Design and Analysis of a Single Humidity Sensor Based on TDLAS for Water Vapor and Heavy Oxygen Water Vapor Detection
Abstract
1. Introduction
2. Experimental Setup and Theoretical Analysis
2.1. Light Source Property
2.2. Optical Length Enhancement
2.3. Direct Detection and Harmonic Detection
3. Experiments and Results
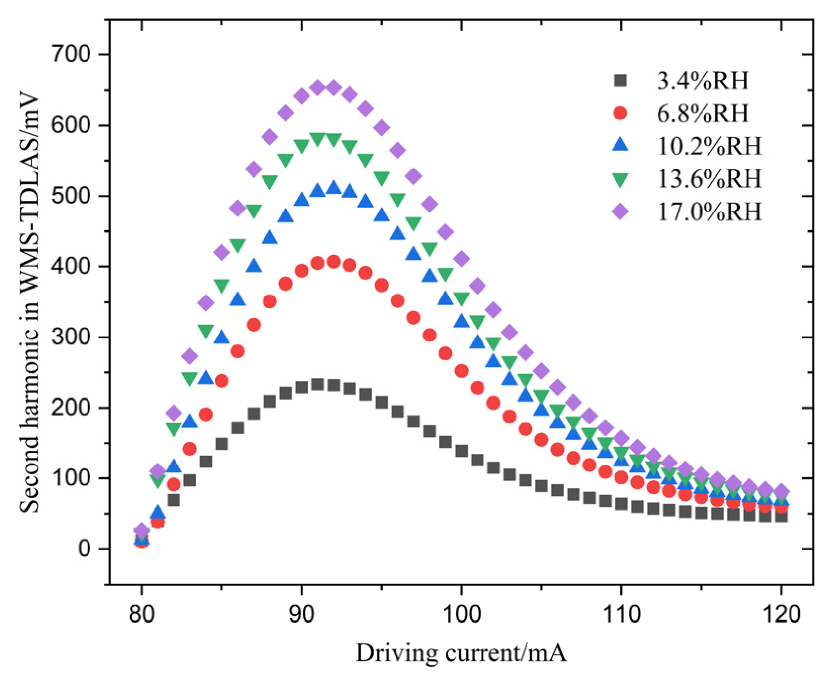
3.1. Water Vapor Detection
3.2. Heavy Oxygen Water Vapor Detection
4. Conclusions
Author Contributions
Funding
Institutional Review Board Statement
Informed Consent Statement
Conflicts of Interest
References
- Magomedbekov, E.P.; Selivanenko, I.L.; Kulov, N.N.; Veretennikova, G.V. Conditioning Heavy-Oxygen Water by Rectification under Vacuum. Theor. Found. Chem. Eng. 2019, 53, 719–724. [Google Scholar] [CrossRef]
- Kutus, B.; Shalit, A.; Hamm, P.; Hunger, J. Dielectric response of light, heavy and heavy-oxygen water: Isotope effects on the hydrogen-bonding network’s collective relaxation dynamics. Phys. Chem. Chem. Phys. 2021, 23, 5467–5473. [Google Scholar] [CrossRef] [PubMed]
- Nagano, Y.; Miyazaki, Y.; Matsuo, T.; Suga, H. Heat capacities and enthalpy of fusion of heavy oxygen water. J. Phys. Chem. 1993, 97, 6897–6901. [Google Scholar] [CrossRef]
- Whipple, F. The wet-and-dry-bulb hygrometer: The relation to theory of the experimental researches of Awbery and Griffiths. Proc. Phys. Soc. 1933, 45, 307–319. [Google Scholar] [CrossRef]
- Khelifa, N. Effect of Measurement of Dew Point Temperature in Moist Air on the Absorption Line at 1392.53 nm of Water Vapor. Int. J. Opt. 2019, 2019, 3424172. [Google Scholar] [CrossRef]
- Hodgkinson, J.; Tatam, R.P. Optical gas sensing: A review. Meas. Sci. Technol. 2013, 24, 012004. [Google Scholar] [CrossRef]
- Kassa-Baghdouche, L.; Cassan, E. Mid-infrared refractive index sensing using optimized slotted photonic crystal waveguides. Photonics Nanostruct.-Fundam. Appl. 2018, 28, 32–36. [Google Scholar] [CrossRef]
- Kassa-Baghdouche, L. High-sensitivity spectroscopic gas sensor using optimized H1 photonic crystal microcavities. J. Opt. Soc. Am. B 2020, 37, A227–A284. [Google Scholar] [CrossRef]
- Jha, R.K. Non-Dispersive infrared gas sensing technology: A review. IEEE Sens. J. 2022, 22, 6–15. [Google Scholar] [CrossRef]
- Sgobba, F.; Sampaolo, A.; Patimisco, P.; Giglio, M.; Menduni, G.; Ranieri, A.C.; Hoelzl, C.; Rossmadl, H.; Brehm, C.; Mackowiak, V.; et al. Compact and portable quartz-enhanced photoacoustic spectroscopy sensor for carbon monoxide environmental monitoring in urban areas. Photoacoustics 2022, 25, 100318. [Google Scholar] [CrossRef]
- Song, Z.; Xu, L.; Xie, H.; Cao, Z. Random vibration-driven continuous-wave CRDS system for calibration-free gas concentration measurement. Opt. Lett. 2020, 45, 746–749. [Google Scholar] [CrossRef] [PubMed]
- Zhao, W.S.; Xu, L.J.; Huang, A. A WMS Based TDLAS Tomographic System for Distribution Retrievals of both Gas Concentration and Temperature in Dynamic Flames. IEEE Sens. J. 2020, 20, 4179–4188. [Google Scholar] [CrossRef]
- Liang, W.; Wei, G.; He, A.; Shen, H. A novel wavelength modulation spectroscopy in TDLAS. Infrared Phys. Technol. 2021, 114, 103661. [Google Scholar] [CrossRef]
- Xie, Y.; Chang, J.; Chen, X.; Sun, J.; Zhang, Q.; Wang, F.; Zhang, Z.; Feng, Y. A DFB-LD Internal Temperature Fluctuation Analysis in a TDLAS System for Gas Detection. IEEE Photonics J. 2019, 11, 1–8. [Google Scholar] [CrossRef]
- Kireev, S.V.; Kondrashov, A.A.; Shnyrev, S.L. Application of the Wiener filtering algorithm for processing the signal obtained by the TDLAS method using the synchronous detection technique for the measurement problem of 13CO2 concentration in exhaled air. Laser Phys. Lett. 2019, 16, 085701. [Google Scholar] [CrossRef]
- Kireev, S.V.; Kondrashov, A.A.; Shnyrev, S.L. Improving the accuracy and sensitivity of 13C online detection in expiratory air using the TDLAS method in the spectral range of 4860–4880 cm−1. Laser Phys. Lett. 2018, 15, 105701. [Google Scholar] [CrossRef]
- Ghorbani, R.; Schmidt, F.M. ICL-based TDLAS sensor for real-time breath gas analysis of carbon monoxide isotopes. Opt. Express 2017, 11, 12743–12752. [Google Scholar] [CrossRef]
- Li, J.; Peng, Z.; Ding, Y. Wavelength modulation-direct absorption spectroscopy combined with improved experimental strategy for measuring spectroscopic parameters of H2O transitions near 1.39 μm. Opt. Lasers Eng. 2020, 126, 105875. [Google Scholar] [CrossRef]
- The Hitran Molecular Spectroscopic Database. Available online: https://www.spectralcalc.com (accessed on 10 July 2021).
- Swinehart, S.F. The Beer-Lambert law. J. Chem. Educ. 1962, 39, 333. [Google Scholar] [CrossRef]
- Žitnik, M.; Krušič, Š.; Bučar, K.; Mihelič, A. Beer-Lambert law in the time domain. Phys. Rev. A 2018, 97, 063424. [Google Scholar] [CrossRef]
- Xia, H.; Kan, R.; Xu, Z.; He, Y.; Liu, J.; Chen, B.; Yang, C.; Yao, L.; Wei, M.; Zhang, G. Two-step tomographic reconstructions of temperature and species concentration in a flame based on laser absorption measurements with a rotation platform. Opt. Lasers Eng. 2017, 90, 10–18. [Google Scholar] [CrossRef]
- De Labachelerie, M.; Nakagawa, K.; Awaji, Y.; Ohtsu, M. High frequency-stability laser at 1.5 μm using Doppler-free molecular lines. Opt. Lett. 1995, 20, 572–574. [Google Scholar] [CrossRef] [PubMed]
- Sun, K.; Xie, L.; Ju, Y.; Wu, X.; Hou, J.; Han, W.; Wang, X.; Man, J.; Liu, Y.; Yuan, H.; et al. Compact fiber-optic diode-laser sensor system for wide-dynamic-rang relative humidity measurement. Chin. Sci. Bull. 2011, 56, 3486–3492. [Google Scholar] [CrossRef][Green Version]









Publisher’s Note: MDPI stays neutral with regard to jurisdictional claims in published maps and institutional affiliations. |
© 2022 by the authors. Licensee MDPI, Basel, Switzerland. This article is an open access article distributed under the terms and conditions of the Creative Commons Attribution (CC BY) license (https://creativecommons.org/licenses/by/4.0/).
Share and Cite
Gong, P.; Zhou, J.; Er, Z.; Ju, Y.; Xie, L. Design and Analysis of a Single Humidity Sensor Based on TDLAS for Water Vapor and Heavy Oxygen Water Vapor Detection. Photonics 2022, 9, 175. https://doi.org/10.3390/photonics9030175
Gong P, Zhou J, Er Z, Ju Y, Xie L. Design and Analysis of a Single Humidity Sensor Based on TDLAS for Water Vapor and Heavy Oxygen Water Vapor Detection. Photonics. 2022; 9(3):175. https://doi.org/10.3390/photonics9030175
Chicago/Turabian StyleGong, Ping, Jian Zhou, Zhixuan Er, Yu Ju, and Liang Xie. 2022. "Design and Analysis of a Single Humidity Sensor Based on TDLAS for Water Vapor and Heavy Oxygen Water Vapor Detection" Photonics 9, no. 3: 175. https://doi.org/10.3390/photonics9030175
APA StyleGong, P., Zhou, J., Er, Z., Ju, Y., & Xie, L. (2022). Design and Analysis of a Single Humidity Sensor Based on TDLAS for Water Vapor and Heavy Oxygen Water Vapor Detection. Photonics, 9(3), 175. https://doi.org/10.3390/photonics9030175

