Fractional Diffusion: A Structured Approach to Application with Examples
Abstract
1. Introduction
2. The Fractional Derivative as a Linear Operator: Eigenvalues and Eigenfunctions
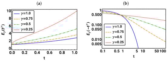
3. Linear Fractional Differential Equations
4. Discretizing Space
- (1)
- What are the eigenvalues of ?
- (2)
- Does the matrix have different left and right eigenvectors?
- (3)
- Are the eigenvectors orthogonal? Note, that a left eigenvector of matrix is the right eigenvector of .
5. Temporal Features of Fractional Diffusion on a Finite Interval
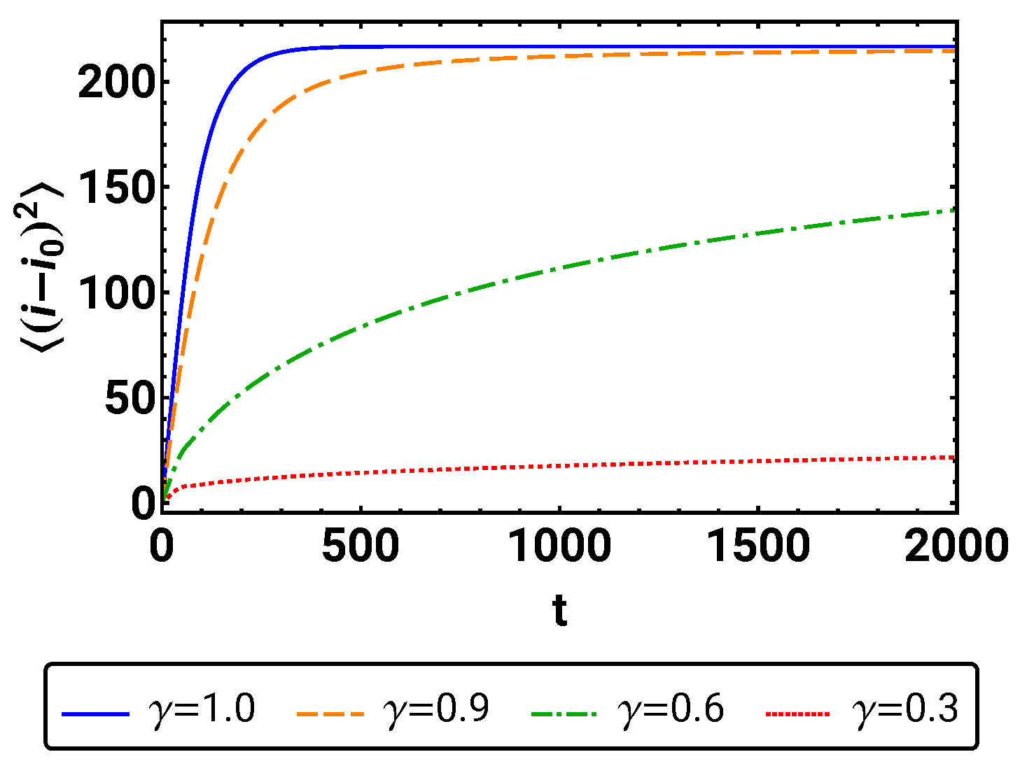
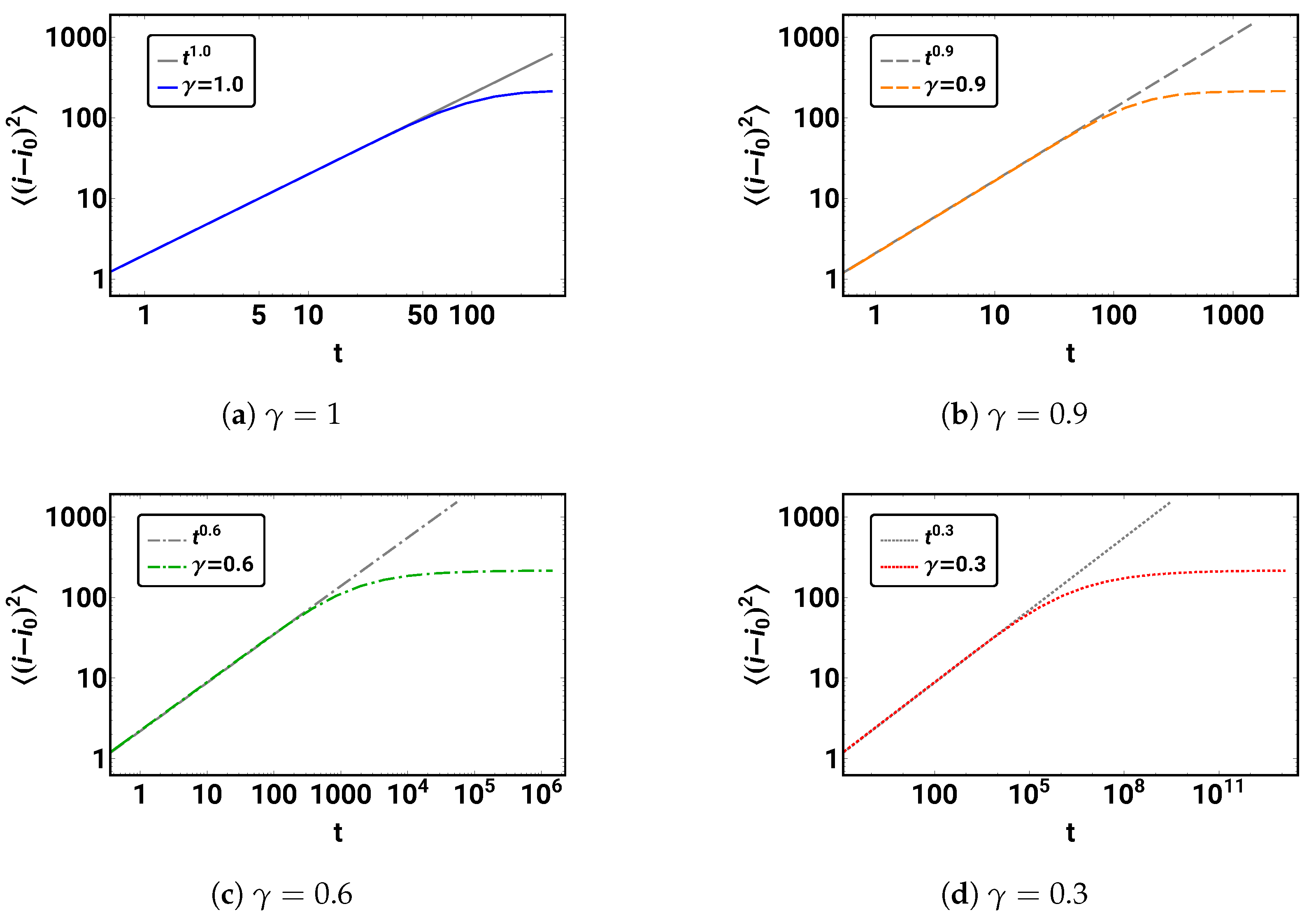
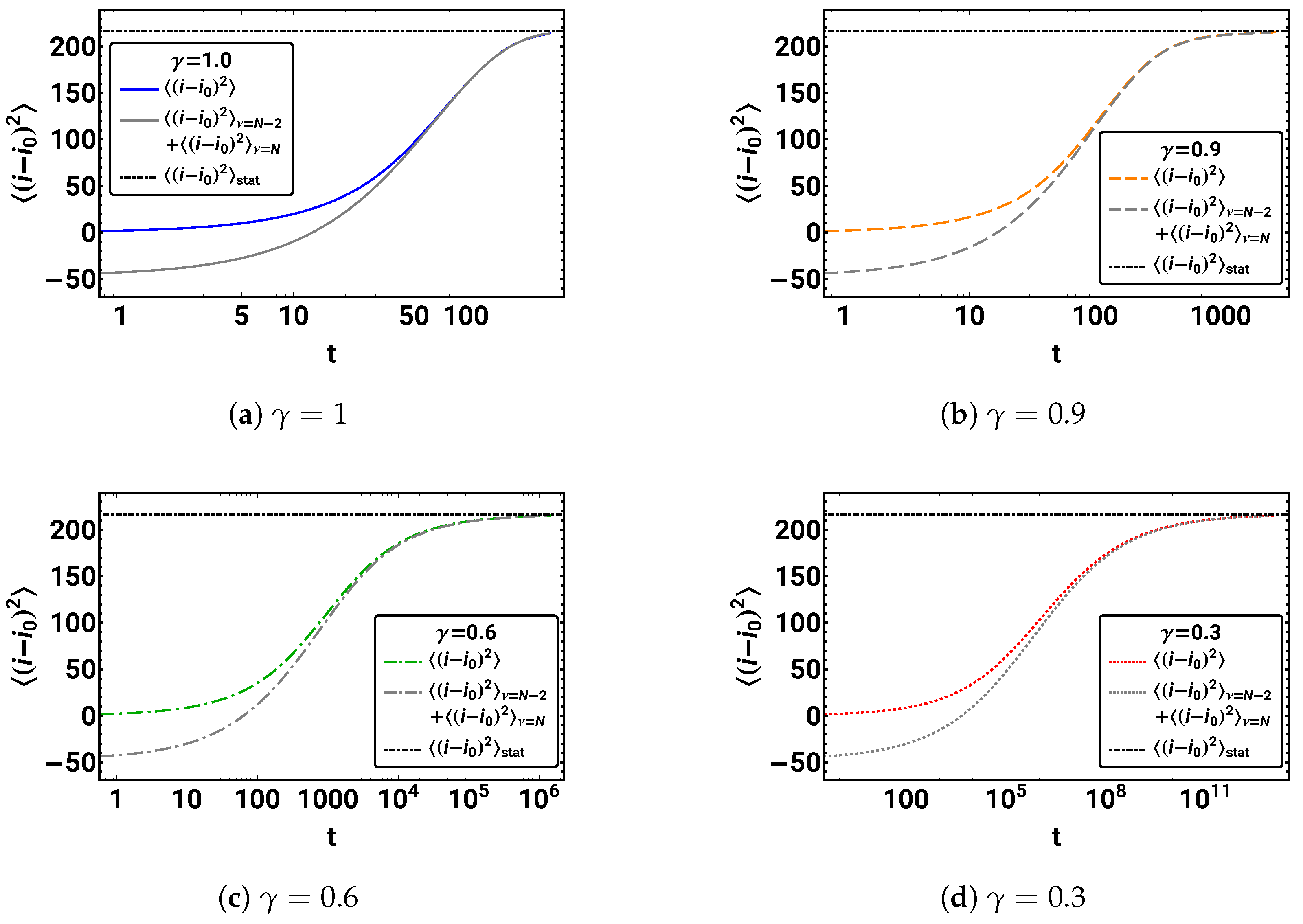
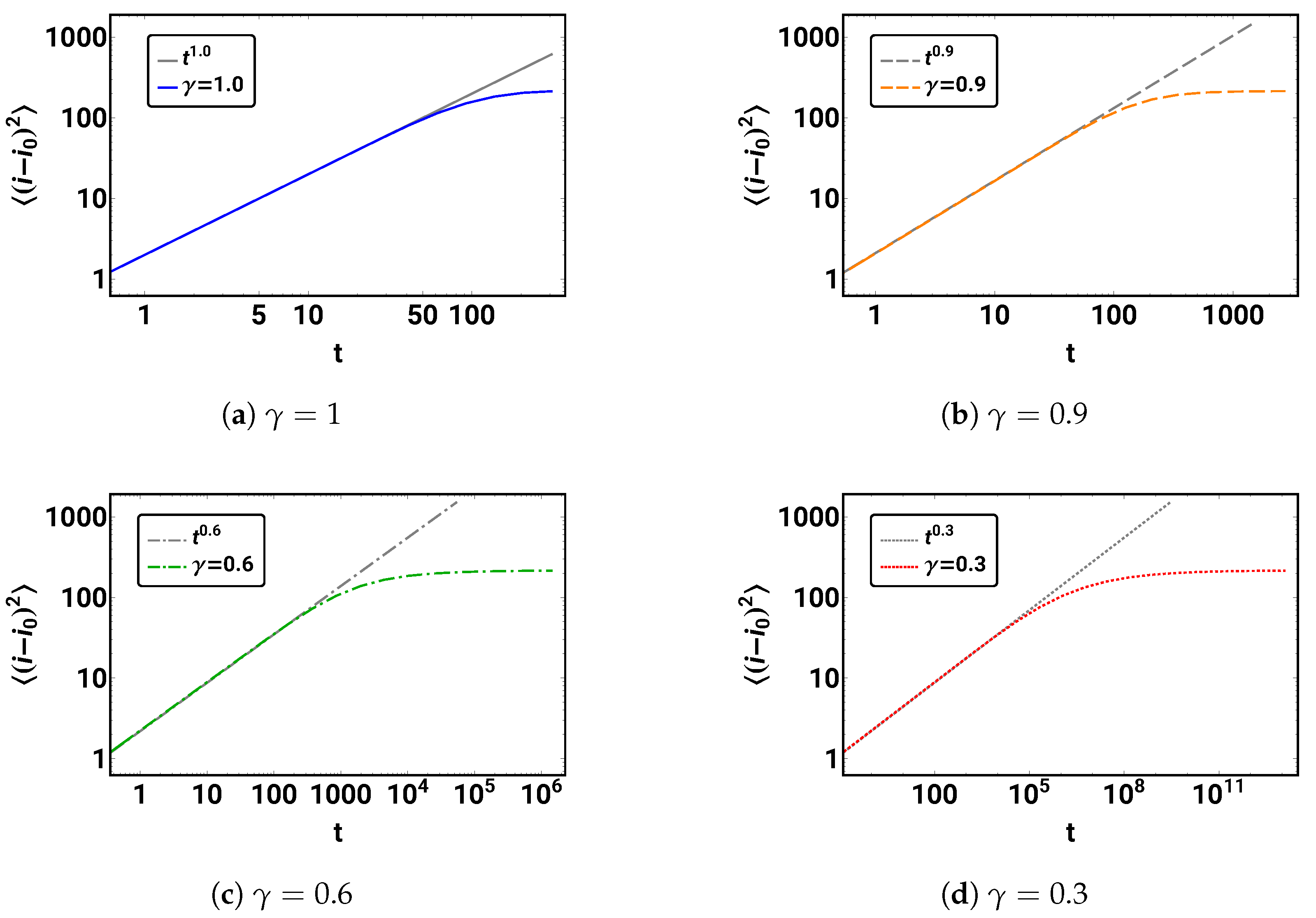
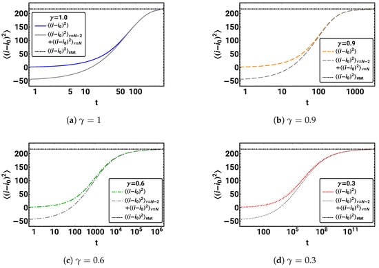
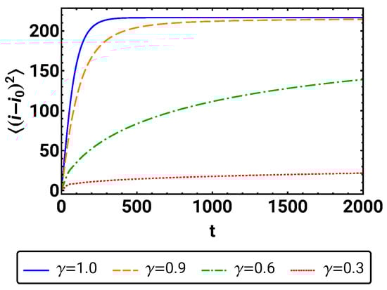
5.1. Time Development of Mean Square Displacement
5.2. Similarity Approach—Rescaling the Probability Distribution
6. Summary
Supplementary Materials
Author Contributions
Funding
Data Availability Statement
Conflicts of Interest
References
- Brown, R. A brief account of microscopical observations made in the months of June, July and August, 1827, on the particles contained in the pollen of plants; and on the general existence of active molecules in organic and inorganic bodies. Edinb. New Philos. J. 1828, 4, 358–371. [Google Scholar] [CrossRef]
- Jost, W. Grundlagen der Diffusionsprozesse. Angew. Chem. 1964, 76, 473–483. [Google Scholar] [CrossRef]
- Jungemann, C.; Zimmermann, C. DC, AC and noise simulation of organic semiconductor devices based on the master equation. In Proceedings of the 2014 International Conference on Simulation of Semiconductor Processes and Devices (SISPAD), Yokohama, Japan, 9–11 September 2014; pp. 137–140. [Google Scholar] [CrossRef]
- Stehr, V.; Fink, R.F.; Tafipolski, M.; Deible, C.; Engels, B. Comparison of different rate constant expressions for the prediction of charge and energy transport in oligoacenes. WIREs Comput. Mol. Sci. 2016, 6, 694–720. [Google Scholar] [CrossRef]
- Hoffmann, K.H.; Schön, J.C. Controlled dynamics on energy landscapes. Eur. Phys. J. B 2013, 86, 220. [Google Scholar] [CrossRef]
- Kunz, R.E.; Blaudeck, P.; Hoffmann, K.H.; Berry, R.S. Atomic clusters and nanoscale particles: From coarse-grained dynamics to optimized annealing schedules. J. Chem. Phys. 1998, 108, 2576–2582. [Google Scholar] [CrossRef]
- Gillespie, D.T. A rigorous derivation of the chemical master. Physica A 1992, 188, 404–425. [Google Scholar] [CrossRef]
- Gupta, A.; Rawlings, J.B. Comparison of parameter estimation methods in stochastic chemical kinetic models: Examples in systems biology. AIChE J. 2014, 60, 1253–1268. [Google Scholar] [CrossRef]
- Dorogovtsev, S.N.; Mendes, J.F.F.; Samukhin, A.N. Structure of growing networks with preferential linking. Phys. Rev. Lett. 2000, 85, 4633–4636. [Google Scholar] [CrossRef]
- Parthasarathy, P.R. A transient solution to an M/M/1 queue: A simple approach. Adv. Appl. Prob. 1987, 19, 997–998. [Google Scholar] [CrossRef]
- Grabowski, A.; Kosi, R.A. Epidemic spreading in a hierarchical social network. Phys. Rev. E 2004, 70, 031908. [Google Scholar] [CrossRef]
- Carslaw, H.S. Introduction to the Mathematical Theory of the Conduction of Heat in Solids, 2nd ed.; Macmillan and Co., Limited: London, UK, 1921. [Google Scholar]
- Gray, M.C. Particular Solutions of the Equation of Conduction of Heat in One Dimension. Proc. Edinb. Math. Soc. 1924, 43, 50–63. [Google Scholar] [CrossRef]
- Heins, A.E. Note on the Equation of Heat Conduction. Bull. Amer. Math. Soc. 1935, 41, 253–258. [Google Scholar] [CrossRef]
- Feller, W. An Introduction to Probability Theory and Its Applications, 2nd ed.; Wiley: New York, NY, USA, 1971. [Google Scholar]
- Vilk, O.; Aghion, E.; Avgar, R.; Beta, C.; Nagel, O.; Sabri, A.; Sarfati, R.; Schwartz, D.K.; Weiss, M.; Krapf, D.; et al. Unravelling the origins of anomalous diffusion: From molecules to migrating storks. Phys. Rev. Res. 2022, 4, 033055. [Google Scholar] [CrossRef]
- Havlin, S.; Ben-Avraham, D. Diffusion in Disordered Media. Adv. Phys. 1987, 36, 695–798. [Google Scholar] [CrossRef]
- Bunde, A.; Havlin, S. (Eds.) Fractals and Disordered Systems, 2nd ed.; Springer: Berlin/Heidelberg, Germany; New York, NY, USA, 1996. [Google Scholar]
- Appel, A.; Fleischer, F.; Kärger, J.; Fujara, F.; Siegel, S. NMR evidence of anomalous molecular diffusion due to structural confinement. Europhys. Lett. 1996, 34, 483–487. [Google Scholar] [CrossRef]
- Kärger, J.; Fleischer, G.; Roland, U. PFG NMR Studies of Anomalous Diffusion. In Diffusion in Condensed Matter; Kärger, J., Ed.; Vieweg-Verlag: Braunschweig, Germany, 1998; pp. 144–168. [Google Scholar]
- Franz, A.; Schulzky, C.; Seeger, S.; Hoffmann, K.H. Diffusion on Fractals—Efficient algorithms to compute the random walk dimension. In Fractal Geometry: Mathematical Methods, Algorithms, Applications; Blackledge, J.M., Evans, A.K., Turner, M.J., Eds.; IMA Conference Proceedings; Horwood Publishing Ltd.: Chichester, West Sussex, UK, 2002; pp. 52–67. [Google Scholar] [CrossRef]
- Franz, A.; Schulzky, C.; Seeger, S.; Hoffmann, K.H. An Efficient Implementation of the Exact Enumeration Method for Random Walks on Sierpinski Carpets. Fractals 2000, 8, 155–161. [Google Scholar] [CrossRef]
- Xue, C.; Huang, Y.; Zheng, X.; Hu, G. Hopping behavior mediates the anomlaous confined diffusion of nanoparticles in porous hydrogels. J. Phys. Chem. Lett. 2022, 13, 10610–10620. [Google Scholar] [CrossRef]
- Lui, Y.; Zheng, X.; Guan, D.; Jiang, X.; Hu, G. Heterogeneous Nanostructures cause anomalous diffusion in lipid monolayers. ACS Nano 2022, 16, 16054–16066. [Google Scholar] [CrossRef]
- Köpf, M.; Corinth, C.; Haferkamp, O.; Nonnenmacher, T.F. Anomalous Diffusion of Water in Biological Tissues. Biophys. J. 1996, 70, 2950–2958. [Google Scholar] [CrossRef]
- Tolić-Nørrelykke, I.M.; Munteanu, E.L.; Thon, G.; Oddershede, L.; Berg-Søorensen, K. Anomalous diffusion in living yeast cells. Phys. Rev. Lett. 2004, 93, 078102. [Google Scholar] [CrossRef]
- Gal, N.; Weihs, D. Experimental evidence of strong diffusion in living cells. Phys. Rev. E 2010, 81, 020903. [Google Scholar] [CrossRef]
- Schirmacher, W.; Perm, M.; Suck, J.B.; Heidemann, A. Anomalous Diffusion of Hydrogen in Amorphous Metals. Europhys. Lett. 1990, 13, 523–529. [Google Scholar] [CrossRef]
- Liu, S.; Bönig, L.; Detch, J.; Metiu, H. Submonolayer Growth with Repulsive Impurities: Island Density Scaling with Anomalous Diffusion. Phys. Rev. Lett. 1995, 74, 4495–4498. [Google Scholar] [CrossRef]
- Bénichou, O.; Coppey, M.; Moreau, M.; Suet, P.H.; Voituriez, R. Optimal Search Strategies for Hidden Targets. Phys. Rev. Lett. 2005, 94, 198101. [Google Scholar] [CrossRef] [PubMed]
- Bénichou, O.; Loverdo, C. Moreau, M.; Voituriez, R. Two-dimensional intermittent search processes: An alternative to Lévy flight strategies. Phys. Rev. E 2006, 74, 020102. [Google Scholar] [CrossRef]
- Shlesinger, M.F. Mathematical Physics—Search research. Nature 2006, 443, 281–282. [Google Scholar] [CrossRef] [PubMed]
- Cahoy, D.O.; Polito, F.; Phoha, V. Transient Behavior of Fractional Queues and Related Processes. Methodol. Comput. Appl. Probab. 2015, 17, 739–759. [Google Scholar] [CrossRef]
- Ascione, G.; Leonenko, N.; Pirozzi, E. Fractional Queues with Catastrophes and their Transient Behaviour. Mathematics 2018, 6, 159. [Google Scholar] [CrossRef]
- Souza, M.d.O.; Rodriguez, P.M. On a fractional queueing model with catastrophes. Appl. Math. Comp. 2021, 410, 126468. [Google Scholar] [CrossRef]
- Saxena, R.K.; Mathai, A.M.; Haubold, H.J. Computational Solutions of Distributed Order Reaction-Diffusion Systems Associated with Riemann-Liouville Derivatives. Axioms 2015, 4, 120–133. [Google Scholar] [CrossRef]
- Hoffmann, K.H.; Essex, C.; Schulzky, C. Fractional Diffusion and Entropy Production. J. Non-Equilib. Thermodyn. 1998, 23, 166–175. [Google Scholar] [CrossRef]
- Metzler, R.; Klafter, J. The random walk’s guide to anomalous diffusion: A fractional dynamics approach. Phys. Rep. 2000, 339, 1–77. [Google Scholar] [CrossRef]
- Klages, R.; Günther, R.; Sokolov, I.M. (Eds.) Anomalous Transport—Foundations and Applications; Wiley-VCH: Weinheim, Germany, 2008. [Google Scholar]
- Paradisi, P. Fractional calculus in statistical physics: The case of time fractional diffusion equation. Commun. Appl. Ind. Math. 2014, 6, 530. [Google Scholar] [CrossRef]
- Podlubny, I. Fractional Differential Equations—An Introduction to Fractional Derivatives, Fractional Differential Equations, to Methods of their Solution and some of their Applications; Mathematics in Science and Engineering; Academic Press: San Diego, CA, USA, 1999; Volume 198. [Google Scholar]
- Arqub, O.A.; El-Ajou, A.; Zhour, Z.A.; Momani, S. Multiple Solutions of Nonlinear Boundary Value Problems of Fractional Order: A New Analytic Iterative Technique. Entropy 2014, 16, 471–493. [Google Scholar] [CrossRef]
- Ahmad, J.; Mohyud-Din, S.T.; Srivastave, H.M.; Yang, X.J. Analytic solutions of the Helmholtz and Laplace equations by using local fractional derivative operators. Waves Wavelets Fractals Adv. Anal. 2015, 1, 22–26. [Google Scholar] [CrossRef]
- Povstenko, Y. Linear Fractional Diffusion-Wave Equation for Scientists and Engineers, 1st ed.; Birkhäuser: Basel, Switzerland, 2015. [Google Scholar] [CrossRef]
- Manapany, A.; Fumeron, S.; Henkel, M. Fractional diffusion equations interpolate between damping and waves. J. Phys. A Math. Gen. 2024, 57, 355202. [Google Scholar] [CrossRef]
- Caputo, M. Linear Models of Dissipation whose Q is almost Frequency Independent-II. Geophys. J. R. Astron. Soc. 1967, 13, 529–539. [Google Scholar] [CrossRef]
- Davison, M.; Essex, C. Fractional Differential Equations and Initial Value Problems. Math. Sci. 1998, 23, 108–116. [Google Scholar]
- Rogosin, S. The Role of the Mittag-Leffler Function in Fractional Modeling. Mathematics 2015, 3, 368–381. [Google Scholar] [CrossRef]
- Rogosin, S.V.; Giraldi, F.; Mainardi, F. On differentiation with respect to parameters of the functions of the Mittag-Leffler type. Integral Transform. Spec. Func. 2024, 1–13. [Google Scholar] [CrossRef]
- Mainardi, F. On some properties of the Mittag-Leffler function Eα(−tα), completely monotone for t > 0 with 0 < α < 1. Discete Cont. Dyn.-B 2014, 19, 2267–2278. [Google Scholar] [CrossRef]
- Zwillinger, D. Handbook of Differential Equations, 3rd ed.; Academic Press: San Diego, CA, USA, 2007. [Google Scholar]
- Das, S. Solution of Extraordinary Differential Equations with Physical Reasoning by Obtaining Modal Reation Series. Modell. Simul. Eng. 2010, 2010, 739675. [Google Scholar] [CrossRef]
- Hoffmann, K.H.; Kulmus, K.; Essex, C.; Prehl, J. Between Waves and Diffusion: Paradoxical Entropy Production in an Exceptional Regime. Entropy 2018, 20, 881. [Google Scholar] [CrossRef] [PubMed]
- Kulmus, K.; Essex, C.; Prehl, J.; Hoffmann, K.H. The entropy production paradox for fractional master equations. Physica A 2019, 525, 1370–1378. [Google Scholar] [CrossRef]












Disclaimer/Publisher’s Note: The statements, opinions and data contained in all publications are solely those of the individual author(s) and contributor(s) and not of MDPI and/or the editor(s). MDPI and/or the editor(s) disclaim responsibility for any injury to people or property resulting from any ideas, methods, instructions or products referred to in the content. |
© 2025 by the authors. Licensee MDPI, Basel, Switzerland. This article is an open access article distributed under the terms and conditions of the Creative Commons Attribution (CC BY) license (https://creativecommons.org/licenses/by/4.0/).
Share and Cite
Kulmus, K.; Essex, C.; Hoffmann, K.H.; Prehl, J. Fractional Diffusion: A Structured Approach to Application with Examples. Math. Comput. Appl. 2025, 30, 40. https://doi.org/10.3390/mca30020040
Kulmus K, Essex C, Hoffmann KH, Prehl J. Fractional Diffusion: A Structured Approach to Application with Examples. Mathematical and Computational Applications. 2025; 30(2):40. https://doi.org/10.3390/mca30020040
Chicago/Turabian StyleKulmus, Kathrin, Christopher Essex, Karl Heinz Hoffmann, and Janett Prehl. 2025. "Fractional Diffusion: A Structured Approach to Application with Examples" Mathematical and Computational Applications 30, no. 2: 40. https://doi.org/10.3390/mca30020040
APA StyleKulmus, K., Essex, C., Hoffmann, K. H., & Prehl, J. (2025). Fractional Diffusion: A Structured Approach to Application with Examples. Mathematical and Computational Applications, 30(2), 40. https://doi.org/10.3390/mca30020040

