Discrimination of Minced Mutton Adulteration Based on Sized-Adaptive Online NIRS Information and 2D Conventional Neural Network
Abstract
:1. Introduction
2. Materials and Methods
2.1. Sample Preparation
2.2. Online NIRS System
2.3. Spectral Data Acquisition and Dataset Partition
2.4. Model Establishment and Evaluation
2.4.1. Modelling Methods
2.4.2. Classifiers
2.4.3. Model Evaluation
3. Results and Discussion
3.1. Spectral Data Analysis
3.2. Model Establishment and Evaluation
3.2.1. CNN-Softmax Models Establishment Based on Different Spectral Information
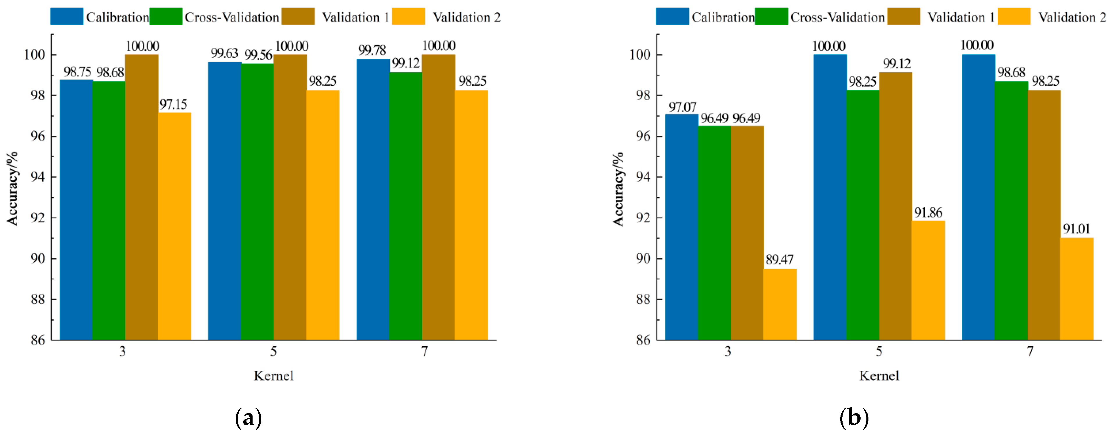
3.2.2. CNN-SVM Models Establishment Based on Different Spectral Information
3.2.3. CNN-ELM Models Establishment Based on Different Spectral Information
3.2.4. Comparison of the Classification Performance of CNN Models with Different Classifiers
4. Conclusions
Author Contributions
Funding
Institutional Review Board Statement
Informed Consent Statement
Data Availability Statement
Conflicts of Interest
References
- Zheng, X.C.; Li, Y.Y.; Wei, W.S.; Peng, Y.K. Detection of adulteration with duck meat in minced lamb meat by using visible near-infrared hyperspectral imaging. Meat Sci. 2019, 149, 55–62. [Google Scholar] [CrossRef] [PubMed]
- Lopez-Maestresalas, A.; Insausti, K.; Jaren, C.; Perez-Roncal, C.; Urrutia, O.; Beriain, M.J.; Arazuri, S. Detection of minced lamb and beef fraud using NIR spectroscopy. Food Control 2019, 98, 465–473. [Google Scholar] [CrossRef]
- Leng, T.; Li, F.; Xiong, L.A.; Xiong, Q.; Zhu, M.T.; Chen, Y. Quantitative detection of binary and ternary adulteration of minced beef meat with pork and duck meat by NIR combined with chemometrics. Food Control 2020, 113, 107203. [Google Scholar] [CrossRef]
- Sorensen, K.M.; Khakimov, B.; Engelsen, S.B. The use of rapid spectroscopic screening methods to detect adulteration of food raw materials and ingredients. Curr. Opin. Food Sci. 2016, 10, 45–51. [Google Scholar] [CrossRef]
- Kamal, M.; Karoui, R. Analytical methods coupled with chemometric tools for determining the authenticity and detecting the adulteration of dairy products: A review. Trends Food Sci. Technol. 2015, 46, 27–48. [Google Scholar] [CrossRef]
- Oliveira, M.M.; Cruz-Tirado, J.P.; Barbin, D.F. Nontargeted Analytical Methods as a Powerful Tool for the Authentication of Spices and Herbs: A Review. Compr. Rev. Food Sci. Food Saf. 2019, 18, 670–689. [Google Scholar] [CrossRef] [PubMed]
- Bhat, M.M.; Salahuddin, M.; Mantoo, I.A.; Adil, S.; Jalal, H.; Pal, M.A. Species-specific identification of adulteration in cooked mutton Rista (a Kashmiri Wazwan cuisine product) with beef and buffalo meat through multiplex polymerase chain reaction. Vet. World 2016, 9, 226–230. [Google Scholar] [CrossRef] [PubMed]
- Liu, W.W.; Wang, X.N.; Tao, J.; Xi, B.S.; Xue, M.; Sun, W.P. A Multiplex PCR Assay Mediated by Universal Primers for the Detection of Adulterated Meat in Mutton. J. Food Prot. 2019, 82, 325–330. [Google Scholar] [CrossRef] [PubMed]
- Wang, Q.; Li, L.; Ding, W.; Zhang, D.Q.; Wang, J.Y.; Reed, K.; Zhang, B.C. Adulterant identification in mutton by electronic nose and gas chromatography-mass spectrometer. Food Control 2019, 98, 431–438. [Google Scholar] [CrossRef]
- Kucha, C.T.; Liu, L.; Ngadi, M.; Gariepy, C. Anisotropic effect on the predictability of intramuscular fat content in pork by hyperspectral imaging and chemometrics. Meat Sci. 2021, 176, 108458. [Google Scholar] [CrossRef] [PubMed]
- Silva, L.C.R.; Folli, G.S.; Santos, L.P.; Barros, I.H.A.S.; Oliveira, B.G.; Borghi, F.T.; dos Santos, F.D.; Filgueiras, P.R.; Romao, W. Quantification of beef, pork, and chicken in ground meat using a portable NIR spectrometer. Vib. Spectrosc. 2020, 111, 103518. [Google Scholar] [CrossRef]
- Wold, J.P.; O’Farrell, M.; Tschudi, J.; Eskildsen, C.E.; Andersen, P.V.; Ottestad, S. In-line and non-destructive monitoring of core temperature in sausages during industrial heat treatment by NIR interaction spectroscopy. J. Food Eng. 2020, 277, 109921. [Google Scholar] [CrossRef]
- Bailes, K.L.; Meyer, R.G.; Piltz, J.W. Prediction of the intramuscular fat and protein content of freeze-dried ground meat from cattle and sheep using near-infrared spectroscopy (NIRS). Int. J. Food Sci. Technol. 2022, 57, 2249–2256. [Google Scholar] [CrossRef]
- Li, Q.L.; Wu, X.H.; Zheng, J.; Wu, B.; Jian, H.; Sun, C.Z.; Tang, Y.B. Determination of Pork Meat Storage Time Using Near-Infrared Spectroscopy Combined with Fuzzy Clustering Algorithms. Foods 2022, 11, 2101. [Google Scholar] [CrossRef] [PubMed]
- Wei, C.; Li, X. A near-infrared spectroscopy method for the detection of texture profile analysis of Litopeneo vannamei based on partial least squares regression. J. Food Process. Eng. 2022, e14140. [Google Scholar] [CrossRef]
- Barragán, W.; Aalhus, J.L.; Penner, G.; Dugan, M.E.R.; Juárez, M.; López-Campos, Ó.; Vahmani, P.; Segura, J.; Angulo, J.; Prieto, N. Authentication of barley-finished beef using visible and near infrared spectroscopy (Vis-NIRS) and different discrimination approaches. Meat Sci. 2021, 172, 108342. [Google Scholar] [CrossRef]
- Alamprese, C.; Amigo, J.M.; Casiraghi, E.; Engelsen, S.B. Identification and quantification of turkey meat adulteration in fresh, frozen-thawed and cooked minced beef by FT-NIR spectroscopy and chemometrics. Meat Sci. 2016, 121, 175–181. [Google Scholar] [CrossRef] [PubMed]
- Boiret, M.; Chauchard, F. Use of near-infrared spectroscopy and multipoint measurements for quality control of pharmaceutical drug products. Anal. Bioanal. Chem. 2017, 409, 683–691. [Google Scholar] [CrossRef] [PubMed]
- Duan, H.W.; Zhu, R.G.; Wang, L.; Xu, W.D.; Ma, B.X. Effects of Regions of Interest (ROIs) on Detection Models of Mutton pH Based on Hyperspectral Imaging. Spectrosc. Spect. Anal. 2016, 36, 1145–1149. [Google Scholar]
- Song, L.; Chen, E.; Zheng, T.; Li, J.; Wang, H.; Zhu, X. Blended fabric with integrated neural network based on attention mechanism qualitative identification method of near infrared spectroscopy. Spectrochim. Acta A 2022, 276, 121214. [Google Scholar] [CrossRef] [PubMed]
- Ravichandran, P.; Viswanathan, S.; Ravichandran, S.; Pan, Y.J.; Chang, Y.K. Estimation of grain quality parameters in rice for high-throughput screening with near-infrared spectroscopy and deep learning. Cereal Chem. 2022, 99, 907–919. [Google Scholar] [CrossRef]
- Chen, X.; Cheng, G.; Liu, S.; Meng, S.; Jiao, Y.; Zhang, W.; Xu, J. Probing 1D convolutional neural network adapted to near-infrared spectroscopy for efficient classification of mixed fish. Spectrochim. Acta A 2022, 279, 121350. [Google Scholar] [CrossRef] [PubMed]
- Padarian, J.; Minasny, B.; McBratney, A.B. Using deep learning to predict soil properties from regional spectral data. Geoderma Reg. 2019, 16, e00198. [Google Scholar] [CrossRef]
- Chen, Y.Y.; Wang, Z.B. Feature selection based convolutional neural network pruning and its application in calibration modeling for NIR spectroscopy. Chemom. Intell. Lab. Syst. 2019, 191, 103–108. [Google Scholar] [CrossRef]
- Li, L.Q.; Pan, X.P.; Feng, Y.C.; Yin, L.H.; Hu, C.Q.; Yang, H.H. Deep Convolution Network Application in Identification of Multi-Variety and Multi-Manufacturer Pharmaceutical. Spectrosc. Spect. Anal. 2019, 39, 3606–3613. [Google Scholar]
- Su, T.; Mu, S.; Shi, A.; Cao, Z.; Dong, M. A Cnn-Lsvm Model for Imbalanced Images Identification of Wheat Leaf. Neural Netw. World 2019, 29, 345–361. [Google Scholar] [CrossRef]
- Sharma, J.; Granmo, O.C.; Goodwin, M. Deep CNN-ELM Hybrid Models for Fire Detection in Images. In Artificial Neural Networks and Machine Learning—ICANN 4 October 2018, Pt Ⅲ; Springer: Cham, Switzerland, 2018; Volume 11141, pp. 245–259. [Google Scholar]
- Dixit, Y.; Casado-Gavalda, M.P.; Cama-Moncunill, R.; Cama-Moncunill, X.; Cullen, P.J.; Sullivan, C. Prediction of beef fat content simultaneously under static and motion conditions using near infrared spectroscopy. J. Near Infrared Spectrosc. 2016, 24, 353–361. [Google Scholar] [CrossRef]
- Dixit, Y.; Casado-Gavalda, M.P.; Cama-Moncunill, R.; Cullen, P.J.; Sullivan, C. Challenges in Model Development for Meat Composition Using Multipoint NIR Spectroscopy from At-Line to In-Line Monitoring. J. Food Sci. 2017, 82, 1557–1562. [Google Scholar] [CrossRef] [PubMed]
- Cortes, V.; Cubero, S.; Blasco, J.; Aleixos, N.; Talens, P. In-line Application of Visible and Near-Infrared Diffuse Reflectance Spectroscopy to Identify Apple Varieties. Food Bioprocess. Technol. 2019, 12, 1021–1030. [Google Scholar] [CrossRef]
- Galvao, R.K.; Araujo, M.C.; Jose, G.E.; Pontes, M.J.; Silva, E.C.; Saldanha, T.C. A method for calibration and validation subset partitioning. Talanta 2005, 67, 736–740. [Google Scholar] [CrossRef] [PubMed]
- Gong, W.F.; Chen, H.; Zhang, Z.H.; Zhang, M.L.; Wang, R.H.; Guan, C.; Wang, Q. A Novel Deep Learning Method for Intelligent Fault Diagnosis of Rotating Machinery Based on Improved CNN-SVM and Multichannel Data Fusion. Sensors 2019, 19, 1693. [Google Scholar] [CrossRef] [PubMed]
- Dyrmann, M.; Karstoft, H.; Midtiby, H.S. Plant species classification using deep convolutional neural network. Biosyst. Eng. 2016, 151, 72–80. [Google Scholar] [CrossRef]
- Nasiri, A.; Omid, M.; Taheri-Garavand, A. An automatic sorting system for unwashed eggs using deep learning. J. Food Eng. 2020, 283, 110036. [Google Scholar] [CrossRef]
- Zhao, H.T.; Feng, Y.Z.; Chen, W.; Jia, G.F. Application of invasive weed optimization and least square support vector machine for prediction of beef adulteration with spoiled beef based on visible near-infrared (Vis-NIR) hyperspectral imaging. Meat Sci. 2019, 151, 75–81. [Google Scholar] [CrossRef] [PubMed]
- Kuswandi, B.; Cendekiawan, K.A.; Kristiningrum, N.; Ahmad, M. Pork adulteration in commercial meatballs determined by chemometric analysis of NIR Spectra. J. Food Meas. Charact. 2015, 9, 313–323. [Google Scholar] [CrossRef]
- Morsy, N.; Sun, D.W. Robust linear and non-linear models of NIR spectroscopy for detection and quantification of adulterants in fresh and frozen-thawed minced beef. Meat Sci. 2013, 93, 292–302. [Google Scholar] [CrossRef]
- Pu, H.B.; Kamruzzaman, M.; Sun, D.W. Selection of feature wavelengths for developing multispectral imaging systems for quality, safety and authenticity of muscle foods—A review. Trends Food Sci. Technol. 2015, 45, 86–104. [Google Scholar] [CrossRef]








| Model | Kernel Size | Calibration Set | Cross-Validation Set | Validation Set 1 | Validation Set 2 | |
|---|---|---|---|---|---|---|
| Acc (%) | Acc (%) | Acc (%) | Acc (%) | Time (s) | ||
| CNN-ELM | 7 | 100.00 | 99.93 | 100.00 | 99.56 | 0.02 |
| CNN-SVM | 7 | 100.00 | 100.00 | 98.45 | 98.46 | 0.09 |
| CNN-Softmax | 5 | 99.63 | 99.56 | 100.00 | 98.25 | 1.89 |
Publisher’s Note: MDPI stays neutral with regard to jurisdictional claims in published maps and institutional affiliations. |
© 2022 by the authors. Licensee MDPI, Basel, Switzerland. This article is an open access article distributed under the terms and conditions of the Creative Commons Attribution (CC BY) license (https://creativecommons.org/licenses/by/4.0/).
Share and Cite
Bai, Z.; Gu, J.; Zhu, R.; Yao, X.; Kang, L.; Ge, J. Discrimination of Minced Mutton Adulteration Based on Sized-Adaptive Online NIRS Information and 2D Conventional Neural Network. Foods 2022, 11, 2977. https://doi.org/10.3390/foods11192977
Bai Z, Gu J, Zhu R, Yao X, Kang L, Ge J. Discrimination of Minced Mutton Adulteration Based on Sized-Adaptive Online NIRS Information and 2D Conventional Neural Network. Foods. 2022; 11(19):2977. https://doi.org/10.3390/foods11192977
Chicago/Turabian StyleBai, Zongxiu, Jianfeng Gu, Rongguang Zhu, Xuedong Yao, Lichao Kang, and Jianbing Ge. 2022. "Discrimination of Minced Mutton Adulteration Based on Sized-Adaptive Online NIRS Information and 2D Conventional Neural Network" Foods 11, no. 19: 2977. https://doi.org/10.3390/foods11192977
APA StyleBai, Z., Gu, J., Zhu, R., Yao, X., Kang, L., & Ge, J. (2022). Discrimination of Minced Mutton Adulteration Based on Sized-Adaptive Online NIRS Information and 2D Conventional Neural Network. Foods, 11(19), 2977. https://doi.org/10.3390/foods11192977
