CO2 Derivatives of Molecular Tin Compounds. Part 2: Carbamato, Formato, Phosphinoformato and Metallocarboxylato Complexes †
Abstract
1. Introduction
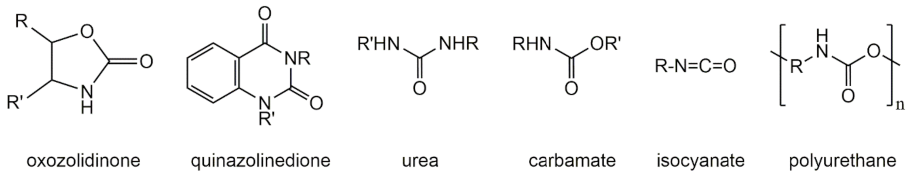
Tin-Promoted Insertion Reaction of CO2 into C–N Bonds
2. Carbamato Tin Complexes
2.1. Early Works
2.2. Reactivity
2.3. X-Ray Crystal Structures
| Compounds | Sn−O(C) (Å) | Sn−N(C) (Å) | C−O(Sn) (Å) | C=O (Å) | N−C(O2) (Å) | O−C−O (deg) | N−C−O (deg) | CSD Entry Deposition Number | Ref. |
|---|---|---|---|---|---|---|---|---|---|
| Me3SnNHC(=O)–OSnMe3 (1) | 2.23(2) 2.24(2) | 2.04(2) | 1.27(4) 1.30(3) | na | 1.35(4) | 126(3) | 120(2) 114(3) | MESNCB1211377 | [42] |
| Sn(O2CNi-Pr2)4 (2) | 2.146(5) 2.217(4) 2.136(5) 2.195(4) 2.198(4) 2.135(5) 2.219(4) 2.126(5) | na | 1.283(7) 1.276(8) 1.279(7) 1.260(8) 1.268(8) 1.269(7) 1.275(8) 1.282(7) | na | 1.33(1) 1.352(9) 1.34(1) 1.333(8) | 117.7(6) 117.3(6) 116.1(6) 117.2(6) | 119.9(6) 122.4(6) 122.9(6) 119.7(6) 120.6(6) 122.2(6) 116.1(6) 121.2(6) | MULPUE 196069 | [45] |
| Sn(O2CNEt2)4 (3) | 2.156(1) 2.209(1) 2.163(1) 2.196(1) | na | 1.292(2) 1.277(2) 1.298(2) 1.276(2) | na | 1.338(2) 1.331(2) | 117.0(1) 116.6(1) | 121.5(2) 121.7(1) 121.7(2) | UGOZUL 196788 | [46] |
| Sn4(μ4-O){μ2-O2CN[SiMe2(CH2)]2}4(μ2-N=C=O)2 (4) | 2.331(2) 2.164(3) 2.226(3) 2.429(3) 2.716(4) 2.165(3) 2.379(2) 2.225(3) 2.458(2) | na | 1.274(58) 1.282(5) 1.272(5) 1.291(5) 1.273(6) 1.289(5) 1.301(6) 1.257(5) | na | 1.349(5) 1.345(5) 1.355(5) | 121.0(4) 121.1(4) 121.6(4) | 121.3(4) 117.6(4) 118.2(4) 120.3(4) 116.9(4) 121.5(4) | IFOXEH 664586 | [50] |
| [(Me2NCO2)2Sn]2 (5) | 2.332(1) 2.235(2) 2.432(2) 2.115(2) | na | 1.272(3) 1.280(3) 1.263(3) 1.295(3) | na | 1.338(3) 1.336(3) | 118.8(2) 121.8(2) | 120.2(2) 121.0(2) 121.3(2) 116.9(2) | UYOBIU 806650 | [52] |
| [HC{(Me)CN(2,6-i-Pr2C6H3)}2]SnOC(O)Ni-Pr2 (6) | 2.1346(16) | na | 1.304(3) | 1.238(3) | 1.366(3) | 121.7(2) | 116.6(2) 121.7(2) | MIYHIN 791226 | [53] |
| Compounds | 119Sn{1H} NMR (δ, ppm) | 13C{1H} NMR -NC(O)O- (δ, ppm) | IR ν(C=O) (cm−1) | Ref. |
|---|---|---|---|---|
| Sn(O2CNi-Pr2)4 (2) | −920.8 a | 164.4 a | na | [45] |
| Sn(O2CNEt2)4 (3) | −930.0 b | 166.2 b | 1612 | [46] |
| Sn4(μ4-O){μ2-O2CN[SiMe2(CH2)]2}4(μ2-N=C=O)2 (4) | −316.0 b | 167.9b | na | [50] |
| [(Me2NCO2)2Sn]2 (5) | −613.0 a | 164.5a | 1651 | [52] |
| [HC{(Me)CN(2,6-i-Pr2C6H3)}2]SnOC(O)Ni-Pr2 (6) | −394.0 b | 161.75 b | 1595, 1575, 1552, and 1524 | [53] |
| [HC{(Me)CN(2,6-i-Pr2C6H3)}2]SnOC(O)NH(2,6-i-Pr2C6H3) (7) | −398.0 b | 161.59 b | 1624, 1554, 1526, and 1517 | [53] |
3. Formato Tin Complexes
3.1. Early Works
3.2. X-Ray Crystal Structures of Formato Tin Complexes Resulting from Reactivity with CO2
| Compounds | Sn−O(C) (Å) | C−O(Sn) (Å) | C−O (Å) | Sn−O−C (deg) | O−C−O (deg) | CSD Entry Deposition Number | Ref. |
|---|---|---|---|---|---|---|---|
| [HC{(Me)CN(2,6-i-Pr2C6H3)}2]SnOC(O)H (8) | 2.1353(15) | 1.299(2) | 1.209(3) | 116.40(13) | 126.78(18) | COPLOJ 709476 | [62] |
| [Re{Sn[OC(O)H]2(μ-OH)}(CO)2{P(OEt)3}3]2 (9) | 2.040(5) 2.071(7) | 1.29(1) 1.26(1) | 1.19(2) 1.21(1) | 123.1(6) 132.2(6) | 126(1) 128.8(9) | CIHYUO 655465 | [63] |
| [Ru[Sn{OC(O)H}2(μ-OH)](Cp){P(OEt)3}(PPh3)]2 (10) | 2.210(2) 2.069(2) | 1.262(4) 1.274(5) | 1.216(5) 1.205(6) | 128.7(2) 133.5(2) | 127.9(3) 125.7(4) | KOMBUK 708897 | [64] |
| OsH[Sn(OH){OC(O)H}2][PPh(OEt)2]4 (11) | 2.061(5) 2.089(5) | 1.16(1) 1.25(1) | 1.11(1) 1.21(1) | 132.8(7) 124.9(7) | 131(1) 124(1) | ALAGUQ 813529 | [65] |
| [(Me3Sn)3(μ-OH)2(H2O)2][Me3Sn{OC(O)H}2] (12) | 2.2991(17) 2.2990(17) | 1.269(3) | 1.224(3) | 125.94(17) | 128.1(3) | EWIGIC 1505528 | [66] |
| N(C6H2-i-Pr{C(H)Ph2)2-4,2,6)(Si-i-Pr3)Sn(κ2-O,O’-O2CH) (13) | 2.353(2) 2.333(2) | 1.109(4) 1.310(4) | na | 91.4(2) 87.5(2) | 125.6(4) | ACEQUX 1518144 | [67] |
| Compounds | 119Sn{1H} NMR (δ, ppm) | 13C{1H} NMR −OC(H)O (δ, ppm) | 1H NMR −OC(H)O (δ, ppm) | IR (cm−1) | Ref. |
|---|---|---|---|---|---|
| [HC{(Me)CN(2,6-i-Pr2C6H3)}2]SnOC(O)H (8) | −360 a | 166.92 a | 8.97 3J(119Sn,H) = 52 Hz | 1641 (νC=O) 2700 (νC−H) | [62] |
| [Re{Sn[OC(O)H]2(μ-OH)}(CO)2{P(OEt)3}3]2 (9) | −487.7 b | 166.4 b | 9.21 bc | 1665, 1594 (νCHO) | [63] |
| [Ru[Sn{OC(O)H}2(μ-OH)](Cp){P(OEt)3}(PPh3)]2 (10) | −263.5 cd | 166.1 d | 8.36 d | 1660, 1627 (νCHO) | [64] |
| OsH[Sn(OH){OC(O)H}2][PPh(OEt)2]4 (11) | −451.0 b | 165.5 e | 8.93 b | 1673, 1634 (νCHO) | [65] |
| N(C6H2-i-Pr{C(H)Ph2)2-4,2,6)(Si-i-Pr3)Sn(κ2-O,O’-O2CH) (13) | −134.0 a | 173.80 a | 8.71 a | 1549 (νCHO) | [67] |
4. Phosphinoformato Tin Complexes
4.1. Foreword
| Compounds | Sn–O(C) (Å) | P–C(O2) (Å) | C–O(Sn) (Å) | C–Oexo (Å) | Sn–O–C (deg) | O–C–O (deg) | O–C–P (deg) | CSD Entry Deposition Number | Ref. |
|---|---|---|---|---|---|---|---|---|---|
| [(i-Pr2P)2N·CO2]2Sn (14) | 2.344(4) 2.344(5) | 1.875(7) 1.867(6) | 1.272(8) 1.273(8) | 1.210(8) 1.231(7) | 128.2(5) 132.2(4) | 126.8(6) 129.5(6) | 114.5(5) 116.0(5) 117.8(5) 115.4(5) | RANBUF 831553 | [69] |
| (F5C2)3SnCH2P(t-Bu)2·CO2 (15) | 2.233(2) | 1.891(6) | 1.268(4) | 1.216(4) | 122.9(2) | 128.1(3) | 114.9(2) 117.0(3) | FONREI 1892689 | [70] |
4.2. X-Ray Crystal Structures
| Compounds | 119Sn{1H} NMR (δ, ppm) | 13C{1H} NMR –OC(O)P (δ, ppm) | 31P{1H} NMR –OC(O)P (δ, ppm) | IR (cm−1) | Ref. |
|---|---|---|---|---|---|
| [(i-Pr2P)2N·CO2]2Sn (14) | −184 a (t, 1JSn-P = 2626 Hz) | 168.7 a (d, 1JC-P = 95 Hz, PCO2) | 26.4 a (s, broad) | 1629 (νC=O) 1206 | [69] |
| (F5C2)3SnCH2P(tBu)2·CO2 (15) | −308.3 bc (hept, very broad, 2JSn,F = 368 Hz). | 162.3 bd (d, 1JC-P = 80 Hz, PCO2) | 31.8 bd (s, 2JSn,P = 56 Hz) | na | [70] |
5. Metallocarboxylato Tin Complexes
5.1. Foreword
5.2. X-Ray Crystal Structures
| Compounds | Sn−O(C) (Å) | M−C(O2) (Å) | C−O (Å) | O−C−O (deg) | O−Sn−O (deg) | CSD Entry Deposition Number | Ref. |
|---|---|---|---|---|---|---|---|
| (η5-C5H5)Re(NO)(PPh3)(CO2SnPh3) (16) | 2.257(7) 2.175(7) | 2.058(9) | 1.269(11) 1.313(11) | 112.2(8) | 57.8(2) | FODLAL 1158240 | [72] |
| (η5-C5H5)Fe(CO)(PPh3)(CO2SnPh3) (17) | 2.123(4) 2.342(4) | 1.931(5) | 1.270(6) 1.305(6) | 113.4(4) | 57.4(1) | JIDLUD 1185927 | [73] |
| (η5-C9H7)Fe(CO)(PPh3)(CO2SnPh3) (18) | 2.069(2) 2.536(2) | 1.933(3) | 1.236(3) 1.336(3) | 115.9(3) | 55.42(7) | HADNUV 1171252 | [75] |
| Cp*Re(CO)(NO)(CO2SnPh3) (19) | 2.092(3) 2.399(1) | 2.100(9) | 1.24(1) 1.322(9) | 114.6(7) | 56.79(5) | YEGCUI 1300837 | [76] |
| CpFe(CO)(PPh3)(CO2SnMe3) (20) | 2.476(3) 2.089(3) | 1.936(4) | 1.260(6) 1.321(5) | 114.3(3) | 55.94(9) | YOTBEO 1305570 | [77] |
| CpFe(CO)(PPh3)(CO2Sn(n-Bu)3) (21) | 2.105(4) 2.432(4) | 1.934(6) | 1.266(7) 1.316(7) | 114.2(5) | 56.5(1) | YOTBIS 1305571 | [77] |
| Cp*Fe(CO)2(CO2SnPh3) (22) | 2.102(2) 2.394(2) | 1.956(3) | 1.252(3) 1.312(3) | 114.5(2) | 56.90(6) | YOTBOY 1305572 | [77] |
| Cp*Re(CO)(NO)(CO2SnMe3 (23) | 2.054(4) 2.806(4) | 2.103(5) | 1.237(6) 1.311(6) | 117.0(5) | 50.3(1) | YOTBUE 1305573 | [77] |
| [Cp*Re(CO)(NO)(CO2)]2SnMe2 (24) | 2.079(6) 2.524(8) | 2.11(1) | 1.26(1) 1.31(1) | 116.8(9) | 55.7(2) | NOXRUN 1223123 | [78] |
| Cp*Re(CO)(NO)(CO2Sn(Cl)Me3) (25) | 2.109(8) 2.287(8) | 2.11(1) | 1.24(1) 1.32(1) | 115.4(9) | 58.8(3) | NOXROH | [78] |
| FeCl(CO2SnPh3)(depe)2 (26) | 2.097(6) 2.312(7) | 1.87(1) | 1.28(1) 1.32(1) | 108.4(9) | 57.0 | NOMQIP 1222229 | [79] |
| Os3(CO)10(μ-η2-O=COSnPh3)(μ-OMe) (27) | 2.076(5) | 2.080(6) | 1.277(8) 1.295(8) | 115.6(8) | 116.0(4) | IXODAB 807088 | [80] |
| [NEt4]4[Pt9(CO)8(SnCl2)3(SnCl3)2-(Cl2SnOCOSnCl2)]·2.5CH3COCH3 (28) | 2.088(9) 2.122(9) | 2.03(1) | 1.28(1) 1.31(2) | 116(1) | 115.5(7) 117.8(8) | KAKLOA 1439435 | [81] |
| Compounds | 119Sn{1H} NMR (δ, ppm) | 13C{1H} NMR M–CO2 (δ, ppm) | IR ν(OCO) (cm−1) | Ref. |
|---|---|---|---|---|
| (η-C5H5)Re(NO)(PPh3)(CO2SnPh3) (16) | −167.1 a J119Sn,31P = 4.6 Hz | 207.6 a | 1395, 1188 | [72] |
| Cp*Re(CO)(NO)(CO2SnPh3) (19) | na | 206.94 b | 1429, 1174 | [76] |
| CpFe(CO)(PPh3)(CO2SnMe3) (20) | na | 219.63 a d, JP,C = 30.2 Hz 220.42 c d, JP,C = 32.5 Hz | 1433, 1132 | [77] |
| CpFe(CO)(PPh3)(CO2Sn(n-Bu)3) (21) | na | 219.56 a d, JP,C = 30.9 Hz 220.29 c d, JP,C = 31.4 Hz | 1480, 1132 | [77] |
| Cp*Fe(CO)2(CO2SnPh3) (22) | na | 215.10 a | 1470, 1146 | [77] |
| Cp*Re(CO)(NO)(CO2SnMe3) (23) | na | 197.58 a 196.10 c | 1512, 1162 | [77] |
| Cp*Re(CO)(NO)(CO2Sn(Cl)Me2) (24) | na | 205.66 d | 1385, 1246 | [78] |
| [Cp*Re(CO)(NO)(CO2)]2SnMe2 (25) | na | 202.14 d | 1469, 1186 | [78] |
| FeCl(CO2SnPh3)(depe)2 (26) | na | 243.8 d qui, JP,C = 22 Hz | 1306 | [80] |
6. Conclusions
Funding
Institutional Review Board Statement
Informed Consent Statement
Data Availability Statement
Acknowledgments
Conflicts of Interest
References
- Plasseraud, L. CO2 derivatives of molecular tin compounds. Part 1: Hemicarbonato and carbonato complexes. Inorganics 2020, 8, 31. [Google Scholar] [CrossRef]
- Aresta, M.; Nobile, C.F.; Albano, V.G.; Forni, E.; Manassero, M. New nickel-carbon dioxide complex: Synthesis, properties, and crystallographic characterization of (carbon dioxide)bis(tricyclohexylphosphine)nickel. J. Chem. Soc. Chem. Commun. 1975, 636–637. [Google Scholar] [CrossRef]
- Álvarez, M.; Galindo, A.; Pérez, P.J.; Carmona, E. Molybdenum and tungsten complexes with carbon dioxide and ethylene ligands. Chem. Sci. 2019, 10, 8541–8546. [Google Scholar] [CrossRef]
- Gibson, D.H. The organometallic chemistry of carbon dioxide. Chem. Rev. 1996, 96, 2063–2096. [Google Scholar] [CrossRef] [PubMed]
- Mascetti, J. Carbon dioxide coordination chemistry and reactivity of coordinated CO2. In Carbon Dioxide as Chemical Feedstock; Aresta, M., Ed.; Wiley-VCH Verlag GmbH & Co. KGaA: Weinheim, Germany, 2010; pp. 55–88. [Google Scholar]
- Mascetti, J. Metal coordination of CO2. In Encyclopedia of Inorganic and Bioinorganic Chemistry; Wiley: Hoboken, NJ, USA, 2014; pp. 1–17. [Google Scholar]
- Aresta, M.; Dibenedetto, A.; Quaranta, E. CO2 coordination to metal centres: Modes of bonding and reactivity. In Reaction Mechanisms in Carbon Dioxide Conversion; Springer: Berlin/Heidelberg, Germany, 2016; pp. 35–69. [Google Scholar]
- Paparo, A.; Okuda, J. Carbon dioxide complexes: Bonding modes and synthetic methods. Coord. Chem. Rev. 2017, 334, 136–149. [Google Scholar] [CrossRef]
- Holscher, M.; Gurtler, C.; Keim, W.; Muller, T.E.; Peters, M.; Leitner, W. Carbon dioxide as a carbon resource—Recent trends and perspectives. Z. Naturforschung B 2012, 67b, 961–975. [Google Scholar] [CrossRef]
- Dibenedetto, A.; Angelini, A.; Stufano, P. Use of carbon dioxide as feedstock for chemicals and fuels: Homogeneous and heterogeneous catalysis. J. Chem. Tech. Biotech. 2014, 89, 334–353. [Google Scholar] [CrossRef]
- Wang, H.; Gao, P.; Zhao, T.; Wei, W.; Sun, Y. Recent advances in the catalytic conversion of CO2 to value added compounds. Sci. China Chem. 2015, 58, 79–92. [Google Scholar] [CrossRef]
- Liu, Q.; Wu, L.; Jackstell, R.; Beller, M. Using carbon dioxide as a building block in organic synthesis. Nat. Commun. 2015, 6, 5933. [Google Scholar] [CrossRef] [PubMed]
- Kleij, A.W.; North, M.; Urakawa, A. CO2 catalysis. ChemSusChem 2017, 10, 1036–1038. [Google Scholar] [CrossRef]
- Dabral, S.; Schaub, T. The use of carbon dioxide (CO2) as a building block in organic synthesis from an industrial perspective. Adv. Synth. Catal. 2019, 361, 223–246. [Google Scholar] [CrossRef]
- Jana, A.; Tavčar, G.; Roesky, H.W.; John, M. Germanium(II) hydride mediated reduction of carbon dioxide to formic acid and methanol with ammonia borane as the hydrogen source. Dalton Trans. 2010, 39, 9487–9489. [Google Scholar] [CrossRef]
- Villegas-Escobar, N.; Schaefer, H.F., III; Toro-Labbé, A. Formation of formic acid derivatives through activation and hydroboration of CO2 by low-valent group 14 (Si, Ge, Sn, Pb) catalysts. J. Phys. Chem. A 2020, 124, 1121–1133. [Google Scholar] [CrossRef]
- Groom, C.R.; Bruno, I.J.; Lightfoot, S.C.; Ward, S.C. The Cambridge Structural Database. Acta Cryst. 2016, B72, 171–179. [Google Scholar] [CrossRef] [PubMed]
- Wang, H.; Xin, Z.; Li, Y. Synthesis of ureas from CO2. Top. Curr. Chem. 2017, 375, 1–26. [Google Scholar]
- Yang, Z.-Z.; He, L.-N.; Gao, J.; Liu, A.-H.; Yu, B. Carbon dioxide utilization with C–N bond formation: Carbon dioxide capture and subsequent conversion. Energy Environ. Sci. 2012, 5, 6602–6639. [Google Scholar] [CrossRef]
- Li, J.-Y.; Song, Q.-W.; Zhang, K.; Liu, P. Catalytic conversion of carbon dioxide through C–N bond formation. Molecules 2019, 24, 182. [Google Scholar] [CrossRef]
- Dalpozzo, R.; Della Ca’, N.; Gabriele, B.; Mancuso, R. Recent advances in the chemical fixation of carbon dioxide: A green route to carbonylated heterocycle synthesis. Catalysts 2019, 9, 511. [Google Scholar] [CrossRef]
- Tominaga, K.-I.; Sasaki, Y. Synthesis of 2-oxazolidinones from CO2 and 1,2-aminoalcohols catalyzed by n-Bu2SnO. Synlett 2002, 2, 307–309. [Google Scholar] [CrossRef]
- Pulla, S.; Felton, C.M.; Gartia, Y.; Ramidi, P.; Ghosh, A. Synthesis of 2-oxazolidinones by direct condensation of 2-aminoalcohols with carbon dioxide using chlorostannoxanes. ACS Sustain. Chem. Eng. 2013, 1, 309–312. [Google Scholar] [CrossRef]
- Chaturvedi, D. Perspectives on the synthesis of organic carbamates. Tetrahedron 2012, 68, 15–45. [Google Scholar] [CrossRef]
- Dell’Amico, D.B.; Calderazzo, F.; Labella, L.; Marchetti, F.; Pampaloni, G. Converting carbon dioxide into Carbamato Derivatives. Chem. Rev. 2003, 103, 3857–3898. [Google Scholar] [CrossRef]
- Bresciani, G.; Biancalana, L.; Pampaloni, G.; Marchetti, F. Recent advances in the chemistry of metal carbamates. Molecules 2020, 25, 3603. [Google Scholar] [CrossRef]
- Zhu, G.; Li, H.; Cao, Y.; Liu, H.; Li, X.; Chen, J.; Tang, Q. Kinetic study on the novel efficient clean decomposition of methyl N-phenyl carbamate to phenyl isocyanate. Ind. Eng. Chem. Res. 2013, 52, 4450–4454. [Google Scholar] [CrossRef]
- Heyn, R.H.; Jacobs, I.; Carr, R.H. Chapter three—Synthesis of aromatic carbamates from CO2: Implications for the polyurethane industry. Adv. Inorg. Chem. 2014, 66, 83–115. [Google Scholar]
- Abla, M.; Choi, J.-C.; Sakakura, T. Halogen-free process for the conversion of carbon dioxide to urethanes by homogeneous catalysis. Chem. Commun. 2001, 2238–2239. [Google Scholar] [CrossRef] [PubMed]
- Yuan, H.-Y.; Choi, J.-C.; Onozawa, S.-y.; Fukaya, N.; Choi, S.J.; Yasuda, H.; Sakakura, T. The direct synthesis of N-phenylcarbamates from CO2, aniline, and dibutyltin dialkoxide. J. CO2 Util. 2016, 16, 282–286. [Google Scholar] [CrossRef]
- Ballivet-Tkatchenko, D.; Chermette, H.; Plasseraud, L.; Walter, O. Insertion reaction of carbon dioxide into Sn–OR bond. Synthesis, structure and DFT calculations of di- and tetranuclear isopropylcarbonato tin(IV) complexes. Dalton Trans. 2006, 5167–5175. [Google Scholar] [CrossRef] [PubMed]
- Germain, N.; Müller, I.; Hanauer, M.; Paciello, R.A.; Baumann, R.; Trapp, O.; Schaub, T. Synthesis of industrially relevant carbamates towards isocyanates using carbon dioxide and organotin(IV) alkoxides. ChemSusChem 2016, 9, 1586–1590. [Google Scholar] [CrossRef] [PubMed]
- Germain, N.; Hermsen, M.; Schaub, T.; Trapp, O. Synthesis of carbamates from carbon dioxide promoted by organostannanes and alkoxysilanes. Appl. Organomet. Chem. 2017, 31, e3733. [Google Scholar] [CrossRef]
- Ballivet-Tkatchenko, D.; Jerphagnon, T.; Ligabue, R.; Plasseraud, L.; Poinsot, D. The role of distannoxanes in the synthesis of dimethyl carbonate from carbon dioxide. Appl. Catal. Gen. 2003, 255, 93–99. [Google Scholar] [CrossRef]
- Bloodworth, A.J.; Davies, A.G. Organometallic reactions. Part I. The addition of tin alkoxides to isocyanates. J. Chem. Soc. 1965, 5238–5244. [Google Scholar] [CrossRef]
- Bloodworth, A.J.; Davies, A.G. Organometallic reactions. Part II. The addition of bistrialkyltin oxides to isocyanates. J. Chem. Soc. 1965, 6245–6249. [Google Scholar] [CrossRef]
- Harrison, P.G.; Zuckerman, J.J. Structural studies in main group chemistry III. Tin-119m Mössbauer investigation of some tin-nitrogen bonded compounds. J. Organomet. Chem. 1973, 55, 261–266. [Google Scholar] [CrossRef]
- Devendra, R.; Edmonds, N.R.; Söhnel, T. Interaction between trialkyltin alkoxide and phenyl isocyanate in the formation of tin carbamate: A computational and experimental study. J. Mol. Catal. A 2014, 395, 72–86. [Google Scholar] [CrossRef]
- Bloodworth, A.J.; Davies, A.G.; Vasishtha, S.C. Organometallic reactions. Part XIV. The decarboxylation of trialkyltin carbamates by isocyanates and isothiocyanates: A new route to carbodi-imides. J. Chem. Soc. C 1968, 2640–2646. [Google Scholar] [CrossRef]
- Shibata, I.; Yamasaki, H.; Baba, A.; Matsuda, H. A novel Darzens-type reaction promoted by tributylstannylcarbamate. J. Org. Chem. 1992, 57, 6909–6914. [Google Scholar] [CrossRef]
- Shibata, I.; Mori, Y.; Yamasaki, H.; Baba, A.; Matsuda, H. Novel Michael addition promoted by tributylstannylcarbamate. Synthesis of diacylcyclopropanes. Tetrahedron Lett. 1993, 34, 6567–6570. [Google Scholar] [CrossRef]
- Zakharov, N.; Struchkov, Y.T.; Ganina, V.I.; Kuz’min, E.A. X-ray crystallographic investigation of nonbinding interactions and coordination in organometallic compounds. XV. The crystal structure of the trimeththylstannyl ester of trimethylstannylcarbamic acid Me3SnNHC(=O)–OSnMe3. Zhurnal Strukturnoi Khimii 1980, 21, 162–167. [Google Scholar]
- Plasseraud, L. Organotin(IV) complexes containing Sn−O−Se moieties: A structural inventory. Synthesis 2018, 50, 3653–3661. [Google Scholar] [CrossRef]
- Kümmerlen, J.; Sebald, A.; Reuter, H. The structure of (iBu3Sn)2CO3 and (Me3Sn)2CO3 in solution and in the solid state studied by 13C/119Sn NMR spectroscopy and X-ray diffraction. J. Organomet. Chem. 1992, 427, 309–323. [Google Scholar] [CrossRef]
- Abis, L.; Belli Dell’Amico, D.; Calderazzo, F.; Caminiti, R.; Garbassi, F.; Ianelli, S.; Pelizzi, G.; Robino, P.; Tomei, A. N,N-Dialkylcarbamato complexes as precursors for the chemical implantation of metal cations on a silica support. Part I. Tin. J. Mol. Catal. Chem. 1996, 108, L113–L117. [Google Scholar] [CrossRef]
- Horley, G.A.; Mahon, M.F.; Molloy, K.C. Synthesis and characterization of novel homoleptic N,N-dialkylcarbamato complexes of antimony: Precursors for the deposition of antimony oxides. Inorg. Chem. 2002, 41, 5052–5058. [Google Scholar] [CrossRef] [PubMed]
- Komarov, N.V.; Ryzhkova, N.A.; Andreev, A.A. Synthesis of alkoxystannanes by reactions of O-(organylstannyl) carbamates with alcohols. Russ. Chem. Bull. 2004, 53, 936–938. [Google Scholar] [CrossRef]
- Levashov, A.S.; Andreev, A.A.; Buryi, D.S.; Konshin, V.V. A reaction of tin tetra(N,N-diethylcarbamate) with phenylacetylene as a new route to tetra(phenylethynyl)tin. Russ. Chem. Bull. 2015, 63, 775–776. [Google Scholar] [CrossRef]
- Buryi, D.S.; Levashov, A.S. The reaction of tin tetracarbamates with organyl chlorosilanes: A novel synthetic route towards O-silylurethanes. Russ. J. Gen. Chem. 2019, 89, 924–928. [Google Scholar] [CrossRef]
- Stewart, C.A.; Dickie, D.A.; Parkes, M.V.; Saria, J.A.; Kemp, R.A. Reactivity of bis(2,2,5,5-tetramethyl-2,5-disila-1-azacyclopent-1-yl)tin with CO2, OCS, and CS2 and comparison to that of bis[bis(trimethylsilyl)amido]tin. Inorg. Chem. 2010, 49, 11133–11141. [Google Scholar] [CrossRef]
- Sita, L.R.; Babcock, J.R.; Xi, R. Facile metathetical exchange between carbon dioxide and the divalent group 14 bisamides M[N(SiMe3)2]2 (M = Ge and Sn). J. Am. Chem. Soc. 1996, 118, 10912–10913. [Google Scholar] [CrossRef]
- Stewart, C.A.; Dickie, D.A.; Tang, Y.; Kemp, R.A. Insertion reactions of CO2, OCS, and CS2 into the Sn–N bonds of (Me2N)2Sn: NMR and X-ray structural characterization of the products. Inorg. Chim. Acta 2011, 376, 73–79. [Google Scholar] [CrossRef]
- Harris, L.A.-M.; Coles, M.P.; Fulton, J.R. Synthesis and reactivity of tin amide complexes. Inorg. Chim. Acta 2011, 369, 97–102. [Google Scholar] [CrossRef]
- Elöd, E.; Kolbach, F. Tin salts of organic acids. Z. Anorganische Allgemeine Chem. 1927, 164, 297–312. [Google Scholar] [CrossRef]
- Donaldson, J.D.; Knifton, J.F. Complex tin(II) formates. J. Chem. Soc. 1964, 6107–6113. [Google Scholar] [CrossRef]
- Jelen, A.; Lindqvist, O. The crystal structure of potassium triformatostannate(II), KSn(HCOO)3. Acta Chem. Scand. 1969, 23, 3071–3080. [Google Scholar] [CrossRef]
- Harrison, P.G.; Thornton, E.W. Derivatives of bivalent germanium, tin, and lead. Part 21. Tin(II) formate: A reinvestigation. J. C. S. Dalton 1978, 1274–1278. [Google Scholar] [CrossRef]
- Molloy, K.C.; Quill, K.; Nowell, I.W. Organotin biocides. Part 8. The crystal structure of triphenyltin formate and a comparative variable-temperature tin-119 Mössbauer spectroscopic study of organotin formates and acetates. J. Chem. Soc. Dalton Trans. 1987, 101–106. [Google Scholar] [CrossRef]
- Mistry, F.; Rettig, S.J.; Trotter, J.; Aubke, F. Structure of bis(formato)dimethyltin(IV). Acta Cryst. 1990, C46, 2091–2093. [Google Scholar] [CrossRef]
- Ellis, B.D.; Atkins, T.M.; Peng, Y.; Sutton, A.D.; Gordon, J.C.; Power, P.P. Synthesis and thermolytic behavior of tin(IV) formates: In search of recyclable metal–hydride systems. Dalton Trans. 2010, 39, 10659–10663. [Google Scholar] [CrossRef] [PubMed]
- McMurtie, J.C.; Arnorld, D.P. Tin(IV) porphyrin complexes. Crystal structures of meso-tetraphenyl-porphyrinatotin(IV) diacetate, bis(dichloro-acetate), bis(trifluoroacetate) and diformate, and structural correlations for tin(IV) porphyrin complexes with O-bound anionic ligands. J. Struct. Chem. 2010, 51, 107–113. [Google Scholar] [CrossRef]
- Jana, A.; Roesky, H.W.; Schulzke, C.; Döring, A. Reactions of tin(II) hydride species with unsaturated molecules. Angew. Chem. Int. Ed. 2009, 48, 1106–1109. [Google Scholar] [CrossRef] [PubMed]
- Albertin, G.; Antoniutti, S.; Castro, J.; García-Fontán, S.; Zanardo, G. Preparation and reactivity of stannyl complexes of manganese and rhenium. Organometallics 2007, 26, 2918–2930. [Google Scholar] [CrossRef]
- Albertin, G.; Antoniutti, S.; Bacchi, A.; Pelizzi, G.; Zanardo, G. Synthesis and reactivity of trihydridostannyl complexes of ruthenium and osmium. Organometallics 2008, 27, 4407–4418. [Google Scholar] [CrossRef]
- Albertin, G.; Antoniutti, S.; Castro, J. Reactivity of dihydrides MH2P4 (M = Fe, Ru, Os) with SnCl2: Preparation of bis(trihydridestannyl) derivatives. Organometallics 2010, 29, 3808–3816. [Google Scholar] [CrossRef]
- Otte, F.; Koller, S.G.; Golz, C.; Strohmann, C. Crystal structures of diaquadi-μ-hydroxido-tris[trimethyltin(IV)] diformatotrimethylstannate(IV) and di-μ-hydroxido-tris[trimethyltin(IV)] chloride monohydrate. Acta Cryst. 2016, E72, 1499–1502. [Google Scholar] [CrossRef]
- Hadlington, T.J.; Kefalidis, C.E.; Maron, L.; Jones, C. Efficient reduction of carbon dioxide to methanol equivalents catalyzed by two-coordinate amido-germanium(II) and -tin(II) hydride complexes. ACS Catal. 2017, 7, 1853–1859. [Google Scholar] [CrossRef]
- Zhu, C.; Frigge, R.; Turner, A.M.; Kaiser, R.I.; Sun, B.-J.; Chen, S.-Y.; Chang, A.H.H. First identification of unstable phosphino formic acid (H2PCOOH). Chem. Commun. 2018, 54, 5716–5719. [Google Scholar] [CrossRef]
- Dickie, D.A.; Coker, E.N.; Kemp, R.A. Formation of a reversible, intramolecular main-group metal–CO2 adduct. Inorg. Chem. 2011, 50, 11288–11290. [Google Scholar] [CrossRef]
- Holtkamp, P.; Friedrich, F.; Stratmann, E.; Mix, A.; Neumann, B.; Stammler, H.-G.; Mitzel, N.W. A neutral germinal tin/phosphorus frustrated Lewis pair. Angew. Chem. Int. Ed. 2019, 58, 5114–5118. [Google Scholar] [CrossRef] [PubMed]
- Pinkes, J.R.; Cutler, A.R. Iron-tin carbon dioxide complexes (η5-C5Me5)(CO)2Fe–CO2SnR3 (R = Me, Ph): Observations pertaining to unsymmetrical metallocarboxylates and carboxylate–carbonyl 13C-label exchange. Inorg. Chem. 1994, 33, 759–764. [Google Scholar] [CrossRef]
- Senn, D.R.; Gladysz, J.A.; Emerson, K.; Larsen, R.D. Synthesis, structure, and reactivity of transition-metal/main-group-metal bridging carboxylate complexes of the formula (η5-C5H5)Re(NO)(PPh3) (CO2MLn) (M = Li, K, Ge, Sn, Pb). Inorg. Chem. 1987, 26, 2737–2739. [Google Scholar] [CrossRef]
- Gibson, D.H.; Richardson, J.F.; Ong, T.-S. 1-Carbonyl-1-η5-cyclopentadienyl-2,2,2-triphenyl-1-triphenylphosphine-μ-carboxylato-1κC:2κO:2κO’-irontin. Acta Cryst. 1991, C47, 259–261. [Google Scholar] [CrossRef]
- Holmes, R.R.; Day, R.O.; Chandrasekhar, V.; Vollano, J.F.; Holmes, J.M. Pentacoordinated molecules. 65. Discrete, dimeric, and polymeric structures of triphenyltin esters of chlorobenzoic acids. Inorg. Chem. 1986, 25, 2490–2494. [Google Scholar] [CrossRef]
- Gibson, D.H.; Richardson, J.F.; Mbadike, O.P. 1-Carbonyl-μ-carboxylato-1κC:2κO:2κO’-1-η5-indenyl-2,2,2-triphenyl-l-(triphenylphosphine)irontin. Acta Cryst. 1993, B49, 784–786. [Google Scholar] [CrossRef]
- Gibson, D.H.; Mehta, J.M.; Ye, M.; Richardson, J.F.; Mashuta, M.S. Synthesis and characterization of rhenium metallocarboxylates. Organometallics 1994, 13, 1070–1072. [Google Scholar] [CrossRef]
- Gibson, D.H.; Ye, M.; Sleadd, B.A.; Mehta, J.M.; Mbadike, O.P.; Richardson, J.F.; Mashuta, M.S. Characterization and thermolysis reactions of CO2-bridged iron-tin and rhenium-tin complexes. Structure-reactivity correlations. Organometallics 1995, 14, 1242–1255. [Google Scholar] [CrossRef]
- Gibson, D.H.; Mehta, J.M.; Mashuta, M.S.; Richardson, J.F. Synthesis and characterization of new rhenium—Tin complexes with μ2-η3-bridging CO2 ligands. Organometallics 1997, 16, 4828–4832. [Google Scholar] [CrossRef]
- Hirano, M.; Akita, M.; Tani, K.; Kumagai, K.; Kasuga, N.C.; Fukuoka, A.; Komiya, S. Activation of coordinated carbon dioxide in Fe(CO2)(depe)2 by group 14 Electrophiles. Organometallics 1997, 16, 4206–4213. [Google Scholar] [CrossRef]
- Adams, R.D.; Chen, M.; Trufan, E. Complexes containing bridging tin- and germanium-substituted metallocarboxylate ligands from the reactions of Ph3SnOH and Ph3GeOH with Os3(CO)12 in the presence of base. J. Organomet. Chem. 2011, 696, 2894–2898. [Google Scholar] [CrossRef]
- Bortoluzzi, M.; Ceriotti, A.; Ciabatti, I.; Della Pergola, R.; Femoni, C.; Iapalucci, M.C.; Storione, A.; Zacchini, S. Platinum carbonyl clusters stabilized by Sn(II)-based fragments: Syntheses and structures of [Pt6(CO)6(SnCl2)2(SnCl3)4]4−, [Pt9(CO)8(SnCl2)3(SnCl3)2(Cl2SnOCOSnCl2)]4− and [Pt10(CO)14{Cl2Sn(OH)SnCl2}2]2−. Dalton Trans. 2016, 45, 5001–5013. [Google Scholar] [CrossRef] [PubMed]
- Paparo, A.; Okuda, J. Carbonite, the dianion of carbon dioxide and its metal complexes. J. Organomet. Chem. 2018, 869, 270–274. [Google Scholar] [CrossRef]





















































Publisher’s Note: MDPI stays neutral with regard to jurisdictional claims in published maps and institutional affiliations. |
© 2021 by the author. Licensee MDPI, Basel, Switzerland. This article is an open access article distributed under the terms and conditions of the Creative Commons Attribution (CC BY) license (http://creativecommons.org/licenses/by/4.0/).
Share and Cite
Plasseraud, L. CO2 Derivatives of Molecular Tin Compounds. Part 2: Carbamato, Formato, Phosphinoformato and Metallocarboxylato Complexes. Inorganics 2021, 9, 18. https://doi.org/10.3390/inorganics9030018
Plasseraud L. CO2 Derivatives of Molecular Tin Compounds. Part 2: Carbamato, Formato, Phosphinoformato and Metallocarboxylato Complexes. Inorganics. 2021; 9(3):18. https://doi.org/10.3390/inorganics9030018
Chicago/Turabian StylePlasseraud, Laurent. 2021. "CO2 Derivatives of Molecular Tin Compounds. Part 2: Carbamato, Formato, Phosphinoformato and Metallocarboxylato Complexes" Inorganics 9, no. 3: 18. https://doi.org/10.3390/inorganics9030018
APA StylePlasseraud, L. (2021). CO2 Derivatives of Molecular Tin Compounds. Part 2: Carbamato, Formato, Phosphinoformato and Metallocarboxylato Complexes. Inorganics, 9(3), 18. https://doi.org/10.3390/inorganics9030018
