; Bremer, P.; Oey, I.; Everett, D. Bacterial inactivation in whole milk using pulsed electric field processing. Int. Dairy J. 2014, 35, 49–56. [Google Scholar] [CrossRef]
- Walkling-Ribeiro, M.; Rodríguez-González, O.; Jayaram, S.; Griffiths, M.W. Microbial inactivation and shelf life comparison of ‘cold’ hurdle processing with pulsed electric fields and microfiltration, and conventional thermal pasteurisation in skim milk. Int. J. Food Microbiol. 2011, 144, 379–386. [Google Scholar] [CrossRef] [PubMed]
- McAuley, C.M.; Singh, T.K.; Haro-Maza, J.F.; Williams, R.; Buckow, R. Microbiological and physicochemical stability of raw, pasteurised or pulsed electric field-treated milk. Innov. Food Sci. Emerg. Technol. 2016, 38, 365–373. [Google Scholar] [CrossRef]
- Hariono, B.; Wijaya, R.; Kurnianto, M.; Sutrisno; Seminar, K.; Brilliantina, A. Quality of Goat’s Milk Exposed Ultraviolet and High Pulsed Electric Field. IOP Conf. Ser. Earth Environ. Sci. 2020, 411, 012052. [Google Scholar] [CrossRef]
- Buffa, M.; Guamis, B.; Saldo, J.; Trujillo, A.J. Changes in organic acids during ripening of cheeses made from raw, pasteurized or high-pressure-treated goats’ milk. LWT Food Sci. Technol. 2004, 37, 247–253. [Google Scholar] [CrossRef]
- Mohamad, A.; Shah, N.N.A.K.; Sulaiman, A.; Adzahan, N.M.; Aadil, R.M. Impact of the pulsed electric field on physicochemical properties, fatty acid profiling, and metal migration of goat milk. J. Food Process. Preserv. 2020, 44, e14940. [Google Scholar] [CrossRef]
- Mohamad, A.; Shah, N.N.A.K.; Sulaiman, A.; Adzahan, N.M.; Aadil, R.M. Pulsed electric field of goat milk: Impact on Escherichia coli ATCC 8739 and vitamin constituents. J. Food Process. Eng. 2021, 44, e13779. [Google Scholar] [CrossRef]
- García, D.; Gómez, N.; Mañas, P.; Condón, S.; Raso, J.; Pagán, R. Occurrence of sublethal injury after pulsed electric fields depending on the micro-organism, the treatment medium ph and the intensity of the treatment investigated. J. Appl. Microbiol. 2005, 99, 94–104. [Google Scholar] [CrossRef] [PubMed]
- AOAC. Official Methods of Analysis, 20th ed.; AOAC International: Rockville, MD, USA, 2016. [Google Scholar]
- Debon, J.; Prudêncio, E.S.; Petrus, J.C.C. Rheological and physico-chemical characterization of prebiotic microfiltered fermented milk. J. Food Eng. 2010, 99, 128–135. [Google Scholar] [CrossRef]
- Sampedro, F.; McAloon, A.; Yee, W.; Fan, X.; Geveke, D.J. Cost Analysis and Environmental Impact of Pulsed Electric Fields and High Pressure Processing in Comparison with Thermal Pasteurization. Food Bioprocess Technol. 2014, 7, 1928–1937. [Google Scholar] [CrossRef]
- Lvarez, I.; Condón, S.; Raso, J. Microbial Inativation by Pulsed Eletric Fields. In Pulsed Electric Fields Technology for the Food Industry; Food Engineering Series; Heinz, J.R.A.V., Ed.; Springer: Boston, MA, USA, 2006. [Google Scholar]
- Center for Food Safety and Applied Nutrition. Draft Guidance for Industry: Control of Listeria monocytogenes in Ready-To-Eat Foods; FDA: Rockville, MD, USA, 2017. [Google Scholar]
- Ells, T.C.; Speers, R.A.; Hansen, L.T. Insertional mutagenesis of Listeria monocytogenes 568 reveals genes that contribute to enhanced thermotolerance. Int. J. Food Microbiol. 2009, 136, 1–9. [Google Scholar] [CrossRef] [PubMed]
- Migeemanathan, S.; Bhat, R.; Wan-Abdullah, W.N.; Chye, F.Y. Influence of temperature variations on growth, injury survival and inactivation of Listeria monocytogenes in goat milk samples at laboratory scale. Int. J. Dairy Technol. 2014, 67, 437–447. [Google Scholar] [CrossRef]
- Wang, M.-S.; Zeng, X.-A.; Sun, D.-W.; Han, Z. Quantitative analysis of sublethally injured Saccharomyces cerevisiae cells induced by pulsed electric fields. LWT 2015, 60, 672–677. [Google Scholar] [CrossRef]
- Eckner, K.F. Fluorometric Analysis of Alkaline Phosphatase Inactivation Correlated to Salmonella and Listeria Inactiviation. J. Food Prot. 1992, 55, 960–963. [Google Scholar] [CrossRef]
- Walstra, P. Dairy Technology: Principles of Milk Properties and Processes, 1st ed.; CRC Press: Boca Raton, FL, USA, 1999. [Google Scholar]
- Lado, B.H.; Bomser, J.A.; Dunne, C.P.; Yousef, A.E. Pulsed electric field alters molecular chaperone expression and sensitizes Listeria monocytogenes to heat. Appl. Environ. Microbiol. 2004, 70, 2289–2295. [Google Scholar] [CrossRef]
- Franco, J.; Saravia, L.; Javi, V.; Caso, R.; Fernandez, C. Pasteurization of goat milk using a low cost solar concentrator. Sol. Energy 2008, 82, 1088–1094. [Google Scholar] [CrossRef]
- Gabas, A.L.; Cabral, R.A.F.; de Oliveira, C.A.F.; Telis-Romero, J. Density and rheological parameters of goat milk. Food Sci. Technol. 2012, 32, 381–385. [Google Scholar] [CrossRef]
- Kljajevic, N.V.; Tomasevic, I.B.; Miloradovic, Z.N.; Nedeljkovic, A.; Miocinovic, J.B.; Jovanovic, S.T. Seasonal variations of Saanen goat milk composition and the impact of climatic conditions. J. Food Sci. Technol. 2018, 55, 299–303. [Google Scholar] [CrossRef]
- Parmar, P.; Lopez-Villalobos, N.; Tobin, J.T.; Murphy, E.; McDonagh, A.; Crowley, S.V.; Kelly, A.L.; Shalloo, L. The Effect of Compositional Changes Due to Seasonal Variation on Milk Density and the Determination of Season-Based Density Conversion Factors for Use in the Dairy Industry. Foods 2020, 9, 1004. [Google Scholar] [CrossRef]



| DF | SS | MS | F Value | Pr (>F) | |
|---|---|---|---|---|---|
| Treatment | 9 | 38.97 | 4.330 | 147.4 | 2.73 × 10−16 |
| Residuals | 20 | 0.59 | 0.029 | ||
| Tukey HSD (95% confidence level) | |||||
| diff | lwr | upr | p adj | ||
| 64 PEF + HT-64 HT | 1.430 | 0.935 | 1.926 | 0.000 | |
| 72 HT-64 PEF + HT | 0.026 | −0.470 | 0.522 | 1.000 | |
| 72 PEF + HT-72 HT | 2.496 | 2.000 | 2.991 | 0.000 | |
| DF | SS | MS | F Value | Pr (>F) | |
|---|---|---|---|---|---|
| Treatment | 9 | 63.67 | 7.074 | 627 | <2 × 10−16 |
| Residuals | 20 | 0.23 | 0.011 | ||
| Tukey HSD (95% confidence level) | |||||
| diff | lwr | upr | p adj | ||
| 63 PEF + HT–63 HT | 1.450 | 1.143 | 1.757 | 0.000 | |
| 72 HT–63 PEF + HT | −0.043 | −0.350 | 0.264 | 0.999 | |
| 75 HT–69 HT | −0.053 | −0.360 | 0.254 | 0.999 | |
| 75 PEF + HT–75 HT | 2.143 | 1.836 | 2.450 | 0.000 | |
| Milk | Processing | Log (D) = f (T) | z Value |
|---|---|---|---|
| Cow | HT | R2 = 0.9609 | 12.7 °C |
| Cow | PEF + HT | R2 = 0.9442 | 22.4 °C |
| Goat | HT | R2 = 0.9841 | 11.7 °C |
| Goat | PEF + HT | R2 = 0.9877 | 24.9 °C |
| pH | Conductivity (mS/cm) | TA (% Lactic Acid) | TSS (°Bx) | Fat (%) | Protein (%) | Dry Extract (%) | Urea (mg/L) | Lactose (%) |
|---|---|---|---|---|---|---|---|---|
| 6.76 | 5.47 | 0.15 | 10.70 | 4.87 | 3,48 | 8.80 | 623.8 | 4.72 |
| ±0.029 | ±0.061 | ±0.003 | ±0.265 | ±0.720 | ±0.178 | ±0.180 | ±23.787 | ±0.021 |
| Milk Samples | pH | Electrical Conductivity (mS·cm−1) | TA | TSS (°Bx) | |
|---|---|---|---|---|---|
| (% Lactic Acid) | |||||
| Raw milk | 6.76 ± 0.03 | 5.47 ± 0.06 | 0.150 ± 0.003 | 10.70 ± 0.26 | |
| HT | 63 | 6.69 ± 0.02 | 5.20 ± 0.03 | 0.134 ± 0.004 | 10.57 ± 0,32 |
| 66 | 6.68 ± 0.05 | 4.80 ± 0.03 | 0.134 ± 0.005 | 10.20 ± 0.61 | |
| 69 | 6.67 ± 0.04 | 4.57 ± 0.02 | 0.136 ± 0.004 | 10.60 ± 0.20 | |
| 72 | 6.72 ± 0.04 | 4.07 ± 0.06 | 0.133 ± 0.003 | 10.57 ± 0.12 | |
| 75 | 6.68 ± 0.02 | 3.34 ± 0.02 | 0.135 ± 0.003 | 10.17 ± 0.25 | |
| PEF + HT | 63 | 6.67 ± 0.04 | 5.24 ± 0.03 | 0.134 ± 0.002 | 10.70 ± 0.26 |
| 66 | 6.67 ± 0.03 | 4.71 ± 0.02 | 0.133 ± 0.004 | 10.40 ± 0.20 | |
| 69 | 6.66 ± 0.02 | 4.45 ± 0.05 | 0.133 ± 0.003 | 10.13 ± 0.25 | |
| 72 | 6.70 ± 0.03 | 3.97 ± 0.04 | 0.135 ± 0.003 | 10.73 ± 0.21 | |
| 75 | 6.65 ± 0.02 | 3.45 ± 0.03 | 0.136 ± 0.001 | 10.30 ± 0.17 | |
| T (°C) | QPEF+HT (kJ∙h−1) | QT (kJ∙h−1) | QHT (kJ∙h−1) | |
|---|---|---|---|---|
| Goat’s milk | 63 | 878.015 | 1344.615 | 2214.126 |
| 66 | 992.539 | 1459.139 | 232.650 | |
| 69 | 1107.063 | 1573.663 | 2443.173 | |
| 72 | 1221.587 | 1688.187 | 2557.697 | |
| 75 | 1336.110 | 1802.710 | 2672.221 | |
| Cow’s milk | 63 | 893.807 | 1360.407 | 2253.947 |
| 66 | 1010.390 | 1476.990 | 2370.531 | |
| 68 | 1088.112 | 1554.712 | 2448.253 | |
| 70 | 1165.835 | 1632.435 | 2525.975 | |
| 75 | 1360.141 | 1826.741 | 2720.281 |
Disclaimer/Publisher’s Note: The statements, opinions and data contained in all publications are solely those of the individual author(s) and contributor(s) and not of MDPI and/or the editor(s). MDPI and/or the editor(s) disclaim responsibility for any injury to people or property resulting from any ideas, methods, instructions or products referred to in the content. |
© 2023 by the authors. Licensee MDPI, Basel, Switzerland. This article is an open access article distributed under the terms and conditions of the Creative Commons Attribution (CC BY) license (https://creativecommons.org/licenses/by/4.0/).
Share and Cite
Araújo, A.; Barbosa, C.; Alves, M.R.; Romão, A.; Fernandes, P. Implications of Pulsed Electric Field Pre-Treatment on Goat Milk Pasteurization. Foods 2023, 12, 3913. https://doi.org/10.3390/foods12213913
Araújo A, Barbosa C, Alves MR, Romão A, Fernandes P. Implications of Pulsed Electric Field Pre-Treatment on Goat Milk Pasteurization. Foods. 2023; 12(21):3913. https://doi.org/10.3390/foods12213913
Chicago/Turabian StyleAraújo, Alberta, Carla Barbosa, Manuel Rui Alves, Alexandre Romão, and Paulo Fernandes. 2023. "Implications of Pulsed Electric Field Pre-Treatment on Goat Milk Pasteurization" Foods 12, no. 21: 3913. https://doi.org/10.3390/foods12213913
APA StyleAraújo, A., Barbosa, C., Alves, M. R., Romão, A., & Fernandes, P. (2023). Implications of Pulsed Electric Field Pre-Treatment on Goat Milk Pasteurization. Foods, 12(21), 3913. https://doi.org/10.3390/foods12213913

