Plasmonic Fishnet Structures for Dual Band THz Left-Handed Metamaterials
Abstract
1. Introduction
2. Design
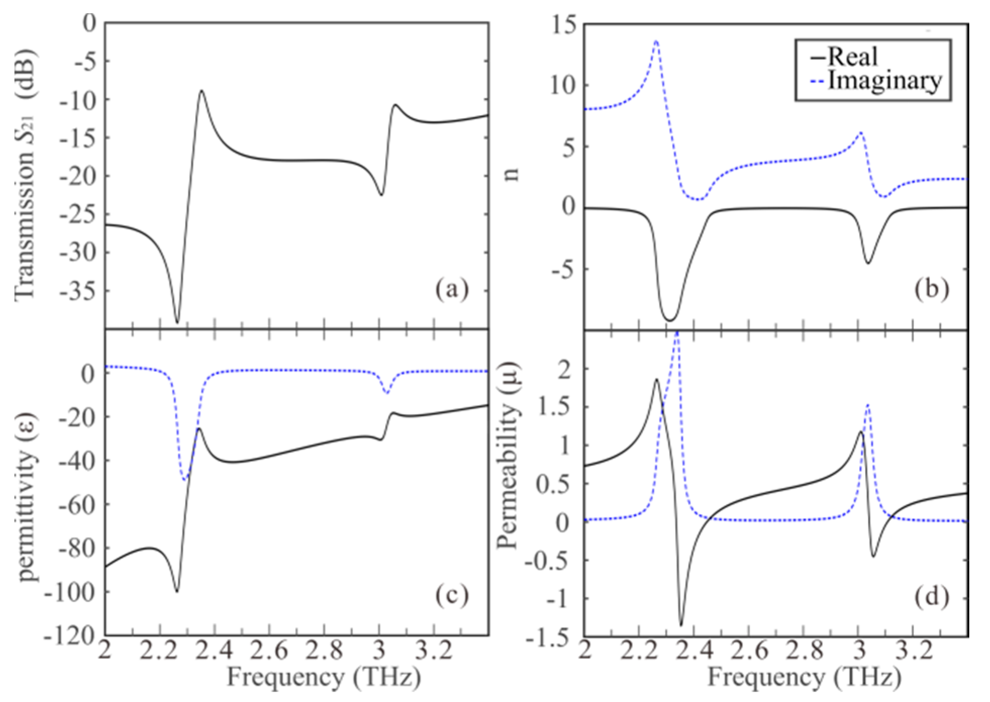
3. Simulation and Results
4. Discussion
5. Conclusions
Author Contributions
Funding
Data Availability Statement
Conflicts of Interest
References
- Veselago, V.G. The electrodynamics of substances with simultaneously negative values of ε and μ. Sov. Phys. Usp. 1968, 10, 509–514. [Google Scholar] [CrossRef]
- Smith, D.R.; Padilla, W.J.; Vier, D.C.; Nemat-Nasser, S.C.; Schultz, S. Composite medium with simultaneously negative permeability and permittivity. Phys. Rev. Lett. 2000, 84, 4184–4187. [Google Scholar] [CrossRef]
- Cao, M.; Wang, X.; Zhang, M.; Shu, J.; Cao, W.; Yang, H.; Fang, X.; Yuan, J. Electromagnetic response and energy conversion for functions and devices in low-dimensional materials. Adv. Funct. Mater. 2019, 29, 1807398. [Google Scholar] [CrossRef]
- Cao, M.; Shu, J.; Wang, X.X.; Wang, X.; Zhang, M.; Yang, H.; Fang, X.; Yuan, J. Electronic structure and electromagnetic properties for 2D electromagnetic functional materials in gigahertz frequency. Ann. Phys. 2019, 531, 1800390. [Google Scholar] [CrossRef]
- Pendry, J.B.; Holden, A.J.; Stewart, W.J.; Youngs, I. Extremely low frequency plasmons in metallic mesostructures. Phys. Rev. Lett. 1996, 76, 4773–4776. [Google Scholar] [CrossRef] [PubMed]
- Pendry, J.B.; Holden, A.J.; Robbins, D.J.; Stewart, W.J. Low frequency plasmons in thin-wire structures. J. Phys. Conds. Matter 1998, 10, 4785–4809. [Google Scholar] [CrossRef]
- Smith, D.R.; Schultz, S.; Markoš, P.; Soukoulis, C.M. Determination of effective permittivity and permeability of metamaterials from reflection and transmission coefficients. Phys. Rev. B 2002, 65, 195104. [Google Scholar] [CrossRef]
- Rizwan, M.; Mahmood, T.; Rafique, H.M.; Tanveer, M.; Haider, S.F. Design of a negative refractive index material based on numerical simulation. Chin. J. Phys. 2016, 54, 587–591. [Google Scholar] [CrossRef]
- Jia, X.; Wang, X. Optical fifishnet metamaterial with negative, zero, positive refractive index and nearly perfect absorption behavior at difffferent frequencies. Optik 2019, 182, 464–468. [Google Scholar] [CrossRef]
- Askari, M.; Niakan, N.; Zakery, A. A high transmission and low loss metamaterial with negative refraction at 458 THz. Optik 2013, 124, 2210–2213. [Google Scholar] [CrossRef]
- Chen, H.; Ran, L.; Huangfu, J.; Zhang, X.; Chen, K. Left-handed materials composed of only S-shaped resonators. Phys. Rev. E 2004, 70, 057605. [Google Scholar] [CrossRef] [PubMed]
- Baena, J.D.; Marqués, R.; Medina, F.; Martel, J. Artificial magnetic metamaterial design by using spiral resonators. Phys. Rev. B 2004, 69, 014402. [Google Scholar] [CrossRef]
- Askari, M.; Zakery, A.; Jahromi, A.S. A low loss semi H-shaped negative refractive index metamaterial at 4.725 THz. Photonics Nanostruct. 2018, 30, 78–83. [Google Scholar] [CrossRef]
- Li, W.; Meng, Q.; Huang, R.; Zhong, Z.; Zhang, B. Thermally tunable broadband terahertz metamaterials with negative refractive index. Opt. Commun. 2018, 412, 85–89. [Google Scholar] [CrossRef]
- Bejide, M.; Li, Y.; Stavrias, N.; Redlich, B.; Tanaka, T.; Lam, V.D.; Nguyen, T.T.; Janssens, E. Transient transmission of THz metamaterial antennas by impact ionization in a silicon substrate. Opt. Express 2021, 29, 170–181. [Google Scholar] [CrossRef]
- Nguyen, T.H.; Le, D.H.; Bui, S.T.; Bui, X.K.; Nguyen, X.C.; Vu, D.L. Plasmonic hybridization in symmetric metamaterial for broadband negative refractive index: Simulation, experiment and characterization. J. Phys. D Appl. Phys. 2020, 53, 175501. [Google Scholar] [CrossRef]
- Zhao, G.; Bi, S. Design and verification of double band negative refraction metamaterial. Phys. Lett. 2019, 725, 92–96. [Google Scholar] [CrossRef]
- Hossain, M.J.; Faruque, M.R.I.; Islam, M.T. Design and analysis of a new composite double negative metamaterial for multi-band communication. Curr. Appl. Phys. 2017, 17, 931–939. [Google Scholar] [CrossRef]
- Kowerdziej, R.; Jaroszewicz, L. Active control of terahertz radiation using a metamaterial loaded with a nematic liquid crystal. Liq. Cryst. 2016, 43, 1120–1125. [Google Scholar] [CrossRef]
- Islam, M.T.; Hoque, A.; Almutairi, A.F.; Amin, N. Left-handed metamaterial-inspired unit cell for S-Band glucose sensing application. Sensors 2019, 19, 169. [Google Scholar] [CrossRef] [PubMed]
- Khalid, N.; Abbasi, N.A.; Akan, O.B. Statistical characterization and analysis of low-THz communication channel for 5G Internet of Things. Nano Commun. Netw. 2019, 22, 100258. [Google Scholar] [CrossRef]
- Mishra, C.S.; Nayyar, A.; Suseendran, G.; Palai, G. L-Shape Si-waveguide for THz-Communication. Optik 2019, 178, 509–512. [Google Scholar] [CrossRef]
- Bai, P.; Zhang, Y.; Wang, T.; Fu, Z.; Shao, D.; Li, Z.; Wan, W.; Li, H.; Cao, J.; Guo, X.; et al. Broadband THz to NIR up-converter for photontype THz imaging. Nat. Commun. 2019, 10, 1–9. [Google Scholar] [CrossRef]
- Hernandez-Cardoso, G.G.; Rojas-Landeros, S.C.; Alfaro-Gomez, M.; Hernandez-Serrano, A.I.; Salas-Gutierrez, I.; Lemus-Bedolla, E.; Castillo-Guzman, A.R.; Lopez-Lemus, H.L.; Castro-Camus, E. Terahertz imaging for early screening of diabetic foot syndrome: A proof of concept. Sci. Rep. 2017, 7, 42124. [Google Scholar] [CrossRef]
- Gui, S.; Li, J.; Pi, Y. Security imaging for multi-target screening based on adaptive scene segmentation with Terahertz Radar. IEEE Sens. J. 2018, 19, 2675–2684. [Google Scholar] [CrossRef]
- Gómez-Castaño, M.; Garcia-Pomar, J.L.; Pérez, L.A.; Shanmugathasan, S.; Ravaine, S.; Mihi, A. Electrodeposited Negative Index Metamaterials with Visible and Near Infrared Response. Adv. Opt. Mater. 2020, 8, 2000865. [Google Scholar] [CrossRef]
- Xiao, Y.; Norouzian, F.; Hoare, E.G.; Marchetti, E.; Gashinova, M.; Cherniakov, M. Modelling and experiment verification of transmissivity of low-THz radar signal through vehicle infrastructure. IEEE Sens. J. 2020, 20, 8483–8496. [Google Scholar] [CrossRef]
- Kafesaki, M.; Tsiapa, I.; Katsarakis, N.; Koschny, T.; Soukoulis, C.M.; Economou, E.N. Left-handed metamaterials: The fishnet structure and its variations. Phys. Rev. B 2007, 75, 235114. [Google Scholar] [CrossRef]
- Chen, X.; Grzegorczyk, T.M.; Wu, B.I.; Pacheco, J.; Kong, J.A. Robust method to retrieve the constitutive effective parameters of metamaterials. Phys. Rev. E 2004, 70, 016608. [Google Scholar] [CrossRef] [PubMed]
- Hou, Z.L.; Zhang, M.; Kong, L.B.; Fang, H.M.; Li, Z.J.; Zhou, H.F.; Jin, H.B.; Cao, M.S. Microwave permittivity and permeability experiments in high-loss dielectrics: Caution with implicit Fabry-Pérot resonance for negative imaginary permeability. Appl. Phys. Lett. 2013, 103, 162905. [Google Scholar] [CrossRef]





Publisher’s Note: MDPI stays neutral with regard to jurisdictional claims in published maps and institutional affiliations. |
© 2021 by the authors. Licensee MDPI, Basel, Switzerland. This article is an open access article distributed under the terms and conditions of the Creative Commons Attribution (CC BY) license (https://creativecommons.org/licenses/by/4.0/).
Share and Cite
Zhang, S.; Wei, Z.; Xu, L.; Xu, J.; Ouyang, S.; Shen, Y. Plasmonic Fishnet Structures for Dual Band THz Left-Handed Metamaterials. Photonics 2021, 8, 116. https://doi.org/10.3390/photonics8040116
Zhang S, Wei Z, Xu L, Xu J, Ouyang S, Shen Y. Plasmonic Fishnet Structures for Dual Band THz Left-Handed Metamaterials. Photonics. 2021; 8(4):116. https://doi.org/10.3390/photonics8040116
Chicago/Turabian StyleZhang, Shaohua, Zhifu Wei, Ling Xu, Jianwei Xu, Shoujian Ouyang, and Yun Shen. 2021. "Plasmonic Fishnet Structures for Dual Band THz Left-Handed Metamaterials" Photonics 8, no. 4: 116. https://doi.org/10.3390/photonics8040116
APA StyleZhang, S., Wei, Z., Xu, L., Xu, J., Ouyang, S., & Shen, Y. (2021). Plasmonic Fishnet Structures for Dual Band THz Left-Handed Metamaterials. Photonics, 8(4), 116. https://doi.org/10.3390/photonics8040116
