Reversibility as a Design Principle in Inorganic, Organometallic and Organic Redox Mediators for Biosensors
Abstract
1. Introduction
Defining Reversibility in Redox Mediators
- Electrochemical reversibility: rapid interfacial ET yielding near-Nernstian voltammetry, defined by small ΔEp and high k°.
- Chemical reversibility: structural and chemical integrity of the mediator during continuous redox cycling without decomposition, dimerisation, ligand loss, or adsorption.
- (a)
- Physical retention: mediator leaching from the electrode or matrix should be minimal to maintain a consistent signal amplitude.
- (b)
- Biocompatibility: reversible mediators should not inactivate the enzyme or generate reactive intermediates that compromise electrode integrity.
- (c)
- Environmental robustness: redox reversibility should persist across realistic variations in pH, ionic strength, temperature and potential cycling frequency.
2. Organometallic and Inorganic Mediators
2.1. Ferrocene
2.2. Iron-Based Mediators: Ferricyanide, Ferrocyanide and Prussian Blue
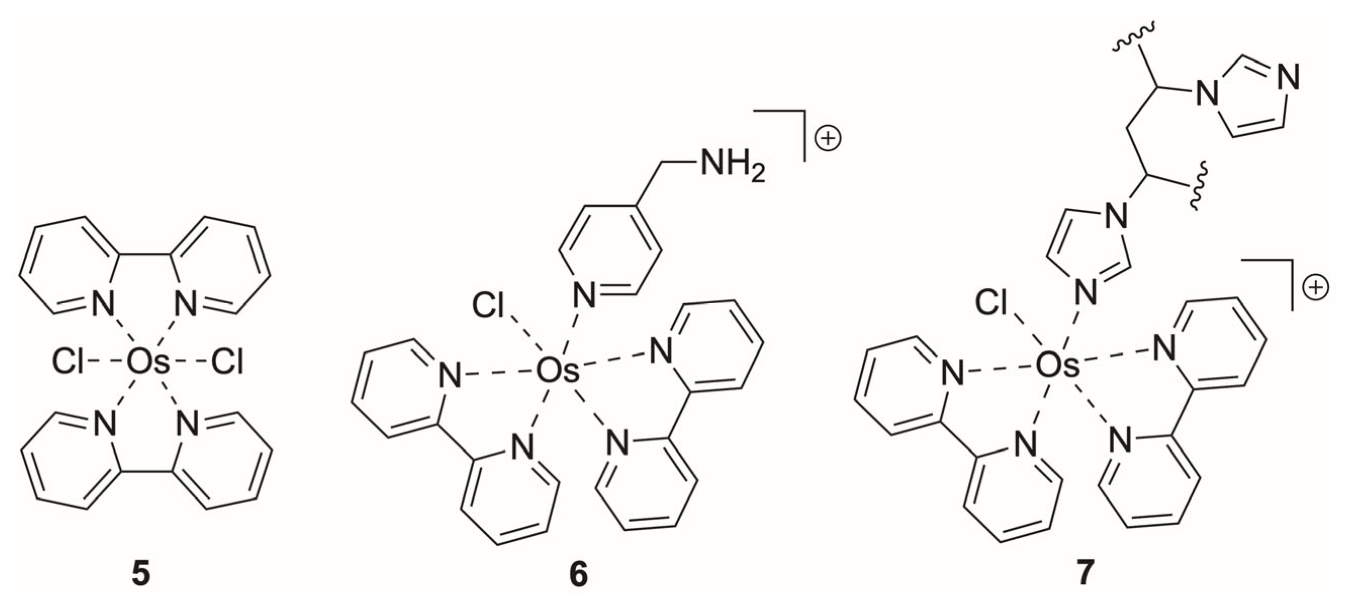
2.3. Osmium Complexes and Polymers
2.4. Ruthenium Complex Mediators
2.5. Cobalt Complex Mediators
3. Organic Mediators: Limits and Mechanistic Contrast
3.1. Viologens
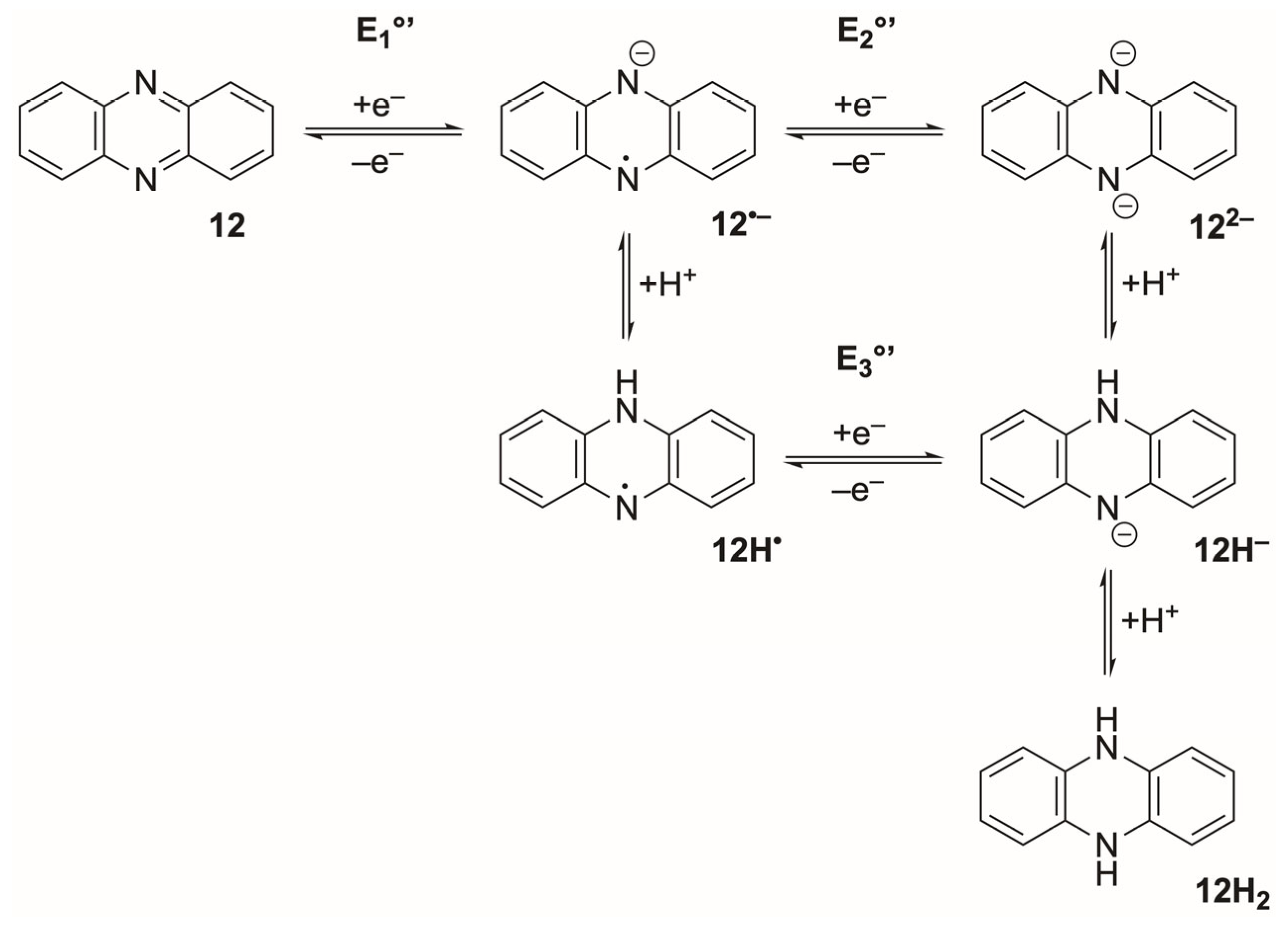
3.2. Phenazines
3.3. Quinones and Catechols
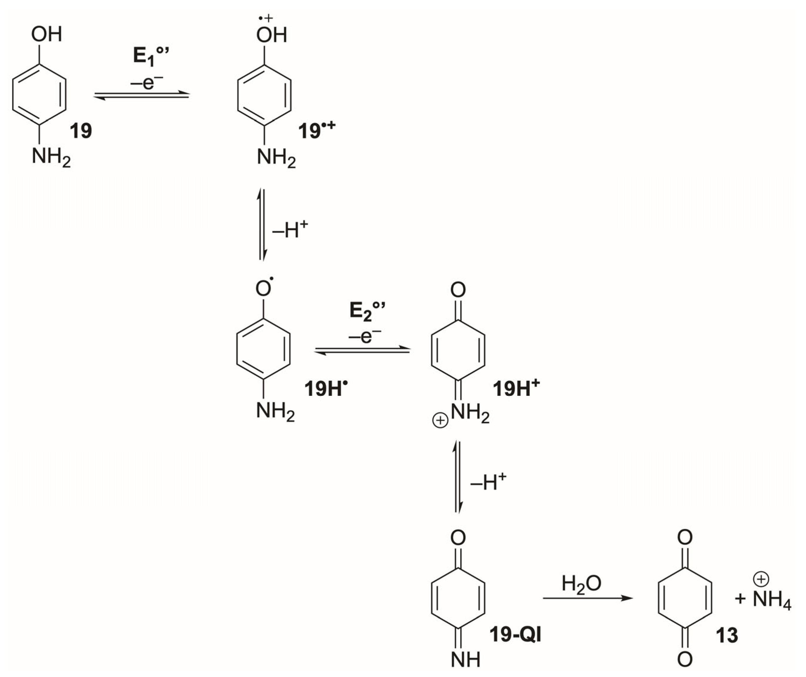
3.4. Aminophenol and Indophenol Derivatives
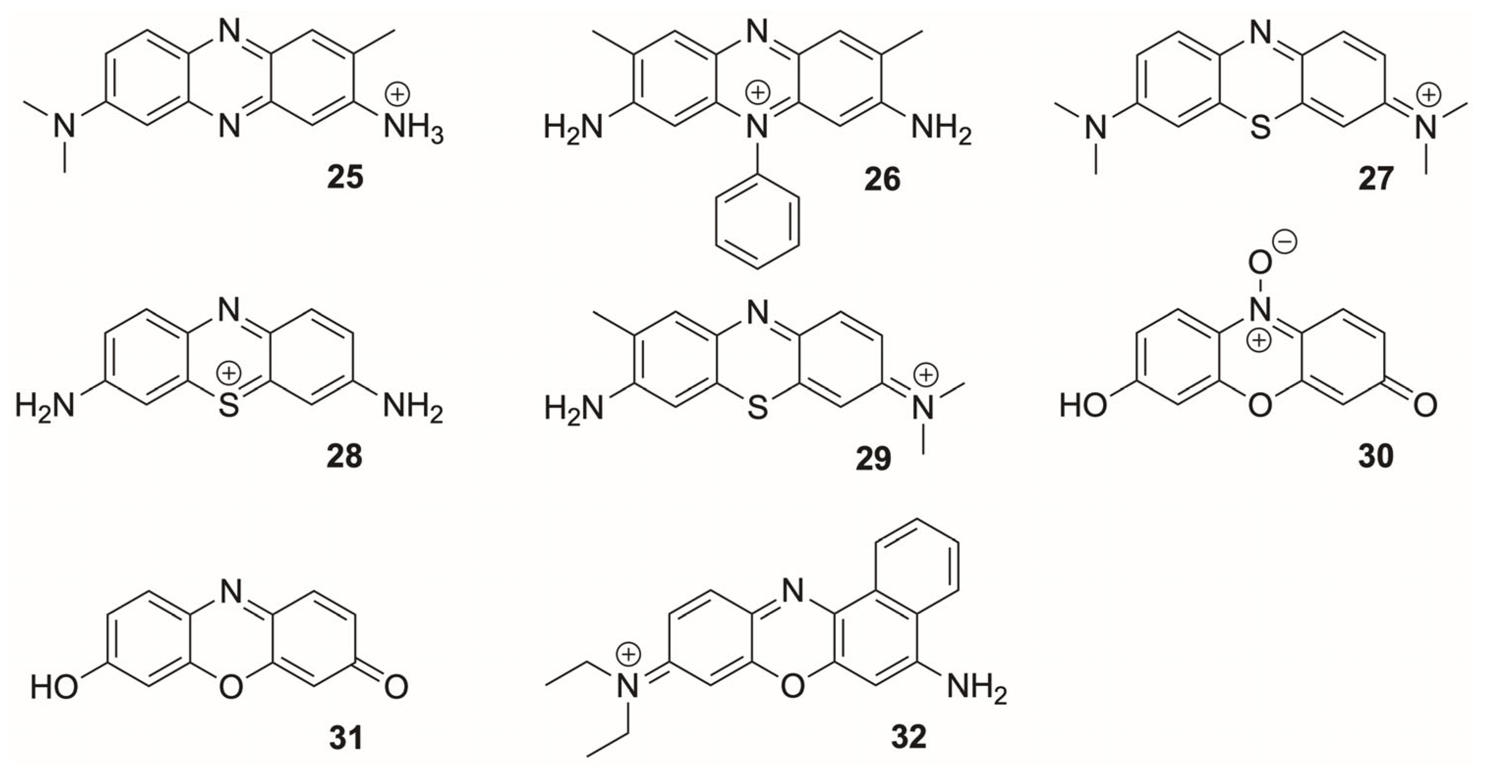
3.5. Azines, Phenothiazines and Phenoxazines
4. Mediator Potential Landscape and Design Constraints
Practical Performance of Redox Mediators Under Continuous and Complex Sensing Conditions
5. Conclusions and Future Perspectives
Funding
Data Availability Statement
Conflicts of Interest
Abbreviations
| BOx | bilirubin oxidase |
| bpy | 2,2′-bipyridine |
| CV | cyclic voltammetry |
| dmabpy | 4-dimethylamino-2,2′-bipyridine |
| dmbpy | 4,4′-dimethyl-2,2′-bipyridine |
| dmObpy | 4,4′-dimethoxy-2,2′-bipyridine |
| EC | electron transfer followed by a chemical step |
| EC′ | electron-transfer/chemical catalytic regeneration mechanism |
| ECEC | electron-transfer/chemical/electron-transfer/chemical sequence |
| ET | electron transfer |
| FAD | flavin adenine dinucleotide |
| Fc | ferrocene |
| GDH | glucose dehydrogenase |
| GOx | glucose oxidase |
| HRP | horseradish peroxidase |
| k° | standard heterogeneous electron-transfer rate constant |
| MOPS | 3-(N-morpholino)propanesulfonic acid (Good’s buffer) |
| NAD | nicotinamide adenine dinucleotide |
| NHE | normal hydrogen electrode |
| PB | Prussian Blue |
| PBS | phosphate-buffered saline |
| PCET | proton-coupled electron transfer |
| PG | Prussian Green |
| phen | 1,10-Phenanthroline |
| phendione | 1,10-Phenanthroline-5,6-dione |
| phpy | phenylpyridine (cyclometalating C–N ligand) |
| POM | Polyoxometalate |
| Poly(Vim) | poly(vinylimidazole) |
| poly(Vpy) | poly(vinylpyridine) |
| Poly(Vpyr-co-aa) | poly(N-vinylpyrrolidone-co-acrylic acid) |
| PQQ | pyrroloquinoline quinone |
| PW | Prussian White |
| SAM | self-assembled monolayer |
| topy | p-Tolylpyridine ligand |
References
- Sadana, A. Engineering Biosensors: Kinetics and Design Applications; Academic Press (Elsevier): San Diego, CA, USA, 2002. [Google Scholar]
- Zhang, X.; Huangxian, J.; Wang, J. Electrochemical Sensors, Biosensors and Their Biomedical Applications; Academic Press: Amsterdam, The Netherlands, 2008. [Google Scholar]
- Campuzano, S.; Pedrero, M.; Gamella, M.; Serafín, V.; Yáñez-Sedeño, P.; Pingarrón, J.M. Beyond Sensitive and Selective Electrochemical Biosensors: Towards Continuous, Real-Time, Antibiofouling and Calibration-Free Devices. Sensors 2020, 20, 3376. [Google Scholar] [CrossRef]
- Bollella, P.; Katz, E. Enzyme-Based Biosensors: Tackling Electron Transfer Issues. Sensors 2020, 20, 3517. [Google Scholar] [CrossRef]
- Savéant, J.-M. Elements of Molecular and Biomolecular Electrochemistry: An Electrochemical Approach to Electron Transfer Chemistry; John Wiley & Sons, Inc.: Hoboken, NJ, USA, 2006. [Google Scholar]
- Lee, H.; Reginald, S.S.; Sravan, J.S.; Lee, M.; Chang, I.S. Advanced strategies for enzyme–electrode interfacing in bioelectrocatalytic systems. Trends Biotechnol. 2025, 43, 1328–1355. [Google Scholar] [CrossRef]
- Xiao, X.; Yan, X.; Magner, E.; Ulstrup, J. Polymer coating for improved redox-polymer-mediated enzyme electrodes: A mini-review. Electrochem. Commun. 2021, 124, 106931. [Google Scholar] [CrossRef]
- Yang, T.; Liu, J.; Wang, Y.; Li, X.; Zhang, Y.; Huang, Q.; Ge, Y.; Tian, R.; Pu, Y.; He, Q.; et al. Rational design and development of phenazine-based electron mediators for enzyme-based biosensors: Advancing clinical diagnostics through computational exploration. Sens. Actuators B Chem. 2025, 426, 137059. [Google Scholar] [CrossRef]
- Zhang, H.; Cheng, M.; Li, Y.; Chen, W. Quinoid Redox Mediators and Their Involvement in Environmental Pollution Treatment. Water 2023, 15, 3981. [Google Scholar] [CrossRef]
- Demkiv, O.; Gayda, G.; Stasyuk, N.; Brahinetz, O.; Gonchar, M.; Nisnevitch, M. Nanomaterials as Redox Mediators in Laccase-Based Amperometric Biosensors for Catechol Assay. Biosensors 2022, 12, 741. [Google Scholar] [CrossRef]
- Gu, Y.; Yuan, L.; Jia, L.; Xue, P.; Yao, H. Recent developments of a co-immobilized laccase–mediator system: A review. RSC Adv. 2021, 11, 29498–29506. [Google Scholar] [CrossRef] [PubMed]
- Dhand, C.; Das, M.; Datta, M.; Malhotra, B.D. Recent advances in polyaniline based biosensors. Biosens. Bioelectron. 2011, 26, 2811–2821. [Google Scholar] [CrossRef] [PubMed]
- Shoaie, N.; Daneshpour, M.; Azimzadeh, M.; Mahshid, S.; Khoshfetrat, S.M.; Jahanpeyma, F.; Gholaminejad, A.; Omidfar, K.; Foruzandeh, M. Electrochemical sensors and biosensors based on the use of polyaniline and its nanocomposites: A review on recent advances. Microchim. Acta 2019, 186, 465. [Google Scholar] [CrossRef] [PubMed]
- Saleem, M.; Yu, H.; Wang, L.; Zain-ul-Abdin; Khalid, H.; Akram, M.; Abbasi, N.M.; Huang, J. Review on synthesis of ferrocene-based redox polymers and derivatives and their application in glucose sensing. Anal. Chim. Acta 2015, 876, 9–25. [Google Scholar] [CrossRef]
- Veríssimo, M.I.S.; Evtuguin, D.V.; Gomes, M.T.S.R. Polyoxometalate Functionalized Sensors: A Review. Front. Chem. 2022, 10, 2022. [Google Scholar] [CrossRef]
- Lu, C.; Tang, Z.; Wang, D.; Chen, L.; Zhao, J. Advances in polyoxometalate-based electrochemical sensors in the last three years. Anal. Methods 2024, 16, 5133–5145. [Google Scholar] [CrossRef]
- Li, J.; Tang, Z.; Chen, L.; Zhao, J. Recent research progress in polyoxometalate-based composite materials applied to electrochemical biosensors for biomolecule detection. Nanoscale 2025, 17, 21379–21399. [Google Scholar] [CrossRef]
- Bard, A.J.; Faulkner, L.R. Electrochemical Methods: Fundamentals and Applications; Wiley: New York, NY, USA, 2001. [Google Scholar]
- Matsuda, H.; Ayabe, Y. On the theory of Randles–Ševčík cathodic polarography. Z. Elektrochem. Ber. Bunsenges. Phys. Chem. 1955, 59, 494–503. [Google Scholar] [CrossRef]
- Torriero, A.A.J. Characterization of decamethylferrocene and ferrocene in ionic liquids: Argon and vacuum effect on their electrochemical properties. Electrochim. Acta 2014, 137, 235–244. [Google Scholar] [CrossRef]
- Laviron, E. General expression of the linear potential sweep voltammogram in the case of diffusionless electrochemical systems. J. Electroanal. Chem. Interfacial Electrochem. 1979, 101, 19–28. [Google Scholar] [CrossRef]
- Tsujimura, S. Developments in Bioelectrocatalysis Using Rationally Designed Enzyme Electrode Materials. Electrochemistry 2024, 92, 101002. [Google Scholar] [CrossRef]
- Heller, A.; Feldman, B. Electrochemical glucose sensors and their applications in diabetes management. Chem. Rev. 2008, 108, 2482–2505. [Google Scholar] [CrossRef] [PubMed]
- Karyakin, A.A.; Karyakina, E.E. Prussian Blue-based ‘artificial peroxidase’ as a transducer for hydrogen peroxide detection. Application to biosensors. Sens. Actuators B Chem. 1999, 57, 268–273. [Google Scholar] [CrossRef]
- VandeZande, G.R.; Olvany, J.M.; Rutherford, J.L.; Rasmussen, M. Enzyme Immobilization and Mediation with Osmium Redox Polymers. In Enzyme Stabilization and Immobilization: Methods and Protocols; Minteer, S.D., Ed.; Springer: New York, NY, USA, 2017; pp. 165–179. [Google Scholar]
- Torriero, A.A.J. Reference systems for voltammetric measurements in ionic liquids. In Electrochemistry in Ionic Liquids. Volume 1: Fundamentals; Torriero, A.A.J., Ed.; Springer: Cham, Switzerland, 2015; Volume 1. [Google Scholar]
- Dong, L.; Zeng, X.; Xiong, Y.; Xiao, X.; Zhan, D.; Wang, S. Enzymatic bioelectrodes based on ferrocene-modified metal-organic layers for electrochemical glucose detection. Anal. Bioanal. Chem. 2025, 417, 2217–2224. [Google Scholar] [CrossRef]
- Neumann, B.; Wollenberger, U. Electrochemical Biosensors Employing Natural and Artificial Heme Peroxidases on Semiconductors. Sensors 2020, 20, 3692. [Google Scholar] [CrossRef] [PubMed]
- Eckermann, A.L.; Feld, D.J.; Shaw, J.A.; Meade, T.J. Electrochemistry of redox-active self-assembled monolayers. Coord. Chem. Rev. 2010, 254, 1769–1802. [Google Scholar] [CrossRef]
- Chidsey, C.E.D. Free Energy and Temperature Dependence of Electron Transfer at the Metal-Electrolyte Interface. Science 1991, 251, 919–922. [Google Scholar] [CrossRef]
- Koide, S.; Yokoyama, K. Electrochemical characterization of an enzyme electrode based on a ferrocene-containing redox polymer. J. Electroanal. Chem. 1999, 468, 193–201. [Google Scholar] [CrossRef]
- Crulhas, B.R.; Ramos, N.P.; Basso, C.R.; Costa, V.E.; Castro, G.R.; Pedrosa, V.A. Fabrication and characterization of ferrocenece containing hydrogel for glucose biosensor application. Int. J. Electrochem. Sci. 2014, 9, 7596–7604. [Google Scholar] [CrossRef]
- Estrada-Osorio, D.V.; Escalona-Villalpando, R.A.; Gutiérrez, A.; Arriaga, L.G.; Ledesma-García, J. Poly-L-lysine-modified with ferrocene to obtain a redox polymer for mediated glucose biosensor application. Bioelectrochemistry 2022, 146, 108147. [Google Scholar] [CrossRef] [PubMed]
- Torriero, A.A.J.; Mruthunjaya, A.K.V. Ferrocene-Based Electrochemical Sensors for Cations. Inorganics 2023, 11, 472. [Google Scholar] [CrossRef]
- Alonso, B.; Armada, P.G.A.; Losada, J.; Cuadrado, I.; González, B.; Casado, C.M. Amperometric enzyme electrodes for aerobic and anaerobic glucose monitoring prepared by glucose oxidase immobilized in mixed ferrocene–cobaltocenium dendrimers. Biosens. Bioelectron. 2004, 19, 1617–1625. [Google Scholar] [CrossRef] [PubMed]
- Al-Sagur, H.; Shanmuga sundaram, K.; Kaya, E.N.; Durmuş, M.; Basova, T.V.; Hassan, A. Amperometric glucose biosensing performance of a novel graphene nanoplatelets-iron phthalocyanine incorporated conducting hydrogel. Biosens. Bioelectron. 2019, 139, 111323. [Google Scholar] [CrossRef]
- Heller, A. Redox hydrogel-based electrochemical biosensors. In Biosensors: A Practical Approach; Cooper, J.M., Cass, A.E.G., Eds.; Oxford Academic: Oxford, UK, 2004; Volume 2. [Google Scholar]
- Fernández, L.; Alvarez-Paguay, J.; González, G.; Uribe, R.; Bolaños-Mendez, D.; Piñeiros, J.L.; Celi, L.; Espinoza-Montero, P.J. Electrochemical Sensor for Hydrogen Peroxide Based on Prussian Blue Electrochemically Deposited at the TiO2-ZrO2–Doped Carbon Nanotube Glassy Carbon-Modified Electrode. Front. Chem. 2022, 10, 2022. [Google Scholar] [CrossRef]
- Gayda, G.Z.; Demkiv, O.M.; Gurianov, Y.; Serkiz, R.Y.; Klepach, H.M.; Gonchar, M.V.; Nisnevitch, M. “Green” Prussian Blue Analogues as Peroxidase Mimetics for Amperometric Sensing and Biosensing. Biosensors 2021, 11, 193. [Google Scholar] [CrossRef] [PubMed]
- Ishizaki, M.; Ohshida, E.; Tanno, H.; Kawamoto, T.; Tanaka, H.; Hara, K.; Kominami, H.; Kurihara, M. H2O2-sensing abilities of mixed-metal (Fe-Ni) Prussian blue analogs in a wide pH range. Inorg. Chim. Acta 2020, 502, 119314. [Google Scholar] [CrossRef]
- Uematsu, K.; Ueno, T.; Katano, H. Effect of Poly-l-lysine on a Glucose Sensor Based on Glucose Oxidase and Ferricyanide Ion. Anal. Sci. 2018, 34, 947–951. [Google Scholar] [CrossRef]
- Garjonyte, R.; Malinauskas, A. Operational stability of amperometric hydrogen peroxide sensors, based on ferrous and copper hexacyanoferrates. Sens. Actuators B Chem. 1999, 56, 93–97. [Google Scholar] [CrossRef]
- Karyakin, A.A. Advances of Prussian blue and its analogues in (bio)sensors. Curr. Opin. Electrochem. 2017, 5, 92–98. [Google Scholar] [CrossRef]
- Komkova, M.A.; Zarochintsev, A.A.; Karyakina, E.E.; Karyakin, A.A. Electrochemical and sensing properties of Prussian Blue based nanozymes “artificial peroxidase”. J. Electroanal. Chem. 2020, 872, 114048. [Google Scholar] [CrossRef]
- Schrattenecker, J.D.; Heer, R.; Melnik, E.; Maier, T.; Fafilek, G.; Hainberger, R. Hexaammineruthenium(II)/(III) as alternative redox-probe to Hexacyanoferrat(II)/(III) for stable impedimetric biosensing with gold electrodes. Biosens. Bioelectron. 2019, 127, 25–30. [Google Scholar] [CrossRef] [PubMed]
- Sharma, D.; Lim, Y.; Lee, Y.; Shin, H. Glucose sensor based on redox-cycling between selectively modified and unmodified combs of carbon interdigitated array nanoelectrodes. Anal. Chim. Acta 2015, 889, 194–202. [Google Scholar] [CrossRef]
- Nakabayashi, Y.; Omayu, A.; Morii, S.; Yagi, S. Evaluation of osmium(II) complexes as mediators accessible for biosensors. Sens. Actuators B Chem. 2000, 66, 128–130. [Google Scholar] [CrossRef]
- Zakeeruddin, S.M.; Fraser, D.M.; Nazeeruddin, M.K.; Grätzel, M. Towards mediator design: Characterization of tris-(4,4′-substituted-2,2′-bipyridine) complexes of iron(II), ruthenium(II) and osmium(II) as mediators for glucose oxidase of Aspergillus niger and other redox proteins. J. Electroanal. Chem. 1992, 337, 253–283. [Google Scholar] [CrossRef]
- Salinas, E.; Torriero, A.A.J.; Battaglini, F.; Sanz, M.I.; Olsina, R.; Raba, J. Continuous-flow/stopped-flow system for enzyme immunoassay using a rotating bioreactor: Determination of Chagas disease. Biosens. Bioelectron. 2005, 21, 313–321. [Google Scholar] [CrossRef]
- Calhoun, M.C.; Stachurski, C.D.; Winn, S.L.; Gizzie, E.A.; Daniel, A.W.; Schley, N.D.; Cliffel, D.E. Trace Oxygen Affects Osmium Redox Polymer Synthesis for Wired Enzymatic Biosensors. J. Electrochem. Soc. 2022, 169, 016506. [Google Scholar] [CrossRef]
- Torriero, A.A.J. Comments and Protocols for the Construction and Calibration of Ag/AgCl Reference Electrodes. Int. J. Biochem. Physiol. 2023, 8, 000219. [Google Scholar] [CrossRef]
- Meites, L. Handbook of analytical chemistry. Soil Sci. 1963, 96, 358. [Google Scholar] [CrossRef]
- Ohara, T.J.; Rajagopalan, R.; Heller, A. Glucose electrodes based on cross-linked [Os(bpy)2Cl]+/2+ complexed poly(1-vinylimidazole) films. Anal. Chem. 1993, 65, 3512–3517. [Google Scholar] [CrossRef] [PubMed]
- Bennett, R.; Leech, D. Improved operational stability of mediated glucose enzyme electrodes for operation in human physiological solutions. Bioelectrochemistry 2020, 133, 107460. [Google Scholar] [CrossRef]
- Lielpetere, A.; Jayakumar, K.; Leech, D.; Schuhmann, W. Cross-linkable polymer-based multi-layers for protecting electrochemical glucose biosensors against uric acid, ascorbic acid, and biofouling interferences. ACS Sens. 2023, 8, 1756–1765. [Google Scholar] [CrossRef] [PubMed]
- Navarro-Nateras, L.; Diaz-Gonzalez, J.; Aguas-Chantes, D.; Coria-Oriundo, L.L.; Battaglini, F.; Ventura-Gallegos, J.L.; Zentella-Dehesa, A.; Oza, G.; Arriaga, L.G.; Casanova-Moreno, J.R. Development of a Redox-Polymer-Based Electrochemical Glucose Biosensor Suitable for Integration in Microfluidic 3D Cell Culture Systems. Biosensors 2023, 13, 582. [Google Scholar] [CrossRef]
- Danilowicz, C.; Cortón, E.; Battaglini, F. Osmium complexes bearing functional groups: Building blocks for integrated chemical systems. J. Electroanal. Chem. 1998, 445, 89–94. [Google Scholar] [CrossRef]
- Jayakumar, K.; Bennett, R.; Leech, D. Electrochemical glucose biosensor based on an osmium redox polymer and glucose oxidase grafted to carbon nanotubes: A design-of-experiments optimisation of current density and stability. Electrochim. Acta 2021, 371, 137845. [Google Scholar] [CrossRef]
- Conghaile, P.O.; Kamireddy, S.; MacAodha, D.; Kavanagh, P.; Leech, D. Mediated glucose enzyme electrodes by cross-linking films of osmium redox complexes and glucose oxidase on electrodes. Anal. Bioanal. Chem. 2013, 405, 3807–3812. [Google Scholar] [CrossRef]
- Schuvailo, O.N.; Dzyadevych, S.V.; El’skaya, A.V.; Gautier-Sauvigné, S.; Csöregi, E.; Cespuglio, R.; Soldatkin, A.P. Carbon fibre-based microbiosensors for in vivo measurements of acetylcholine and choline. Biosens. Bioelectron. 2005, 21, 87–94. [Google Scholar] [CrossRef]
- Kirthiga, M.; Rajendran, L.; Fernandez, C. Theoretical treatment of diffusion and kinetics of osmium redox polymer mediated glucose oxidase enzyme electrodes: Analytical expression of current density for varying potential. Electrochim. Acta 2017, 230, 89–97. [Google Scholar] [CrossRef]
- Alpeeva, I.S.; Soukharev, V.S.; Alexandrova, L.; Shilova, N.V.; Bovin, N.V.; Csöregi, E.; Ryabov, A.D.; Sakharov, I.Y. Cyclometalated ruthenium(II) complexes as efficient redox mediators in peroxidase catalysis. J. Biol. Inorg. Chem. 2003, 8, 683–688. [Google Scholar] [CrossRef]
- Rivera, N.; Colón, Y.; Guadalupe, A.R. Ruthenium complexes as redox mediators for malate and lactate dehydrogenases. Bioelectrochem. Bioenerg. 1994, 34, 169–175. [Google Scholar] [CrossRef]
- Deng, H.; Teo, A.K.L.; Gao, Z. An interference-free glucose biosensor based on a novel low potential redox polymer mediator. Sens. Actuators B Chem. 2014, 191, 522–528. [Google Scholar] [CrossRef]
- Yamamoto, K.; Zeng, H.; Shen, Y.; Ahmed, M.M.; Kato, T. Evaluation of an amperometric glucose biosensor based on a ruthenium complex mediator of low redox potential. Talanta 2005, 66, 1175–1180. [Google Scholar] [CrossRef] [PubMed]
- Park, S.-B.; Jeon, W.-Y.; Choi, Y.-B. Electrochemical Glucose Sensing by Using Glucose Dehydrogenase Enzyme and the Synthesized Poly-ruthenium Mediator. Polymer 2023, 47, 171–180. [Google Scholar] [CrossRef]
- Costa-Rama, E.; Fernández Abedul, M.T. Chapter 3—Electrochemical behavior of the redox probe hexaammineruthenium(III) ([Ru(NH3)6]3+) using voltammetric techniques. In Laboratory Methods in Dynamic Electroanalysis; Fernandez Abedul, M.T., Ed.; Elsevier: Amsterdam, The Netherlands, 2020; pp. 25–33. [Google Scholar]
- Han, Y.D.; Jang, Y.H.; Yoon, H.C. Cascadic Multienzyme Reaction-Based Electrochemical Biosensors. In Biosensors Based on Aptamers and Enzymes; Gu, M.B., Kim, H.-S., Eds.; Springer: Berlin/Heidelberg, Germany, 2014; pp. 221–251. [Google Scholar]
- Raymundo-Pereira, P.; Mascarenhas, A.; Teixeira, M. Evaluation of the Oxo-bridged Dinuclear Ruthenium Ammine Complex as Redox Mediator in an Electrochemical Biosensor. Electroanalysis 2015, 28, 562–569. [Google Scholar] [CrossRef]
- Hromadová, M.; Fawcett, W.R. Studies of double-layer effects at single-crystal gold electrodes. 1. The reduction kinetics of hexaamminecobalt (III) ion in aqueous solutions. J. Phys. Chem. A 2000, 104, 4356–4363. [Google Scholar] [CrossRef]
- Martín-Yerga, D.; Costa Rama, E.; Costa Garcia, A. Electrochemical study and determination of electroactive species with screen-printed electrodes. J. Chem. Educ. 2016, 93, 1270–1276. [Google Scholar] [CrossRef]
- Vijaikanth, V.; Li, G.; Swaddle, T.W. Kinetics of reduction of aqueous hexaammineruthenium (III) Ion at Pt and Au microelectrodes: Electrolyte, temperature, and pressure effects. Inorg. Chem. 2013, 52, 2757–2768. [Google Scholar] [CrossRef]
- Gajdosova, V.P.; Lorencova, L.; Kasak, P.; Jerigova, M.; Velic, D.; Orovcik, L.; Barath, M.; Farkas, P.; Tkac, J. Redox features of hexaammineruthenium(III) on MXene modified interface: Three options for affinity biosensing. Anal. Chim. Acta 2022, 1227, 340310. [Google Scholar] [CrossRef] [PubMed]
- Quan, C.; Zhang, Y.; Liu, Y.; Wen, L.; Yang, H.; Huang, X.; Yang, M.; Xu, B. Electrochemical Glucose Sensor Based on Dual Redox Mediators. Biosensors 2025, 15, 9. [Google Scholar] [CrossRef]
- Ayankojo, A.G.; Reut, J.; Boroznjak, R.; Syritski, V. Ruthenium oxide electrode integrated with molecularly imprinted polymer for direct electrochemical sensing of a neurotrophic factor protein. Sens. Actuators B Chem. 2025, 429, 137301. [Google Scholar] [CrossRef]
- Schachinger, F.; Ma, S.; Ludwig, R. Redox potential of FAD-dependent glucose dehydrogenase. Electrochem. Commun. 2023, 146, 107405. [Google Scholar] [CrossRef]
- Mashazi, P.N.; Ozoemena, K.I.; Nyokong, T. Tetracarboxylic acid cobalt phthalocyanine SAM on gold: Potential applications as amperometric sensor for H2O2 and fabrication of glucose biosensor. Electrochim. Acta 2006, 52, 177–186. [Google Scholar] [CrossRef]
- Ozoemena, K.I. Anodic oxidation and amperometric sensing of hydrazine at a glassy carbon electrode modified with cobalt(II) phthalocyanine–cobalt(II) tetraphenylporphyrin (CoPc-(CoTPP)4) supramolecular complex. Sensors 2006, 6, 874–891. [Google Scholar] [CrossRef]
- Ozoemena, K.I.; Zhao, Z.; Nyokong, T. Immobilized cobalt(II) phthalocyanine–cobalt(II) porphyrin pentamer at a glassy carbon electrode: Applications to efficient amperometric sensing of hydrogen peroxide in neutral and basic media. Electrochem. Commun. 2005, 7, 679–684. [Google Scholar] [CrossRef]
- Rahim, A.; Santos, L.S.S.; Barros, S.B.A.; Kubota, L.T.; Gushikem, Y. Dissolved O2 sensor based on cobalt(II) phthalocyanine immobilized in situ on electrically conducting carbon ceramic mesoporous SiO2/C material. Sens. Actuators B Chem. 2013, 177, 231–238. [Google Scholar] [CrossRef]
- Yuan, B.; Sun, P.; Fernandez, C.; Wang, H.; Guan, P.; Xu, H.; Niu, Y. Molecular fluorinated cobalt phthalocyanine immobilized on ordered mesoporous carbon as an electrochemical sensing platform for sensitive detection of hydrogen peroxide and hydrazine in alkaline medium. J. Electroanal. Chem. 2022, 906, 116019. [Google Scholar] [CrossRef]
- Hsu, C.-Y.; Sato, T.; Moriyama, S.; Higuchi, M. A Co(II)-based metallo-supramolecular polymer as a novel enzyme immobilization matrix for electrochemical glucose biosensing. Eur. Polym. J. 2016, 83, 499–506. [Google Scholar] [CrossRef]
- Shu, J.; Qiu, Z.; Wei, Q.; Zhuang, J.; Tang, D. Cobalt-Porphyrin-Platinum-Functionalized Reduced Graphene Oxide Hybrid Nanostructures: A Novel Peroxidase Mimetic System for Improved Electrochemical Immunoassay. Sci. Rep. 2015, 5, 15113. [Google Scholar] [CrossRef] [PubMed]
- Sánchez-Calvo, A.; Costa-García, A.; Blanco-López, M.C. Paper-based electrodes modified with cobalt phthalocyanine colloid for the determination of hydrogen peroxide and glucose. Analyst 2020, 145, 2716–2724. [Google Scholar] [CrossRef]
- Prabhu, C.K.; Naveen, K.; Aralekallu, S. Shivalingayya and LK Sannegowda. RSC Sustain. 2023, 1, 128–138. [Google Scholar] [CrossRef]
- Yaqub, A.; Gilani, S.R.; Bilal, S.; Hayat, A.; Asif, A.; Siddique, S.A. Efficient preparation of a nonenzymatic nanoassembly based on cobalt-substituted polyoxometalate and polyethylene imine-capped silver nanoparticles for the electrochemical sensing of carbofuran. ACS Omega 2022, 7, 149–159. [Google Scholar] [CrossRef] [PubMed]
- Zhang, X.; Wang, S.; Shen, Q. The electrochemical behavior of p-aminophenol at a ω-mercaptopropionic acid self-assembled gold electrode. Microchim. Acta 2005, 149, 37–42. [Google Scholar] [CrossRef]
- Katz, E.; Shipway, A.N.; Willner, I. Bioelectrochemistry. In Encyclopedia of Electrochemistry, Volume 9: Bioelectrochemistry; Bard, A.J., Stratmann, M., Steckhan, E., Eds.; Wiley-VCH: Weinheim, Germany, 2002; Volume 9, pp. 559–626. [Google Scholar]
- Laviron, E.; Roullier, L. Electrochemical reactions with protonations at equilibrium: Part IX. Comparison between the surface and heterogeneous electrochemical rate constants in the system phenazine/dihydrophenazine. J. Electroanal. Chem. Interfacial Electrochem. 1983, 157, 7–18. [Google Scholar] [CrossRef]
- Savéant, J.-M. Molecular catalysis of electrochemical reactions. Mechanistic aspects. Chem. Rev. 2008, 108, 2348–2378. [Google Scholar] [CrossRef]
- Papadakis, R. Mono- and Di-Quaternized 4,4′-Bipyridine Derivatives as Key Building Blocks for Medium- and Environment-Responsive Compounds and Materials. Molecules 2020, 25, 1. [Google Scholar] [CrossRef]
- Bockris, J.O.M.; Reddy, A.K.; Gamboa-Aldeco, M. Modern Electrochemistry 2A: Fundamentals of Electrodics; Springer: Berlin/Heidelberg, Germany, 2000. [Google Scholar]
- Cook, S.K.; Horrocks, B.R. Heterogeneous electron-transfer rates for the reduction of viologen derivatives at platinum and bismuth electrodes in acetonitrile. ChemElectroChem 2017, 4, 320–331. [Google Scholar] [CrossRef]
- Vaid, T.P.; Sanford, M.S. An organic super-electron-donor as a high energy density negative electrolyte for nonaqueous flow batteries. Chem. Commun. 2019, 55, 11037–11040. [Google Scholar] [CrossRef] [PubMed]
- Burešová, Z.; Klikar, M.; Mazúr, P.; Mikešová, M.; Kvíčala, J.; Bystron, T.; Bureš, F. Redox Property Tuning in Bipyridinium Salts. Front. Chem. 2021, 8, 2020. [Google Scholar] [CrossRef] [PubMed]
- Naz, L.; Mohammad, M. Kinetics of Dimerization of the Reduced Products of Methyl Viologen Dication. J. Chem. Soc. Pak. 2017, 39, 4. [Google Scholar]
- Shah, K.W.; Wang, S.-X.; Soo, D.X.Y.; Xu, J. Viologen-based electrochromic materials: From small molecules, polymers and composites to their applications. Polymers 2019, 11, 1839. [Google Scholar] [CrossRef]
- Jarošová, R.; De Sousa Bezerra, P.M.; Munson, C.; Swain, G.M. Assessment of heterogeneous electron-transfer rate constants for soluble redox analytes at tetrahedral amorphous carbon, boron-doped diamond, and glassy carbon electrodes. Phys. Status Solidi A 2016, 213, 2087–2098. [Google Scholar] [CrossRef]
- Randviir, E.P. A cross examination of electron transfer rate constants for carbon screen-printed electrodes using Electrochemical Impedance Spectroscopy and cyclic voltammetry. Electrochim. Acta 2018, 286, 179–186. [Google Scholar] [CrossRef]
- Chen, L.; Lin, C.; Compton, R.G. Single entity electrocatalysis: Oxygen reduction mediated via methyl viologen doped Nafion nanoparticles. Phys. Chem. Chem. Phys. 2018, 20, 15795–15806. [Google Scholar] [CrossRef] [PubMed]
- Easley, A.D.; Li, C.-H.; Li, S.-G.; Nguyen, T.P.; Mick Kuo, K.-H.; Wooley, K.L.; Tabor, D.P.; Lutkenhaus, J.L. Electron transport kinetics for viologen-containing polypeptides with varying side group linker spacing. J. Mater. Chem. A 2024, 12, 31871–31882. [Google Scholar] [CrossRef]
- Oughli, A.A.; Vélez, M.; Birrell, J.A.; Schuhmann, W.; Lubitz, W.; Plumeré, N.; Rüdiger, O. Viologen-modified electrodes for protection of hydrogenases from high potential inactivation while performing H2 oxidation at low overpotential. Dalton Trans. 2018, 47, 10685–10691. [Google Scholar] [CrossRef]
- Song, J.; Hong, Z.; Koh, A.; Shin, W. Covalent Immobilization of Diaphorase in Viologen Polymer Network for Highly Sensitive Detection of NAD+ and NADH. J. Electrochem. Sci. Technol. 2014, 5, 19–22. [Google Scholar] [CrossRef]
- Mruthunjaya, A.K.V.; Torriero, A.A.J. Mechanistic Aspects of the Electrochemical Oxidation of Aliphatic Amines and Aniline Derivatives. Molecules 2023, 28, 471. [Google Scholar] [CrossRef]
- Chandra, S.; Lielpetere, A.; Schuhmann, W. Designing a high-potential metal-free viologen-based redox polymer for effective wiring of FAD-dependent glucose dehydrogenase. Sens. Actuators B Chem. 2023, 397, 134660. [Google Scholar] [CrossRef]
- Koomson, D.A.; Nicholson, J.H.; Brogan, A.P.S.; Aldous, L. Re-assessing viologens for modern bio-electrocatalysis. Chem. Sci. 2024, 15, 9325–9332. [Google Scholar] [CrossRef] [PubMed]
- Ghica, M.E.; Brett, C.M.A. A glucose biosensor using methyl viologen redox mediator on carbon film electrodes. Anal. Chim. Acta 2005, 532, 145–151. [Google Scholar] [CrossRef]
- Raymo, F.M.; Alvarado, R.J.; Pacsial, E.J. Electroactive films incorporating 4,4′-Bipyridinium building blocks. J. Supramol. Chem. 2002, 2, 63–77. [Google Scholar] [CrossRef]
- Furota, S.; Kaneko, M.; Tsujimura, S.; Takeshita, D.; Nakamichi, Y.; Igarashi, K.; Nobu, M.K.; Yoshikawa, M.; Asahina, K.; Fukaya, C.; et al. Bidirectional electro-enzymatic reaction of coenzyme F420 using benzyl viologen and F420-dependent sulfite reductase. Bioelectrochemistry 2025, 164, 108922. [Google Scholar] [CrossRef] [PubMed]
- Bus, J.S.; Gibson, J.E. Paraquat: Model for oxidant-initiated toxicity. Environ. Health Perspect. 1984, 55, 37–46. [Google Scholar] [CrossRef] [PubMed]
- Huang, B.; Gao, S.; Xu, Z.; He, H.; Pan, X. The Functional Mechanisms and Application of Electron Shuttles in Extracellular Electron Transfer. Curr. Microbiol. 2018, 75, 99–106. [Google Scholar] [CrossRef]
- Rhodes, Z.; Simoska, O.; Dantanarayana, A.; Stevenson, K.J.; Minteer, S.D. Using structure-function relationships to understand the mechanism of phenazine-mediated extracellular electron transfer in Escherichia coli. iScience 2021, 24, 103033. [Google Scholar] [CrossRef] [PubMed]
- Fitriana, M.; Hiraka, K.; Ikebukuro, K.; Sode, K.; Tsugawa, W. A Thiol-reactive Phenazine Ethosulfate: A Novel Redox Mediator for Quasi-direct Electron-transfer-type Sensors. Sens. Mater. 2022, 34, 2105–2124. [Google Scholar] [CrossRef]
- Ricci, F.; Amine, A.; Moscone, D.; Palleschi, G. A probe for NADH and H2O2 amperometric detection at low applied potential for oxidase and dehydrogenase based biosensor applications. Biosens. Bioelectron. 2007, 22, 854–862. [Google Scholar] [CrossRef]
- Hatada, M.; Loew, N.; Inose-Takahashi, Y.; Okuda-Shimazaki, J.; Tsugawa, W.; Mulchandani, A.; Sode, K. Development of a glucose sensor employing quick and easy modification method with mediator for altering electron acceptor preference. Bioelectrochemistry 2018, 121, 185–190. [Google Scholar] [CrossRef] [PubMed]
- Yabuki, S.; Fumio, M.; Asai, M. Preparation and characterization of an electroconductive membrane containing glutamate dehydrogenase, NADP, and mediator. Biosens. Bioelectron. 1991, 6, 311–315. [Google Scholar] [CrossRef]
- Bartlett, P.N.; Birkin, P.R.; Palmisano, F.; De Benedetto, G. A study on the direct electrochemical communication between horseradish peroxidase and a poly(aniline) modified electrode. J. Chem. Soc. Faraday Trans. 1996, 92, 3123–3130. [Google Scholar] [CrossRef]
- Barsan, M.M.; Ghica, M.E.; Brett, C.M.A. Electrochemical sensors and biosensors based on redox polymer/carbon nanotube modified electrodes: A review. Anal. Chim. Acta 2015, 881, 1–23. [Google Scholar] [CrossRef]
- Gannett, C.N.; Peterson, B.M.; Shen, L.; Seok, J.; Fors, B.P.; Abruña, H.D. Cross-linking Effects on Performance Metrics of Phenazine-Based Polymer Cathodes. ChemSusChem 2020, 13, 2428–2435. [Google Scholar] [CrossRef]
- Sanderson, D.G.; Gross, E.L.; Seibert, M. A photosynthetic photoelectrochemical cell using phenazine methosulfate and phenazine ethosulfate as electron acceptors. Appl. Biochem. Biotechnol. 1987, 14, 1–20. [Google Scholar] [CrossRef]
- Crooks, R.M.; Bard, A.J. Electrochemistry in near-critical and supercritical fluids: Part VI. The electrochemistry of ferrocene and phenazine in acetonitrile between 25 and 300 °C. J. Electroanal. Chem. Interfacial Electrochem. 1988, 243, 117–131. [Google Scholar] [CrossRef]
- Vicente, F.; Roig, A.; Garcia-Jarefio, J.J.; Trijueque, J.; Navarro-Laboulais, J.; Scholl, H. Electrode Processes of Neutral Red on Glassy Carbon and Indium Tin Oxide (ITO) Electrodes in Aqueous Buffered Solutions. Port. Electrochim. Acta 1995, 13, 137–152. [Google Scholar]
- Halaka, F.G.; Babcock, G.T.; Dye, J.L. Properties of 5-methylphenazinium methyl sulfate. Reaction of the oxidized form with NADH and of the reduced form with oxygen. J. Biol. Chem. 1982, 257, 1458–1461. [Google Scholar] [CrossRef]
- Hisada, R.; Yagi, T. 1-Methoxy-5-Methylphenazinium Methyl Sulfate: A Photochemically Stable Electron Mediator between NADH and Various Electron Acceptors1. J. Biochem. 1977, 82, 1469–1473. [Google Scholar] [CrossRef]
- Jahn, B.; Jonasson, N.S.W.; Hu, H.; Singer, H.; Pol, A.; Good, N.M.; den Camp, H.J.M.O.; Martinez-Gomez, N.C.; Daumann, L.J. Understanding the chemistry of the artificial electron acceptors PES, PMS, DCPIP and Wurster’s Blue in methanol dehydrogenase assays. J. Biol. Inorg. Chem. 2020, 25, 199–212. [Google Scholar] [CrossRef] [PubMed]
- Kalimuthu, P.; Leimkühler, S.; Bernhardt, P.V. Catalytic electrochemistry of xanthine dehydrogenase. J. Phys. Chem. B 2012, 116, 11600–11607. [Google Scholar] [CrossRef] [PubMed]
- Nagata, M.; Lee, J.; Henley, S.; Ikebukuro, K.; Sode, K. An Amine-Reactive Phenazine Ethosulfate (arPES)—A Novel Redox Probe for Electrochemical Aptamer-Based Sensor. Sensors 2022, 22, 1760. [Google Scholar] [CrossRef]
- Li, S.; De Groote Tavares, C.; Tolar, J.G.; Ajo-Franklin, C.M. Selective bioelectronic sensing of pharmacologically relevant quinones using extracellular electron transfer in Lactiplantibacillus plantarum. Biosens. Bioelectron. 2024, 243, 115762. [Google Scholar] [CrossRef]
- Longatte, G.; Buriez, O.; Labbé, E.; Guille-Collignon, M.; Lemaître, F. Electrochemical Behavior of Quinones Classically Used for Bioenergetical Applications: Considerations and Insights about the Anodic Side. ChemElectroChem 2024, 11, e202300542. [Google Scholar] [CrossRef]
- Xu, N.; Wang, T.-L.; Li, W.-J.; Wang, Y.; Chen, J.-J.; Liu, J. Tuning Redox Potential of Anthraquinone-2-Sulfonate (AQS) by Chemical Modification to Facilitate Electron Transfer from Electrodes in Shewanella Oneidensis. Front. Bioeng. Biotechnol. 2021, 9, 2021. [Google Scholar] [CrossRef] [PubMed]
- Ruiz-Diaz, J.J.J.; Torriero, A.A.J.; Salinas, E.; Marchevsky, E.J.; Sanz, M.I.; Raba, J. Enzymatic rotating biosensor for cysteine and glutathione determination in a FIA system. Talanta 2006, 68, 1343–1352. [Google Scholar] [CrossRef]
- Torriero, A.A.J.; Salinas, E.; Marchevsky, E.J.; Raba, J.; Silber, J.J. Penicillamine determination using a tyrosinase micro-rotating biosensor. Anal. Chim. Acta 2006, 580, 136–142. [Google Scholar] [CrossRef]
- Torriero, A.A.J.; Salinas, E.; Raba, J.; Silber, J.J. Sensitive determination of ciprofloxacin and norfloxacin in biological fluids using an enzymatic rotating biosensor. Biosens. Bioelectron. 2006, 22, 109–115. [Google Scholar] [CrossRef]
- Torriero, A.A.J. Electrochemical oxidation of catechol in the presence of methimazole: Application of square-wave voltammetric detection of methimazole to pharmaceutical formulations. Med. Anal. Chem. Int. J. 2019, 3, 000139. [Google Scholar] [CrossRef]
- Guin, P.; Das, S.; Mandal, P. Electrochemical Reduction of Quinones in Different Media: A Review. SAGE-Hindawi Access Res. Int. J. Electrochem. 2011, 22, 816202. [Google Scholar] [CrossRef]
- Deakin, M.R.; Wightman, R.M. The kinetics of some substituted catechol/o-quinone couples at a carbon paste electrode. J. Electroanal. Chem. Interfacial Electrochem. 1986, 206, 167–177. [Google Scholar] [CrossRef]
- DuVall, S.H.; McCreery, R.L. Control of catechol and hydroquinone electron-transfer kinetics on native and modified glassy carbon electrodes. Anal. Chem. 1999, 71, 4594–4602. [Google Scholar] [CrossRef]
- Kim, R.S.; Chung, T.D. The Electrochemical Reaction Mechanism and Applications of Quinones. Bull. Korean Chem. Soc. 2014, 35, 3143–3155. [Google Scholar] [CrossRef]
- Tessensohn, M.E.; Hirao, H.; Webster, R.D. Electrochemical properties of phenols and quinones in organic solvents are strongly influenced by hydrogen-bonding with water. J. Phys. Chem. C 2013, 117, 1081–1090. [Google Scholar] [CrossRef]
- Silva, P.S.D.; Gasparini, B.C.; Magosso, H.A.; Spinelli, A. Electrochemical behavior of hydroquinone and catechol at a silsesquioxane-modified carbon paste electrode. J. Braz. Chem. Soc. 2013, 24, 695–699. [Google Scholar] [CrossRef]
- Halpin, G.; Herdman, K.; Dempsey, E. Electrochemical investigations into enzymatic polymerisation of 1,10-phenanthroline-5,6-dione as a redox mediator for lactate sensing. Sens. Actuators Rep. 2021, 3, 100032. [Google Scholar] [CrossRef]
- Kausaite-Minkstimiene, A.; Simanaityte, R.; Ramanaviciene, A.; Glumbokaite, L.; Ramanavicius, A. Reagent-less amperometric glucose biosensor based on a graphite rod electrode layer-by-layer modified with 1,10-phenanthroline-5,6-dione and glucose oxidase. Talanta 2017, 171, 204–212. [Google Scholar] [CrossRef]
- Zor, E.; Oztekin, Y.; Mikoliunaite, L.; Voronovic, J.; Ramanaviciene, A.; Anusevicius, Z.; Bingol, H.; Ramanavicius, A. 1,10-Phenanthroline-5,6-dione and 9,10-phenanthrenequinone as redox mediators for amperometric glucose biosensors. J. Solid State Electrochem. 2014, 18, 1529–1536. [Google Scholar] [CrossRef]
- Genys, P.; Aksun, E.; Tereshchenko, A.; Valiūnienė, A.; Ramanaviciene, A.; Ramanavicius, A. Electrochemical Deposition and Investigation of Poly-9,10-Phenanthrenequinone Layer. Nanomaterials 2019, 9, 702. [Google Scholar] [CrossRef]
- German, N.; Popov, A.; Ramanaviciene, A. The Development and Evaluation of Reagentless Glucose Biosensors Using Dendritic Gold Nanostructures as a Promising Sensing Platform. Biosensors 2023, 13, 727. [Google Scholar] [CrossRef]
- Bolton, J.L.; Trush, M.A.; Penning, T.M.; Dryhurst, G.; Monks, T.J. Role of quinones in toxicology. Chem. Res. Toxicol. 2000, 13, 135–160. [Google Scholar] [CrossRef] [PubMed]
- Cohen, R.; Cohen, Y.; Mukha, D.; Yehezkeli, O. Oxygen insensitive amperometric glucose biosensor based on FAD dependent glucose dehydrogenase co-entrapped with DCPIP or DCNQ in a polydopamine layer. Electrochim. Acta 2021, 367, 137477. [Google Scholar] [CrossRef]
- Marchesiello, M.; Geniés, E.M. Glucose sensor: Polypyrrole-glucose oxidase elecrtode in the presence of p-benzoquinone. Electrochim. Acta 1992, 37, 1987–1992. [Google Scholar] [CrossRef]
- El Atrash, S.S.; O’Neill, R.D. Characterisation in vitro of a naphthoquinone-mediated glucose oxidase-modified carbon paste electrode designed for neurochemical analysis in vivo. Electrochim. Acta 1995, 40, 2791–2797. [Google Scholar] [CrossRef]
- Tang, H.T.; Lunte, C.E.; Halsall, H.B.; Heineman, W.R. p-aminophenyl phosphate: An improved substrate for electrochemical enzyme immnoassay. Anal. Chim. Acta 1988, 214, 187–195. [Google Scholar] [CrossRef]
- Beiginejad, H.; Nematollahi, D.; Varmaghani, F. Electrochemical oxidation of some aminophenols in various pHs. J. Electrochem. Soc. 2013, 160, H41. [Google Scholar] [CrossRef]
- Salavagione, H.J.; Arias, J.; Garcés, P.; Morallón, E.; Barbero, C.; Vázquez, J.L. Spectroelectrochemical study of the oxidation of aminophenols on platinum electrode in acid medium. J. Electroanal. Chem. 2004, 565, 375–383. [Google Scholar] [CrossRef]
- Jackowska, K.; Bukowska, J.; Kudelski, A. Electro-oxidation of o-aminophenol studied by cyclic voltammetry and surface enhanced Raman scattering (SERS). J. Electroanal. Chem. 1993, 350, 177–187. [Google Scholar] [CrossRef]
- Zhang, S.; Jiao, K.; Chen, H.; Wang, M. Detection of ferritin in human serum with a MAP–H2O2–HRP voltammetric enzyme-linked immunoassay system. Talanta 1999, 50, 95–101. [Google Scholar] [CrossRef]
- Kava, A.A.; Henry, C.S. Exploring carbon particle type and plasma treatment to improve electrochemical properties of stencil-printed carbon electrodes. Talanta 2021, 221, 121553. [Google Scholar] [CrossRef]
- Zhang, J.; Yao, S.; Nie, L.; Wei, W. Evaluation of the kinetic parameters of first-order reactions following charge transfer by applying a long-path-length spectroelectrochemical technique. Anal. Sci. 2000, 16, 87–91. [Google Scholar] [CrossRef][Green Version]
- Puiu, M.; Răducan, A.; Babaligea, I.; Oancea, D. Oxidase–peroxidase reaction: Kinetics of peroxidase-catalysed oxidation of 2-aminophenol. Bioprocess Biosyst. Eng. 2008, 31, 579–586. [Google Scholar] [CrossRef]
- Sayyah, S.M.; El-Rabiey, M.M.; El-Rehim, S.S.A.; Azooz, R.E. Electropolymerization kinetics of o-aminophenol and characterization of the obtained polymer films. J. Appl. Polym. Sci. 2006, 99, 3093–3109. [Google Scholar] [CrossRef]
- Tucceri, R.; Arnal, P.M.; Scian, A.N. Spectroscopic Characterization of Poly(ortho-Aminophenol) Film Electrodes: A Review Article. J. Spectrosc. 2013, 2013, 951604. [Google Scholar] [CrossRef]
- Das, J.; Jo, K.; Lee, J.W.; Yang, H. Electrochemical Immunosensor Using p-Aminophenol Redox Cycling by Hydrazine Combined with a Low Background Current. Anal. Chem. 2007, 79, 2790–2796. [Google Scholar] [CrossRef] [PubMed]
- Mruthunjaya, A.K.V.; Chatelier, R.C.; Torriero, A.A.J. Electrochemical Disposable Biosensor to Monitor Dabigatran in Point-of-Care Anticoagulation Therapy. Molecules 2023, 28, 4953. [Google Scholar] [CrossRef]
- Mruthunjaya, A.K.V.; Chatelier, R.C.; Torriero, A.A.J. Calibration-free electrochemical sensor to monitor factor-Xa inhibitors at the point-of-care anticoagulation therapy. Talanta 2024, 270, 125593. [Google Scholar] [CrossRef]
- Mruthunjaya, A.K.V.; Hodges, A.M.; Chatelier, R.C.; Torriero, A.A.J. Calibration-Free Disposable Electrochemical Sensor with Co-Facing Electrodes: Theory and Characterisation with Fixed and Changing Mediator Concentration. Electrochim. Acta 2023, 460, 142596. [Google Scholar] [CrossRef]
- Miland, E.; Miranda Ordieres, A.J.; Tuñón Blanco, P.; Smyth, M.R.; Fágáin, C.Ó. Poly(o-aminophenol)-modified bienzyme carbon paste electrode for the detection of uric acid. Talanta 1996, 43, 785–796. [Google Scholar] [CrossRef]
- Pariente, F.; Hernández, L.; Abruña, H.D.; Lorenzo, E. Alkaline phosphatase-modified carbon fibre disc microelectrode for the determination of 4-aminophenyl phosphate. Anal. Chim. Acta 1993, 273, 187–193. [Google Scholar] [CrossRef]
- Pan, D.; Chen, J.; Nie, L.; Tao, W.; Yao, S. Amperometric glucose biosensor based on immobilization of glucose oxidase in electropolymerized o-aminophenol film at Prussian blue-modified platinum electrode. Electrochim. Acta 2004, 49, 795–801. [Google Scholar] [CrossRef]
- Tian, F.; Greplová, M.; Frébort, I.; Dale, N.; Napier, R. A Highly Selective Biosensor with Nanomolar Sensitivity Based on Cytokinin Dehydrogenase. PLoS ONE 2014, 9, e90877. [Google Scholar] [CrossRef]
- Josephy, P.D.; Eling, T.E.; Mason, R.P. Oxidation of p-aminophenol catalyzed by horseradish peroxidase and prostaglandin synthase. Mol. Pharmacol. 1983, 23, 461–466. [Google Scholar] [CrossRef]
- Sanghavi, B.J.; Wolfbeis, O.S.; Hirsch, T.; Swami, N.S. Nanomaterial-based electrochemical sensing of neurological drugs and neurotransmitters. Microchim. Acta 2015, 182, 1–41. [Google Scholar] [CrossRef] [PubMed]
- Kulys, J.; Hansen, H.E.; Buch-Rasmussen, T.; Wang, J.; Ozsoz, M. Glucose biosensor based on the incorporation of Meldola Blue. Anal. Chim. Acta 1994, 288, 193–196. [Google Scholar] [CrossRef]
- Hammerich, O.; Speiser, B. Organic Electrochemistry; CRC Press: Boca Raton, FL, USA, 2016. [Google Scholar]
- Çakir, S.; Arslan, E.Y. Voltammetry of resazurin at a mercury electrode. Chem. Pap. 2010, 64, 386–394. [Google Scholar] [CrossRef]
- Khazalpour, S.; Nematollahi, D. Electrochemical study of Alamar Blue (resazurin) in aqueous solutions and room-temperature ionic liquid 1-butyl-3-methylimidazolium tetrafluoroborate at a glassy carbon electrode. RSC Adv. 2014, 4, 8431–8438. [Google Scholar] [CrossRef]
- Ni, F.; Feng, H.; Gorton, L.; Cotton, T.M. Electrochemical and SERS studies of chemically modified electrodes: Nile Blue A, a mediator for NADH oxidation. Langmuir 1990, 6, 66–73. [Google Scholar] [CrossRef]
- Papeschi, G.; Costa, M.; Bordi, S. Electrochemical behavior of methylene blue and its leucoform at the mercury electrode. J. Electrochem. Soc. 1981, 128, 1518. [Google Scholar] [CrossRef]
- Svitková, V.; Vyskočil, V. Electrochemical behavior of methylene blue at bare and DNA-modified silver solid amalgam electrodes. J. Solid State Electrochem. 2022, 26, 2491–2499. [Google Scholar] [CrossRef]
- Razola, S.S.; Pochet, S.; Grosfils, K.; Kauffmann, J.M. Amperometric determination of choline released from rat submandibular gland acinar cells using a choline oxidase biosensor. Biosens. Bioelectron. 2003, 18, 185–191. [Google Scholar] [CrossRef] [PubMed]
- Silber, A.; Hampp, N.; Schuhmann, W. Poly(methylene blue)-modified thick-film gold electrodes for the electrocatalytic oxidation of NADH and their application in glucose biosensors. Biosens. Bioelectron. 1996, 11, 215–223. [Google Scholar] [CrossRef]
- Zhu, L.; Zhao, R.; Wang, K.; Xiang, H.; Shang, Z.; Sun, W. Electrochemical behaviors of methylene blue on DNA modified electrode and its application to the detection of PCR product from NOS sequence. Sensors 2008, 8, 5649–5660. [Google Scholar] [CrossRef] [PubMed]
- Tsuruoka, N.; Soto, S.S.; Tahar, A.B.; Zebda, A.; Tsujimura, S. Mediated electrochemical oxidation of glucose via poly(methylene green) grafted on the carbon surface catalyzed by flavin adenine dinucleotide-dependent glucose dehydrogenase. Colloids Surf. B. Biointerfaces 2020, 192, 111065. [Google Scholar] [CrossRef] [PubMed]
- Miller, K.T.; Mruthunjaya, A.K.V.; Torriero, A.A.J. Beyond the Phenothiazine Core: Mechanistic Insights into the Three-Electron Oxidation of Chlorpromazine. Molecules 2025, 30, 1050. [Google Scholar] [CrossRef]
- Kul, D.; Pauliukaite, R.; Brett, C.M.A. Electrosynthesis and characterisation of poly(Nile blue) films. J. Electroanal. Chem. 2011, 662, 328–333. [Google Scholar] [CrossRef]
- Krikstopaitis, K.; Kulys, J.; Tetianec, L. Bioelectrocatalytical glucose oxidation with phenoxazine modified glucose oxidase. Electrochem. Commun. 2004, 6, 331–336. [Google Scholar] [CrossRef]
- Ben-Aissa, S.; Tripathy, S.; Cass, A.E.G. Implantable electrochemical biosensors: Challenges, strategies, and applications. Curr. Opin. Electrochem. 2025, 54, 101745. [Google Scholar] [CrossRef]
- Feldman, B.; Brazg, R.; Schwartz, S.; Weinstein, R. A continuous glucose sensor based on Wired Enzyme™ technology-Results from a 3-day trial in patients with type 1 diabetes. Diabetes Technol. Ther. 2003, 5, 769–779. [Google Scholar] [CrossRef] [PubMed]
- Stanley, M. Analytical Applications of Modified Electrodes. Ph.D. Thesis, Dublin City University, Dublin, Ireland, 1998. [Google Scholar]
- Kang, D.; Ricci, F.; White, R.J.; Plaxco, K.W. Survey of redox-active moieties for application in multiplexed electrochemical biosensors. Anal. Chem. 2016, 88, 10452–10458. [Google Scholar] [CrossRef] [PubMed]
- Saleh, F.S.; Mao, L.; Ohsaka, T. Development of a dehydrogenase-based glucose anode using a molecular assembly composed of nile blue and functionalized SWCNTs and its applications to a glucose sensor and glucose/O2 biofuel cell. Sens. Actuators B Chem. 2011, 152, 130–135. [Google Scholar] [CrossRef]
- Saleh, F.S.; Rahman, M.R.; Kitamura, F.; Okajima, T.; Mao, L.; Ohsaka, T. A Simple and Effective Way to Integrate Nile Blue Covalently onto Functionalized SWCNTs Modified GC Electrodes for Sensitive and Selective Electroanalysis of NADH. Electroanalysis 2011, 23, 409–416. [Google Scholar] [CrossRef]
- Komkova, M.A.; Karyakina, E.E.; Karyakin, A.A. Noiseless performance of prussian blue based (Bio) sensors through power generation. Anal. Chem. 2017, 89, 6290–6294. [Google Scholar] [CrossRef] [PubMed]
- Vokhmyanina, D.V.; Sharapova, O.E.; Karyakin, A.A. Ultra-stable biosensor transducer for continuous monitoring. Biosens. Bioelectron. 2025, 286, 117638. [Google Scholar] [CrossRef]











| Mediator | E°’ (V) * | Key Applications | Ref. |
|---|---|---|---|
| [Os(bpy)3]2+ | 0.61 | Model ET standard; benchmark for ligand effects | [47] |
| [Os(dmbpy)3]2+ | 0.43 | Prototype low-bias mediator; guidance for polymer design | |
| [Os(bpy)2(im)2]2+ | 0.29 | Mimics histidyl coordination; haem-protein wiring models | |
| [Os(dmbpy)2(im)2]2+ | 0.15 | Low-overpotential ET to FAD/PQQ centres | |
| [Os(bpy)2Cl(im)]+ | 0.11 | Testbed for axial-ligand tuning, chloride lability | |
| [Os(bpy)2ClpyCOOH]+ | 0.17 | HRP mediator for low-bias flow immunoassay | [49] |
| Poly(Vim)-[Os(bpy)2Cl] | −0.25 | Early GOx redox hydrogel; Type-II glucose sensors | [2] |
| Poly(Vim)-[Os(dmbpy)2Cl] | −0.10 | GOx anodes and laccase cathodes in glucose–O2 fuel cells | |
| Poly(Vim)-[Os(dmObpy)2Cl] | −0.07 | High-power GOx anodes at near-zero bias | |
| Poly(Vim)-[Os(dabpy)2Cl] | −0.15 | Pseudo-physiological GOx anodes; PBS at pH 7.4 | |
| Poly(Vpy)-[Os(bpy)2Cl]+ | 0.35 | PQQ-GDH/BOx fuel cells; cathodic mediators | |
| Poly(Vim)-[Os(phen)2(im)2]2+ | 0.49 | Laccase cathodes in neutral buffer; O2 reduction | |
| Poly(Vim)-[Os(bpy)2Cl] | 0.15 | Generic oxidase wiring; PCET-free reference system | |
| Poly(Vim)-[Os(bpy)2O2] | 0.50 | Illustrates detrimental effect of unintended oxo ligation | [50] |
| Mediator Complex | E°’ (V) * | Key Biosensing Applications | Ref. |
|---|---|---|---|
| [Ru(NH3)6]3+ | −0.16 | DNA and aptamer-based sensors; nucleic acid redox tagging; charge compensation and redox cycling in polyelectrolyte or DNA films | [68] |
| [Ru(phpy)(bpy)2]+ | 0.25 | HRP-mediated oxidation of catechol and other peroxidase substrates; evaluation of rate constants for HRP isoenzymes | [62] |
| [Ru(phpy)(dmbpy)2]+ | 0.15 | Fast redox mediator for plant peroxidases with high apparent second order rate constants for H2O2 driven oxidation | |
| [Ru(topy)(bpy)2]+ | 0.20 | Peroxidase catalysis with efficient oxidation of catechol at low mediator loading; comparison of anionic and cationic peroxidases | |
| [Ru(phendione)3]2+ | −0.13 | Redox mediator for lactate and malate dehydrogenases through NAD+/NADH cycling | [63] |
| [(bpy)2(NH3)RuIII(µ-O)RuIII(NH3)(bpy)2]4+ | 0.10 | Glucose biosensor where the oxo-bridged Ru complex mediates ET between immobilised GOx and glassy carbon at low bias | [69] |
| Poly(Vpyr-co-aa)-[Ru(NH3)5] | −0.14 | GOx wired to Ru complex on glassy carbon; low applied potential eliminates interference from ascorbic acid, dopamine and uric acid in glucose sensing | [64] |
Disclaimer/Publisher’s Note: The statements, opinions and data contained in all publications are solely those of the individual author(s) and contributor(s) and not of MDPI and/or the editor(s). MDPI and/or the editor(s) disclaim responsibility for any injury to people or property resulting from any ideas, methods, instructions or products referred to in the content. |
© 2025 by the author. Licensee MDPI, Basel, Switzerland. This article is an open access article distributed under the terms and conditions of the Creative Commons Attribution (CC BY) license.
Share and Cite
Torriero, A.A.J. Reversibility as a Design Principle in Inorganic, Organometallic and Organic Redox Mediators for Biosensors. Inorganics 2026, 14, 10. https://doi.org/10.3390/inorganics14010010
Torriero AAJ. Reversibility as a Design Principle in Inorganic, Organometallic and Organic Redox Mediators for Biosensors. Inorganics. 2026; 14(1):10. https://doi.org/10.3390/inorganics14010010
Chicago/Turabian StyleTorriero, Angel A. J. 2026. "Reversibility as a Design Principle in Inorganic, Organometallic and Organic Redox Mediators for Biosensors" Inorganics 14, no. 1: 10. https://doi.org/10.3390/inorganics14010010
APA StyleTorriero, A. A. J. (2026). Reversibility as a Design Principle in Inorganic, Organometallic and Organic Redox Mediators for Biosensors. Inorganics, 14(1), 10. https://doi.org/10.3390/inorganics14010010
