Abstract
Dietary components, such as lactic acid bacteria (LAB), bovine colostrum, apple production by-products, and essential oils, can favorably alter the host immune system and gut microbiota, however, their cumulative effect as multicomponent nutraceutical supplement has not been investigated. Therefore, the present study is the first one to evaluate a combination of LAB, bovine colostrum, dehydrated apple pomace, and essential oils for their immunomodulatory and prebiotic properties in the swine model. This study shows that supplementary feeding of pigs using multicomponent nutraceutical resulted in a statistically significant decrease in proportions of T cytotoxic and double-positive (CD4+CD8+low) cells within the CD3+ cell population at 28 DPI, compared to the beginning of the experiment (0DPI). Conversely, a statistically significant increase in proportions of B cells (accompanied by an increase in IgG concentration) and macrophage/monocyte cells within viable cell population at 28 DPI, compared to the beginning of the experiments, was observed. Furthermore, changes in the bacterial composition of gut microbiota in pigs fed with multicomponent nutraceutical changed significantly, with a 1.78 times higher number of probiotic strains (Bifidobacterium, Streptococcus, Faecilbacterium) at the end of the experiment, compared to control group animals. This study shows a positive effect of the nutraceutical formula used on the changes of gut microbiota by facilitating an increase in probiotic bacteria strains and possible anti-inflammatory properties.
1. Introduction
Nutraceuticals are dietary supplements containing concentrated bioactive compounds found in a variety of foods and presented in a pharmaceutical form, allowing the recipient of a nutraceutical to receive dosages of bioactive compounds that would normally not be possible when consuming regular quantities of food [1]. Nutraceuticals are used for health benefits they provide including, prevention, treatment of diseases, and immunomodulatory properties. A variety of different dietary supplements has also been found to have a significant effect on gut [2] and airway [3] microbiota of tested individuals, associated with resulting health benefits.
Probiotics are defined as living microorganisms that, when administered, provide the host with health benefits [4]. Despite a wide variety of mechanisms of action, some probiotic strains have been shown to provide a favorable environment for gut microbiota, in turn ameliorating symptoms of infectious diarrhea, antibiotic-associated diarrhea, irritable bowel syndrome (IBS), and other conditions of the digestive tract [5]. In addition, immunomodulatory effects of probiotics have been demonstrated, with a resulting impact on a diverse group of conditions, including atopic dermatitis, inflammatory bowel disease, rheumatoid arthritis, and autoimmune encephalomyelitis [6,7,8]. In particular, probiotic strains belonging to genus Lactobacillus have been widely investigated for their immunomodulatory properties, including suppression of T helper 2 (Th2) cell-produced cytokines (IL-4 and IL-5), increase in CD4+ and CD8+ cell counts and levels of IL-12 and INF-γ, and improvements to phagocytic activity [9,10,11,12]. L. casei has been found to increase the number of CD4, SWC3, CD11R1, and MHCII expressing mononuclear and dendritic cells in both intestinal tissue and the blood of pigs [13]. Probiotic-dependent alterations of microbiota have not yet been extensively studied. To date, the effects of various Lactobacillus strains on the stability of fecal microbiota have been investigated, indicating the positive effect of probiotic strains on the index of evenness. In particular, L. casei subsp. rhamnosus, when used as a probiotic, has been associated with the elevated abundance of Lactobacillaceae and Bifidobacteriaceae species known to be beneficial in ameliorating gastrointestinal atopy, IBS, and other gastrointestinal disorders [14].
Bovine colostrum as a supplement has been known to have adipogenic, antioxidant, and anti-inflammatory properties, associated with a wide variety of biologically active molecules found in its composition [15]. In particular, immunoglobulins, lactoferrin, lysozyme, antioxidants, oligopolysaccharides, proline-rich peptides, and cytokines have been associated with antimicrobial and immunomodulatory effects [16]. Bovine colostrum is rich in immunoglobulins, particularly immunoglobulin G (IgG), which acts as a protective agent for a newborn calf when colostrum is ingested in sufficient quantities. Recently, hyperimmune bovine colostrum, resulting from stimulation of colostrum-producing cow with the desired antigen in order to produce high levels of colostral immunoglobulins against the target antigen, has been generated and used as a preventative agent against pathogenic species of Clostridium, E. coli, and Shigella [17]. Lactoferrin, another biologically active agent found in colostrum, is responsible for a wide variety of immunomodulatory properties, including suppression of proinflammatory cytokines and type I interferons, promotion of morphological changes of dendritic cells, suppressed production of T cell-produced cytokines, and enhanced B cell antigen presentation [18]. In addition, bovine colostrum contains prebiotic compounds, such as fructo-oligosaccharides, galacto-oligosaccharides, gangliosides, and nucleosides that promote the growth of gut microbiota, particularly varieties of Bifidobacteriacea and Lactobacillaceae family [16].
The variety of phytochemicals in vegetables and fruit, particularly phenols and carotenoids, has been associated with a range of health benefits. Apple procyanidins, in particular, have been associated with protective properties against gastrointestinal disorders, such as inflammatory bowel disease and food allergy-associated sensitization [19,20]. Oral administrations of apple procyanidins ameliorate inflammatory bowel disease symptoms via different immunomodulatory pathways: by suppressing the production of intestinal epithelial cell-produced IL-8, in turn suppressing neutrophil recruitment into intestinal tissue, and by reducing the production of INF-γ by CD4+ and CD8+ cells [21]. Other phenols found in apples, such as condensed tannins, have also been associated with immunomodulatory properties, such as suppression of T helper 17 cells, in turn delaying the development of rheumatoid arthritis [22]. The positive effect of phenols and other biologically active compounds found in apples have also been associated with changes in host microbiota and has been demonstrated in both in vitro [23] and in vivo studies [24,25].
Essential oils have been reported for their beneficial biological functions including, antimicrobial, antiviral, anti-inflammatory, and antioxidant effects [26]. Most essential oils contain chemical compounds that belong to terpenoids and phenylpropanoids. Oregano is a rich source of active compounds such as polyphenols (flavonoids and phenolic acids), essential oil (with carvacrol and/or thymol, linalool, and p-cymene), triperpenoids, and sterols [27]. This herb has been suggested to have various beneficial properties for health ranging from, anti-inflammatory, antioxidant, antispasmodic, to anti-urolithic, analgesic, and antimicrobial effects [27,28]. Mint essential oil consisted of high amounts of menthol, menthone, 1,8-cineole, carvone, and other compounds [26,29]. Mint essential oil was tested to be an effective treatment of IBS in humans. This effect is considered to be associated with the antioxidant and anti-inflammatory activities of mint essential oil [26]. Thymus vulgaris herb is a rich source of essential oil. The main compounds of Thymus essential oil are carvacrol, thymol, geraniol, linalool, and gamma-terpineol [30,31]. The main components of Thyme essential oil are responsible for antimicrobial, antiviral, antioxidant, and anti-inflammatory properties [31,32]. Thyme essential oil shows beneficial effects for gastric and intestinal environments [33]. Thyme essential oil, which predominant compounds are thymol and carvacrol, increase the activity of pancreatic trypsin, lipase and protease, show spasmolytic effects, reduce intestinal infections of gram-positive and gram-negative bacteria, fungi and yeasts, hookworms, ascarids, and decrease the edema in various types of inflammation [33]. Thyme essential oil could be used for curing ulcerative colitis and Crohn’s disease [33].
In the present study, we test the effect of a nutraceutical prepared from a combination of 4 components in vivo by periodic oral administrations to pigs as a feed supplement and evaluate its immunomodulatory and prebiotic properties by comparing changes in immune cell phenotype populations and diversity of fecal microbiota between tested and negative control animal groups. To date, the combination of components tested in the present study has not been evaluated in vitro or in vivo. Moreover, some of the components and similar active substances have been tested separately in mice and rat models, however, only limited data is available from trials using swine as in vivo models. Therefore, the present study is the first one to evaluate a combination of lactic acid bacteria (LAB), bovine colostrum, dehydrated apple pomace, and essential oils for their immunomodulatory and prebiotic properties in the swine model.
2. Materials and Methods
2.1. Nutraceutical Composition
Nutraceutical used in this study consists of 4 components: (A) LAB strains (L.uvarum LUHS245 and L.casei LUHS210), multiplied in whey and lyophilized as previously described [34]. The average viable LAB count in a lyophilized powder form was 8.89 log10 cfu/g. LAB strains used were selected based on their antimicrobial properties as previously described [35]. Briefly, LAB antimicrobial properties were measured based on the diameters of pathogenic and opportunistic bacteria inhibition zones generated by tested LAB strains. Inhibition zone diameter of >10 mm against all tested bacteria was chosen as a qualifying criterion for LAB strain viability as a nutraceutical component. (B) Bovine colostrum fermented using LUH245 strains and prepared as previously described [34]. (C) Dehydrated apple pomace (DAP) selected based on their antimicrobial properties against pathogenic and opportunistic strains as previously described [36]. Briefly, berry and fruit by-product antimicrobial properties were measured based on the diameter of pathogenic and opportunistic bacteria inhibition zones they generated [36]. DAP was, in turn, chosen as the most viable candidate as a nutraceutical component. (D) Oregano extract (containing 131.84 mg/mL carvacrol), mint essential oil (containing 10.22 mg/mL menthol) and thyme essential oil (containing 404.0 mg/mL thymol and 9.73 mg/mL carvacrol) (quantity ratios 98.95: 0.312: 0.738) in a tablet form. Tablets were produced using the single punch eccentric tablet press Erweka RTP-D8 (Langen, Germany) (the press was speed 4 units, the compression force was 5 N) [37]. Daily supplement preparations were prepared from 10 g of components A, B, and C and a single tablet of component D.
2.2. In Vivo Experiment Design
16 6-week-old white breed pigs with an initial weight of 18.1 ± 1.6 kg were kept under specific pathogen-free conditions (SPF) in the animal facility at the Center of Animal Research of Lithuanian University of Health Sciences. Animals were separated into four groups of four pigs and housed in separate stalls. Groups 1 and 2 consisted of female and male controls, respectively, while groups 3 and 4 consisted of female and male test animals, respectively. All animals were fed conventional concentrated feed, while groups 3 and 4 were fed daily 30 g of supplement preparation with a mixed in essential oil tablet in addition to the regular feed for the duration of the experiment. The experiment was terminated after four weeks; all animals were euthanized and necropsied. All experimental procedures were carried out according to the requirements of animal welfare (National Food and Veterinary Risk Assessment Institute of Lithuania Permission Issue Number G2-123).
2.3. Sample Collection
Whole blood and fecal samples were collected prior to specialized feeding and on days 7 (fecal sample only), 14, and 28 after experiment initiation. All collected blood samples were used for IgA, IgG, and IgM concentration measurements and flow cytometric analysis, while fecal samples were used for microbiome analysis.
2.4. Cholesterol, Immunoglobulin and Weight Gain Measurements
Cholesterol and immunoglobulin measurements were carried out using AU-680 Clinical Chemistry Analyzer (Backman Coulter, Brea, CA, USA) at 28 DPI. For IgG, IgA, and IgM measurements, goat anti-IgG, goat anti-IgA, and goat anti-IgM antisera were used, respectively, according to the manufacturer’s instructions. Total and high-density lipoprotein (HDL) cholesterol measurements were carried out using the cholesterol esterase protocol, according to the manufacturer’s instructions. Weight measurements were carried out at 7, 14, and 28 DPI.
2.5. Peripheral Blood Mononuclear Cell Isolation, Cell Staining and Flow Cytometry
Peripheral blood mononuclear cells (PBMCs) were isolated from whole blood samples using Ficoll-Paque PLUS (GE Healthcare, Chicago, IL, USA) using density gradient centrifugation. PBMCs were suspended in phosphate buffer (PBS, 1×, pH 7.2; Gibco, Grand Island, NY, USA) and concentrations of 4 × 106 cells/mL were determined. PBMCs were used for staining immediately after isolation. Cell staining was performed using fluorochrome-conjugated antibodies: fluorescein isothiocyanate (FITC) labeled anti-porcine CD4, allophycocyanin (APC) labeled anti-porcine CD8α, phycoerythrin (PE) labeled anti-porcine CD3, PE-Cyanine7 labeled anti-porcine CD2, FITC labeled anti-porcine CD14, and AlexaFluor 674 labeled anti-porcine CD21. Stained cells were analyzed using a flow cytometer (FACS Calibur, BD Biosciences, Franklin Lakes, NJ, USA) by acquiring 10,000 events for each experiment and analyzing data using FlowJo v10 (Tree Star) software.
CD3+ and CD3− cell gates were established within the viable cell population. CD4− CD8+ (phenotype that mostly contains T cytotoxic cells), CD4+ CD8+low (phenotype that mostly contains memory T cells), and CD4+ CD8− (phenotype that mostly contains T helper cells) gates were established within the CD3+ cell population. All T cell population sizes were expressed as proportions of CD3+ cells and total cells. CD3−CD21+ (phenotype that mostly contains B cells) and CD3−CD4− CD8+low (phenotype that mostly contains NK cells) gates were established within the viable cell population and expressed as a proportions of the total cells. CD14+ (phenotype that mostly contains macrophage/monocyte cells) gate was established within the viable cell population and expressed as proportion of total cell population. The gating strategy used in this study is summarized in Figure 1. CD8 was designated as either CD8+ or CD8+low based on fluorescence intensity of >102 or <102, respectively.
Figure 1.
Gating strategy applied to flow cytometry data. (A) Viable cells were selected based on FSC and SSC, followed by establishing a gate of CD3+ and CD3− gates. Further gates based on CD4 and CD8 markers were established within CD3+ gate. (B) Gates based on CD3 and CD8, CD21, CD14 markers were established within viable cell gate.
2.6. Metagenomics and Microbial Profiling Analysis
DNA from each fecal sample was purified using a fecal DNA MiniPrep kit (D6010, Zymo Research, Irvine, CA, USA) according to the manufacturer‘s instructions. Obtained DNA was then purified using DNA Clean & Concentrator-25 kit (Zymo Research, Irvine, CA, USA) to produce DNA concentrations of at least 50 ng/μL. Metagenomic libraries were prepared, sequenced, and assembled in an independent service laboratory (Baseclear, Leiden, The Netherlands). Short paired sequence reads were generated using the MiSeq system (Illumina, San Diego, CA, USA) and converted to FASTQ files using BCL2FASTQ pipeline software (Illumina, San Diego, CA, USA). Quality trimming was applied based on Phred quality scores. Subsequently, the Illumina paired reads were merged into single reads (so-called ‘pseudoreads’) through sequence overlap. Chimeric pseudoreads were removed, and the remaining reads were aligned to the combination of GreenGenes and RDP 16S gene databases. Based on the alignment scores of pseudoreads, the taxonomic classes were assigned by associating each pseudoread to the best matching Operational Taxonomic Unit (OTU).
2.7. Statistical Analysis
Paired comparisons of flow cytometric data were performed using a two-tailed Wilcoxon rank-sum test. Differences between metagenomic data groups were assessed using the Z-Test Calculator for 2 population proportions (Social Science Statistics, 2020). p values < 0.05 were considered to be statistically significant. Standard deviations were calculated for all descriptive analyses.
3. Results
3.1. Changes in CD3+ T Cell Population Phenotypes
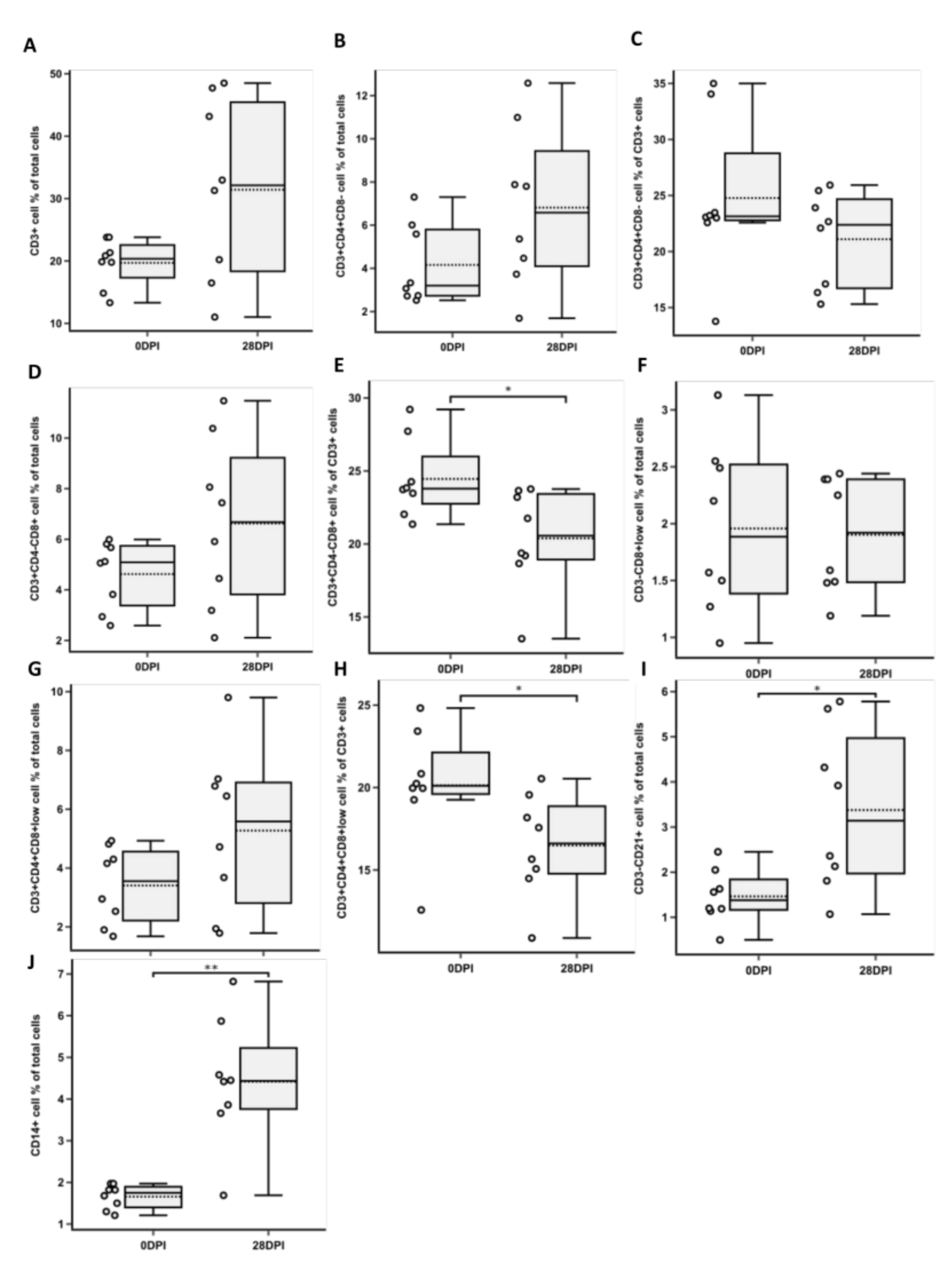
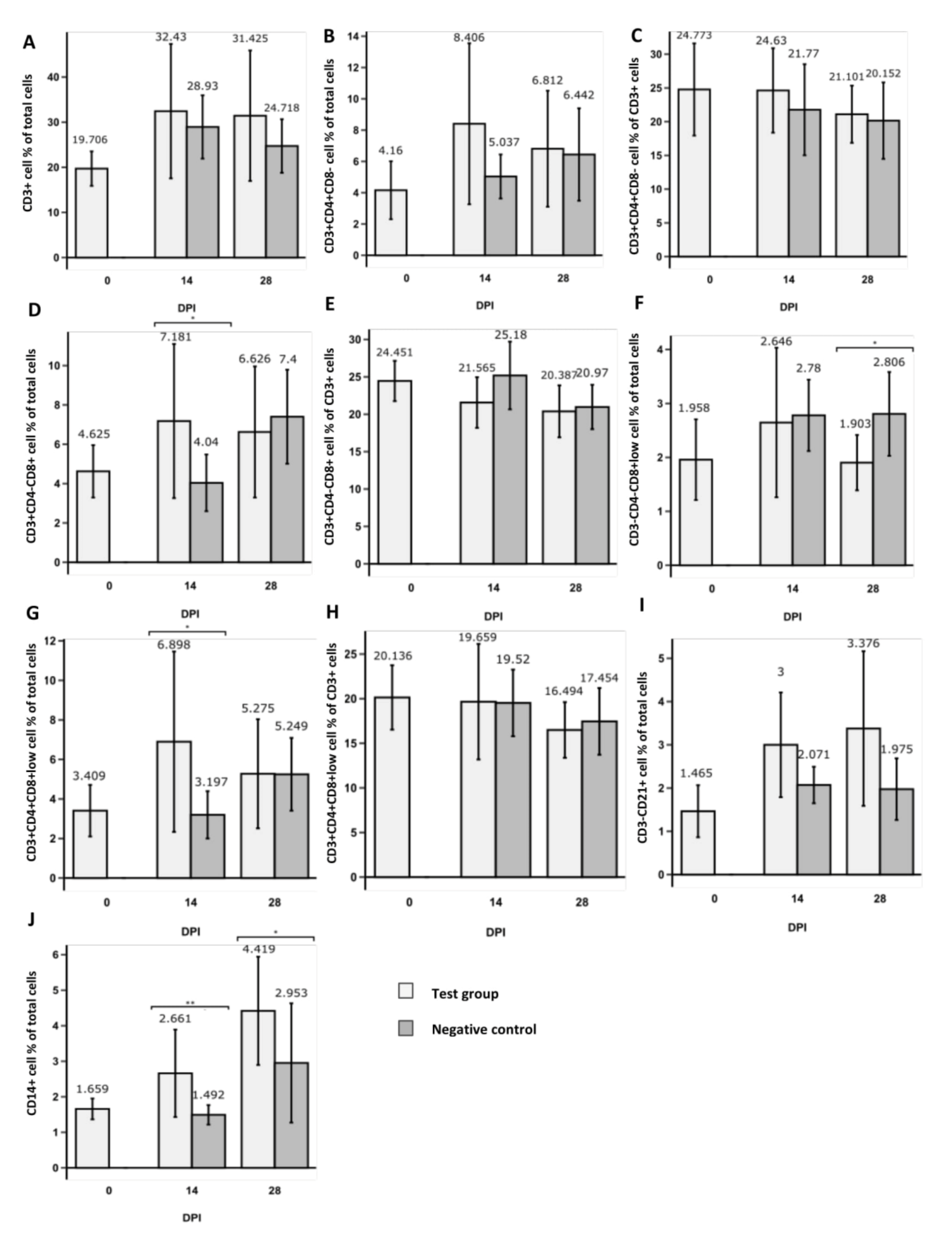
Mean values of CD3+ cell frequency were comparable between test and negative control groups and between 0 DPI (days post-initiation) and 28 DPI groups (Figure 2). No statistically significant differences in frequencies of CD3+CD4+CD8− cells within total tested cells or CD3+ cells were observed between 0 DPI and 28 DPI groups (Figure 2B,C). No statistically significant differences in frequencies of CD3+CD4−CD8+ cells within total tested cells were observed between 0 DPI and 28 DPI groups (Figure 2D). However, a significant (p < 0.05) decrease in CD3+CD4−CD8+ cells was observed within CD3+ cells between 0 DPI and 28 DPI groups (Figure 2E). Similarly, a statistically significant (p < 0.05) decrease in CD3+CD4+CD8+low cells was observed within CD3+ cells between 0 DPI and 28 DPI groups (Figure 2H), but not within total tested cells (Figure 2G). Interestingly, a statistically significant increase (p < 0.05) was observed between tested and negative control group CD3+CD4−CD8+ cell frequencies within total cells 14 DPI (Figure 3D), but not within total cells 28 DPI and within CD3+ cell population (Figure 3D,E). Similarly, a statistically significant increase (p < 0.05) was observed between tested and negative control group CD3+CD4+CD8+low cell frequencies within total cells 14 DPI (Figure 3G), but not within total cells 28 DPI and within CD3+ cell population (Figure 3G,H).
Figure 2.
Immunophenotyping of cells obtained from pigs before (0DPI) and 28 days after (28DPI) supplementary feeding by flow cytometry. Box plots show the percentage (mean ± SD) of CD3+ cells (A), T helper cell (CD3+CD4+CD8−) proportion of total (B) and CD3+ (C) cells, T cytotoxic cell (CD3+CD4−CD8+) proportion of total (D) and CD3+ (E) cells, percentage of NK cells (CD3−CD4−CD8+low) (F), T memory cell (CD3+CD4+CD8+low) proportion of total (G) and CD3+ (H) cells, percentage of B cells (CD3−CD21+) (I), and percentage of macrophage/monocyte cells (CD14+) (J). Asterisks indicate statistical significance between groups based on two-tailed Wilcoxon rank sum test results (* p < 0.05; ** p < 0.005).
Figure 3.
Comparison between immune cell subpopulations of test animal and negative control groups obtained from pigs before (0DPI), 14 days (14DPI) and 28 days (28DPI) after supplementary feeding by flow cytometry. Bar plots show the percentage (mean ± SD) of CD3+ cells (A), T helper cell (CD3+CD4+CD8−) proportion of total (B) and CD3+ (C) cells, T cytotoxic cell (CD3+CD4−CD8+) proportion of total (D) and CD3+ (E) cells, percentage of NK cells (CD3−CD4−CD8+low) (F), T memory cell (CD3+CD4+CD8+low) proportion of total (G) and CD3+ (H) cells, percentage of B cells (CD3−CD21+) (I), and percentage of macrophage/monocyte cells (CD14+) (J). Asterisk indicates statistical significance between groups based on two-tailed Wilcoxon rank sum test results (* p < 0.05; ** p < 0.01).
3.2. Changes in NK and B Cell Populations
NK cell and B cell populations were gated within viable cell gates. No statistical difference in mean frequency values of CD3−CD4−CD8+low cells was observed between 0 DPI and 28 DPI groups (Figure 2F). However, a statistically significant decrease (p < 0.05) of the aforementioned cells between tested and negative control groups was observed at 28 DPI, but not at 14 DPI (Figure 3F). A statistically significant increase (p < 0.05) in CD3−CD21+ cells was observed between 0 DPI and 28 DPI groups (Figure 2I). However, no significant difference between tested and negative control groups was observed at both 14 DPI and 28 DPI (Figure 3I).
3.3. Changes in CD14+ Population
CD14+ population was gated within the total viable cell group. A statistically significant increase (p < 0.005) in CD14+ cells was observed between 0 DPI and 28 DPI groups within total tested cells (Figure 2J). Moreover, a statistically significant increase in CD14+ cells between tested and negative control groups was observed both at 14 DPI (p < 0.01) and at 28 DPI (p < 0.05) (Figure 3J).
3.4. Changes in Immunoglobulin, Cholesterol and Weight Gain Measurements
Statistically significant changes in weight gain between control and test groups at 28 DPI were not observed (Table 1). An increase in total cholesterol level (2.34 ± 0.34 mmol/L) was observed in the test group compared to the control group (1.89 ± 0.38 mmol/L). However, statistically significant changes of HDL cholesterol were not observed between test and control groups 28 DPI (Table 1). An increase in all immunoglobulin subpopulations was observed in test groups compared to control groups 28 DPI. However, only an increase of IgG levels was statistically significant (Table 1).
Table 1.
Cholesterol, immunoglobulin and weight gain measurement comparisons between test and control groups at 28 DPI.
3.5. Microbial Profiles
Bacteroidia and Clostridia were the two most prevalent bacterial classes in feces samples on 0 DPI, with prevalence rates ranging from 69.2% to 73.2% in all animal groups, followed by Negativicutes, Bacilli, Gammaproteobacteria, and Erysipelotrichia, with prevalence rates ranging from 15.9% to 24.5% (Figure 4A). Overall, the number of identified bacteria on 0 DPI ranged from 22,205 to 28,266 OTU, with an average of 25,383.25 (±2775.306) OUT. Prevotella was the most predominant genus within the aforementioned classes in all animal groups (16.1% to 27.9%), followed by Clostridia (7.59% to 12.47%), Barnesiella (2.4% to 10.3%), and Streptococcus (2.24% to 8.76%).
Figure 4.
Bacterial classes in test animal and negative control group intestinal microbiota before (A), 7 days (B), 14 days (C) and 28 days (D) after supplementary feeding.
At 7 DPI, a minor increase in the number Bacilli was detected, with no obvious differences at a class level among all animal groups (Figure 4B). Changes at a genus level were more pronounced, particularly for Lactobacillus, with a prevalence rate 2.8 times higher (p < 0.05) in test groups compared to negative controls (Figure 5A). Species variety among Lactobacillus was also higher in test groups compared to negative controls, with 19 and 15 species observed, respectively. Prevotella and Streptococcus remained the most prevalent genera among both test and control groups, with slightly lower rates in test groups compared to controls (p < 0.05). In addition, a larger bacterial variety at a genus level was observed in the test male group, compared to other groups.
Figure 5.
Bacterial genera in test animal and negative control group intestinal microbiota 7 days (A), 14 days (B) and 28 days (C) after supplementary feeding. Genera with prevalence rate of >1% are presented.
Bacteroidia and Clostridia remain the most prevalent bacterial classes in all animal groups 14 DPI, with statistically higher (p < 0.05) prevalence rates of Clostridia in test groups compared to negative controls (Figure 4C). Interestingly, the male control group expressed a different microbial profile, with the presence of Spirochaetia, Oligosphaeria, and Plantomycetia, which was not observed in other animal groups (Figure 4C). In addition, on the genus level, the male control group expressed predominance of Bernesiella (with the presence of a single species B. intestinihominis) with a prevalence rate of 36.5% compared to the prevalence rates ranging from 2.3% to 10.1% in other groups (p < 0.05) (Figure 5B). In addition, Treponema (T. succinifaciens) was only detected in the male control group (prevalence rate of 8.3%). Elevated Lactobacillus prevalence rate (10%) was significantly (p < 0.05) higher in the male test group, but not in control groups and in the female test group (Figure 5B).
The number of identified bacteria on 28 DPI in all animal groups ranged from 21,657 to 26,875 OTU. The number of identified genera was comparable between the test and control groups, ranging from 244 to 264. There were no statistically significant differences between the test and control groups with respect to predominant bacterial class distributions (Figure 4D). However, some classes (Fibrobacteria, Spirochaetia) with prevalence rates of >1% were only present in control groups and not in test groups (see Supplementary Material Tables S1 and S2). The most prevalent genera in test groups were Barnesiella, Olsenella, Prevotella, Streptococcus, and Collinsella, while the most prevalent genera in control groups were Prevotella, Clostridium, Megasphaera, and Barnesiella (Figure 5C).
Generally, the number of bacteria that are considered to be probiotic was 1.78 times higher in test groups compared to negative controls (p < 0.05) (Figure 6). The prevalence of Escherichia and Lactobacillus was higher (p < 0.05) in fecal samples of control group animals compared to test groups (Figure 6).
Figure 6.
The percentage of probiotic bacteria in negative control and test animal groups at the end of experiment (28 DPI). Asterisk indicates statistical significance between groups (* p < 0.05).
4. Discussion
In this study, we used two criteria for evaluating the effect of multi-component nutraceutical in vivo. The immunomodulatory effect was evaluated by comparing changes in immune cell phenotype populations using CD3, CD4, CD8, CD14, and CD21 markers, while probiotic properties were determined by comparing the diversity of fecal microbiota on family, genera, and species level.
Minor changes in cells of adaptive immunity were observed in the test group of pigs that received oral administration of nutraceutical preparation. A statistically significant decrease was observed in CD3+CD4−CD8+ and CD3+CD4+CD8+low within CD3+ population 28 DPI, indicating relative suppression of T cytotoxic and T memory cell production by oral feed supplementation. The effects of probiotic Lactobacillus strains on host immune systems have previously been investigated, with some data indicating an immunomodulatory effect of different species, including reduction of levels of pro-inflammatory cytokines (TNF-α and IL-17) and Th2 cell produced cytokines (IL-4 and IL-5), increase in cytokine IL-10 and IL-12 production, increase in CD4+ and CD8+ cell count, and improvements to phagocytotic activity [7,9,10,11,12]. Contrary to our findings, the study that used L. casei for the amelioration of colon carcinoma symptoms showed an increased proportion of CD8+ cells in probiotic-fed mice, indicating an increase in recruitment of T cytotoxic and other CD8+ cells [38]. However, the effect of L. uvarum as a supplement on the immune system of the host has not yet been investigated. Therefore, the effect of L. casei and L. uvarum on the recruitment of CD8+ cell population might act in an antagonistic manner, requiring a separate investigation on the immunomodulatory characteristics of L. uvarum.
Most studies of bovine colostrum as an immunomodulatory substance focused on the effect of colostral antibodies as a protective agent against infections of neonates. Bovine colostrum as a supplement is mostly used in a form of hyperimmune colostrum, generated against a specific antigen. However, there is a lack of data on the effects of colostrum in an unaltered form on adult individuals and the capacity of colostrum to induce an immunomodulatory effect in cross-species transfer. Studies testing the effects of different components of bovine colostrum on cytokine production of human PBMCs revealed opposing results depending on the component used, indicating multifaceted possible immunomodulatory effects [39]. Bovine colostrum protein concentrate has been associated with an increase in cytokines associated with cell-mediated immunity, mostly IFN-γ and IL-2, which are associated with Th1 cell-produced cytokines. However, in our study, no statistically significant change in the number T helper cell population has been detected. Despite the lack of quantitative changes in T regulatory cell population and direct measurements of IFN-γ concentration, an increase in IL-10 production could be assumed based on the reduced number of CD3+CD4-CD8+ cell population, which correlates with reduced IFN-γ levels [40].
Contrary to our findings, data acquired from studies using orally administered apple procyanidins demonstrate an increase in the proportions of γδTCR+ and αβTCR+ T cells in the intraepithelial lymphocyte population of mice [21]. Intraepithelial lymphocytes are located in the intestinal mucosa, while the data in the present study was acquired by using PBMCs, complicating the direct comparison between these data. However, assumptions could be made that decrease in CD3+CD4−CD8+ and CD3+CD4+CD8+low cells, which are part of the porcine αβTCR+ T cell group [41], could be associated with recruitment of cells to the intestinal mucosa, resulting in an increase of αβTCR+ T cell proportion in intestinal mucosa and a decrease in PBMC population. Another limitation lies in species difference, making a comparison between the effect of apple extract on porcine and murine models complicated. In addition, apple extract in this study consists of other active compounds found in apples, possibly acting in an antagonistic manner towards procyanidins.
In general, nutraceutical preparation used in this study appears to suppress the T cell proportion in the PBMC population rather than increase it, as shown by different studies that utilized similar components to those used in this study. However, the majority of supplementation testing in the aforementioned in vivo studies was carried out using mice as an animal model, indicating possible differences in the effect of nutraceutical components on murine and porcine T cells.
Contrary to the decrease in T cell subpopulations, an increase in CD3−CD21+ cells, which correspond to the B cell group, was observed within CD3−population 28 DPI. Similarly, a statistically significant increase in IgG concentration was observed in the test group, indicating a general increase in the humoral immune response. Quantitative changes in B cells among CD3− population could be attributed to specific responses against microbial epitopes of lactobacilli. In particular, L.uvarum—bacterium isolated from Spanish Bobal grape must—could be responsible for host humoral immune response, since no data currently describes its availability in natural host microbiota [42]. In addition, high antibody concentration in bovine colostrum could also trigger the humoral immune response in a porcine organism. Fc domain of bovine IgG is a primary recognition site, triggering highly selective secondary antibody production, as bovine IgGs are treated as antigens by the antigen-presenting cells of the porcine host [43]. Therefore, an elevated level of B cells and IgG concentration is to be expected, considering the antigenic properties of foreign antibodies. The relative decrease in CD3+CD4−CD8+ and CD3+CD4+CD8+low within the CD3+ population could also be attributed to the relative increase in CD3−CD21+ cells, indicating a shift towards B cell proliferation in the peripheral bloodstream at the cost of T cell number.
The most significant difference between 0 DPI and 28 DPI groups was observed among the CD14+ population, corresponding to macrophage/monocyte cells. Opposing effects on phagocytic activity have previously been reported based on the single components that were used in combination as in the current study. To date, probiotic L. acidophilus, L. reuteri, L. rhamnosus, and Bifidobacterium lactis have previously been associated with an increase in antigen-presenting cell proportions in pig lymphoid tissue [13,44]. Our findings coincide with groups of pigs used in Zhang et al. that were inoculated with LAB without any additional stimulation, showing an increase in macrophage/monocyte and dendritic cell proportions in the blood, compared to a group that was inoculated with human rotavirus where an increase of the aforementioned cell count was observed in lymphoid tissue, with a relative decrease in the blood, in turn supporting the proposition that probiotic LAB might be responsible for the increase in macrophage/monocyte and dendritic cell proportion circulating in the bloodstream [44]. Similarly, studies involving other animal species and probiotic LAB strains showed an increase in the antigen-presenting cell population. An increase in dendritic cell and macrophage proportions has previously been reported, using Lactobacillus plantarum strain as a probiotic supplement in mice [45].
As has been outlined before, compounds in bovine colostrum are capable of up-regulating IL-10 production, which is responsible for the suppression of the inflammatory response, including down-regulation of macrophage cell proliferation, offering results contrary to the effect of probiotic LAB described above [40,46]. The case in which both probiotic LAB and bovine colostrum components can be considered anti-inflammatory is the evaluation of the macrophage cell proportion and activity in tissue, rather than in the bloodstream. A decrease in tissue macrophage/monocyte population can be associated with a relative increase in blood monocyte proportion. IL-10, produced by T regulatory cells, is mainly associated with macrophage-suppressing effect in tissue inflammation site, while suppression of monocyte activity in the blood is carried out in autoregulatory fashion by IL-10 produced by monocytes themselves [46]. In turn, the role of IL-10 in macrophage/monocyte changes associated with nutraceutical used in this study should be evaluated in order to explain the mechanism of their quantitative changes.
Different active compounds found in apples have previously been described to demonstrate anti-inflammatory and anti-allergic properties. However, only a limited number of studies that evaluate the effect of these compounds on macrophage/monocyte cell dynamics exist. Apples are particularly rich in flavonoids that are associated with a number of health benefits [47]. Flavonoids have previously been shown to prevent macrophage and T cell migration and reduce their numbers in the central nervous system in rats with experimentally induced allergic encephalitis, however, the mechanism of action is not well understood [48]. These findings indicate a similar effect of flavonoids to the one demonstrated by LAB and bovine colostrum, namely decrease of macrophage cells at tissue sites of inflammation and relatively elevated proportion of macrophage/monocyte cells in the blood. Similarly, Kanda et al. investigated the effect of apple polyphenol on the mast cell histamine release, indicating anti-inflammatory effects of crude apple polyphenol and apple condensed tannin (ACT) [19]. It is argued that histamine release suppression by ACT is achieved by inhibition of calcium influx, which in turn inhibits the activation of the signal transduction system preventing the release of intracellular secondary granule content. However, mast cells secret a number of other active substances, including pro-inflammation mediators, including CCL3 and TNFα, both of which play a role in macrophage chemotaxis and activation, respectively, using release via secretory granules [49]. Therefore, suppression of calcium influx by ACT might also be responsible for inhibiting the release of other pro-inflammatory mediators, including CCL3 and TNFα, in turn limiting the recruitment of macrophage/monocyte cells at inflammation sites. However, more studies involving animals with experimentally induced inflammatory conditions need to be carried out in order to investigate anti-inflammatory properties of a nutraceutical used in this study.
In all tested animals, Bacteroidia (phylum Bacteroidetes) and Clostridia (phylum Firmicutes) were the most prevalent bacterial classes found in feces, with prevalence rates ranging from 69.2% to 73.2%. These results are consistent with data reported by other authors, reporting Bacteroidetes and Firmicutes to be the most prevalent phyla in healthy piglet feces [50,51]. Microbial changes within Firmicutes 7 DPI included a decrease in the proportion of Clostridia and an increase in the proportion of bacilli, however, this shift was observed in both control and test animal groups. On the genus level, the difference between control and test groups was more pronounced, with a 2.7 times increase in Lactobacillus in the test group, compared to the control. This is consistent with the fact that one of the components of the nutraceutical used was L. uvarum. Lactobacilli are known to adjust easily to the intestinal environment, inhibit the growth of or kill pathogenic microorganisms in the gastrointestinal tract and improve the microbial balance of the gut, as well as maintaining intestinal barrier function [52].
At 14 DPI, an increase in the proportion of Clostridia was particularly visible in the test animal group, dominated by C. cellulovorans. This species is cellulolytic, capable of hydrolysis of lignocellulose, which results in the production of usable sugars. The shift towards cellulolytic bacteria in the test animal group can be associated with the nutraceutical supplement containing cellulose from DAP. It can be assumed that dietary components rich in cellulose, as is the case with the nutraceutical used in this study, might elevate the number of cellulolytic bacteria in pigs. Interestingly, an increase in Barnesiella intestinihominis was observed in the male control group. A limited amount of data is currently available on the importance of this species in pigs. B. intestinihominis has been associated with a role in cancer prevention of intestinal and extraintestinal origin [53], however, the shift of this species was short and was no longer observed at 28DPI, with no statistically significant difference between control and test group animals.
At 28DPI, the number of Clostridia remained higher in the test group compared to the control. In addition, a shift towards bacterial class Coriobacteria was observed in the test group. Among the Coriobacteria, two genera-Collinsella and Olsenella-were the most prevalent. Species of Collinsella are known for their ability to ferment a wide range of carbohydrates. The data from pigs reports a correlation between the number of Collinsella and the pre-weaned weight gain [54], which is consistent with our data (Table 1). Genus Olsenella consists of anaerobic LAB, however, they are not considered probiotic, requiring more investigation on their probiotic properties [55]. Overall, the total amount of probiotic bacteria was higher in the test animal group, indicating the positive effect of the nutraceutical on the microbiota of the gut. However, proportions of Lactobacillus and Escherichia were nonetheless higher in the control animal group (Figure 6). This relatively lower number of Lactobacillus in the test animal group could be explained by the relative increase in other lactic bacteria, such as Olsenella and Bifidobacterium. Moreover, proportions of Lactobacillus and Escherichia were overall relatively low, compared to other genera present in the gut.
5. Conclusions
Our study shows a positive effect of the nutraceutical formula used in this study on the changes of gut microbiota by an facilitating increase in probiotic bacteria strains and possible anti-inflammatory properties. Therefore, the combination of components used in this study could be used as a supplement in order to bolster the proportion of beneficial gut microorganisms, in addition to protection against conditions associated with inflammatory processes. However, the combination of ingredients used in the nutraceutical supplement has to be investigated further. In particular, test subjects with underlying inflammatory and immune system-related conditions have to be used in order to evaluate more accurately the effect of the nutraceutical supplement for its immunomodulatory properties. Moreover, hosts of other animal species have to be used in order to test the cross-species applicability of the supplement.
6. Patents
Multicomponent nutraceutical supplement used in the present study has been submitted to European Patent Office and registered under the title ‘Multifunctional Nutraceutical Composition Modeling the Gastrointestinal Microbiota and Immune System Response` (WIPO`s Digital Access Service access code C038).
Supplementary Materials
The following are available online at https://www.mdpi.com/article/10.3390/foods10061313/s1, Table S1: Bacterial classes in female negative control group intestinal microbiota 28 days after supplementary feeding., Table S2: Bacterial classes in male negative control group intestinal microbiota 28 days after supplementary feeding.
Author Contributions
Conceptualization, J.G., M.R., E.B., J.B., L.I., V.J. and A.S.; Data curation, J.G., M.R., E.B., V.L., V.S., P.Z., E.Z. and V.J.; Formal analysis, J.G., M.R., A.P. and A.S.; Funding acquisition, V.J.; Investigation, J.G., M.R., A.P., E.B. and A.S.; Methodology, J.G., M.R., A.P., V.L., V.S., P.Z., E.Z., J.B., L.I. and A.S.; Project administration, V.J.; Resources, E.B., V.L., V.S., P.Z., E.Z., J.B. and L.I.; Supervision, V.J. and A.S.; Validation, E.B., J.B. and L.I.; Visualization, J.G. and M.R.; Writing—Original draft, J.G., M.R. and A.S.; Writing—Review & editing, J.G., M.R., A.P., E.B., V.L., V.S., P.Z., E.Z., J.B., L.I., V.J. and A.S. All authors have read and agreed to the published version of the manuscript.
Funding
This project has received funding from European Regional Development Fund (project No 01.2.2-LMT-K-718-01-0062) under grant agreement with the Research Council of Lithuania (LMTLT).
Institutional Review Board Statement
The study was conducted according to the guidelines of the Declaration of Helsinki, and approved by the Ethics Committee of National Food and Veterinary Risk Assessment Institute of Lithuania (Permission Issue Number G2-123).
Data Availability Statement
All data generated or analysed during this study are included in this published article and supplementary material files.
Acknowledgments
We would like to thank Biological Research Center of Lithuanian University of Health Sciences employees for providing animal care and carrying out experimental procedures.
Conflicts of Interest
The authors declare no conflict of interest.
References
- Gul, K.; Singh, A.K.; Jabeen, R. Nutraceuticals and Functional Foods: The Foods for the Future World. Crit. Rev. Food Sci. Nutr. 2016, 56, 2617–2627. [Google Scholar] [CrossRef]
- Van Hees, H.M.J.; Davids, M.; Maes, D.; Millet, S.; Possemiers, S.; den Hartog, L.A.; van Kempen, T.A.T.G.; Janssens, G.P.J. Dietary fibre enrichment of supplemental feed modulates the development of the intestinal tract in suckling piglets. J. Anim. Sci. Biotechnol. 2019, 10, 83. [Google Scholar] [CrossRef]
- Hjelmsø, M.H.; Shah, S.A.; Thorsen, J.; Rasmussen, M.; Vestergaard, G.; Mortensen, M.S.; Brejnrod, A.; Brix, S.; Chawes, B.; Bønnelykke, K.; et al. Prenatal dietary supplements influence the infant airway microbiota in a randomized factorial clinical trial. Nat. Commun. 2020, 11, 426. [Google Scholar] [CrossRef] [PubMed]
- Reid, G. Probiotics: Definition, scope and mechanisms of action. Best Pract. Res. Clin. Gastroenterol. 2016, 30, 17–25. [Google Scholar] [CrossRef]
- Hill, C.; Guarner, F.; Reid, G.; Gibson, G.R.; Merenstein, D.J.; Pot, B.; Morelli, L.; Canani, B.; Flint, H.J.; Salminen, S.; et al. The International Scientific Association for Probiotics and Prebiotics consensus statement on the scope and appropriate use of the term probiotic. Nat. Rev. Gastroenterol. Hepatol. 2014, 11, 506–514. [Google Scholar] [CrossRef] [PubMed]
- Raone, B.; Raboni, R.; Patrizi, A. Probiotics Reduce Gut Microbial Translocation and Improve Adult Atopic Dermatitis. J. Clin. Gastroenterol. 2014, 48, 95–96. [Google Scholar] [CrossRef]
- Kim, J.-E.; Chae, C.S.; Kim, G.-C.; Hwang, W.; Hwang, J.; Hwang, S.-M.; Kim, Y.; Ahn, Y.-T.; Park, S.-G.; Jun, C.-D.; et al. Lactobacillus helveticus suppresses experimental rheumatoid arthritis by reducing inflammatory T cell responses. J. Funct. Foods 2015, 13, 350–362. [Google Scholar] [CrossRef]
- Lavasani, S.; Dzhambazov, B.; Nouri, M.; Fåk, F.; Buske, S.; Molin, G.; Thorlacius, H.; Alenfall, J.; Jeppsson, B.; Weström, B. A Novel Probiotic Mixture Exerts a Therapeutic Effect on Experimental Autoimmune Encephalomyelitis Mediated by IL-10 Producing Regulatory T Cells. PLoS ONE 2010, 5, e9009. [Google Scholar] [CrossRef]
- Ghadimi, D.; Fölster-Holst, R.; de Vrese, M.; Winkler, P.; Heller, K.J.; Schrezenmeir, J. Effects of probiotic bacteria and their genomic DNA on TH1/TH2-cytokine production by peripheral blood mononuclear cells (PBMCs) of healthy and allergic subjects. Immunobiology 2008, 213, 677–692. [Google Scholar] [CrossRef] [PubMed]
- Kim, J.-Y.; Park, B.-K.; Park, H.-J.; Park, Y.-H.; Kim, B.-O.; Pyo, S. Atopic dermatitis-mitigating effects of new Lactobacillus strain, Lactobacillus sakei probio 65 isolated from Kimchi. J. Appl. Microbiol. 2013, 115, 517–526. [Google Scholar] [CrossRef] [PubMed]
- Talpur, A.D.; Munir, M.B.; Mary, A.; Hashim, R. Dietary probiotics and prebiotics improved food acceptability, growth performance, haematology and immunological parameters and disease resistance against Aeromonas hydrophila in snakehead (Channa striata) fingerlings. Aquaculture 2014, 426–427, 14–20. [Google Scholar] [CrossRef]
- Ahmed, S.T.; Mun, H.-S.; Islam, M.M.; Kim, S.-S.; Hwang, J.-A.; Kim, Y.-J.; Yang, C.-J. Effects of Citrus junos by-products fermented with multistrain probiotics on growth performance, immunity, caecal microbiology and meat oxidative stability in broilers. Br. Poult. Sci. 2014, 55, 540–547. [Google Scholar] [CrossRef] [PubMed]
- Vlasova, A.N.; Chattha, K.S.; Kandasamy, S.; Liu, Z.; Esseili, M.; Shao, L.; Rajashekara, G.; Saif, L.J. Lactobacilli and Bifidobacteria Promote Immune Homeostasis by Modulating Innate Immune Responses to Human Rotavirus in Neonatal Gnotobiotic Pigs. PLoS ONE 2013, 8, e76962. [Google Scholar] [CrossRef]
- Cox, M.J.; Huang, Y.J.; Fujimura, K.E.; Liu, J.T.; McKean, M.; Boushey, H.A.; Segal, M.R.; Brodie, E.L.; Cabana, M.D.; Lynch, S.V. Lactobacillus casei Abundance Is Associated with Profound Shifts in the Infant Gut Microbiome. PLoS ONE 2010, 5, e8745. [Google Scholar] [CrossRef] [PubMed]
- Lee, A.; Pontin, M.C.F.; Kosmerl, E.; Jimenez-Flores, R.; Moretti, D.B.; Ziouzenkova, O. Assessment of adipogenic, antioxidant, and anti-inflammatory properties of whole and whey bovine colostrum. J. Dairy Sci. 2019, 102, 8614–8621. [Google Scholar] [CrossRef] [PubMed]
- Menchetti, L.; Traina, G.; Tomasello, G.; Casagrande-Proietti, P.; Leonardi, L.; Barbato, O.; Brecchia, G. Potential benefits of colostrum in gastrointestinal diseases. Front. Biosci. 2016, 8, 331–351. [Google Scholar]
- Steele, J.; Sponseller, J.; Schmidt, D.; Cohen, O.; Tzipori, S. Hyperimmune bovine colostrum for treatment of GI infections: A review and update on Clostridium difficile. Hum. Vaccines Immunother. 2013, 9, 1565–1568. [Google Scholar] [CrossRef]
- Actor, J.K.; Hwang, S.-A.; Kruzel, M.L. Lactoferrin as a Natural Immune Modulator. Curr. Pharm. Des. 2009, 15, 1956–1973. [Google Scholar] [CrossRef]
- Kanda, T.; Akiyama, H.; Yanagida, A.; Tanabe, M.; Goda, Y.; Toyoda, M.; Teshima, R.; Saito, Y. Inhibitory Effects of Apple Polyphenol on Induced Histamine Release from RBL-2H3 Cells and Rat Mast Cells. Biosci. Biotechnol. Biochem. 1998, 62, 1284–1289. [Google Scholar] [CrossRef]
- Akiyama, H.; Sato, Y.; Watanabe, T.; Nagaoka, M.H.; Yoshioka, Y.; Shoji, T.; Kanda, T.; Yamada, K.; Tosuka, M.; Teshima, R.; et al. Dietary unripe apple polyphenol inhibits the development of food allergies in murine models. FEBS Lett. 2005, 579, 4485–4491. [Google Scholar] [CrossRef] [PubMed]
- Yoshioka, Y.; Akiyama, H.; Nakano, M.; Shoji, T.; Kanda, T.; Ohtake, Y.; Takita, T.; Matsuda, R.; Maitani, T. Orally administered apple procyanidins protect against experimental inflammatory bowel disease in mice. Int. Immunopharmacol. 2008, 8, 1802–1807. [Google Scholar] [CrossRef]
- Nakamura, K.; Matsuoka, H.; Nakashima, S.; Kanda, T.; Nishimaki-Mogami, T.; Akiyama, H. Oral administration of apple condensed tannins delays rheumatoid arthritis development in mice via downregulation of T helper 17 (Th17) cell responses. Mol. Nutr. Food Res. 2015, 59, 1406–1410. [Google Scholar] [CrossRef]
- Koutsos, A.; Lima, M.; Conterno, L.; Gasperotti, M.; Bianchi, M.; Fava, F.; Vrhovsek, U.; Lovegrove, J.A.; Tuohy, K.M. Effects of Commercial Apple Varieties on Human Gut Microbiota Composition and Metabolic Output Using an In Vitro Colonic Model. Nutrients 2017, 9, 533. [Google Scholar] [CrossRef] [PubMed]
- Shinohara, K.; Ohashi, Y.; Kawasumi, K.; Terada, A.; Fujisawa, T. Effect of apple intake on fecal microbiota and metabolites in humans. Anaerobe 2010, 16, 510–515. [Google Scholar] [CrossRef]
- Garcia-Mazcorro, J.F.; Pedreschi, R.; Yuan, J.; Kawas, J.R.; Chew, B.; Dowd, S.E.; Noratto, G. Apple consumption is associated with a distinctive microbiota, proteomics and metabolomics profile in the gut of Dawley Sprague rats fed a high-fat diet. PLoS ONE 2019, 14, e0212586. [Google Scholar] [CrossRef] [PubMed]
- Wu, Z.; Tan, B.; Liu, Y.; Dunn, J.; Guerola, P.M.; Tortajada, M.; Cao, Z.; Ji, P. Chemical Composition and Antioxidant Properties of Essential Oils from Peppermint, Native Spearmint and Scotch Spearmint. Molecules 2019, 24, 2825. [Google Scholar] [CrossRef]
- Veenstra, J.P.; Johnson, J.J. Oregano (Origanum vulgare) extract for food preservation and improvement in gastrointestinal health. Int. J. Nutr. 2019, 3, 43–52. [Google Scholar] [CrossRef]
- Oniga, I.; Pușcaș, C.; Silaghi-Dumitrescu, R.; Olah, N.-K.; Sevastre, B.; Marica, R.; Marcus, I.; Sevastre-Berghian, A.C.; Benedec, D.; Pop, C.E.; et al. Origanum vulgare ssp. vulgare: Chemical Composition and Biological Studies. Molecules 2018, 23, 2077. [Google Scholar] [CrossRef]
- Buleandra, M.; Oprea, E.; Popa, D.E.; David, I.G.; Moldovan, Z.; Mihai, I.; Badea, I.A. Comparative Chemical Analysis of Mentha piperita and M. spicata and a Fast Assessment of Commercial Peppermint Teas. Nat. Prod. Commun. 2016, 11, 1934578. [Google Scholar] [CrossRef]
- Borugă, O.; Jianu, C.; Mişcă, C.; Goleţ, I.; Gruia, A.; Horhat, F. Thymus vulgaris essential oil: Chemical composition and antimicrobial activity. J. Med. Life 2014, 7, 56–60. [Google Scholar]
- Gedikoğlu, A.; Sökmen, M.; Çivit, A. Evaluation of Thymus vulgaris and Thymbra spicata essential oils and plant extracts for chemical composition, antioxidant, and antimicrobial properties. Food Sci. Nutr. 2019, 7, 1704–1714. [Google Scholar] [CrossRef]
- Gonçalves, N.D.; Pena, F.D.L.; Sartoratto, A.; Derlamelina, C.; Duarte, M.C.T.; Antunes, A.E.C.; Prata, A.S. Encapsulated thyme (Thymus vulgaris) essential oil used as a natural preservative in bakery product. Food Res. Int. 2017, 96, 154–160. [Google Scholar] [CrossRef]
- Almanea, A.; El-Aziz, G.S.A.; Ahmed, M.M.M. The Potential Gastrointestinal Health Benefits of Thymus Vulgaris Essential Oil: A Review. Biomed. Pharmacol. J. 2019, 12, 1793–1799. [Google Scholar] [CrossRef]
- Bartkiene, E.; Lele, V.; Sakiene, V.; Zavistanaviciute, P.; Ruzauskas, M.; Stankevicius, A.; Grigas, J.; Pautienius, A.; Bernatoniene, J.; Jakstas, V.; et al. Fermented, ultrasonicated, and dehydrated bovine colostrum: Changes in antimicrobial properties and immunoglobulin content. J. Dairy Sci. 2020, 103, 1315–1323. [Google Scholar] [CrossRef] [PubMed]
- Bartkiene, E.; Lele, V.; Ruzauskas, M.; Domig, K.J.; Starkute, V.; Zavistanaviciute, P.; Bartkevics, V.; Pugajeva, I.; Klupsaite, D.; Juodeikiene, G.; et al. Lactic Acid Bacteria Isolation from Spontaneous Sourdough and Their Characterization Including Antimicrobial and Antifungal Properties Evaluation. Microorganisms 2020, 8, 64. [Google Scholar] [CrossRef]
- Bartkiene, E.; Lele, V.; Sakiene, V.; Zavistanaviciute, P.; Ruzauskas, M.; Bernatoniene, J.; Jakstas, V.; Viskelis, P.; Zadeike, D.; Juodeikiene, G. Improvement of the antimicrobial activity of lactic acid bacteria in combination with berries/fruits and dairy industry by-products. J. Sci. Food Agric. 2019, 99, 3992–4002. [Google Scholar] [CrossRef]
- Bartkiene, E.; Ruzauskas, M.; Lele, V.; Zavistanaviciute, P.; Bernatoniene, J.; Jakstas, V.; Ivanauskas, L.; Zadeike, D.; Klupsaite, D.; Viskelis, P.; et al. Development of antimicrobial gummy candies with addition of bovine colostrum, essential oils and probiotics. Int. J. Food Sci. Technol. 2018, 53, 1227–1235. [Google Scholar] [CrossRef]
- Aindelis, G.; Tiptiri-Kourpeti, A.; Lampri, E.; Spyridopoulou, K.; Lamprianidou, E.; Kotsianidis, I.; Ypsilantis, P.; Pappa, A.; Chlichlia, K. Immune Responses Raised in an Experimental Colon Carcinoma Model Following Oral Administration of Lactobacillus casei. Cancers 2020, 12, 368. [Google Scholar] [CrossRef] [PubMed]
- Shing, C.M.; Peake, J.M.; Suzuki, K.; Jenkins, D.G.; Coombes, J.S. Bovine Colostrum Modulates Cytokine Production in Human Peripheral Blood Mononuclear Cells Stimulated with Lipopolysaccharide and Phytohemagglutinin. J. Interferon. Cytokine Res. 2008, 29, 37–44. [Google Scholar] [CrossRef] [PubMed]
- O’Farrell, A.-M.; Liu, Y.; Moore, K.W.; Mui, A.L.-F. IL-10 inhibits macrophage activation and proliferation by distinct signaling mechanisms: Evidence for Stat3-dependent and -independent pathways. EMBO J. 1998, 17, 1006–1018. [Google Scholar] [CrossRef]
- Gerner, W.; Käser, T.; Saalmüller, A. Porcine T lymphocytes and NK cells—an update. Dev. Comp. Immunol. 2009, 33, 310–320. [Google Scholar] [CrossRef]
- Mañes-Lázaro, R.; Ferrer, S.; Rosselló-Mora, R.; Pardo, I. Lactobacillus uvarum sp. nov.—A new lactic acid bacterium isolated from Spanish Bobal grape must. Syst. Appl. Microbiol. 2008, 31, 425–433. [Google Scholar] [CrossRef] [PubMed]
- Choe, W.; Durgannavar, T.A.; Chung, S.J. Fc-Binding Ligands of Immunoglobulin G: An Overview of High Affinity Proteins and Peptides. Materials 2016, 9, 994. [Google Scholar] [CrossRef] [PubMed]
- Zhang, W.; Wen, K.; Azevedo, M.S.P.; Gonzalez, A.; Saif, L.J.; Li, G.; Yousef, A.E.; Yuan, L. Lactic acid bacterial colonization and human rotavirus infection influence distribution and frequencies of monocytes/macrophages and dendritic cells in neonatal gnotobiotic pigs. Vet. Immunol. Immunopathol. 2008, 121, 222–231. [Google Scholar] [CrossRef]
- Park, M.-K.; Ngo, V.; Kwon, Y.-M.; Lee, Y.-T.; Yoo, S.; Cho, Y.-H.; Hong, S.-M.; Hwang, H.S.; Ko, E.-J.; Jung, Y.-J.; et al. Lactobacillus plantarum DK119 as a Probiotic Confers Protection against Influenza Virus by Modulating Innate Immunity. PLoS ONE 2013, 8, e75368. [Google Scholar] [CrossRef] [PubMed]
- Malefyt, R.d.W.; Abrams, J.; Bennett, B.; Figdor, C.G.; de Vries, J.E. Interleukin 10(IL-10) inhibits cytokine synthesis by human monocytes: An autoregulatory role of IL-10 produced by monocytes. J. Exp. Med. 1991, 174, 1209–1220. [Google Scholar] [CrossRef]
- Hyson, D.A. A Comprehensive Review of Apples and Apple Components and Their Relationship to Human Health12. Adv. Nutr. 2011, 2, 408–420. [Google Scholar] [CrossRef]
- Hendriks, J.J.A.; Alblas, J.; van der Pol, S.M.A.; van Tol, E.A.F.; Dijkstra, C.D.; de Vries, H.E. Flavonoids Influence Monocytic GTPase Activity and Are Protective in Experimental Allergic Encephalitis. J. Exp. Med. 2004, 200, 1667–1672. [Google Scholar] [CrossRef]
- Krystel-Whittemore, M.; Dileepan, K.N.; Wood, J.G. Mast Cell: A Multi-Functional Master Cell. Front. Immunol. 2015, 6, 620. [Google Scholar] [CrossRef]
- Pajarillo, E.A.B.; Chae, J.-P.; Balolong, M.P.; Kim, H.B.; Kang, D.-K. Assessment of fecal bacterial diversity among healthy piglets during the weaning transition. J. Gen. Appl. Microbiol. 2014, 60, 140–146. [Google Scholar] [CrossRef]
- Wang, X.; Tsai, T.; Deng, F.; Wei, X.; Chai, J.; Knapp, J.; Apple, J.; Maxwell, C.V.; Lee, J.A.; Li, Y.; et al. Longitudinal investigation of the swine gut microbiome from birth to market reveals stage and growth performance associated bacteria. Microbiome 2019, 7, 109. [Google Scholar] [CrossRef] [PubMed]
- Yang, F.; Hou, C.; Zeng, X.; Qiao, S. The Use of Lactic Acid Bacteria as a Probiotic in Swine Diets. Pathogens 2015, 4, 34–45. [Google Scholar] [CrossRef]
- Daillère, R.; Vétizou, M.; Waldschmitt, N.; Yamazaki, T.; Isnard, C.; Poirier-Colame, V.; Duong, C.P.; Flament, C.; Lepage, P.; Roberti, M.P.; et al. Enterococcus hirae and Barnesiella intestinihominis Facilitate Cyclophosphamide-Induced Therapeutic Immunomodulatory Effects. Immunity 2016, 45, 931–943. [Google Scholar] [CrossRef]
- Ding, X.; Lan, W.; Liu, G.; Ni, H.; Gu, J.-D. Exploring possible associations of the intestine bacterial microbiome with the pre-weaned weight gaining performance of piglets in intensive pig production. Sci. Rep. 2019, 9, 15534. [Google Scholar] [CrossRef] [PubMed]
- Kraatz, M.; Wallace, R.J.; Svensson, L. Olsenella umbonata sp. nov., a microaerotolerant anaerobic lactic acid bacterium from the sheep rumen and pig jejunum, and emended descriptions of Olsenella, Olsenella uli and Olsenella profusa. Int. J. Syst. Evol. Microbiol. 2011, 61, 795–803. [Google Scholar] [CrossRef]
Publisher’s Note: MDPI stays neutral with regard to jurisdictional claims in published maps and institutional affiliations. |
© 2021 by the authors. Licensee MDPI, Basel, Switzerland. This article is an open access article distributed under the terms and conditions of the Creative Commons Attribution (CC BY) license (https://creativecommons.org/licenses/by/4.0/).





