Abstract
This work analyses the effect of electromagnetic fields on cartilaginous cells in human joints and the nutrients that flow from the synovial fluid to the cartilage. The perturbation approach and the generalised dispersion model is used to solve the governing equation of momentum and mass transfer. The dispersion coefficient increases with dimensionless time. It aids in grasping the level of nutritional transport to the synovial joint. Low-molecular-weight solutes have a lower concentration distribution at the same depth in articular cartilage than high-molecular-weight solutes. Thus, diffusion dominates nutrition transport for low-molecular-weight solutes, whereas a mechanical pumping action dominates nutrition transport for high-molecular-weight solutes. The report says that the cells in the centre of the cartilage surface receive more nutrients during imbibition and exudation than the cells on the periphery, and the earliest indications of cartilage degradation emerge in the uninflected regions. As a result, cartilage nutrition is considered necessary to joint mobility. It also predicts that, as the viscoelastic parameter increases, the concentration in the articular cartilage diminishes, resulting in the cartilage cells receiving less nutrition, which might lead to harmful effects. The dispersion coefficient and mean concentration for distinct factors, such as the Hartmann number, porous parameter, and viscoelastic parameters of gel formation, have been computed and illustrated through graphics.
MSC:
76D05; 76S05; 76W05
1. Introduction
The synovial joint, which is responsible for the biomechanics of the knee joint, plays an essential role in the movement of living things such as humans and animals. A load-bearing bone with protected ends makes up a synovial joint. Knee joints are one of the body’s most extensive and complicated joints. According to Alshehri and Sharma [1], articular cartilage is the thin layer of connective tissue that protects the articulating ends of bones in synovial joints (movable joints in the body, such as the knee, hip, and shoulder).
The primary idea of this study is how magnetotherapy aids in the treatment of human joint cartilage, rheumatoid illnesses, and other diseases, such as osteoporosis. Articular cartilage and synovial fluid work together to keep joints lubricated. Damage to the articular cartilage may cause the synovial fluid to have poor rheological qualities, eventually affecting the joints’ performance. Due to their importance in joint lubrication, the rheological features of synovial fluid are of interest. The arrangement and functions of human joints are covered in synovial anatomy and physiology. Flow mechanics, heat and mass transfer, and reaction kinetics influence synovial bio-lubrication. According to Zahn and Shenton [2], both electric and magnetic fields affect current conductivity through tissue (cartilage) and lubricant. The electric field inside the body reflects the movement of current through the conducting body tissues and affects the system’s physiological behaviors. A magnetic field surrounds the body. This would induce currents to travel in circuitous directions if it were clear.
Researchers are interested in studying non-Newtonian and MHD flow because of their various physical configurations and applications. Akbar et al. [3] explored the peristaltic flow of Jeffrey nanofluid convective boundary constraints in an asymmetric channel. Faghiri et al. [4] examined the non-Newtonian fluid in a circular tube with a non-uniform heat flux. An analysis of the hydromagnetic hyperbolic-tangent liquid with radiation, a heat source, and stratification was determined by Gulzar et al. [5]. Based on a convective boundary condition, Khan et al. [6] numerically delineated the magnetic field on the boundary layer of Sisko liquid at the surface. Attar et al. [7] introduced an analytical solution to nonlinear fractional differential equations using Akbari-Ganji’s method. Hossain et al. [8] depicted the effects of a cylinder on natural convection in a square cavity. Bhuvaneswari et al. [9] examined the magnetoconvection within a cavity with a magnetic effect. Sivasankaran et al. [10] investigated the MHD mixed convection in a lid-driven cavity. The effect of MHD on microchannel heat sinks was deliberated by Narrein et al. [11]. Sivasankaran and Narrein [12] studied the MHD convective flow in a trapezoidal microchannel heat sink. Sivasankaran et al. [13] also presented the MHD discrete heating in free convection in a porous container.Several researchers have completed significant work on hydromagnetic convective effects in recent years, including Sivasankaran et al. [14]; Bindhu et al. [15]; Bhuvaneswari et al. [16]; Rashad et al. [17]; Niranjan et al. [18]. Other related articles have also appeared in recent publications [19,20,21,22,23,24,25].
Tandon et al. [26] have consistently proposed the use of magnetic fields for treating synovial joints. According to Rudraiah et al. [27], finding the dispersion coefficient using Gill and Sankarasubramanian’s [28] generalised dispersion model is beneficial in the dispersion of nutrients in synovial fluid. Using Taylor’s dispersion model, Ng et al. [29] examined the effect of a fixed charge density on the electrohydrodynamic transport of synovial fluid constituents such as hyaluronic acid, glycoprotein, and other molecules to artificial or natural joints. Khan et al. [30] investigated the effect of the generated magnetic field on synovial fluid in an asymmetric channel with the peristaltic movement of non-Newtonian fluid. Nagaraj et al. [31] used the Taylor dispersion coefficient to investigate nutrients’ dispersion of synovial fluid into cartilage under the effect of electric and magnetic fields for both artificial and natural joints. There are some other related papers in recent publications [32,33].
In a flow of synovial fluid, Ramakrishnan and Swetha [34] investigated the thickness on the porous plate on axial velocity and skin friction in the human joints with teh required BJR slip states. Beretta et al. [35] reviewed the scientific literature on the effect of applied fields on microorganisms. Vijayakumar and Ratchagar [36] conducted a thorough analysis of unsteady convective diffusion to look at how nutrients and other proteins are transported from synovial fluid to articular cartilage. The authors of this paper investigated the model for the synovial fluid, also known as joint fluid and located in the knee joints, by examining the nutritional transportation of generalised dispersion with the effect of an electric and magnetic field. The behaviour of the synovial fluid was analysed using the perturbation technique and the generalised dispersion model. The exact solution is plotted graphically and explained in detail.
2. Formulation of the Problem
We introduced the following acceptable assumptions to define a mathematically tractable problem. Knee joints are among the body’s most complex and essential joints. The knee connects the femur (thighbone) to the shinbone (tibia). Figure 1 represents the physical configuration of the human knee joint (Tandon et al. [37], and Alshehri and Sharma [1]). Viscoelastic fluid was used to represent synovial fluid because of its elasticity, which is important for lubricating joints. Articular cartilage is a very elastic material. Introducing the standard lubrication theory hypothesis into the Navier–Stokes equation of motion and ignoring the variation in pressure normal to very thin lubrication films, the investigation is subjective, with the following assumptions:
Figure 1.
Physical Configuration of the human knee joint.
- A 2D, electrically conducting, viscous and incompressible synovial fluid is considered.
- Flow of fluid is laminar and steady.
- A constant magnetic field of strength is applied in the transverse direction.
Under these assumptions, the governing differential equations of momentum, continuity, and concentration of the fluid film (synovial fluid) region are as follows: [37,38]:
with boundary conditions
Equations (4) and (5) represents Beavers and Joseph [39] slip condition at lower and higher porous surfaces.
Axial coordinate moving with an average velocity is defined as and its non-dimensional form , . Now, (10) becomes,
with conditions of
3. Method of Solution
3.1. Velocity Distribution
The normalized axial velocity components acquired from Equation (17) are
where,
3.2. Generalized Dispersion Model (GDM)
In order to establish the mean concentration that is valid for , we adopted the GDM of Gill and Sankarasubramanian [28].
where,
Integrating (11), we obtain
Rewriting the above equation, we obtain
Comparing the coefficient we get,
where,
Incorporating Equation (20) in (11), we acquire
Modifying the terms and employing
we obtain
with Comparing the coefficients of in (28) and setting it equal to zero, we obtain
To obtain ’s we have ’s and its respective initial and boundary constraints,
for
From Equation (26) for we obtain
From Equation (26) for , we obtain as,
To evaluate
where is not dependent on and pertains to an infinite wide slug and is
-dependent, satisfying
Using the (38) in (29) gives
Solving the Equation (41) with conditions (39) and (40) is
where
Equation (42) represents thermal conduction and its solution satisfies
Substituting (43) and (44) in Equation (38), we obtain,
Substituting in (38) and integrating this, we acquire numerical solutions of with the support of the MATHEMATICA 8.0 software.
Similarly, , etc., are considerably small in contrast to dispersion coefficient
4. Results and Discussion
With viscoelastic fluid confined by porous layers, the effects of electromagnetic fields and other physical parameters (1, 2, 3, 4; ) on cartilaginous cells are investigated. The perturbation technique and the GDM of Gill and SankaraSubramanian [28] were used to solve the nonlinear DE (9) and (10) numerically. To investigate the impact of the emerging parameters, computations were carried out with the parameters and fixed. The obtained results were examined for different values of the relevant parameters.
Figure 2, Figure 3, Figure 4 and Figure 5 elucidate the results of Equation (37), when used to calculate the dispersion coefficient with time, as well as the various impacts of the Hartmann and electric numbers, and the viscoelastic and porous parameters. According to Equation (37), for are insignificant in comparison to and can be ignored. Equation (37) represents the unstable diffusion equation with a time-dependent . This figure shows that, for fixed values of , and , the dispersion coefficient increases as increases, and becomes free for large . These figures demonstrate that the increases with certain parameters, such as M, , , and . The viscosity of the plasma of diabetics is greater than that of non-diabetics, often resulting in a higher diffusion coefficient for diabetic patients. The findings of this study are identical to the results of Alshehri and Sharma [1] on dispersing solutes.
Figure 2.
varying along for different M.
Figure 3.
varying along for different .
Figure 4.
varying along for different .
Figure 5.
varying along for different .
The diffusion coefficient was calculated using the mean concentration from Equation (46). Figure 6, Figure 7, Figure 8 and Figure 9 show the impacts of on the concentration profile varying along for a fixed time . It is evident that the peak in mean concentration decreases as M, , , and increase. It is symmetrical and bell-shaped at the origin. In the presence of Hartmann number and electric number, the Lorentz force, a resisting force created by the effects of a transverse magnetic field on an electrically conducting fluid, reduces the fluid’s velocity and thickens the velocity and concentration boundary layer. The fluid concentration falls as a result of this. The presence of porous media decreases the velocity and concentration. We can see that the transfer of essential metabolites such as sugar and amino acids is quite sluggish, and convective transfer accelerates them from a medical perspective in biomechanics by means of mean concentration. As a result, the cells in the deep zone may receive fewer nutrients.
Figure 6.
varying along for different M.
Figure 7.
varying along for different .
Figure 8.
varying along for different .
Figure 9.
varying along for different .
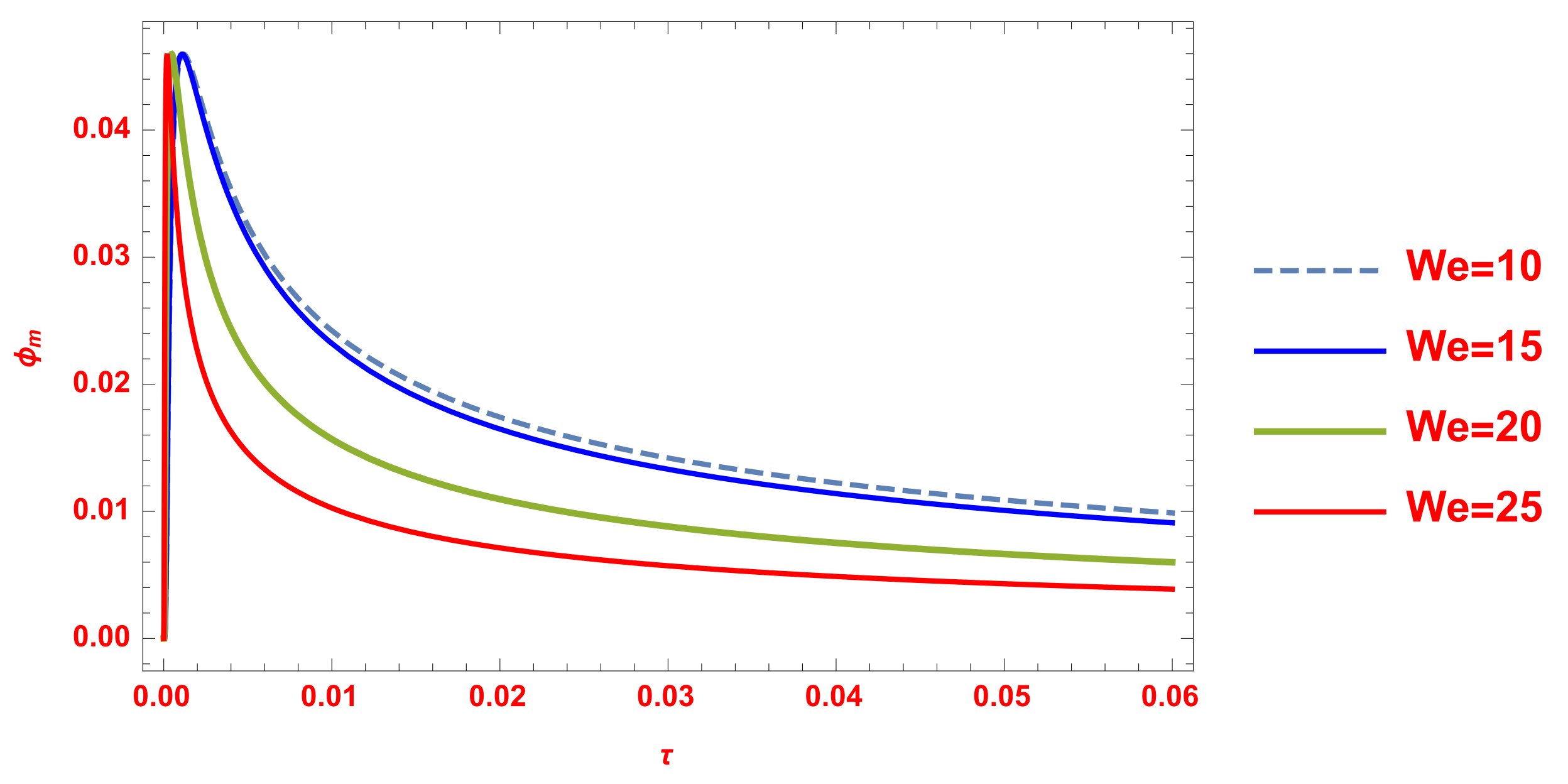
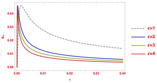
Figure 10, Figure 11, Figure 12 and Figure 13 show the impact of various factors (, and ) on the mean concentration in articular cartilage over time. The concentration decreases as one moves deeper into the articular surface. The figure also shows that concentration drops when M, , , and are high. As time increases, the mean concentration of non-Newtonian fluid approaches zero. Analyzing solute transport over time is very useful. We can also see that fewer nutrients can flow through the cartilage pores. This is in good agreement with the results of Bali and Shukla [38].
Figure 10.
varying along for different M.
Figure 11.
varying along for different .
Figure 12.
varying along for different .
Figure 13.
varying along for different .
5. Conclusions
The unsteady convective diffusion model was used to investigate the nutrient dispersion and other protein transport from the synovial fluid to articular cartilage using the perturbation method. This study’s key conclusions are
- Dispersion is accelerated by electromagnetic fields and other physical factors.
- In contrast to electromagnetic fields and other physical factors, the mean concentration drops as axial distance and time increase.
- Cells in the centre receive more nutrients than those in the periphery.
- The dispersion mechanism formula is used by orthopaedic surgeons to assess how well joints function.
In the future, a mathematical model for articular cartilage regeneration could be created using the unsteady convective diffusion model, and this study could also be extended to investigate the spatial and temporal dynamics of nutrient diffusion and extracellular matrix depletion at the defect site.
Author Contributions
Conceptualization, B.R.K.; Writing—original draft, A.J.R.; Writing—review & editing, R.V. and B.R.K. All authors have read and agreed to the published version of the manuscript.
Funding
This research received no external funding.
Conflicts of Interest
The authors declare no conflict of interest.
Nomenclature
| Horizontal and normal components of the fluid velocity | |
| Cartesian coordinates | |
| Pressure | |
| average velocity | |
| Magnetic induction | |
| k | Permeability of porous medium |
| x component of electric field | |
| Species concentration | |
| Initial species concentration | |
| Diffusion coefficient | |
| Dispersion coefficient | |
| M | Hartmann number |
| Electric number | |
| Reynolds number | |
| Peclet number | |
| Darcy number | |
| Greek Symbols | |
| Dynamic viscosity | |
| Kinematic viscosity | |
| Slip parameter | |
| Electrical conductivity | |
| Porous parameter | |
| Viscoelastic parameter | |
| Concentration | |
| Mean concentration | |
| Dimensionless charge density | |
| Dimensionless time | |
| Dimensionless axial distance | |
References
- Alshehri, M.; Sharma, S.K. Computational model for the generalised dispersion of synovial fluid. Int. J. Adv. Comput. Sci. Appl. 2017, 8, 134–138. [Google Scholar] [CrossRef]
- Zahn, M.; Shenton, K.E. Magnetic Fluids Bibliography. IEEE Trans. 1980, 16, 387–415. [Google Scholar] [CrossRef]
- Akbar, N.S.; Nadeem, S.; Noor, N.F.M. Free convective MHD peristaltic flow of a Jeffrey nanofluid with convective surface boundary condition: A biomedicine–Nano model. Curr. Nanosci. 2014, 10, 432–440. [Google Scholar] [CrossRef]
- Faghiri, S.; Akbari, S.; Shafii, M.B.; Hosseinzadeh, K. Hydrothermal analysis of non-Newtonian fluid flow (blood) through the circular tube under prescribed non-uniform wall heat flux. Theor. Appl. Mech. Lett. 2022, 12, 100360. [Google Scholar] [CrossRef]
- Gulzar, M.M.; Aslam, A.; Waqas, M.; Javed, M.A.; Hosseinzadeh, K. A nonlinear mathematical analysis for magneto-hyperbolic-tangent liquid featuring simultaneous aspects of magnetic field, heat source and thermal stratification. Appl. Nanosci. 2020, 10, 4513–4518. [Google Scholar] [CrossRef]
- Khan, U.; Zaib, A.; Shah, Z.; Baleanu, D.; Sherif, E.S.M. Impact of magnetic field on boundary-layer flow of Sisko liquid comprising nanomaterials migration through radially shrinking/stretching surface with zero mass flux. J. Mater. Res. Technol. 2020, 9, 3699–3709. [Google Scholar] [CrossRef]
- Attar, M.A.; Roshani, M.; Hosseinzadeh, K.; Ganji, D.D. Analytical solution of fractional differential equations by Akbari–Ganji’s method. Partial. Differ. Equations Appl. Math. 2022, 6, 100450. [Google Scholar] [CrossRef]
- Hossain, M.S.; Fayz-Al-Asad, M.; Mallik, M.S.I.; Yavuz, M.; Alim, M.A.; Khairul Basher, K.M. Numerical Study of the Effect of a Heated Cylinder on Natural Convection in a Square Cavity in the Presence of a Magnetic Field. Math. Comput. Appl. 2022, 27, 58. [Google Scholar] [CrossRef]
- Bhuvaneswari, M.; Sivasankaran, S.; Kim, Y.J. Magnetoconvection in a square enclosure with sinusoidal temperature distributions on both side walls. Numer. Heat Transf. Part A Appl. 2011, 59, 167–184. [Google Scholar] [CrossRef]
- Sivasankaran, S.; Malleswaran, A.; Bhuvaneswari, M.; Balan, P. Hydro-magnetic mixed convection in a lid-driven cavity with partially thermally active walls. Sci. Iran. 2017, 24, 153–163. [Google Scholar] [CrossRef][Green Version]
- Narrein, K.; Sivanandam, S.; Ganesan, P. Influence of transverse magnetic field on microchannel heat sink performance. J. Appl. Fluid Mech. 2016, 9, 3159–3166. [Google Scholar] [CrossRef]
- Sivasankaran, S.; Narrein, K. Influence of geometry and magnetic field on convective flow of nanofluids in trapezoidal microchannel heat sink. Iran. J. Sci. Technol. Trans. Mech. Eng. 2020, 44, 373–382. [Google Scholar] [CrossRef]
- Sivasankaran, S.; Bhuvaneswari, M.; Alzahrani, A.K. Numerical study on influence of magnetic field and discrete heating on free convection in a porous container. Sci. Iran. 2022. [Google Scholar] [CrossRef]
- Sivasankaran, S.; Lee, J.; Bhuvaneswari, M. Effect of a partition on hydro-magnetic convection in an enclosure. Arab. J. Sci. Eng. 2011, 36, 1393–1406. [Google Scholar] [CrossRef]
- Bindhu, R.; Sai SundaraKrishnan, G.; Sivasankaran, S.; Bhuvaneswari, M. Magneto-convection of water near its maximum density in a cavity with partially thermally active walls. Energy Environ. 2019, 30, 833–853. [Google Scholar] [CrossRef]
- Bhuvaneswari, M.; Sivasankaran, S.; Karthikeyan, S.; Rajan, S. Stratification and Cross Diffusion Effects on Magneto-Convection Stagnation-Point Flow in a Porous Medium with Chemical Reaction, Radiation, and Slip Effects. In Applied Mathematics and Scientific Computing; Birkhäuser: Cham, Switzerland, 2019; pp. 245–253. [Google Scholar] [CrossRef]
- Rashad, A.M.; Sivasankaran, S.; Mansour, M.A.; Bhuvaneswari, M. Magneto-convection of nanofluids in a lid-driven trapezoidal cavity with internal heat generation and discrete heating. Numer. Heat Transf. Part A Appl. 2017, 71, 1223–1234. [Google Scholar] [CrossRef]
- Niranjan, H.; Sivasankaran, S.; Bhuvaneswari, M. Analytical and numerical study on magnetoconvection stagnation-point flow in a porous medium with chemical reaction, radiation, and slip effects. Math. Probl. Eng. 2016, 2016, 4017076. [Google Scholar] [CrossRef]
- Akbar, N.S.; Maraj, E.N.; Noor, N.F.M.; Habib, M.B. Exact solutions of an unsteady thermal conductive pressure driven peristaltic transport with temperature-dependent nanofluid viscosity. Case Stud. Therm. Eng. 2022, 35, 102124. [Google Scholar] [CrossRef]
- Khan, U.; Zaib, A.; Khan, I.; Nisar, K.S. Insight into the dynamics of transient blood conveying gold nanoparticles when entropy generation and Lorentz force are significant. Int. Commun. Heat Mass Transf. 2021, 127, 105415. [Google Scholar] [CrossRef]
- Kune, R.; Naik, H.S.; Reddy, B.S.; Chesneau, C. Role of Nanoparticles and Heat Source/Sink on MHD Flow of Cu-H2O Nanofluid Flow Past a Vertical Plate with Soret and Dufour Effects. Math. Comput. Appl. 2022, 27, 102. [Google Scholar] [CrossRef]
- Sivasankaran, S.; Ananthan, S.S.; Abdul Hakeem, A.K. Mixed convection in a lid-driven cavity with sinusoidal boundary temperature at the bottom wall in the presence of magnetic field. Sci. Iran. 2016, 23, 1027–1036. [Google Scholar] [CrossRef]
- Sivasankaran, S.; Malleswaran, A.; Lee, J.; Sundar, P. Hydro-magnetic combined convection in a lid-driven cavity with sinusoidal boundary conditions on both sidewalls. Int. J. Heat Mass Transf. 2011, 54, 512–525. [Google Scholar] [CrossRef]
- Sivasankaran, S.; Bhuvaneswari, M.; Kim, Y.J.; Ho, C.J.; Pan, K.L. Numerical study on magneto-convection of cold water in an open cavity with variable fluid properties. Int. J. Heat Fluid Flow 2011, 32, 932–942. [Google Scholar] [CrossRef]
- Sivasankaran, S.; Bhuvaneswari, M. Effect of thermally active zones and direction of magnetic field on hydromagnetic convection in an enclosure. Therm. Sci. 2011, 15, 367–382. [Google Scholar] [CrossRef]
- Tandon, P.N.; Chaurasia, A.; Jain, V.K.; Gupta, T. Application of magnetic fields to synovial joints. Comput. Math. Appl. 1991, 22, 33–45. [Google Scholar] [CrossRef][Green Version]
- Rudraiah, N.; Kasiviswanathan, S.R.; Kaloni, P.N. Generalized dispersion in a synovial fluid of human joints. Biorheology 1991, 28, 207–219. [Google Scholar] [CrossRef]
- Gill, W.N.; Sankarasubramanian, R. Exact analysis of unsteady convective diffusion. Proc. R. Soc. Lond. A Math. Phys. Sci. 1970, 316, 341–350. [Google Scholar] [CrossRef]
- Ng, C.O.; Rudraiah, N.; Naiaraj, C.; Nagaraj, H.N. Electrohydrodynamic dispersion of macromolecular components in nanostructured biological bearing. J. Energy Heat Mass Transf. 2005, 27, 39–64. [Google Scholar]
- Khan, A.A.; Farooq, A.; Vafai, K. Impact of induced magnetic field on synovial fluid with peristaltic flow in an asymmetric channel. J. Magn. Magn. Mater. 2018, 446, 54–67. [Google Scholar] [CrossRef]
- Nagaraj, C.; Dinesh, P.A.; Kalavathi, G.K. Combined effects of electric field and magnetic field on electro hydrodynamic dispersion of macromolecular components in biological bearing. Defect Diffus. Forum 2018, 388, 361–377. [Google Scholar] [CrossRef]
- Redeker, J.I.; Schmitt, B.; Grigull, N.P.; Braun, C.; Büttner, A.; Jansson, V.; Mayer-Wagner, S. Effect of electromagnetic fields on human osteoarthritic and non-osteoarthritic chondrocytes. BMC Complement. Altern. Med. 2017, 17, 1–8. [Google Scholar] [CrossRef]
- Racine, J. Effects of electromagnetic fields on articular cells and osteoarthritis. Orthop. Proc. 2018, 100 (Supp. 15), 72. [Google Scholar] [CrossRef]
- Ramakrishnan, K.; Swetha, N.N. Influence of porous parameter and thickness of the porous plate on the flow of synovial fluid in Human Joints. Int. J. Pure Appl. Math. 2018, 119, 221–229. [Google Scholar]
- Beretta, G.; Mastorgio, A.F.; Pedrali, L.; Saponaro, S.; Sezenna, E. The effects of electric, magnetic and electromagnetic fields on microorganisms in the perspective of bioremediation. Rev. Environ. Sci. Bio/Technol. 2019, 18, 29–75. [Google Scholar] [CrossRef]
- VijayaKumar, R.; Ratchagar, N.P. Mathematical Modeling of Synovial Joints with Chemical Reaction. J. Phys. Conf. Ser. 2021, 1724, 012051. [Google Scholar] [CrossRef]
- Tandon, P.N.; Nirmala, P.; Pal, T.S.; Agarwal, R. Rheological study of lubricant gelling in synovial joints during articulation. Appl. Math. Model. 1988, 12, 72–77. [Google Scholar] [CrossRef]
- Bali, R.; Shukla, A.K. Rheological effects of synovial fluid on nutritional transport. Tribol. Lett. 2001, 9, 233–239. [Google Scholar] [CrossRef]
- Beavers, G.S.; Joseph, D.D. Boundary conditions at a naturally permeable wall. J. Fluid Mech. 1967, 30, 197–207. [Google Scholar] [CrossRef]
- Rao K., S. Introduction to Partial Differential Equations, 3rd ed.; Prentice-Hall of India: New Delhi, India, 2010. [Google Scholar]
Disclaimer/Publisher’s Note: The statements, opinions and data contained in all publications are solely those of the individual author(s) and contributor(s) and not of MDPI and/or the editor(s). MDPI and/or the editor(s) disclaim responsibility for any injury to people or property resulting from any ideas, methods, instructions or products referred to in the content. |
© 2022 by the authors. Licensee MDPI, Basel, Switzerland. This article is an open access article distributed under the terms and conditions of the Creative Commons Attribution (CC BY) license (https://creativecommons.org/licenses/by/4.0/).












