Arbitrary-Order Photonic Hilbert Transformers Based on Phase-Modulated Fiber Bragg Gratings in Transmission
Abstract
1. Introduction
2. Principle and Method
3. Design Results and Discussion
3.1. 0.5th-Order Photonic Hilbert Transformer
3.2. First-Order Photonic Hilbert Transformer
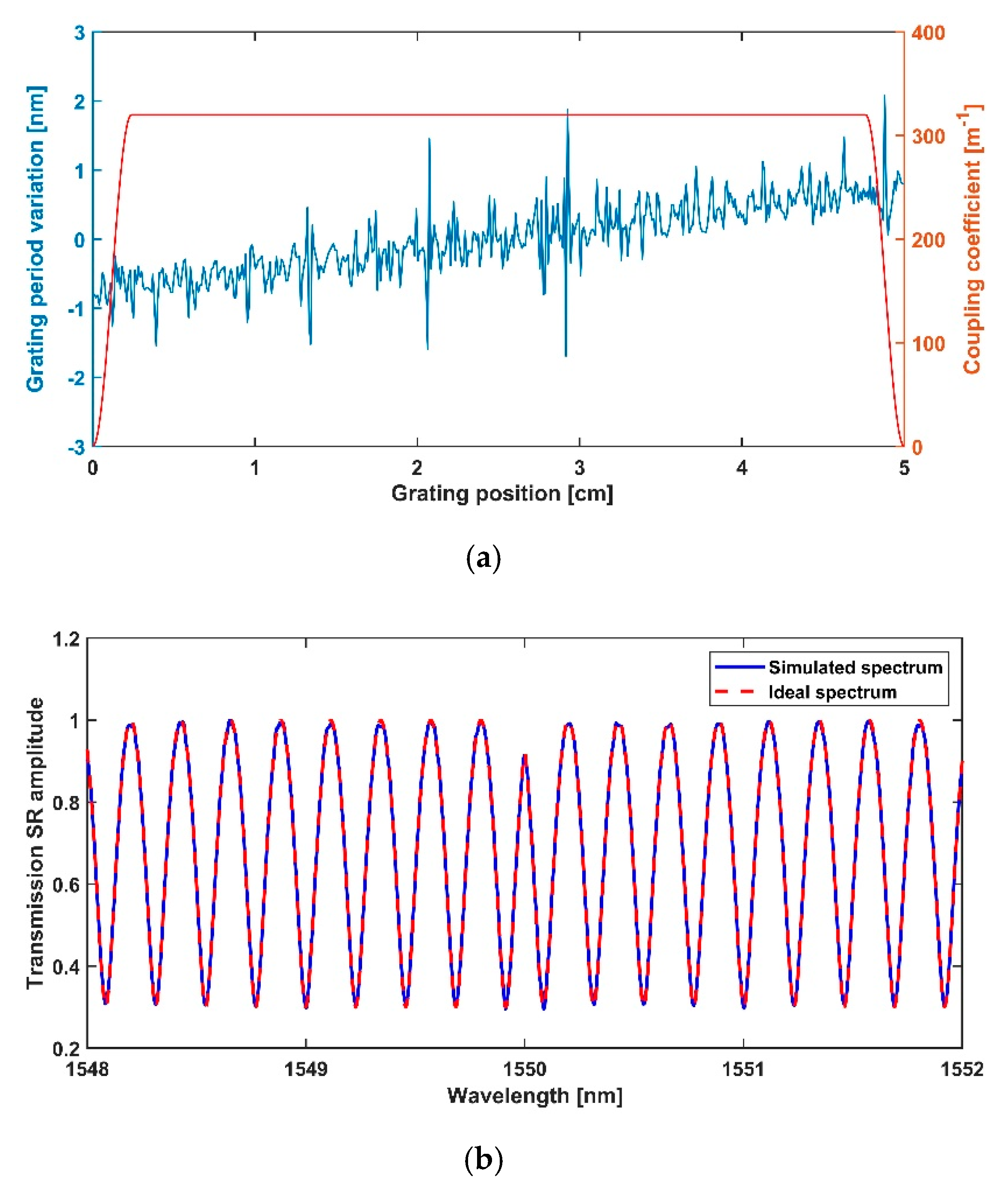
3.3. 1.5th-Order Photonic Hilbert Transformer
4. Conclusions
Author Contributions
Funding
Institutional Review Board Statement
Informed Consent Statement
Data Availability Statement
Conflicts of Interest
References
- Sima, C.; Gates, J.C.; Zervas, M.N.; Smith, P.G.R. Review of photonic Hilbert transformers. Front. Optoelectron. 2013, 6, 234. [Google Scholar] [CrossRef][Green Version]
- Emami, H.; Sarkhosh, N.; Bui, L.A.; Mitchell, A. Wideband RF photonic in-phase and quadrature-phase generation. Opt. Lett. 2008, 33, 98–100. [Google Scholar] [CrossRef]
- Bazargani, H.P.; Fernández-Ruiz, M.R.; Azaña, J. Tunable, nondispersive optical filter using photonic Hilbert transformation. Opt. Lett. 2014, 39, 5232–5235. [Google Scholar] [CrossRef] [PubMed]
- Tseng, C.C.; Pei, S.C. Design and application of discrete-time fractional Hilbert transformer. IEEE Trans. Circuits Syst. II Exp. Briefs 2000, 47, 1529–1533. [Google Scholar] [CrossRef]
- Emami, H.; Sarkhosh, N.; Bui, L.A.; Mitchell, A. Amplitude independent RF instantaneous frequency measurement system using photonic Hilbert transform. Opt. Express 2008, 16, 13707–13712. [Google Scholar] [CrossRef] [PubMed]
- Cuadrado-Laborde, C. Proposal and design of a photonic in-fiber fractional Hilbert transformer. IEEE Photon. Technol. Lett. 2010, 22, 33–35. [Google Scholar] [CrossRef]
- Li, M.; Yao, J.P. All-fiber temporal photonic fractional Hilbert transformer based on a directly designed fiber Bragg grating. Opt. Lett. 2010, 35, 223–225. [Google Scholar] [CrossRef] [PubMed]
- Li, M.; Yao, J.P. Experimental demonstration of a wideband photonic temporal Hilbert transformer based on a single fiber Bragg grating. IEEE Photon. Technol. Lett. 2010, 22, 1559–1561. [Google Scholar] [CrossRef]
- Fernández-Ruiz, M.R.; Wang, L.; Azaña, J.; Burla, M.; Carballar, A.; LaRochelle, S. THz-bandwidth photonic Hilbert transformers based on fiber Bragg gratings in transmission. Opt. Lett. 2015, 40, 41–44. [Google Scholar] [CrossRef]
- Ashrafi, R.; Azana, J. Terahertz bandwidth all-optical Hilbert transformers based on long-period gratings. Opt. Lett. 2012, 37, 2604–2606. [Google Scholar] [CrossRef]
- Bazargani, H.P.; Burla, M.; Chrostowski, L.; Azaña, J. Photonic Hilbert transformers based on laterally apodized integrated waveguide Bragg gratings on a SOI wafer. Opt. Lett. 2016, 41, 5039–5042. [Google Scholar] [CrossRef] [PubMed]
- Sima, C.T.; Gates, J.C.; Holmes, C.; Mennea, P.L.; Zervas, M.N.; Smith, P.G.R. Terahertz bandwidth photonic Hilbert transformers based on synthesized planar Bragg grating fabrication. Opt. Lett. 2013, 38, 3448–3451. [Google Scholar] [CrossRef] [PubMed]
- Dong, J.; Zheng, A.; Zhang, Y.; Xia, J.; Tan, S.; Yang, T.; Zhang, X. Photonic Hilbert transformer employing on-chip photonic crystal nanocavity. J. Lightwave Technol. 2014, 32, 3704–3709. [Google Scholar] [CrossRef]
- Tan, M.; Xu, X.; Corcoran, B.; Wu, J.; Boes, A.; Nguyen, T.G.; Chu, S.T.; Little, B.E.; Morandotti, R.; Mitchell, A.; et al. Microwave and RF Photonic Fractional Hilbert Transformer Based on a 50 GHz Kerr Micro-Comb. J. Lightwave Technol. 2019, 37, 6097–6104. [Google Scholar] [CrossRef]
- James, S.W.; Tatam, R.P. Optical fibre long-period grating sensors: Characteristics and application. Meas. Sci. Technol. 2003, 14, 49–61. [Google Scholar] [CrossRef]
- Shu, X.; Sugden, K.; Bennion, I. Virtual Gires-Tournois etalons realized with phase-modulated wideband chirped fiber gratings. Opt. Lett. 2007, 32, 3546–3548. [Google Scholar] [CrossRef]
- Preciado, M.A.; Shu, X.; Sudgen, K. Proposal and design of phase-modulated fiber gratings in transmission for pulse shaping. Opt. Lett. 2013, 38, 70–72. [Google Scholar] [CrossRef] [PubMed]
- Liu, X.; Shu, X. Design of Arbitrary-Order Photonic Temporal Differentiators Based on Phase-Modulated Fiber Bragg Gratings in Transmission. J. Lightwave Technol. 2017, 35, 2926–2932. [Google Scholar] [CrossRef]
- Preciado, M.A.; El-Taher, A.; Sugden, K.; Shu, X. Spatially distributed delay line interferometer based on transmission Bragg scattering. Opt. Lett. 2019, 44, 4319–4322. [Google Scholar] [CrossRef] [PubMed]
- Liu, X.; Xu, Z.; Preciado, M.A.; Gbadebo, A.; Zhang, L.; Xiong, J.; Yu, Y.; Cao, H.; Shu, X. Transmissive Fiber Bragg Grating-Based Delay Line Interferometer for RZ-OOK to NRZ-OOK Format Conversion. IEEE Access 2019, 7, 140300–140304. [Google Scholar] [CrossRef]
- Margulis, W.; Lindberg, R.; Laurell, F.; Hedin, G. Intracavity interrogation of an array of fiber Bragg gratings. Opt. Express 2021, 29, 111–118. [Google Scholar] [CrossRef] [PubMed]
- Li, C.; Tang, J.; Cheng, C.; Cai, L.; Guo, H.; Yang, M. Simultaneously distributed temperature and dynamic strain sensing based on a hybrid ultra-weak fiber grating array. Opt. Express 2020, 28, 34309–34319. [Google Scholar] [CrossRef] [PubMed]
- Zhang, Y.; Xu, B.; Wang, D.N.; Li, Y.; Gong, H.; Wang, Z. High-Resolution Sensing System Based on Fiber Bragg Grating Fabry–Perot Interferometer and Frequency-Domain Demodulation. IEEE Sens. J. 2019, 19, 4451–4457. [Google Scholar] [CrossRef]
- Yu, J.; Wu, Z.; Yang, X.; Han, X.; Zhao, M. Tilted Fiber Bragg Grating Sensor Using Chemical Plating of a Palladium Membrane for the Detection of Hydrogen Leakage. Sensors 2018, 18, 4478. [Google Scholar] [CrossRef]
- Skaar, J. Synthesis of fiber Bragg gratings for use in transmission. J. Opt. Soc. Am. A 2001, 18, 557–564. [Google Scholar] [CrossRef]
- Fernández-Ruiz, M.R.; Carballar, A.; Azaña, J. Arbitrary Time-Limited Optical Pulse Processors Based on Transmission Bragg Gratings. IEEE Photon. Technol. Lett. 2014, 26, 1754–1757. [Google Scholar] [CrossRef]
- Ozcan, A.; Digonnet, M.J.F.; Kino, G.S. Characterization of fiber Bragg gratings using spectral interferometry based on minimum-phase functions. J. Light. Technol. 2006, 24, 1739–1757. [Google Scholar] [CrossRef]
- Bonnans, J.F.; Gilbert, J.C.; Lemaréchal, C.; Sagastizabal, C.A. Numerical Optimization—Theoretical and Practical Aspects, 2nd ed.; Springer: Berlin/Heidelberg, Germany, 2006; pp. 51–56. [Google Scholar]








Publisher’s Note: MDPI stays neutral with regard to jurisdictional claims in published maps and institutional affiliations. |
© 2021 by the authors. Licensee MDPI, Basel, Switzerland. This article is an open access article distributed under the terms and conditions of the Creative Commons Attribution (CC BY) license (http://creativecommons.org/licenses/by/4.0/).
Share and Cite
Li, Y.; Liu, X.; Shu, X.; Zhang, L. Arbitrary-Order Photonic Hilbert Transformers Based on Phase-Modulated Fiber Bragg Gratings in Transmission. Photonics 2021, 8, 27. https://doi.org/10.3390/photonics8020027
Li Y, Liu X, Shu X, Zhang L. Arbitrary-Order Photonic Hilbert Transformers Based on Phase-Modulated Fiber Bragg Gratings in Transmission. Photonics. 2021; 8(2):27. https://doi.org/10.3390/photonics8020027
Chicago/Turabian StyleLi, Yanxin, Xin Liu, Xuewen Shu, and Lin Zhang. 2021. "Arbitrary-Order Photonic Hilbert Transformers Based on Phase-Modulated Fiber Bragg Gratings in Transmission" Photonics 8, no. 2: 27. https://doi.org/10.3390/photonics8020027
APA StyleLi, Y., Liu, X., Shu, X., & Zhang, L. (2021). Arbitrary-Order Photonic Hilbert Transformers Based on Phase-Modulated Fiber Bragg Gratings in Transmission. Photonics, 8(2), 27. https://doi.org/10.3390/photonics8020027
