Simulation and Experimental Study of Nanosecond Pulse Laser Removal of Epoxy Paint on 6061 Aluminum Alloy Surface
Abstract
:1. Introduction
2. Theoretical Model
2.1. Ablation Process
2.2. Mechanical Stripping Process
2.3. Paint Film Removal Conditions
3. Experimental Section
4. Numerical Model
5. Results and Discussion
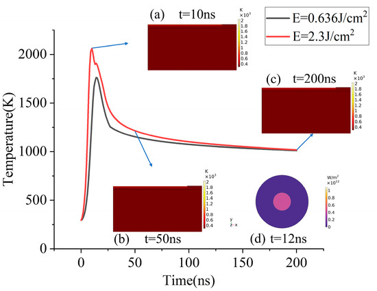
5.1. Simulation Results
5.2. Experimental Results
5.3. Discussion
6. Conclusions
Author Contributions
Funding
Institutional Review Board Statement
Informed Consent Statement
Data Availability Statement
Conflicts of Interest
References
- Zhu, G.; Wang, S.; Cheng, W.; Ren, Y.; Wen, D. Corrosion and wear performance of aircraft skin after laser cleaning. Opt. Laser Technol. 2020, 132, 106475. [Google Scholar] [CrossRef]
- Hu, C.; He, G.; Chen, J.; Fang, Z.; Yang, Z.; Zhang, Z. Research on Cleaning Mechanism of Anti-Erosion Coating Based on Thermal and Force Effects of Laser Shock. Coatings 2020, 10, 683. [Google Scholar] [CrossRef]
- Chen, G.X.; Kwee, T.J.; Tan, K.P.; Choo, Y.S.; Hong, M.H. Laser cleaning of steel for paint removal. Appl. Phys. A-Mater. Sci. Process 2010, 101, 249–253. [Google Scholar] [CrossRef]
- Liu, Y.; Liu, W.; Zhang, D.; Tian, Z.; Sun, X.; Wei, Z. Experimental investigations into cleaning mechanism of ship shell plant surface involved in dry laser cleaning by controlling laser power. Appl. Phys. A-Mater. Sci. Process 2020, 126, 1–17. [Google Scholar] [CrossRef]
- Abdul, M.K.A.; Jaafar, R.M.S.; Rahman, A.A.; Saidi, S.A. Identification of optimum operatives parameters for Pulse Nd:YAG laser in paint removal on different types of car coated substrate. Int. J. Edu. Res. 2014, 2, 47–64. [Google Scholar]
- Razab, M.K.A.A.; Jaafar, M.S.; Rahman, A.A.; Saidi, S.A. Estimation of Threshold Fluence, Absorption Coefficient and Thermal Loading of Car Coated Substrate in Laser Paint Removal. App. Mec. Mat. 2014, 554, 439–443. [Google Scholar] [CrossRef]
- Zhao, H.; Qiao, Y.; Du, X.; Wang, S.; Zhang, Q.; Zang, Y.; Liu, X. Laser cleaning performance and mechanism in stripping of Polyacrylate resin paint. Appl. Phys. A-Mater. Sci. Process 2020, 126, 360. [Google Scholar] [CrossRef]
- Brygo, F.; Dutouquet, C.; Le Guern, F.; Oltra, R.; Semerok, A.; Weulersse, J.M. Laser fluence, repetition rate and pulse duration effects on paint ablation. Appl. Surf. Sci. 2006, 252, 2131–2138. [Google Scholar] [CrossRef]
- Han, J.; Cui, X.; Wang, S.; Feng, G.; Deng, G.; Hu, R. Laser effects based optimal laser parameter identifications for paint removal from metal substrate at 1064 nm: A multi-pulse model. J. Mod. Opt. 2017, 64, 1947–1959. [Google Scholar] [CrossRef]
- Zheng, Z.; Wang, C.; Huang, G.; Feng, W.; Liu, D. Effect of Defocused Nanosecond Laser Paint Removal on Mild Steel Substrate in Ambient Atmosphere. Materials 2021, 14, 5969. [Google Scholar] [CrossRef]
- Zhang, D.; Xu, J.; Li, Z.; Li, K.; Wang, C.; Shan, D.; Guo, B. Removal mechanism of blue paint on aluminum alloy substrate during surface cleaning using nanosecond pulsed laser. Opt. Laser Technol. 2022, 149, 107882. [Google Scholar] [CrossRef]
- Roberts, D.E. Pulsed laser coating removal by detachment and ejection. Appl. Phys. A-Mater. Sci. Process 2004, 79, 1067–1070. [Google Scholar] [CrossRef]
- Kumar, A.; Sapp, M.; Vincelli, J.; Gupta, M.C. A study on laser cleaning and pulsed gas tungsten arc welding of Ti–3Al–2.5V alloy tubes. J. Mater. Process. Technol. 2010, 210, 64–71. [Google Scholar] [CrossRef]
- Tong, Y.; ShangGuan, J.; Ren, X.; Yuan, A.; Liu, J.; Lian, Z.; Hu, X.; Ma, J.; Yang, Z.; Wang, D. Surface quality of laser paint removal of marine steel: A comparative study using a Gaussian beam and a flat-top beam. Appl. Opt. 2022, 61, 2237–2246. [Google Scholar] [CrossRef]
- Sun, Q.; Zhou, J.Z.; Meng, X.K.; Yang, J.N.; Guo, Z.H.; Zhu, M.; Guo, S. Mechanism and threshold fluence of nanosecond pulsed laser paint removal. Rare Met. 2022, 41, 1022–1031. [Google Scholar] [CrossRef]
- Lu, Y.; Yang, L.; Wang, M.; Wang, Y. Simulation of nanosecond laser cleaning the paint based on the thermal stress. Optik 2021, 227, 165589. [Google Scholar] [CrossRef]
- Zhang, D.; Xu, J.; Li, Z.; Jin, Y.; Su, X.; Shan, D.; Guo, B. Removal mechanisms of nanosecond pulsed laser cleaning of blue and red polyurethane paint. Appl. Phys. A-Mater. Sci. Process 2022, 128, 170. [Google Scholar] [CrossRef]
- Dimitriou, V.; Kaselouris, E.; Orphanos, Y.; Bakarezos, M.; Vainos, N.; Tatarakis, M.; Papadogiannis, N.A. Three dimensional transient behavior of thin films surface under pulsed laser excitation. Appl. Phys. Lett. 2013, 103, 114104. [Google Scholar] [CrossRef]
- Gao, J.; Cao, Y.; Lu, L.; Hu, Z.; Wang, K.; Guo, F.; Yan, Y. Study on the interaction between nanosecond laser and 6061 aluminum alloy considering temperature dependence. J. Alloys Compd. 2022, 892, 162044. [Google Scholar] [CrossRef]
- Yue, L.; Wang, Z.; Li, L. Modeling and simulation of laser cleaning of tapered micro-slots with different temporal pulses. Opt. Laser Technol. 2013, 45, 533–539. [Google Scholar] [CrossRef]
- Stafe, M.; Negutu, C.; Popescu, I.M. Theoretical determination of the ablation rate of metals in multiple-nanosecond laser pulses irradiation regime. Appl. Surf. Sci. 2007, 253, 6353–6358. [Google Scholar] [CrossRef]
- Fang, R.; Zhang, D.; Li, Z.; Yang, F.; Li, L.; Tan, X.; Sun, M. Improved thermal model and its application in UV high-power pulsed laser ablation of metal target. Solid State Commun. 2008, 145, 556–560. [Google Scholar] [CrossRef]
- Zhang, W.; Yao, Y.L. Micro Scale Laser Shock Processing of Metallic Components. Manuf. Sci. Eng. 2002, 124, 369–378. [Google Scholar] [CrossRef]
- Bauerle, D. Laser Processing and Chemistry, 4th ed.; Springer: Heidelberg, Germany, 2011; p. 120. [Google Scholar]
- Fabbro, R.; Fournier, J.; Ballard, P.; Devaux, D.; Virmont, J. Physical study of laser-produced plasma in confined geometry. J. Appl. Phys. 1990, 68, 775–784. [Google Scholar] [CrossRef]
- Fabbro, R.; Peyre, P.; Berthe, L.; Scherpereel, X. Physics and applications of laser-shock processing. J. Laser Appl. 1998, 10, 265–279. [Google Scholar] [CrossRef]
- Xiong, Q.; Shimada, T.; Kitamura, T.; Li, Z. Atomic investigation of effects of coating and confinement layer on laser shock peening. Opt. Laser Technol. 2020, 131, 106409. [Google Scholar] [CrossRef]
- Liao, Y.; Ye, C.; Cheng, G.J. A review: Warm laser shock peening and related laser processing technique. Opt. Laser Technol. 2016, 78, 15–24. [Google Scholar] [CrossRef]
- Tang, W.H. Shockwave Physics; China Science Publishing: Beijing, China, 2011; pp. 204–207. [Google Scholar]
- Zhu, Z.M.; Gong, X.F.; Du, G.H. Acoustic Fundamentals; Nanjing University Press: Nanjing, China, 2012; pp. 132–134. [Google Scholar]
- Li, Y.; Li, J.; Dong, H.; Zhang, W.; Jin, G. Mechanism of paint removal by nanosecond pulsed laser plasma shock: Simulation and experiment. Appl. Opt. 2023, 62, 2855–2861. [Google Scholar] [CrossRef]
- Wei, H.; Xia, J.; Zhou, W.; Zhou, L.; Hussain, G.; Li, Q.; Ostrikov, K. Adhesion and cohesion of epoxy-based industrial composite coatings. Compos. Pt. B-Eng. 2020, 193, 108035. [Google Scholar] [CrossRef]
- Papadopoulos, K.; Tserpes, K. Analytical and Numerical Modeling of Stress Field and Fracture in Aluminum/Epoxy Interface Subjected to Laser Shock Wave: Application to Paint Stripping. Materials 2022, 15, 3423. [Google Scholar] [CrossRef]
- Millett, J.C.F.; Bourne, N.K.; Barnes, N.R. The behavior of an epoxy resin under one-dimensional shock loading. J. Appl. Phys. 2002, 92, 6590–6594. [Google Scholar] [CrossRef]
- Isbell, W.M. Shock Waves: Measuring the Dynamic Response of Materials; Imperial College Press: London, UK, 2005; pp. 214–219. [Google Scholar]
- Zou, W.F.; Xie, Y.M.; Xiao, X.; Zeng, X.; Zeng, X.Z.; Luo, Y. Application of thermal stress model to paint removal by Q-switched Nd:YAG laser. Chin. Phys. B 2014, 23, 433–438. [Google Scholar] [CrossRef]
- Esfahani, J.A.; Sousa, A.C. Ignition of epoxy by a high radiation source. A numerical study. Int. J. Therm. Sci. 1999, 38, 315–323. [Google Scholar] [CrossRef]
- Lascano, D.; Lerma-Canto, A.; Fombuena, V.; Balart, R.; Montanes, N.; Quiles-Carrillo, L. Kinetic analysis of the curing process of biobased epoxy resin from epoxidized linseed oil by dynamic differential scanning calorimetry. Polymers 2021, 13, 1279. [Google Scholar] [CrossRef]













| Properties | Paint | Aluminum Alloy |
|---|---|---|
| Density ρ (kg/m3) | 1700 [33] | 2736 − 9.4 × 10−3 T − 6.04 × 10−4 T2 + 8.99 × 10−7 T3 − 5.41 × 10−10 T4 |
| Sound speed V (m/s) | 2580 [34] | 5341 [35] |
| Thermal conductivity k (W/(m·K)) | 0.2 [36] | 165 − 0.06 T + 3.97 × 10−4 T2 − 3.63 × 10−7 T3 |
| Specific heat capacity Cp (J/kg·K) | 1800 [37] | −5.6 + 6.73 T − 1.54 × 10−2 T2 + 1.6 × 10−5 T3 − 6.2 × 10−9 T4 |
| Thermal expansion coefficient α (1/K) | 6 × 10−5 | 1.32 × 10−5 + 8.31 × 10−8 T − 2.91 × 10−10 T2 + 4.99 × 10−13 T3 − 3.13 × 10−16 T4 |
| Young’s modulus E (GPa) | 4.16 [33] | 7.66 × 1010 + 2,007,396 T − 186,458 T2 + 419 T3 − 0.349 T4 |
| Poisson’s ratio ν (1) | 0.3 [33] | 0.329 + 3.75 × 10−6 T + 2.21 × 10−7 T2 − 6.565×10−10 T3 + 4.21 × 10−13 T4 + 3.17 × 10−16 T5 |
| Plume expansion velocity νp (m/s) | 340 [20] | |
| The absorption coefficient of the plume κp (1/m) | 2.5 × 104 [12] | |
| Laser absorption rate of paint film A (1) | 0.8 | |
| Latent heat of gasification ΔHv (J/kg) | 2.05 × 105 [38] |
Disclaimer/Publisher’s Note: The statements, opinions and data contained in all publications are solely those of the individual author(s) and contributor(s) and not of MDPI and/or the editor(s). MDPI and/or the editor(s) disclaim responsibility for any injury to people or property resulting from any ideas, methods, instructions or products referred to in the content. |
© 2023 by the authors. Licensee MDPI, Basel, Switzerland. This article is an open access article distributed under the terms and conditions of the Creative Commons Attribution (CC BY) license (https://creativecommons.org/licenses/by/4.0/).
Share and Cite
Li, Y.; Li, J.; Dong, H.; Zhang, W.; Jin, G. Simulation and Experimental Study of Nanosecond Pulse Laser Removal of Epoxy Paint on 6061 Aluminum Alloy Surface. Photonics 2024, 11, 25. https://doi.org/10.3390/photonics11010025
Li Y, Li J, Dong H, Zhang W, Jin G. Simulation and Experimental Study of Nanosecond Pulse Laser Removal of Epoxy Paint on 6061 Aluminum Alloy Surface. Photonics. 2024; 11(1):25. https://doi.org/10.3390/photonics11010025
Chicago/Turabian StyleLi, Yahui, Jingyi Li, Hang Dong, Wei Zhang, and Guangyong Jin. 2024. "Simulation and Experimental Study of Nanosecond Pulse Laser Removal of Epoxy Paint on 6061 Aluminum Alloy Surface" Photonics 11, no. 1: 25. https://doi.org/10.3390/photonics11010025
APA StyleLi, Y., Li, J., Dong, H., Zhang, W., & Jin, G. (2024). Simulation and Experimental Study of Nanosecond Pulse Laser Removal of Epoxy Paint on 6061 Aluminum Alloy Surface. Photonics, 11(1), 25. https://doi.org/10.3390/photonics11010025
