Abstract
A class of dynamic equations containing a non-Maxwellian collision kernel is used to investigate the distribution of wealth. A trading rule, in which the trading propensity of agents is a function of wealth w (namely, ), is considered. Two different trading propensity functions are discussed. One is that increases with wealth. The other is that decreases with the increase in wealth. In a single transaction, when the transaction tendency increases with the increase in wealth, the rich invest more in transactions. The gap between the rich and the poor in society is reduced under suitable conditions. Through numerical simulation, we conclude that an escalation in market risk intensifies the inequality in wealth distribution.
1. Introduction
The methods of statistical mechanics have been utilized to investigate various social problems [1,2,3,4]. Bassetti and Toscani [5] employ statistical mechanics to analyze the evolution of populations, demonstrating that the solution of the corresponding kinetic model tends toward equilibrium over time. Bisi [6] proposes a kinetic model to describe the trade transactions between agents in different countries. Trading depends on the agent’s trading tendency and random effects. On the kinetic level, considering the continuous trading restriction, a Fokker–Planck equation is derived in [6]. Based on the method of statistical mechanics, Maldarella and Pareschi [7] introduce a Boltzmann model for interactions in a multi-agent market. In [7], the asymptotic state of investment and price distribution is studied by using the kinetic model, and it is determined that the price distribution converges to lognormal distribution. Düring et al. [8] discuss the optimal control strategies for the kinetic models of wealth distribution. The results in [8] show that control has improved wealth inequality. Slanina [9] studies the economic behavior of agents by using the principle of statistical mechanics, arguing that agent interactions lead to wealth redistribution (see [10,11,12,13]).
Pareto [14] observed that wealth in Western societies follows a power-law tail, now termed the Pareto law. For the wealth density function at steady state, if there is a constant such that
We say that satisfies the Pareto law, and denotes the Pareto index. The closer the Pareto index is to 1, the more inequality there is in the distribution of social wealth [15].
When building a kinetic model to study the distribution of wealth, the most important thing is to determine the interaction rules of wealth. Saving effect and randomness are two important characteristics that describe the rules of wealth interaction. Agents often save part of their wealth, a behavior known as the saving effect. Randomness reflects the uncertainty in wealth due to market risks. Chatterjee et al. [16] obtain the wealth distribution curve with a power law tail when agents have different saving tendencies. Cordier et al. [17] use a kinetic model containing binary trading rules to explain the formation of Pareto tails. Pareschi and Toscani [18] consider knowledge in interaction rules, obtaining a kinetic model that describes the impact of knowledge on wealth evolution. Bisi [19] examines the saving tendency that changes with wealth in trading rules and compares the Pareto index under two different trading tendencies. It is found that as the trading tendency function increases with wealth, the Pareto index also increases, showing that the trading strategy of the rich basically determines the distribution of wealth in society.
The collision kernel is often utilized to describe the interaction frequency of wealth. The traditional Maxwell collision kernel shows that agents with minimal or zero wealth also participate in market transactions. Under the economic background, everyone wants to trade with an agent who has a certain level of wealth. Thus, in the trading process, we employ a non-Maxwellian collision kernel, excluding transactions with zero or a very small amount of wealth. Ballante et al. [20] employ collision kernel to investigate the influence of uncertain factors in interaction rules on saving tendency. Del-Mul [21] extends the collision kernel and discusses other forms of non-Maxwellian collision kernels. Zhou et al. [22] investigate the distribution of wealth by adding a linear collision kernel into the Boltzmann equation. The Fokker–Planck equation is obtained and the steady-state solution is gained in [22]. Furioli et al. [23] utilize the non-Maxwellian collision kernel (constant , , w and v stand for wealth of agents before the transaction) to analyze the wealth distribution in society.
Comparing with the works in [23], we state the main contribution of this work.
- (I)
- In [23], the trading tendency within trading rules is assumed to be constant. In this work, we propose a trading rule in which the agent’s trading tendency depends on wealth w. This generalization captures realistic behavior of agents which depends on risk–reward dynamics.
- (II)
- We analyze two different trading tendency functions : (i) is a decreasing function about w; (ii) is an increasing function about w. In a single transaction, when the trading tendency increases with the increase in wealth, the rich invest more in the transaction, and we find the Pareto index increases. This indicates that the trading strategies employed by the rich significantly affect the distribution of wealth among individuals, while the investments of the poor redistribute a small amount of wealth to other individuals.
The structure of this paper is as follows. In the second section of this paper, we introduce a kinetic model with the non-Maxwellian collision kernel . In the third section, we discuss the properties of uniformly bounded moments. In the fourth section, we obtain the Fokker–Planck equation and its the steady-state solution by using the continuous trading restriction. In the fifth section, we discuss two different trading tendency functions. Finally, we analyze the influence of market risk on the steady-state wealth density.
2. Kinetic Modeling of Trading Activity
Kinetic modeling involves micro-interaction, which is similar to binary interaction in rarefied gas dynamics. Trade refers to the exchange of wealth between agents following specific interaction rules. At any time , the state of an agent is characterized by wealth . The state of the agent system is represented by the density function , in which the wealth and . Usually, for an interval , the integral
denotes the quantity of agents depicted by wealth when . Assuming that the distribution function is standardized to 1, namely, at any time , we have
In the kinetic models in [15,24], the trading propensity parameters in the interaction rules are the same for the whole system. In fact, when the wealth of agents is different, their trading propensity also changes. For example, when a rich person realizes that high risk corresponds to high income, he puts most of the money into trading. At this time, his propensity to save is low. However, some wealthy agents have a high propensity to save and keep almost all their wealth. For the poor, there are also two kinds of trading situations. One is to store almost all their wealth, and the other is to risk almost all their wealth, expecting their wealth to increase rapidly. Because the agent is affected by the transaction, the amount of wealth is constantly updated according to the trading rules in the transaction. We assume that the trading rule is
In which the first item in (1) denotes the surplus wealth of agents who enter the trading market with wealth. The second item represents the wealth received by agents in the trading market. The last item represents the risk of trading, where and represent trading propensity, which are functions dependent on wealth w and v. Trading propensity indicates the fraction of wealth which an agent invests in a single transaction. is a constant and , . and indicate the agent’s wealth after the transaction. and are independent and identically distributed random variable with mean of zero and a variance of . The variance quantifies market risk, capturing the uncertainty in wealth redistribution due to stochastic factors such as price fluctuations or external shocks. In order to ensure that the wealth after the transaction is not negative, assume that and belong to the interval .
Using the ideas in [2,3], for all smooth functions with a supported set in , using the trading rule Equation (1) and taking the expectation over random variables , , we derive that the agent’s wealth density obeys the following Boltzmann Equation (2). This equation represents a balance law for the wealth distribution
In Equation (2), we set to stand for the wealth in the market and its distribution is represented by . The non-Maxwellian collision kernel is chosen to exclude transactions involving agents with negligible wealth ( or ). This is consistent with the economic behavior observed in the real world. The represents the expectation of the random variable and .
Utilizing the non-Maxwellian collision kernel , in which , and are constants, v and w stand for wealth of two agents before transaction, and Equation (2) becomes
3. Uniform Bounded Moment
We assume that
If the initial function is a probability density function, then is still the probability density at any later time. We need to study the mean value and variance of the density . In the following content, let represent the j-order moment of
Selecting in Equation (3) and noticing Equation (1) yields
from which we obtain
Using the Jensen’s inequality, we deduce that
Thus, inequality Equation (4) becomes
In inequality Equation (5), we set
and obtain
From inequality Equation (6), we have
System Equation (7) shows that the mean is uniformly bounded. Similarly, we have
where satisfies
Thus, the second moment satisfies
In addition, if , we know that the coefficient in Equation (8) is negative. Utilizing the Jensen’s inequality, we derive that
The right side of Equation (9) is a quadratic equation with one variable in and the coefficient of the quadratic term is negative. Let
where
From Equations (9) and (10), we have
Inequality Equation (11) states that the second moment is uniformly bounded.
4. The Fokker–Planck Equation
Employing Equation (1), we have
Applying Equation (12), we obtain
Using the Taylor series expansion on at w yields
where , . We discuss the asymptotic behavior of the solution for Equation (2) through continuous transaction restriction. We rewrite the trading propensity , and assume that the interaction Equation (1) produces a small average change in wealth through scaling
where positive is a small parameter and is the dimensionless trading propensity function normalized by the maximum propensity . From Equations (13)–(15), we have
where
represents the remainder of the Taylor formula.
Letting and =, combining Equations (3) and (16) and scaling in time give rise to
When , we have
When the scale Equation (15) is used, the weak form of dynamic model Equation (3) is approximately the weak form of the Fokker–Planck equation. As a result, Equation (17) becomes
where
When , namely is constant. Integrating the right side of Equation (18) by parts, we obtain the Fokker–Planck equation
Based on the works in [25], when , the standard boundary condition to ensure the conservation of mass is given by
When , solving Equation (19), the steady-state solution satisfies
From Equation (20), we know that the Pareto index is .
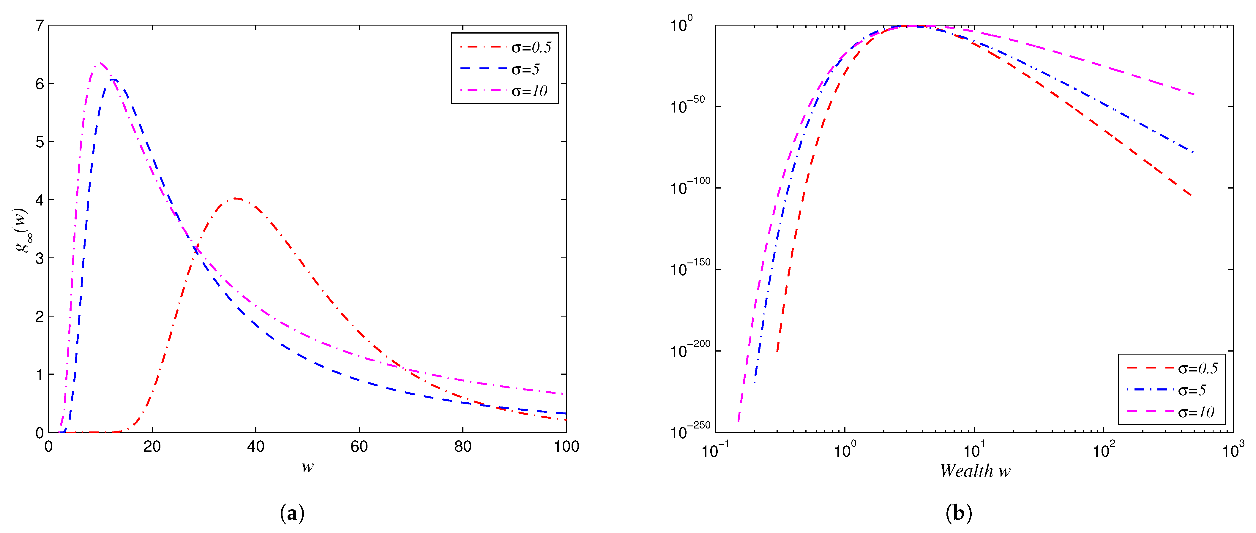
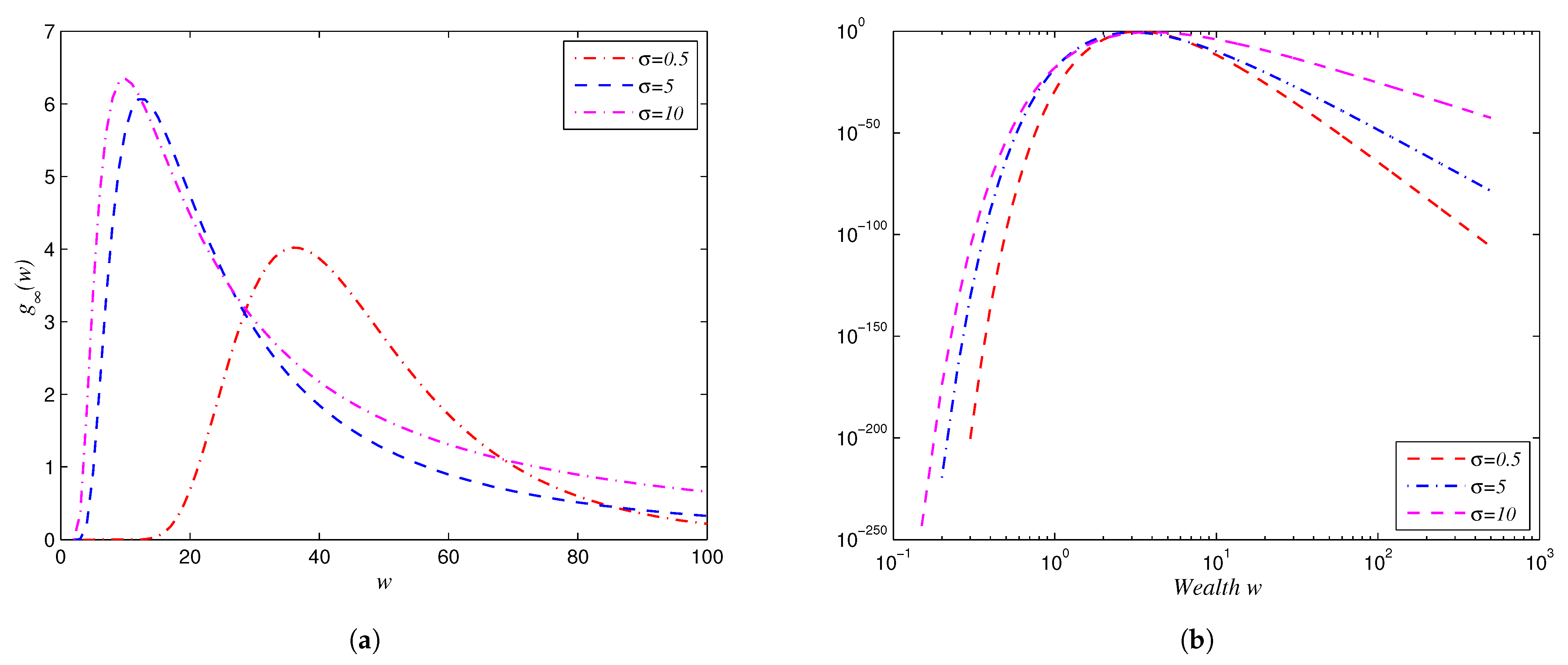
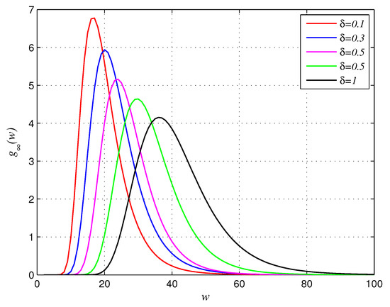
Figure 1 illustrates the variation in the steady-state probability density endowed with different values, when . As the market risk increases, the peak of wealth density curve shifts to the left and the tail becomes thicker. This indicates that the wealth of middle-class and low-class agents is deteriorating, while wealth is highly concentrated among a few people. Consequently, the increase in market risk intensifies the inequality of wealth.
Figure 1.
(a) for and different . (b) in loglog scale with different .
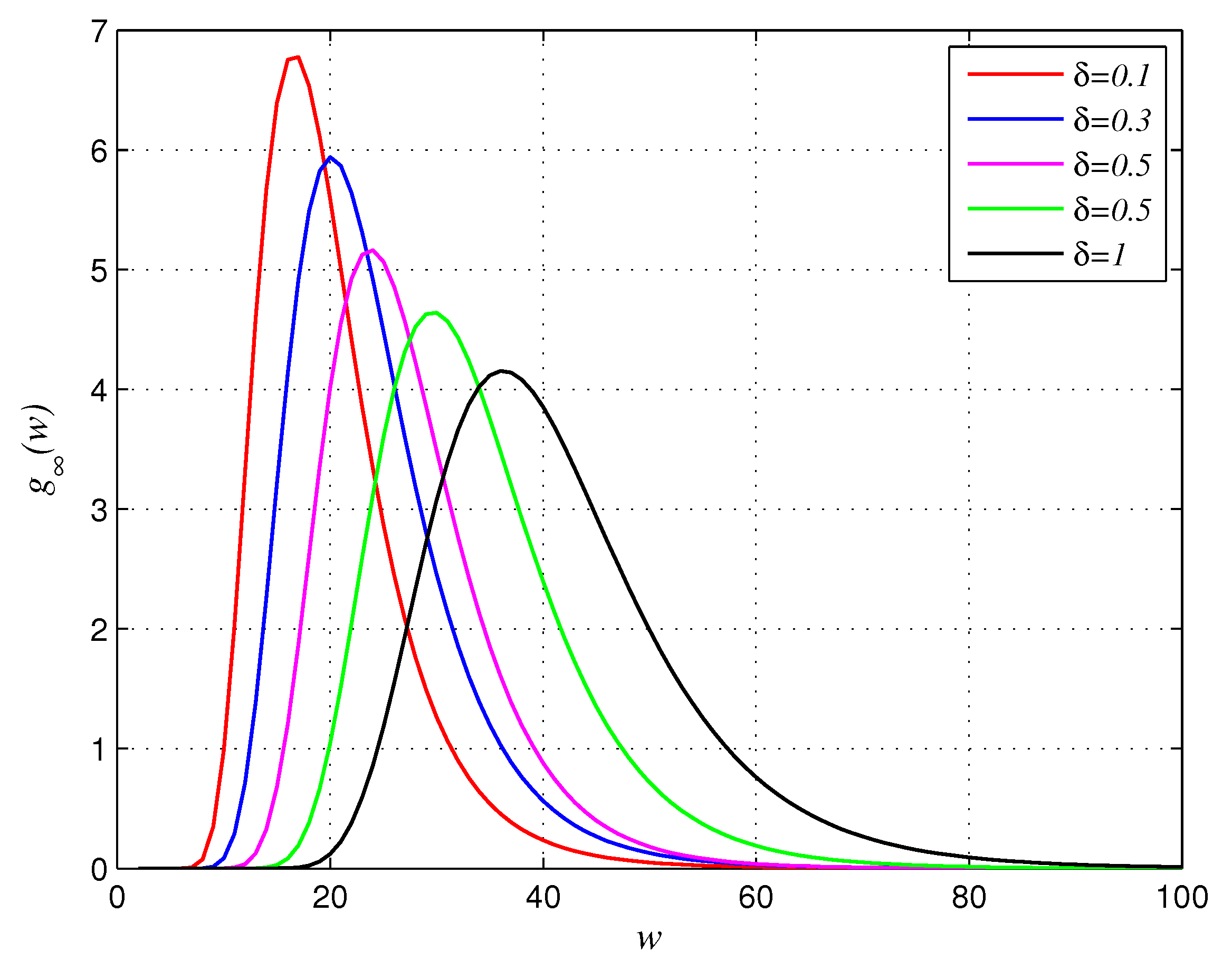
It is very important to understand the significance and influence of the factor in the steady-state solution. Figure 2 describes the behavior of the steady-state solution when is different. Figure 2 shows that with the increase in , the central part of the solution becomes wider and the maximum value of the peak value becomes lower. In economics, this shows that with the increase in , the middle class becomes richer and richer, and the average wealth of steady-state solutions increases. At this time, the distribution of wealth in society is also more equal.
Figure 2.
for and different .
Besides, according to Equation (20) and assuming , the variance value is given by
When the condition holds. With a fixed value of under the action of non-Maxwellian collision kernel , we observe that when increases, the variance decreases. It means that with the increase in , the wealth gap between individuals or groups diminishes and the distribution of wealth becomes fair.
5. Kinetic Model with Two Different Trading Tendency Functions
In this section, we discuss in two cases: (i) is a decreasing function about w; (ii) is an increasing function about w.
5.1. Is a Decreasing Function About w
We consider that the trading tendency satisfies
which describes a market in which the proportion of wealth invested by an agent in a single transaction is reduced. To be precise, for wealth w ranging from , the function is reduced from to 0. This situation describes a group where the wealthy invest only a small part of their wealth, while the poor invest nearly all their money in transactions in order to improve their current situation.
From Equation (21), we derive , Equation (18) becomes
From Equation (22), we obtain the Fokker–Planck equation
The steady-state solution of the Fokker–Planck Equation (23) is
where satisfies . Therefore, when is selected, the Pareto index is , which is smaller than the Pareto index . It illustrates that in a single transaction, when trading propensity is a decreasing function of wealth w, the rich invest a small amount of money and retain the majority of their wealth. In this situation, the Pareto index decreases and the distribution of wealth becomes even more unequal.
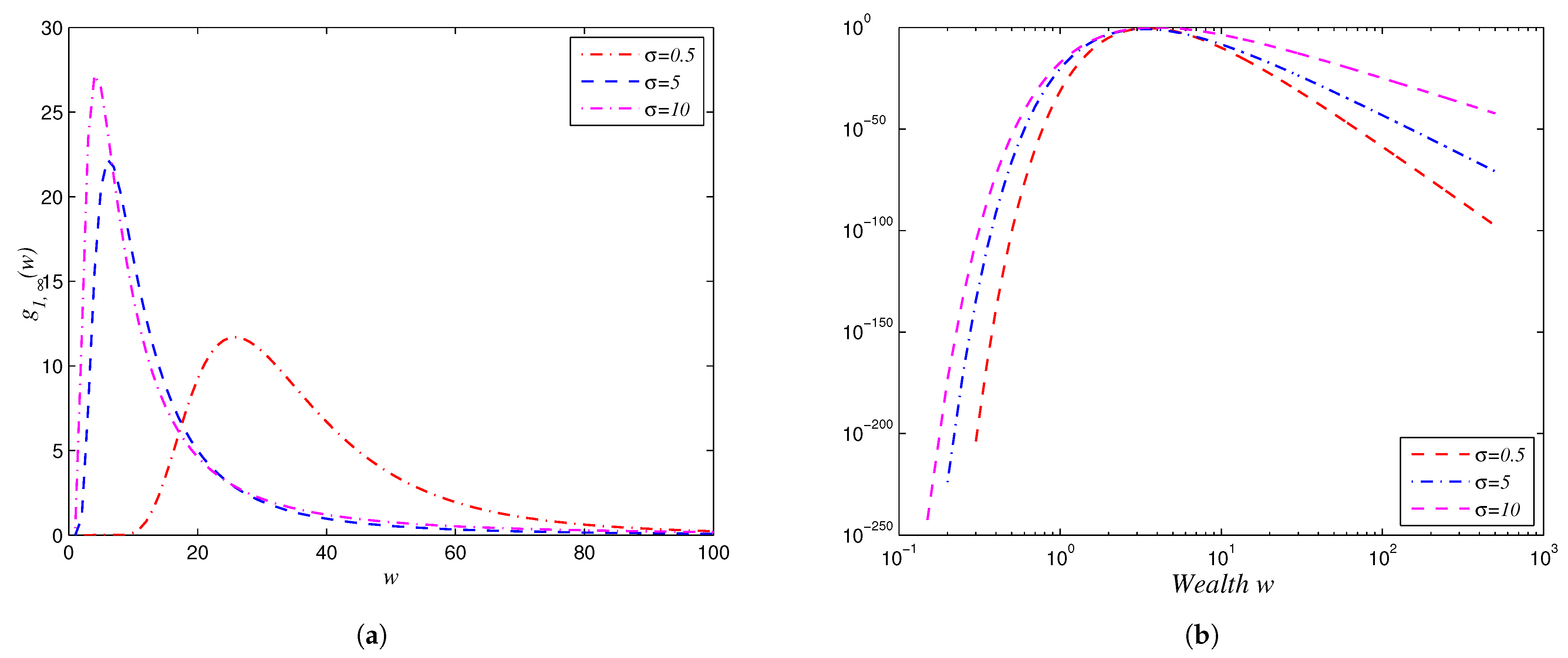
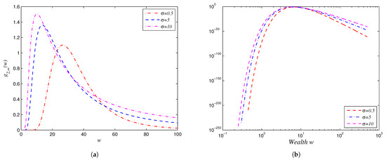
Figure 3 shows the change in the steady-state probability density with different . When the trading tendency function is a decreasing function, the increase of market risk makes the wealth density curve shift to the left and the tail becomes thicker, which reflects the phenomenon of wealth concentration. This indicates that the increase in market risk has widened the gap between the rich and the poor in society.
Figure 3.
(a) for and different . (b) in loglog scale with different .
5.2. Is an Increasing Function About w
We consider a case in which the trading tendency increases with wealth. It describes a market in which the proportion of wealth invested by agents in a single transaction increases relative to wealth. This situation describes a group, where the poor invest only a small part of their wealth, while the rich invest a lot of money in transactions. We choose
where . For we have . When , using Equation (18) and the similar derivation of Equation (23), we derive the Fokker–Planck equation
The steady-state solution of the Fokker–Planck Equation (25) is
The Pareto index is , which is consistent with the Pareto index , and the constant satisfies . In a single transaction, when the trading tendency increases with the increase in wealth, the rich invest more wealth in trading, the redistributive wealth increases, and the Pareto index increases. This indicates that the trading strategies employed by the rich significantly affect the distribution of wealth among individuals. The investments of the poor redistribute a small amount of wealth to other individuals. Thus, their trading tendencies do not substantially impact the long-term dynamics of wealth distribution.
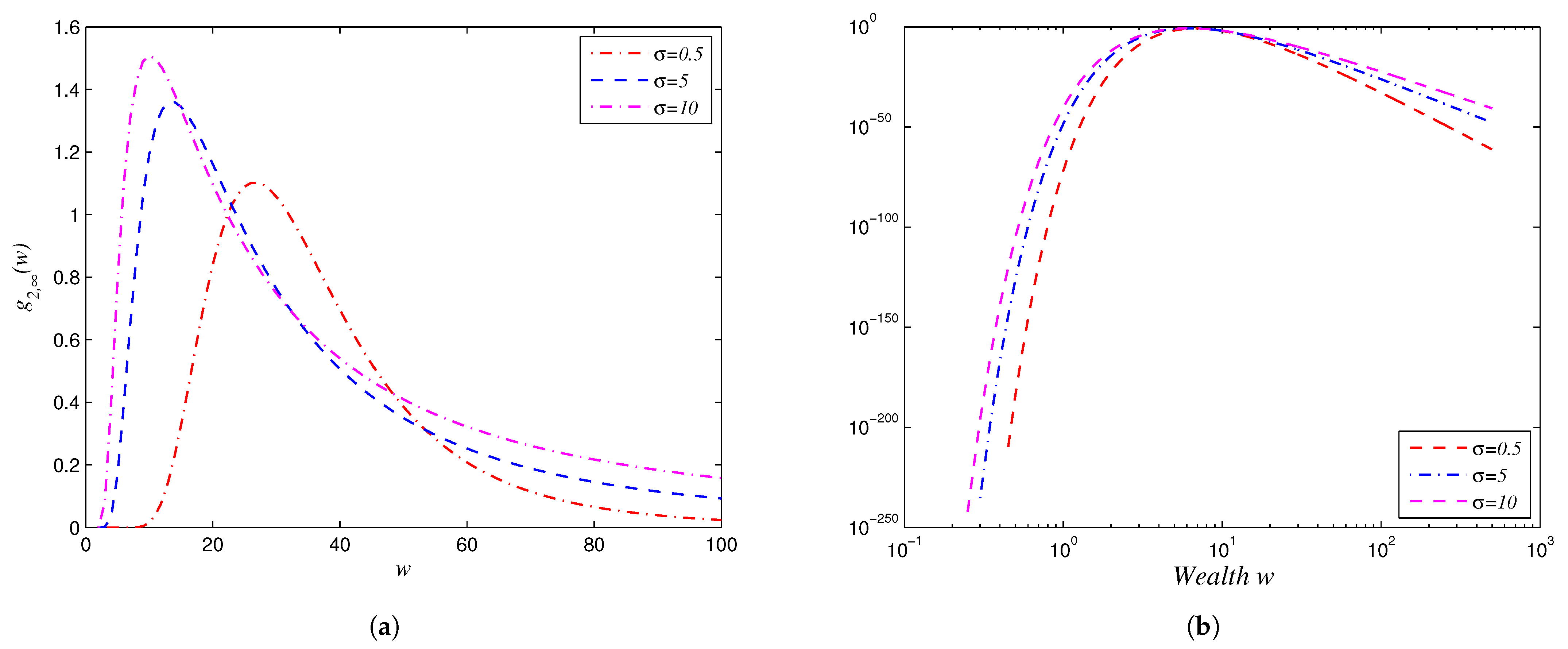
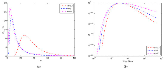
Figure 4 shows the changes in the steady-state probability densities under different . Similarly, as the trading tendency function is an increasing function, the peak of the steady-state probability density also shifts to the left with the increase in market risk, and the thin tail of the wealth distribution curve becomes a thick tail, meaning that a minority group or individual occupies a dominant position in wealth distribution. This shows that the increase of market risk has aggravated the gap between the rich and the poor in society.
Figure 4.
(a) for and different . (b) in loglog scale with different .
6. Conclusions
We introduce a class of kinetic equations containing non-Maxwellian collision kernel to depict the distribution of wealth within a multi-agent society. We consider a trading rule in which the agent’s trading tendency is a function of wealth w. We further investigate two different trading tendency functions. In a single transaction, when the trading tendency decreases with the increase in wealth, it indicates that the rich primarily keep their wealth instead of trading. In this case, the Pareto index drops, and the wealth distribution in society becomes more and more unequal. In a single transaction, when the trading tendency increases with the increase in wealth, the rich invest more wealth in the transaction. At this time, the redistributive wealth in society increases, thus increasing the Pareto index. This demonstrates that the trading strategy of the wealthy fundamentally determines the formation of the Pareto tail in a proper asymptotic state. Numerical analysis illustrates that the rise of market risk intensifies the gap between the rich and the poor in society.
Author Contributions
Conceptualization, Y.L.; methodology, Y.L.; software, Y.L.; validation, S.L. and M.L.; formal analysis, Y.L.; investigation, Y.L.; writing—original draft preparation, Y.L.; writing—review and editing, S.L. and M.L.; supervision, S.L.; funding acquisition, M.L. All authors have read and agreed to the published version of the manuscript.
Funding
This work is funded by the Special Project of Yili Normal University to improve the comprehensive strength of disciplines No. 22XKZZ18, Yili Normal University Scientific Research Innovation Team Plan Project (CXZK2021015) and Yili Science and Technology Planning Project (YZ2022B036).
Data Availability Statement
No new data were generated or analyzed in this study; therefore, data sharing is not applicable.
Acknowledgments
The authors are very grateful to the reviewers for their helpful and valuable comments, which have led to a meaningful improvement of the paper.
Conflicts of Interest
The authors declare no conflicts of interest.
References
- Ludwig, D.; Yakovenko, V.M. Physics-inspired analysis of the two-class income distribution in the USA in 1983–2018. Phil. Trans. R. Soc. A 2022, 380, 20210162. [Google Scholar] [CrossRef] [PubMed]
- Düring, B.; Toscani, G. International and domestic trading and wealth distribution. Commun. Math. Sci. 2008, 6, 1043–1058. [Google Scholar] [CrossRef]
- Cordier, S.; Pareschi, L.; Piatecki, C. Mesoscopic modelling of financial markets. J. Stat. Phys. 2009, 134, 161–184. [Google Scholar] [CrossRef]
- Bisi, M.; Spiga, G.; Toscani, G. Kinetic models of conservative economies with wealth redistribution. Commun. Math. Sci. 2009, 7, 901–916. [Google Scholar] [CrossRef]
- Bassetti, F.; Toscani, G. Mean field dynamics of collisional processes with duplication, loss and copy. Math. Model. Methods Appl. Sci. 2015, 25, 1887–1925. [Google Scholar] [CrossRef]
- Bisi, M. Kinetic model for international trade allowing transfer of individuals. Phil. Trans. R. Soc. A 2022, 380, 20210156. [Google Scholar] [CrossRef]
- Maldarella, D.; Pareschi, L. Kinetic models for socio-economic dynamics of speculative markets. Phys. A 2012, 391, 715–730. [Google Scholar] [CrossRef]
- Düring, B.; Pareschi, L.; Toscani, G. Kinetic models for optimal control of wealth inequalities. Eur. Phys. J. B 2018, 91, 265. [Google Scholar] [CrossRef]
- Slanina, F. Inelastically scattering particles and wealth distribution in an open economy. Phys. Rev. E 2004, 69, 046102. [Google Scholar] [CrossRef]
- Goswami, S. A poor agent and subsidy: An investigation through CCM model. Phil. Trans. R. Soc. A 2022, 380, 20210166. [Google Scholar] [CrossRef] [PubMed]
- Toscani, G.; Sen, P.; Biswas, S. Kinetic exchange models of societies and economies. Phil. Trans. R. Soc. A 2022, 380, 20210170. [Google Scholar] [CrossRef]
- Delgadillo-AlemDán, S.E.; Kú-Carrillo, R.A.; Torres-Nájera, A. A corruption impunity model considering anticorruption policies. Math. Comput. Appl. 2024, 29, 81. [Google Scholar]
- Giunta, A.; Giunta, G.; Marino, D.; Oliveri, F. Market behavior and evolution of wealth distribution: A simulation model based on artificial agents. Math. Comput. Appl. 2021, 26, 12. [Google Scholar] [CrossRef]
- Pareto, V. Cours D’economie Politique; Macmillan: Lausanne, Switzerland, 1897. [Google Scholar]
- Pareschi, L.; Toscani, G. Interacting Multiagent Systems: Kinetic Equations and Monte Carlo Methods; Oxford University Press: Oxford, UK, 2013. [Google Scholar]
- Chatterjee, A.; Chakrabarti, B.K.; Manna, S.S. Pareto law in a kinetic model of market with random saving propensity. Phys. Stat. Mech. Its Appl. 2004, 335, 155–163. [Google Scholar] [CrossRef]
- Cordier, S.; Pareschi, L.; Toscani, G. On a kinetic model for a simple market economy. J. Stat. Phys. 2005, 120, 253–277. [Google Scholar] [CrossRef]
- Pareschi, L.; Toscani, G. Wealth distribution and collective knowledge: A Boltzmann approach. Phil. Trans. R. Soc. A 2014, 372, 20130396. [Google Scholar] [CrossRef]
- Bisi, M. Some kinetic models for a market economy. Boll. Unione Mat. Ital. 2017, 10, 143–158. [Google Scholar] [CrossRef]
- Ballante, E.; Bardelli, C.; Zanella, M.; Figini, S.; Toscani, G. Economic segregation under the action of trading uncertainties. Symmetry 2020, 12, 1390. [Google Scholar] [CrossRef]
- Del-Mul, E.M. Kinetic Description of a Market Economy; Politecnico di Milano: Milano, Italy, 2021. [Google Scholar]
- Zhou, X.; Xiang, K.; Sun, R. The study of a wealth distribution model with a linear collision kernel. Math. Probl. Eng. 2021, 2021, 2142876. [Google Scholar] [CrossRef]
- Furioli, G.; Pulvirenti, A.; Terraneo, E.; Toscani, G. Non-Maxwellian kinetic equations modeling the dynamics of wealth distribution. Math. Model. Methods Appl. Sci. 2020, 30, 685–725. [Google Scholar] [CrossRef]
- Düring, D.; Matthes, D.; Toscani, G. A Boltzmann-type approach to the formation of wealth distribution curves. Riv. Mat. Univ. Parma 2009, 8, 199–261. [Google Scholar] [CrossRef]
- Furioli, G.; Pulvirenti, A.; Terraneo, E.; Toscani, G. Fokker–Planck equations in the modelling of socio-economic phenomena. Math. Model. Methods Appl. Sci. 2017, 27, 115–158. [Google Scholar] [CrossRef]
Disclaimer/Publisher’s Note: The statements, opinions and data contained in all publications are solely those of the individual author(s) and contributor(s) and not of MDPI and/or the editor(s). MDPI and/or the editor(s) disclaim responsibility for any injury to people or property resulting from any ideas, methods, instructions or products referred to in the content. |
© 2025 by the authors. Licensee MDPI, Basel, Switzerland. This article is an open access article distributed under the terms and conditions of the Creative Commons Attribution (CC BY) license (https://creativecommons.org/licenses/by/4.0/).



