Abstract
This study demonstrates a Mach–Zehnder-type internal-state atom interferometer in a sodium F = 1 spinor Bose–Einstein condensate (BEC), which is realized by applying a three-pulse radio-frequency sequence (––) to manipulate the two magnetic sublevels and . Phase-scanning experiments show that the visibility remains at a high level across all three pulse stages (). In the hold-time scanning measurements, the visibility decays exponentially with hold time, yet the system maintains good coherence. This work establishes a foundation for precision measurements based on internal-state atom interferometers, as the approach simplifies the experimental apparatus while maintaining good quantum coherence and high-contrast interference fringes.
1. Introduction
Atom interferometers utilize the wave-particle duality of atoms to achieve high-precision measurements, with important applications in gravity measurement, inertial navigation, and fundamental physics research [1,2,3,4,5]. Among them, atom interferometers based on Bose–Einstein condensates (BECs) have become an important direction in atom interferometry technology due to their long coherence times [6,7]. However, traditional atom interferometers employ spatial separation [8,9,10], using pulses to achieve momentum splitting and form spatially separated interference paths, requiring precise optical systems and long free evolution times.
Spinor BECs possess spin degrees of freedom, allowing precise manipulation of internal spin states through magnetic or radio-frequency fields [11,12,13], providing a new pathway for constructing internal-state-based atom interferometers. Unlike spatially separated interferometers, internal-state interferometers utilize the internal energy levels of atoms as interference paths [14,15], avoiding the complexity of spatial separation and offering advantages such as simple apparatus and high stability. In recent years, researchers have implemented internal-state interferometers in various atomic systems, but most employ Ramsey sequences or SU(1,1)-type interferometers [16].
Mach–Zehnder interferometers achieve beam splitting, reflection, and recombination through a three-pulse sequence (––), offering higher phase sensitivity compared to Ramsey interferometry (–T– double-pulse sequence) [17,18]. In atom interferometers, MZ-type sequences are primarily used in spatially separated interferometers, such as the linear MZ atom interferometer based on optical waveguides implemented by McDonald et al. [19]. In contrast, in internal-state interferometry, existing studies have mainly employed Ramsey sequences or SU(1,1)-type interferometers [20], such as the SU(1,1) interferometer implemented by Wrubel et al. [21] in spinor BECs. However, experimental studies on implementing MZ-type internal-state interferometers in sodium F = 1 spinor BECs have not been reported, which limits the application potential of internal-state interferometers in precision measurements. Meanwhile, recent theoretical advances in quantum interference have provided deeper insights into coherence dynamics and decoherence mechanisms in atom interferometry [22,23], including the Caldeira–Leggett framework for describing system–environment coupling and its effects on interference visibility, as well as the dynamics of quantum coherence in atom-field interaction systems with disorder effects.
This study demonstrates an MZ-type internal-state interferometer in a sodium F = 1 spinor BEC. Radio-frequency pulses are employed to achieve quantum state manipulation from to , constructing an MZ-type internal-state interferometer through a three-pulse sequence (––). On this basis, through phase scan and hold-time scan experiments, the phase evolution and visibility evolution over time of the interferometer are investigated.
2. Experimental Setup and Energy-Level System
The experiment is performed on a previously reported sodium spinor Bose–Einstein condensate platform [24,25,26]. First, a Zeeman slower is used to pre-cool the sodium atomic beam and load it into a magneto-optical trap (MOT). The MOT parameters were optimized to maximize the loading rate: the trapping beam is detuned by −20 MHz from the D2 line resonance with a beam diameter of approximately 3 cm, the repumping beam is detuned by −5 MHz with a power of 2.2 mW, and the magnetic field gradient is set to 10.2 G/cm. After 8 s of MOT loading, approximately – atoms are captured at a temperature of about 100 K. To increase the atomic cloud density, a compressed MOT (CMOT) stage is employed for 3 ms, where the trapping beam detuning is reduced to −15 MHz and the power is increased to 15 mW, while maintaining the magnetic field gradient at 10.2 G/cm. Subsequently, optical molasses cooling is applied for 17 ms with the trapping beam detuned to −53 MHz and the magnetic field gradient linearly reduced to 0.5 G/cm, resulting in a temperature of approximately 42 K with about atoms. The atoms are then loaded into a crossed dipole trap formed by two intersecting 1064 nm laser beams. The dipole trap is kept on at 7 W during the entire laser cooling sequence, and the power is linearly ramped to 14 W during loading to maximize the transfer efficiency, yielding approximately atoms at a temperature of about 70 K with a phase-space density (PSD) of 0.03. Evaporative cooling is performed in two stages: 500 ms of free evaporation followed by 4 s of forced evaporation, where the trap depth is reduced exponentially according to . The time constant is optimized to achieve BEC transition while maintaining sufficient atom number for interferometry experiments. The optimized evaporation process successfully produces a pure F = 1 spinor BEC of approximately sodium atoms at a temperature of about 70 nK.
The experimental setup is shown in Figure 1a, consisting mainly of magnetic field coils distributed above and below, radio frequency (RF) coils, a central atomic cloud, and a dipole trap. The bias magnetic field is generated by the magnetic field coils with an operating point of approximately 11 G. The RF coils are wound from circular enameled copper wire with a diameter of about 5 cm. The imaging system employs horizontal absorption imaging with a time-of-flight (TOF) of 6 ms. The RF field required for the experiment is generated by a function generator (AFG31000, Tektronix Inc., Beaverton, OR, USA), amplified through an RF switch (ZASWA-2-50DR+, Mini-Circuits, Brooklyn, NY, USA) and a power amplifier (AMPA-B-30, AA Opto-Electronic, Orsay, France), and then loaded onto the RF coils. The coils are connected in series with a 50 load to ensure impedance matching and protect the amplifier, while the switch ensures complete shutoff when not needed. The function generator features dual-channel output capability, enabling simultaneous generation of two RF signals with controllable phase differences, providing the technical foundation for subsequent phase-scanning interferometry experiments at fixed hold times.
Figure 1.
(a) Schematic diagram of the experimental setup. Main components include: anti-Helmholtz coils (for gradient magnetic fields and Stern–Gerlach separation), bias magnetic field coils along the Z-axis (for defining the quantization axis and inducing Zeeman splitting), RF coils, dipole trap, and the central atomic cloud. (b) Schematic diagram of the three magnetic sublevels of the sodium F = 1 hyperfine structure [27] and absorption imaging of the atomic cloud. The absorption imaging shows atomic cloud images for three magnetic sublevels () and two magnetic sublevels (), demonstrating the realization of an independently controllable two-level system.
The three magnetic sublevels of the sodium hyperfine structure are shown in Figure 1b [27], corresponding to , , and . When the bias magnetic field is small, a single RF pulse can simultaneously couple all three magnetic sublevels (), and absorption imaging shows atomic population in all three magnetic sublevels. In contrast, when the bias magnetic field is large (approximately 11 G), applying an RF pulse couples only the and two magnetic sublevels (), and absorption imaging shows atomic population only in the and states, indicating the realization of an independently controllable two-level system. The RF pulse frequency is 7.902 MHz with an amplitude of 2 Vpp. At this RF intensity, the measured Rabi oscillation period is approximately 0.08 ms.
3. Atom Interferometer Principle and Implementation
The atom interferometer constructed in this experiment is based on the Mach–Zehnder interferometer principle [1,2,28], as shown in Figure 2a. Analogous to optical MZ interferometers, the atom interferometer achieves beam splitting, reflection, and recombination through three RF pulses: the first pulse acts as a beam splitter, preparing atoms from the initial state into a superposition of two internal states; the free evolution time (hold time) allows the two branches to accumulate phase differences; the pulse acts as a mirror, exchanging the states of the two branches; after another free evolution, the second pulse acts as a recombiner, recombining the two branches and generating interference. The atomic internal state paths form superposition and interference between and . By measuring the atomic population distribution at the output ports, interference patterns can be obtained, thereby extracting the wave-like information of atoms.
Figure 2.
(a) Schematic diagram of the Mach–Zehnder-type atom interferometer principle. Beam splitting, reflection, and recombination are achieved through three RF pulses (––), with atomic internal state paths forming superposition and interference between and . (b) Timing diagram of the atom interferometer. The timing diagram shows the complete process of gradient magnetic field preparation, bias magnetic field activation, three-pulse RF sequence (––), and time-of-flight imaging.
The timing diagram of the atom interferometer is shown in Figure 2b. First, a gradient magnetic field is used to prepare the initial atomic state. By adjusting the magnetic field strength and duration, atoms can be selectively prepared to the state. Then, the bias magnetic field is activated, causing Zeeman splitting and constructing a two-level system. Within the time range covered by the bias magnetic field, a three-pulse RF sequence is employed: ––. The free evolution time T (hold time) between the two pulses is adjustable. Controllable phase differences (, , ) can be introduced at any pulse stage to induce interference between the atomic wave functions of the two branches. In this experiment, the phase scanning range is from to with a step size of . After the sequence ends, absorption imaging is performed following a 6 ms time-of-flight, and atomic population is observed to obtain interference patterns.
4. Results and Discussion
The experiment first calibrates and measures Rabi oscillations of the two energy levels to determine the RF pulse durations. Based on the measured Rabi oscillation period (0.08 ms corresponding to a pulse), the durations of the first pulse, second pulse, and third pulse are 0.02 ms, 0.04 ms, and 0.02 ms, respectively. On this basis, with a fixed hold time, phase scanning is applied to the three pulse stages separately, measuring the atomic population fraction of the state.
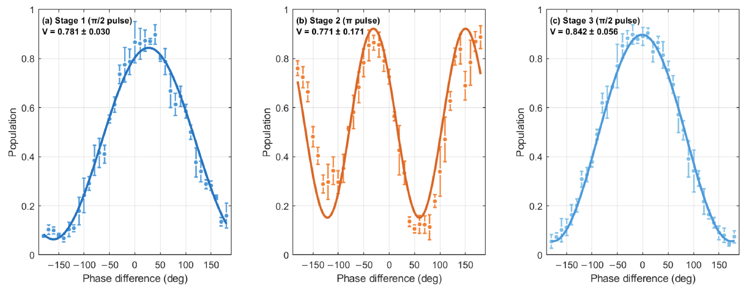
The phase-scanning interference results for the three pulse stages are shown in Figure 3 (drawn using MATLAB R2024a), with the horizontal axis representing the applied phase difference and the vertical axis representing the atomic population fraction of the state. From Figure 3, it can be observed that the pulse phase scanning at the first and third stages exhibits one complete period, while the pulse phase scanning at the second stage exhibits two complete periods. Theoretical analysis shows that for pulse phase scanning, the phase change causes the output population to vary according to or , with one complete period corresponding to a phase change. For pulse phase scanning, the pulse exchanges the two branches, and the phase change causes the output population to vary according to . Since the period of is , two complete periods appear within the scanning range from to . The error bars in Figure 3 represent the standard deviation of three repeated measurements under the same experimental conditions. The main sources of uncertainty include magnetic field noise, noise from absorption imaging (such as fluctuations in the absorption beam intensity), and statistical fluctuations in the atomic population measurements. The relatively small error bars indicate good reproducibility of the phase-scanning experiments.
Figure 3.
Phase-scanning interference results for the three pulse stages. The three curves correspond to interference fringes obtained when phase scanning is applied at the first stage ( pulse, dark blue), second stage ( pulse, orange), and third stage ( pulse, light blue). Solid lines are fitting curves using Equation (1), with fitting quality values of 0.9804, 0.8348, and 0.9922, respectively.
Nonlinear least squares fitting is applied to the experimental data using the formula:
where is the baseline offset, A is the amplitude, is the phase center, and w is the period width. Based on the standard theory of atom interferometers, the population variation with phase can typically be expressed in the form , where V is the visibility [29]. This standard form can be rewritten as , where is the baseline offset. Equation (1) is mathematically equivalent to this standard form through trigonometric identities. For pulse phase scanning, where , the expression in Equation (1) can be transformed to the cosine form in the standard expression. The key parameter correspondence is: the relationship between amplitude A and visibility is ; the baseline offset in Equation (1) corresponds to in the standard form; the phase center in Equation (1) directly corresponds to the phase offset in the standard form. The period width w reflects the periodic characteristics of the interference fringes. The fitting results show that for pulse phase scanning (first and third stages), the w values are and , close to the theoretical value of ; for pulse phase scanning (second stage), w is , close to the theoretical value of .
Through fitting with Equation (1), the visibilities for the first, second, and third stages are , , and , respectively, all maintained at relatively high levels (), indicating good coherence of the system.
To study the phase evolution over time, the experiment employs a fixed pulse phase approach, scanning the free evolution time T (hold time) between pulses. For each hold time T, the phase difference is scanned (from to with a step size of ), measuring the atomic population fraction of the state to obtain an interference fringe. The experiment measured data for hold times from 1 to 12 s.
The phase-scanning interference results at different hold times are shown in Figure 4 (drawn using MATLAB R2024a). Figure 4a,b show the phase-scanning interference fringes for hold times of 1–3 s and 4–6 s, respectively (due to space limitations, only the first 6 hold time results are shown, but all results are used for subsequent analysis). It can be observed that clear interference fringes are formed at all hold times, but the position of the interference fringes (phase center) shifts with hold time, reflecting the phase accumulation effect caused by the energy difference between the two energy levels. In addition, the visibility at all hold times remains at relatively high levels, indicating good coherence of the system. The error bars in Figure 4a,b represent the standard deviation of three repeated measurements, with the same error sources as in Figure 3.
Figure 4.
Interference results and analysis for hold time scanning. (a,b) show phase-scanning interference fringes for 1–3 s and 4–6 s, respectively, with solid lines being fitting curves using Equation (1). Due to space limitations, only the first 6 hold time phase-scanning results are shown. (c) Variation of phase center with hold time T, with solid line being the fitting curve using the SineDamp Equation (2). The phase center exhibits periodic variation with period s. (d) Variation in visibility V with hold time T, with solid line being the fitting curve using the exponential decay formula .
Figure 4c shows the variation in phase center with hold time T. In a Mach–Zehnder-type atom interferometer, the phase of the interference fringes is determined by the total phase difference between the two paths. For an ideal symmetric MZ sequence (–T––T–), when , the pulse exchanges the two branch states, making and have opposite signs, so the net phase difference contributed by the internal state energy difference is zero. However, the experiment observes periodic variation of the phase center, indicating the existence of a non-zero net phase difference, possibly originating from sequence asymmetry (), external potential field effects (magnetic field gradients, gravity, etc.), or mean-field effects and other nonlinear terms. The error bars in Figure 4c represent the fitting uncertainty of the phase center extracted from the phase-scanning data for each hold time using Equation (1).
The amplitude of the periodic variation in the phase center decays with hold time, reflecting decoherence or stability degradation of the system. A damped sine formula (SineDamp) is used for fitting:
where is the baseline offset, is the initial amplitude, is the decay time constant, and is the period width (actual period ). The sine term describes the periodic evolution of the phase center, while the decay term reflects amplitude attenuation due to decoherence, system stability degradation, or environmental noise accumulation.
Figure 4d shows the variation in visibility V with hold time T. An exponential decay formula is used for fitting:
where is the initial visibility and is the coherence time. The fitting yields , s, . Within the range of 1–12 s, the visibility decays from approximately 0.80 to 0.60, with a decay amplitude of about 25%, indicating the existence of decoherence effects in the system. The error bars in Figure 4d represent the uncertainty in the visibility calculated from the fitting procedure, where and is the standard error of the amplitude parameter A in Equation (1).
Decoherence mainly originates from magnetic field noise and drift, atomic interactions (particularly mean-field effects), and environmental noise. The total decoherence rate is estimated as kHz from the observed coherence time s. For spinor BEC systems, mean-field interactions from spin-exchange collisions are expected to contribute to decoherence, given the high atomic density (atom numbers ∼105) and intrinsic mean-field effects. The periodic variation of the phase center (period s, frequency MHz) suggests magnetic field-related effects, indicating that magnetic field noise may also contribute. Together, mean-field interactions and magnetic field effects are likely significant contributors. Despite these effects, the system maintains relatively good coherence within the measurement time scale (1–12 s). Experimental studies reporting coherence time and visibility for spinor BEC-based internal-state interferometers are limited. Our MZ-type interferometer demonstrates good performance for this type of interferometer. Future improvements include optimizing the magnetic field environment and system stability, as well as atomic density to minimize mean-field effects, to extend the coherence time and enhance measurement sensitivity.
5. Conclusions
This study constructed an atom interferometer based on sodium spinor BEC (F = 1), employing a two-level system composed of and , and realized Mach–Zehnder-type internal state interference through a three-pulse RF sequence (––). The phase-scanning experiments show that all three stages maintain relatively high visibility (). In the hold-time scanning measurements, the phase center exhibits periodic variation, and the visibility decays exponentially with hold time. Despite this decay, the system maintains good coherence within the measurement time scale (1–12 s). The internal-state atom interferometer based on spinor BEC does not require spatial separation, and RF control is simple with controllable phase, thereby simplifying the experimental setup while maintaining good coherence and high interference fringe visibility. This work provides a foundation for subsequent high-precision measurements, including magnetic field gradient and gravitational acceleration measurements.
Author Contributions
Conceptualization, J.J. and Z.Z.; methodology, Z.Z.; software, Z.Z. and Q.Z.; validation, S.W. and J.J.; formal analvsis, W.L. and J.W.; investigation, Y.L. and J.J.; data curation, J.M.; writing—original draft preparation, J.J.; writing—review and editing, W.L. and J.W.; visualization, W.L.; supervision, J.W.; project administration, J.W.; funding acquisition, J.W. All authors have read and agreed to the published version of the manuscript.
Funding
This work is supported by the Innovation Program for Quantum Science and Technology (Grant No. 2021ZD0302103), the National Natural Science Foundation of China (Grant Nos. 62325505, 62020106014, 62175140, 62475138, 92165106, 12104276), Postgraduate Education Innovation Program of Shanxi Province (2024TD03, 2024JG018).
Institutional Review Board Statement
Not applicable.
Informed Consent Statement
Not applicable.
Data Availability Statement
Data underlying the results presented in this paper are not publicly available at this time but may be obtained from the authors upon reasonable request.
Conflicts of Interest
The authors declare no conflicts of interest.
References
- Kasevich, M.; Chu, S. Atomic interferometry using stimulated Raman transitions. Phys. Rev. Lett. 1991, 67, 181. [Google Scholar] [CrossRef] [PubMed]
- Cronin, A.D.; Schmiedmayer, J.; Pritchard, D.E. Optics and interferometry with atoms and molecules. Rev. Mod. Phys. 2009, 81, 1051–1129. [Google Scholar] [CrossRef]
- Nemirovsky, J.; Weill, R.; Meltzer, I.; Sagi, Y. Atomic interferometer based on optical tweezers. Phys. Rev. Res. 2023, 5, 043300. [Google Scholar] [CrossRef]
- Elliott, E.R.; Aveline, D.C.; Bigelow, N.P.; Boegel, P.; Botsi, S.; Charron, E.; d’Incao, J.P.; Engels, P.; Estrampes, T.; Gaaloul, N.; et al. Quantum gas mixtures and dual-species atom interferometry in space. Nature 2023, 623, 502–508. [Google Scholar] [CrossRef]
- Panda, C.D.; Tao, M.J.; Ceja, M.; Khoury, J.; Tino, G.M.; Müller, H. Measuring gravitational attraction with a lattice atom interferometer. Nature 2024, 631, 515–520. [Google Scholar] [CrossRef]
- Rudolph, J.; Herr, W.; Grzeschik, C.; Sternke, T.; Grote, A.; Popp, M.; Becker, D.; Müntinga, H.; Ahlers, H.; Peters, A.; et al. A high-flux BEC source for mobile atom interferometers. New J. Phys. 2015, 17, 065001. [Google Scholar] [CrossRef]
- Fattori, M.; D’Errico, C.; Roati, G.; Zaccanti, M.; Jona-Lasinio, M.; Modugno, M.; Inguscio, M.; Modugno, G. Atom interferometry with a weakly interacting Bose-Einstein condensate. Phys. Rev. Lett. 2008, 100, 080405. [Google Scholar] [CrossRef]
- Gebbe, M.; Siemß, J.N.; Gersemann, M.; Müntinga, H.; Herrmann, S.; Lämmerzahl, C.; Ahlers, H.; Gaaloul, N.; Schubert, C.; Hammerer, K.; et al. Twin-lattice atom interferometry. Nat. Commun. 2021, 12, 2544. [Google Scholar] [CrossRef]
- Plotkin-Swing, B.; Gochnauer, D.; McAlpine, K.E.; Cooper, E.S.; Jamison, A.O.; Gupta, S. Three-path atom interferometry with large momentum separation. Phys. Rev. Lett. 2018, 121, 133201. [Google Scholar] [CrossRef]
- Werner, M.; Schwartz, P.K.; Kirsten-Siemß, J.N.; Gaaloul, N.; Giulini, D.; Hammerer, K. Atom interferometers in weakly curved spacetimes using Bragg diffraction and Bloch oscillations. Phys. Rev. D 2024, 109, 022008. [Google Scholar] [CrossRef]
- Stamper-Kurn, D.; Andrews, M.; Chikkatur, A.; Inouye, S.; Miesner, H.J.; Stenger, J.; Ketterle, W. Optical confinement of a Bose-Einstein condensate. Phys. Rev. Lett. 1998, 80, 2027. [Google Scholar] [CrossRef]
- Kawaguchi, Y.; Ueda, M. Spinor bose–einstein condensates. Phys. Rep. 2012, 520, 253–381. [Google Scholar] [CrossRef]
- Stamper-Kurn, D.M.; Ueda, M. Spinor Bose gases: Symmetries, magnetism, and quantum dynamics. Rev. Mod. Phys. 2013, 85, 1191–1244. [Google Scholar] [CrossRef]
- Anderson, D.; Sapiro, R.; Gonçalves, L.; Cardman, R.; Raithel, G. Optical radio-frequency phase measurement with an internal-state Rydberg atom interferometer. Phys. Rev. Appl. 2022, 17, 044020. [Google Scholar] [CrossRef]
- Dupont-Nivet, M.; Westbrook, C.; Schwartz, S. Effect of trap symmetry and atom-atom interactions on a trapped-atom interferometer with internal state labeling. Phys. Rev. A 2021, 103, 023321. [Google Scholar] [CrossRef]
- Dupont-Nivet, M.; Westbrook, C.; Schwartz, S. Contrast and phase-shift of a trapped atom interferometer using a thermal ensemble with internal state labelling. New J. Phys. 2016, 18, 113012. [Google Scholar] [CrossRef]
- Bongs, K.; Launay, R.; Kasevich, M.A. High-order inertial phase shifts for time-domain atom interferometers. Appl. Phys. B 2006, 84, 599–602. [Google Scholar] [CrossRef]
- Cheinet, P.; Canuel, B.; Dos Santos, F.P.; Gauguet, A.; Yver-Leduc, F.; Landragin, A. Measurement of the sensitivity function in a time-domain atomic interferometer. IEEE Trans. Instrum. Meas. 2008, 57, 1141–1148. [Google Scholar] [CrossRef]
- McDonald, G.; Keal, H.; Altin, P.; Debs, J.; Bennetts, S.; Kuhn, C.; Hardman, K.; Johnsson, M.; Close, J.; Robins, N. Optically guided linear Mach-Zehnder atom interferometer. Phys. Rev. A—Atomic Mol. Opt. Phys. 2013, 87, 013632. [Google Scholar] [CrossRef]
- Yurke, B.; McCall, S.L.; Klauder, J.R. SU(2) and SU(1, 1) interferometers. Phys. Rev. A 1986, 33, 4033. [Google Scholar] [CrossRef]
- Wrubel, J.; Schwettmann, A.; Fahey, D.P.; Glassman, Z.; Pechkis, H.; Griffin, P.; Barnett, R.; Tiesinga, E.; Lett, P. Spinor Bose-Einstein-condensate phase-sensitive amplifier for SU(1, 1) interferometry. Phys. Rev. A 2018, 98, 023620. [Google Scholar] [CrossRef]
- Marinho, L.; de Sá Neto, O.; Sampaio, M.; Costa, H.A.; da Paz, I. Open quantum behaviour manifested in the double-slit experiment. Europhys. Lett. 2023, 143, 40001. [Google Scholar] [CrossRef]
- Warnes, J.H.; de Paula, F.M.; Costa, N.C.; de Sá Neto, O.P. Dynamics of quantum coherence in the Jaynes–Cummings model with quenched disorder. Phys. Open 2023, 15, 100146. [Google Scholar] [CrossRef]
- Liu, W.; Zheng, N.; Wang, X.; Xu, J.; Li, Y.; Sovkov, V.B.; Li, P.; Fu, Y.; Wu, J.; Ma, J. Fast, simple, all-optical production of sodium spinor condensates. J. Phys. B At. Mol. Opt. Phys. 2021, 54, 155501. [Google Scholar] [CrossRef]
- Zheng, N.; Liu, W.; Sovkov, V.; Xu, J.; Ge, G.; Li, Y.; Li, P.; Fu, Y.; Wu, J.; Ma, J.; et al. Nonlinear laser-induced frequency shift in a 23Na spin-1 condensate. Opt. Express 2021, 29, 32892–32899. [Google Scholar] [CrossRef]
- Zheng, N.; Liu, W.; Wu, J.; Li, Y.; Sovkov, V.; Ma, J. Parametric Excitation of Ultracold Sodium Atoms in an Optical Dipole Trap. Photonics 2022, 9, 442. [Google Scholar] [CrossRef]
- Steck, D.A. Sodium D line data. Rep. Los Alamos Natl. Lab. Los Alamos 2000, 124, 74. [Google Scholar]
- Wald, S.; Gheorghita, E.F.; Hosten, O. Towards a squeezed Mach-Zehnder-type atom interferometer in an optical, propagating-wave cavity. In Proceedings of the SMT 2025, Glasgow, UK, 10–11 August 2025. [Google Scholar]
- Joyet, A.; Di Domenico, G.; Thomann, P. Theoretical analysis of aliasing noises in cold atom Mach-Zehnder interferometers. Eur. Phys. J. D 2012, 66, 61. [Google Scholar] [CrossRef]
Disclaimer/Publisher’s Note: The statements, opinions and data contained in all publications are solely those of the individual author(s) and contributor(s) and not of MDPI and/or the editor(s). MDPI and/or the editor(s) disclaim responsibility for any injury to people or property resulting from any ideas, methods, instructions or products referred to in the content. |
© 2026 by the authors. Licensee MDPI, Basel, Switzerland. This article is an open access article distributed under the terms and conditions of the Creative Commons Attribution (CC BY) license.



