New Vegetable Brassica Foods: A Promising Source of Bioactive Compounds
Abstract
1. Introduction
2. Materials and Methods
2.1. Plant Material
2.2. Field Trials
2.3. Evaluation of Antioxidant Activity: ABTS Assay
2.4. Estimation of Phenolic Content
2.5. GSLs Identification and Quantification
2.6. Statistical Analysis
3. Results
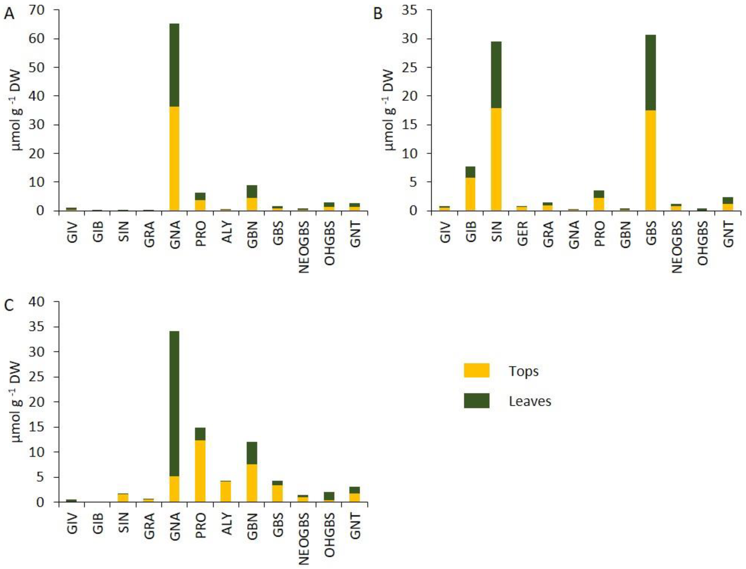
3.1. Comparison of GSL Content, Phenolic Content and Antioxidant Capacity between Organs and Among Species
3.2. Comparison of GSLs Content, Phenolic Content and Antioxidant Capacity among Type Crops of B. oleracea
4. Discussion
4.1. Comparison of GSL Content, Phenolic Content and Antioxidant Capacity between Organs and Among Species
4.2. Comparison of GSL Content, Phenolic Content and Antioxidant Capacity among Type Crops of B. oleracea
5. Conclusions
Supplementary Materials
Author Contributions
Funding
Institutional Review Board Statement
Informed Consent Statement
Data Availability Statement
Acknowledgments
Conflicts of Interest
References
- Francisco, M.; Tortosa, M.; Martínez-Ballesta, M.d.C.; Velasco, P.; Garcia-Viguera, C.; Moreno, D.A. Nutritional and phytochemical value of Brassica crops from the agri-food perspective. Ann. Appl. Biol. 2016, 170, 273–285. [Google Scholar] [CrossRef]
- Cartea, M.E.; Velasco, P. Glucosinolates in Brassica foods: Bioavailability in food and significance for human health. Phytochem. Rev. 2008, 7, 213–229. [Google Scholar] [CrossRef]
- Zhou, K.; Yu, L. Total phenolic contents and antioxidant properties of commonly consumed vegetables grown in Colorado. LWT Food Sci. Technol. 2006, 39, 1155–1162. [Google Scholar] [CrossRef]
- Ou, B.; Huang, D.; Hampsch-Woodill, M.; Flanagan, J.A.; Deemer, E.K. Analysis of Antioxidant Activities of Common Vegetables Employing Oxygen Radical Absorbance Capacity (ORAC) and Ferric Reducing Antioxidant Power (FRAP) Assays: A Comparative Study. J. Agric. Food Chem. 2002, 50, 3122–3128. [Google Scholar] [CrossRef]
- Podsędek, A. Natural antioxidants and antioxidant capacity of Brassica vegetables: A review. LWT-Food Sci. Technol. 2007, 40, 1–11. [Google Scholar] [CrossRef]
- Rodríguez, V.M.; Cartea, M.E.; Padilla, G.; Velasco, P.; Ordás, A. The nabicol: A horticultural crop in northwestern Spain. Euphytica 2005, 142, 237–246. [Google Scholar] [CrossRef]
- Padilla, G.; Cartea, M.E.; Rodríguez, V.M.; Ordás, A. Genetic diversity in a germplasm collection of Brassica rapa subsp rapa L. from northwestern Spain. Euphytica 2005, 145, 171–180. [Google Scholar] [CrossRef][Green Version]
- Padilla, G.; Cartea, M.E.; Ordás, A. Comparison of Several Clustering Methods in Grouping Kale Landraces. J. Am. Soc. Hortic. Sci. 2007, 132, 387–395. [Google Scholar] [CrossRef]
- Tortosa, M.; Velasco, P.; Afonso, D.; Padilla, G.; Ríos, D.; Soengas, P. Characterization of a Spanish Brassica oleracea collection by using molecular and biochemical markers. Sci. Hortic. 2017, 219, 344–350. [Google Scholar] [CrossRef]
- Soengas, P.; Velasco, P.; Padilla, G.; Ordás, A.; Cartea, M.E. Genetic Relationships Among Brassica napus Crops Based on SSR Markers. HortScience 2006, 41, 1195–1199. [Google Scholar] [CrossRef]
- Cartea, E.; De Haro-Bailón, A.; Padilla, G.; Obregón-Cano, S.; Del Rio-Celestino, M.; Ordás, A. Seed Oil Quality of Brassica napus and Brassica rapa Germplasm from Northwestern Spain. Foods 2019, 8, 292. [Google Scholar] [CrossRef]
- Soengas, P.; Cartea, M.E.; Francisco, M.; Sotelo, T.; Velasco, P. New insights into antioxidant activity of Brassica crops. Food Chem. 2012, 134, 725–733. [Google Scholar] [CrossRef]
- Cartea, M.E.; Velasco, P.; Obregón, S.; Padilla, G.; de Haro, A. Seasonal variation in glucosinolate content in Brassica oleracea crops grown in northwestern Spain. Phytochemistry 2008, 69, 403–410. [Google Scholar] [CrossRef]
- Velasco, P.; Soengas, P.; Vilar, M.; Cartea, M.E.; Del Rio, M. Comparison of Glucosinolate Profiles in Leaf and Seed Tissues of Different Brassica napus Crops. J. Am. Soc. Hortic. Sci. 2008, 133, 551–558. [Google Scholar] [CrossRef]
- Francisco, M.; Cartea, M.E.; Soengas, P.; Velasco, P. Effect of Genotype and Environmental Conditions on Health-Promoting Compounds in Brassica rapa. J. Agric. Food Chem. 2011, 59, 2421–2431. [Google Scholar] [CrossRef] [PubMed]
- Rodríguez, V.M.; Soengas, P.; Alonso-Villaverde, V.; Sotelo, T.; Cartea, M.E.; Velasco, P. Effect of temperature stress on the early vegetative development of Brassica oleracea L. BMC Plant Biol. 2015, 15, 1–9. [Google Scholar] [CrossRef] [PubMed]
- Lema, M.; Velasco, P.; Soengas, P.; Francisco, M.; Cartea, M.E. Screening for resistance to black rot in Brassica oleracea crops. Plant Breed. 2012, 131, 607–613. [Google Scholar] [CrossRef]
- Cartea, M.E.; Francisco, M.; Lema, M.; Soengas, P.; Velasco, P. Resistance of Cabbage (Brassica oleracea capitata Group) Crops to Mamestra brassicae. J. Econ. Entomol. 2010, 103, 1866–1874. [Google Scholar] [CrossRef]
- Francisco, M.; Velasco, P.; Romero, Á.; Vázquez, L.; Cartea, M.E. Sensory quality of turnip greens and turnip tops grown in northwestern Spain. Eur. Food Res. Technol. 2009, 230, 281–290. [Google Scholar] [CrossRef]
- Re, R.; Pellegrini, N.; Proteggente, A.; Pannala, A.; Yang, M.; Rice-Evans, C. Antioxidant activity applying an improved ABTS radical cation decolorization assay. Free Radic. Biol. Med. 1999, 26, 1231–1237. [Google Scholar] [CrossRef]
- Dewanto, V.; Wu, X.; Adom, K.K.; Liu, R.H. Thermal Processing Enhances the Nutritional Value of Tomatoes by Increasing Total Antioxidant Activity. J. Agric. Food Chem. 2002, 50, 3010–3014. [Google Scholar] [CrossRef] [PubMed]
- Kliebenstein, D.; Lambrix, V.; Reichelt, M.; Gershenzon, J.; Mitchell-Olds, T. Gene duplication and the diversification of secondary metabolism: Side chain modification of glucosinolates in Arabidopsis thaliana. Plant Cell 2001, 13, 681–693. [Google Scholar] [PubMed]
- Steel, R.G.D.; Torrie, J.H. Principles and Procedures of Statistics a Biometrical Approach, 3rd ed.; McGraw Hill Book Company Inc.: New York, NY, USA, 1996. [Google Scholar]
- Sotelo, T.; Soengas, P.; Velasco, P.; Rodríguez, V.M.; Cartea, M.E. Identification of Metabolic QTLs and Candidate Genes for Glucosinolate Synthesis in Brassica oleracea Leaves, Seeds and Flower Buds. PLoS ONE 2014, 9, e91428. [Google Scholar] [CrossRef]
- Velasco, P.; Cartea, M.E.; González, C.; Vilar, M.; Ordás, A. Factors Affecting the Glucosinolate Content of Kale (Brassica oleraceaacephala Group). J. Agric. Food Chem. 2007, 55, 955–962. [Google Scholar] [CrossRef] [PubMed]
- Petersen, B.L.; Chen, S.; Hansen, C.H.; Olsen, C.E.; Halkier, B.A. Composition and content of glucosinolates in developing Arabidopsis thaliana. Planta 2002, 214, 562–571. [Google Scholar] [CrossRef] [PubMed]
- Francisco, M.; Velasco, P.; Lema, M.; Cartea, M.E. Genotypic and Environmental Effects on Agronomic and Nutritional Value of Brassica rapa. Agron. J. 2011, 103, 735–742. [Google Scholar] [CrossRef]
- Obregón-Cano, S.; Cartea, M.; Moreno, R.; De Haro-Bailón, A. Variation in glucosinolate and mineral content in Galician germplasm of Brassica rapa L. cultivated under Mediterranean conditions. Acta Hortic. 2018, 1202, 157–164. [Google Scholar] [CrossRef]
- Li, Z.; Zheng, S.; Liu, Y.; Fang, Z.; Yang, L.; Zhuang, M.; Zhang, Y.; Lv, H.; Wang, Y.; Xu, D. Characterization of glucosinolates in 80 broccoli genotypes and different organs using UHPLC-Triple-TOF-MS method. Food Chem. 2021, 334, 127519. [Google Scholar] [CrossRef]
- Wang, L.I.; Giovannucci, E.L.; Hunter, D.; Neuberg, D.; Su, L.; Christiani, D.C. Dietary intake of Cruciferous vegetables, Glutathione S-transferase (GST) polymorphisms and lung cancer risk in a Caucasian population. Cancer Causes Control. 2004, 15, 977–985. [Google Scholar] [CrossRef]
- Kris-Etherton, P.M.; Hecker, K.D.; Bonanome, A.; Coval, S.M.; Binkoski, A.E.; Hilpert, K.F.; Griel, A.E.; Etherton, T.D. Bioactive compounds in foods: Their role in the prevention of cardiovascular disease and cancer. Am. J. Med. 2002, 113, 71–88. [Google Scholar] [CrossRef]
- Francisco, M.; Ali, M.A.A.; Ferreres, F.; Moreno-Fernández, D.Á.; Velasco, P.; Soengas, P. Organ-Specific Quantitative Genetics and Candidate Genes of Phenylpropanoid Metabolism in Brassica oleracea. Front. Plant Sci. 2016, 6, 1240. [Google Scholar] [CrossRef] [PubMed]
- Nilsson, J.; Olsson, K.; Engqvist, G.; Ekvall, J.; Olsson, M.; Nyman, M.; Åkesson, B. Variation in the content of glucosinolates, hydroxycinnamic acids, carotenoids, total antioxidant capacity and low-molecular-weight carbohydrates in Brassica vegetables. J. Sci. Food Agric. 2005, 86, 528–538. [Google Scholar] [CrossRef]






| Crop Type | Species | Variety Name | Days to Harvest | |
|---|---|---|---|---|
| Leaves | Tops | |||
| Curly kale | B. oleracea | BRS0027 | 272 | 314 |
| Red vein kale | B. oleracea | BRS0049 | 272 | 300 |
| Kale | B. oleracea | BRS0156 | 272 | 300 |
| Coias | B. oleracea | BRS0468 | 272 | 272 |
| Tronchuda cabbage | B. oleracea | BRS0226 | 265 | 265 |
| Cabbage | B. oleracea | BRS0425 | 272 | 288 |
| Curly leaf cabbage | B. oleracea | BRS0535 | 272 | 288 |
| Poio cabbage | B. oleracea | BRS0072 | 265 | 265 |
| Turnip tops | B. rapa | BRS0082 | 168 | 221 |
| Turnip tops | B. rapa | BRS0184 | 168 | 204 |
| Turnip tops | B. rapa | BRS0729 | 168 | 168 |
| Turnip tops | B. rapa | BRS0730 | 168 | 204 |
| Turnip tops | B. rapa | BRS0731 | 168 | 168 |
| Nabicol (leaf rape) | B. napus | BRS0063 | 168 | 187 |
| Nabicol (leaf rape) | B. napus | BRS0085 | 168 | 168 |
| Nabicol (leaf rape) | B. napus | BRS0337 | 168 | 187 |
| Nabicol (leaf rape) | B. napus | BRS0037 | 168 | 168 |
| Nabicol (leaf rape) | B. napus | BRS0110 | 168 | 168 |
Publisher’s Note: MDPI stays neutral with regard to jurisdictional claims in published maps and institutional affiliations. |
© 2021 by the authors. Licensee MDPI, Basel, Switzerland. This article is an open access article distributed under the terms and conditions of the Creative Commons Attribution (CC BY) license (https://creativecommons.org/licenses/by/4.0/).
Share and Cite
Soengas, P.; Velasco, P.; Fernández, J.C.; Cartea, M.E. New Vegetable Brassica Foods: A Promising Source of Bioactive Compounds. Foods 2021, 10, 2911. https://doi.org/10.3390/foods10122911
Soengas P, Velasco P, Fernández JC, Cartea ME. New Vegetable Brassica Foods: A Promising Source of Bioactive Compounds. Foods. 2021; 10(12):2911. https://doi.org/10.3390/foods10122911
Chicago/Turabian StyleSoengas, Pilar, Pablo Velasco, Juan Carlos Fernández, and María Elena Cartea. 2021. "New Vegetable Brassica Foods: A Promising Source of Bioactive Compounds" Foods 10, no. 12: 2911. https://doi.org/10.3390/foods10122911
APA StyleSoengas, P., Velasco, P., Fernández, J. C., & Cartea, M. E. (2021). New Vegetable Brassica Foods: A Promising Source of Bioactive Compounds. Foods, 10(12), 2911. https://doi.org/10.3390/foods10122911

