Abstract
The current study used a novel Casson model to investigate hybrid Al2O3-Cu/Ethylene glycol nanofluid flow over a moving thin needle under MHD, Dufour–Soret effects, and thermal radiation. By utilizing the appropriate transformations, the governing partial differential equations are transformed into ordinary differential equations. The transformed ordinary differential equations are solved analytically using HAM. Furthermore, we discuss velocity profiles, temperature profiles, and concentration profiles for various values of governing parameters. Skin friction coefficient increases by upto 45% as the Casson parameter raised upto 20%, and the heat transfer rate also increases with the inclusion of nanoparticles. Additionally, local skin friction, a local Nusselt number, and a local Sherwood number for many parameters are entangled in this article.
1. Introduction
Due to their improved ability for heat transmission, nanoliquids are used in a wide variety of industrial applications, such as papermaking, heat exchangers, microelectronic devices, nuclear reactors, geothermal power generation, and transportation, to name only a few examples. The consumption of nanosolutions is less prominent in certain heat transfer applications. Hybrid nanofluids, which combine two different kinds of nanoparticles in regular fluids, are being developed to get around this drawback. The diameter of hybrid or combined nanomaterials, such as nanofluid with a single component or nanoparticle, ranges from 10 to 100 nm. Wang et al. [1] looked into heat transfer in nanofluids, primarily concerned with the preparation of nanofluids, recent experiments, and analytical studies of nanofluids. The same authors, Wang et al. [2], conducted the subsequent discussion of nanofluid applications as well as their flow and heat transfer characteristics in forced and free convection flows. Future research avenues are also implied [3,4,5,6], and they contain additional related works. Salleh et al. [7] investigated incompressible flow and wall heat transfer on a delicate, thin needle saturated with an Al2O3-Cu/water flow while taking buoyancy effects into account. Kavya et al. [8] looked into the issue of the Williamson hybrid nanofluid in a stretching cylinder with water-based Cu and MoS4 nanoparticles. The results indicate a decline in the heat transfer properties of the Williamson hybrid nanofluid flow with increasing Prandtl numbers and curvature parameter values. Raju et al. [9,10,11] investigated the flow and heat transmission characteristics of a nanofluid in a contracting or expanding porous channel with different permeabilities under the influence of MHD and thermal radiation.
Casson fluid is used to characterize non-Newtonian fluid behavior. The applications of non-Newtonian fluids include drag-reducing agents, printing technology, damping and braking devices, personal protective equipment and food products. Souayeh et al. [12] and Bilal et al. [13] investigated an incompressible non-Newtonian MHD Casson nanoliquid along a thin needle. Ibrar et al.’s [14] investigation into the effects of thermally radiative magneto-nano Casson fluid toward thin needles used the Naiver slip effect to model the issue mathematically. Jyothi et al. [15] examined the effects of non-linear thermal radiation on the Casson liquid flow past a moving thin needle. According to the findings, heat transfer is improved by higher values of Brownian motion, thermophoresis, Dufour number, heating, and radiative parameters. The goal of Mamatha et al.’s [16] research was to examine the flow, heat, and mass transport of a hybrid nanofluid Casson and micropolar fluid across a curved stretching sheet. Compared to micropolar and Casson fluids, hybrid nanofluid has a higher temperature profile. The objective of Sulochana et al. [17] was to investigate the Casson/Carreau hybrid nanoliquid boundary layer behavior over an immeasurably poignant needle in the presence of unpredictable heat sources and thermal radiation.
MHD research has been documented in geophysical and astrophysical challenges. Due to its numerous advantages in the engineering, engineering technology, and petroleum refining fields, this topic has attracted a lot of attention recently. Magnetofluid examples include metals, plasma, electrolytes, and salts. The fundamental concept behind MHD is that magnets can disperse moving liquids by absorbing undercurrents, which alter the magnetic force. Raju et al. [18] made an attempt to study the effects of cross-diffusion on the MHD non-linear radiative Carreau fluid over a wedge containing gyro-microorganisms. As a result, both the injection flow case and the suction flow case exhibit high rates of mass and heat transfer. In this article, Mamatha et al. [19] investigated the movement of an electrically conducting, incompressible fluid over a stretching sheet. The thermal boundary layer is managed by the Cattaneo-Christov heat flux theory. Waini et al. [20] found that the local Nusselt number and skin friction coefficient on the needle surface tend toward increasing with decreasing needle size and an increasing volume fraction of copper (Cu) nanoparticles. Sulochana et al. [21] also discussed the exploration of the MHD hybrid nanofluid flow’s periphery layer in addition to a horizontally positioned, continuously moving needle. A study by Madhukesh et al. [22] examined the main concept of their study: hybrid nanomaterial liquid flow past a thin needle under convective boundary conditions, magnetic flow, and thermophoretic force. Nurul Amira Zainal et al. [23] aimed to analyze the heat transfer performance of unsteady magnetohydrodynamics in hybrid nanofluids, and a heat generation impact and stability analyses were performed.
A material emits thermal radiation as a result of its heat, and the characteristics of thermal radiation depend on the material’s temperature. One of the most crucial process variables for the movement of heat and fluid in high-temperature thermal systems is radiation properties. A non-linear stretching sheet with a convective boundary is used in Jagan et al.’s [24] investigation of how thermal radiation affects the magneto-convection of a micropolar nanoliquid. The rise in the thermal radiation parameter results in higher temperature profiles. Kejela et al. [25] and Nazar et al. [26] have produced additional works in this area. Nurul Amira Zainal et al. [27,28] investigated the unsteady Maxwell hybrid nanofluid toward a stretching or shrinking surface with thermal radiation and heat transfer. Additionally, results shows that the skin friction coefficient increases by nanoparticles and suction parameters. Nurul Amira Zainal et al. [29] studied the flow and heat transfer in the stagnation region employing the Maxwell hybrid nanofluid, and the results were obtained using the Bvp4c technique in the MATLAB platform.
Temperature gradients cause mass flux, known as the Soret (thermal diffusion) effect. The concentration differences that cause energy flux are known as the “diffusion-thermo” (Dufour) effect. Dufour and Soret effects are encountered in many practical applications, such as in the areas of geosciences and chemical engineering. The Tiwari and Das models are employed by Iskandar et al. [30] and Khan et al. [31] to mathematically analyze the flow of (Al2O3-water) nanoliquid and (AA7072-AA7075/water) hybrid nanofluid over a moving thin needle. Additionally, the combined effect of the Dufour and Soret diffusions tend to increase the heat transfer coefficient; however, the mass transfer coefficient exhibits dual behaviors.
According to the studies mentioned above and through the analysis of a literature survey, a research gap was found regarding hybrid nanofluid flow over a moving thin needle with Dufour and Soret effects using the Casson model. In the current study, a recently developed Casson model was used to discuss the flow of hybrid (Al2O3-Cu/Ethylene glycol) nanofluids over a moving thin needle. Additional MHD, thermal radiation, and Dufour and Soret effects are included. The HAM technique in the Mathematica software has been used to solve the specified problem in this study. Furthermore, tables and graphs are used to present the noteworthy physical quantities varying with parameters.
2. Mathematical Formulation of the Problem
Figure 1 illustrates the flow of a hybrid (Al2O3-Cu/Ethylene glycol) nanofluid over a lateral moving thin needle with radius c = 0.1. In cylindrical coordinates, variables x and r represent axial and radial coordinates, respectively. The thin needle’s velocity can move in the same direction or on the opposite direction of the free stream velocity . Furthermore, a magnetic field perpendicular to the direction of flow is applied. It is also assumed that the concentrations at the wall and in the area are constant. Furthermore, it is assumed that the fundamental equations contain terms for MHD, thermal radiation, and Soret and Dufour terms.
Figure 1.
Physical diagram.
The rheological expression of the Casson fluid can be defined as follows (refer to Ibrar et al. [14]):
where product value of the non-Newtonian model is expressed as , yield stress of the fluid model is denoted by , is the deformation rate product component, and viscosity of plastic deformation of the Casson fluid is represented as .
The radiative linear heat transfer is described in the following Equation (3); therefore, thermal radiation effect is given by:
We developed the flow governing equations, which are given below (refer to Mamatha et al. [16], Sulochana et al. [17,21], and Waini et al. [30]):
With the associated boundary condition:
where and represent the x- and r-axis velocity components, respectively, and T is the hybrid nanofluid’s temperature. A list of the physical traits of a base fluid and a nanoparticle and correlations of hybrid nanofluid, respectively, can be found in Table 1 and Table 2. and stands for volume fraction nanoparticles of Al2O3 and Cu, respectively.
Table 1.
Thermophysical properties of nanoparticles and base fluid (Sulochana et al. [17]).
Table 2.
Correlations of hybrid nanofluids (refer to Sulochana et al. [17], Madhukesh et al. [22], and Nurul Amira Zamal et al. [23]).
The appropriate modifications are (refer to Sulochana et al. [17]):
Using (6) into Equations (2)–(5), they are reduced as follows:
subjected to:
where , , , and are the constants. , , , , , , , , and represent the Prandtl number, kinematic viscosity, velocity ratio parameter, magnetic parameter, Dufour–Soret parameters, thermal radiation, Schmidt number, and Reynolds number, respectively.
Equation (11) defines the skin friction coefficient , Nusselt number , and Sherwood number (refer to Iskandar Waini et al. [30]):
where shear stress, heat flux, and mass flux are defined as (refer to Iskandar Waini et al. [30]):
Using Equations (6) and (11) in Equation (12), the following equations are obtained:
3. Method of Solution
The resulting Equations (7)–(9) with boundary conditions (10), chosen as initial guesses and auxiliary linear operators, are then solved by HAM (refer to Hayat et al. [4] and Jagan et al. [24]):
which satisfies the property:
where ,, …, are arbitrary constants.
Figure 2 illustrates how the auxiliary parameters , , and , which are included in the HAM solution, influence how quickly the HAM solutions converge. Plotting of the h-curve for the following values: , , , , Pr = 7, Sr = 0.1, c = 0.1, M = 0.1, Rd = Du = 0.2, and Sc = 0.6. Figure 2 clearly shows that the permitted range of curves is ,, and . Convergence of the profiles is tabulated in Table 3.
Figure 2.
The h-curves of , , and .
Table 3.
Convergences of series , , , , Pr = 7, Sr = 0.1, c = M = 0.1, Rd = Du = 0.2, and Sc = 0.6.
4. Results and Discussions
HAM is an analytic approximation method to solve highly nonlinear problems. By using this method, the highly nonlinear and coupled Equations (7)–(9) and the corresponding boundary Equation (10) are solved. The discussions are set up to address various combinations of relevant study-related factors. The variation of , M, Du, Rd, and Sr is shown in Figure 3, Figure 4 and Figure 5. From Figure 6, Figure 7, Figure 8 and Figure 9 displays the variation of , M, Du, and Rd. Table 4 displays the computed values of , M, Du, and Rd for , , and .
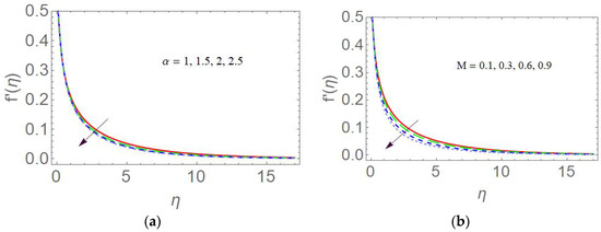
Figure 3.
Impacts of (a) Casson parameter on and (b) Magnetic parameter M on .
Figure 4.
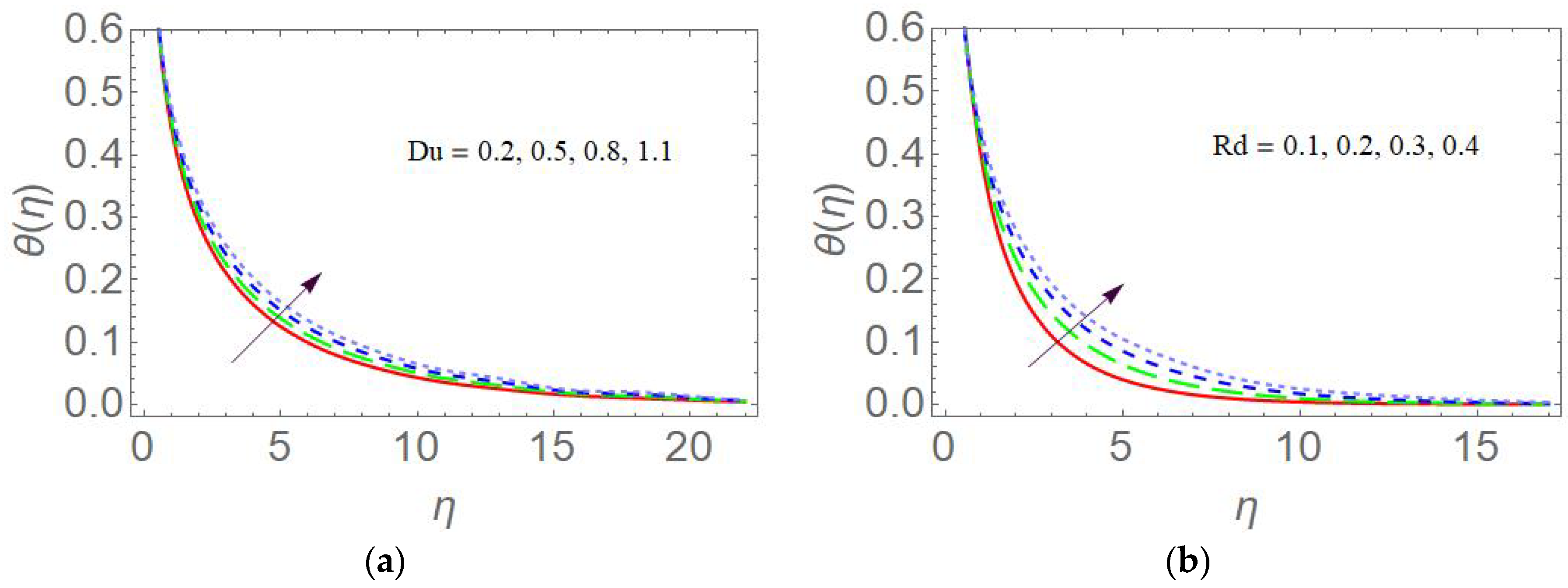
Impacts of (a) Dufour parameter Du on and (b) Radiation parameter Rd on .
Figure 5.
Impacts of Sr on .
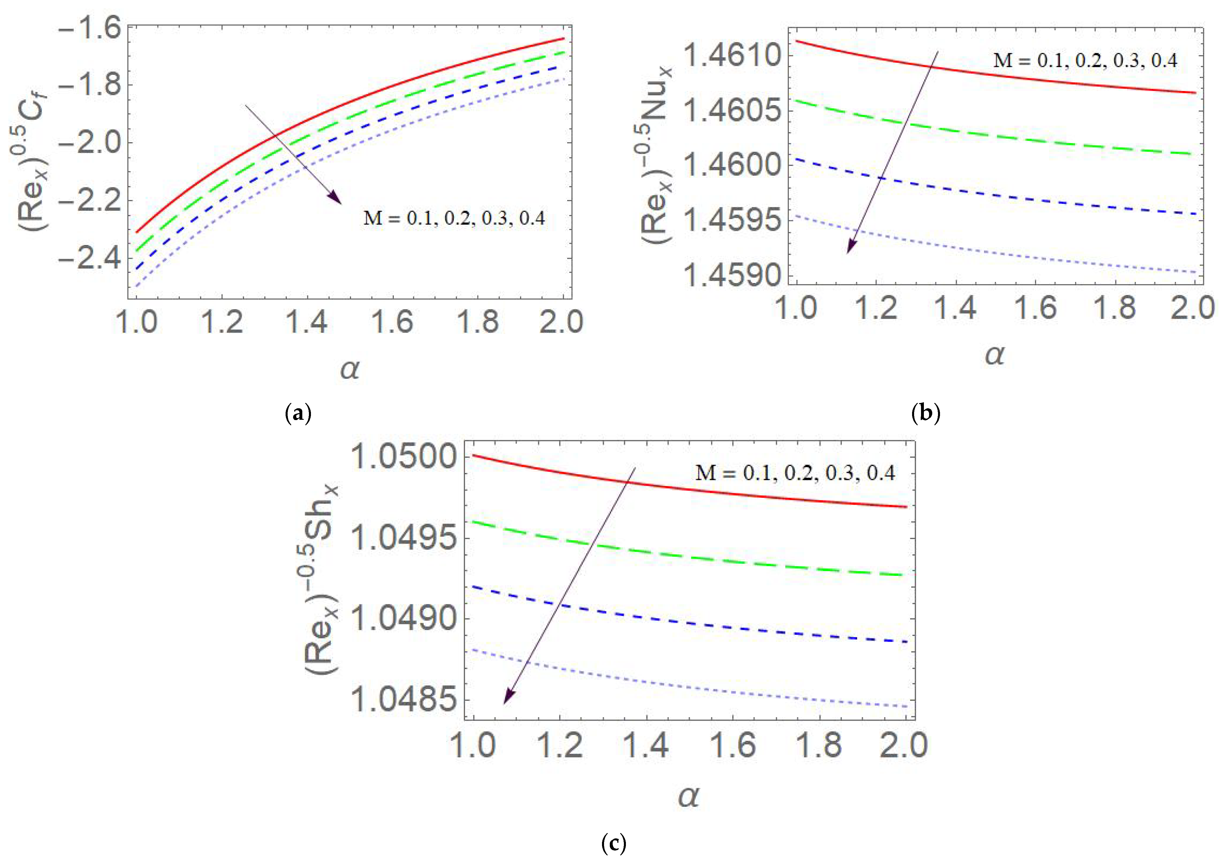
Figure 6.
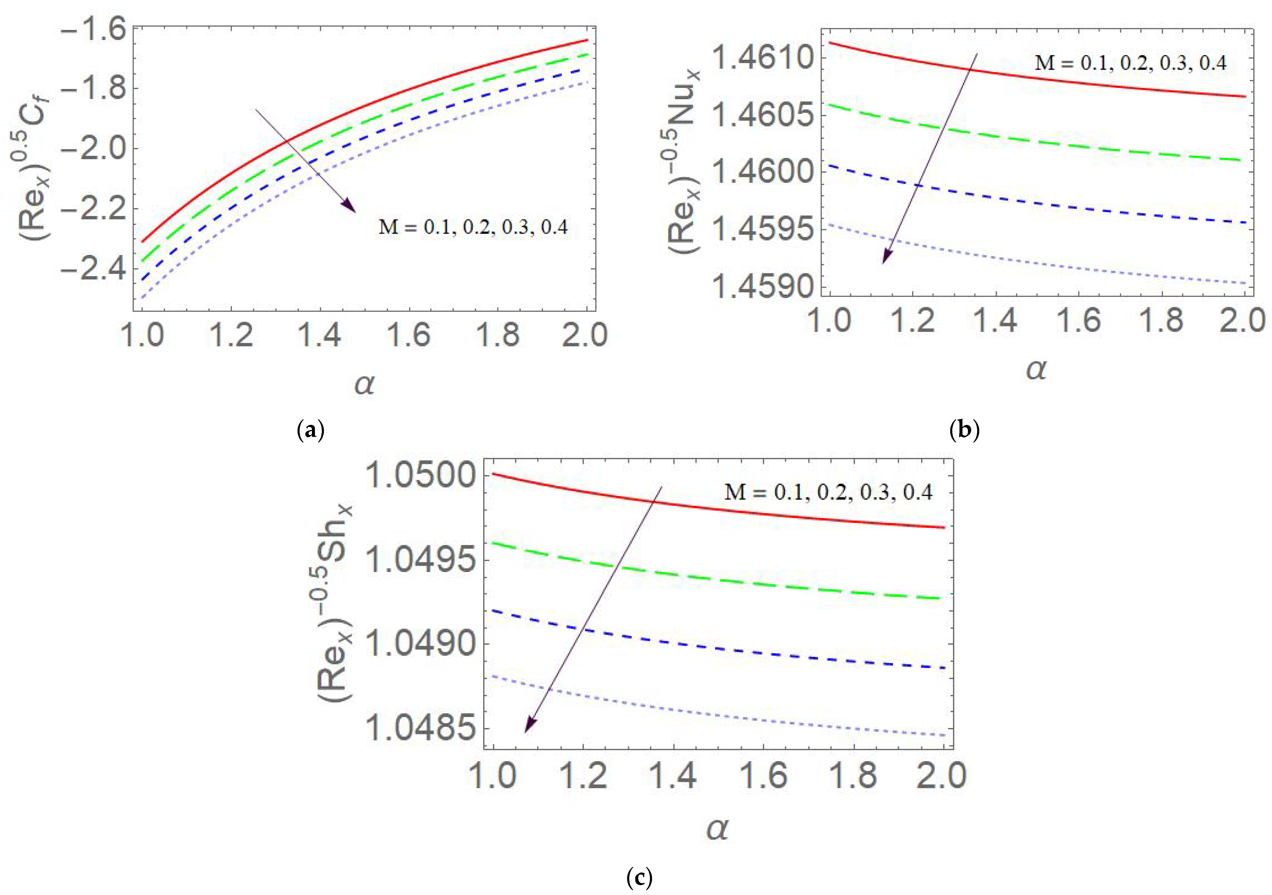
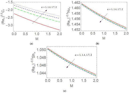
Influence of (a) on , (b) on , and (c) on .
Figure 7.
Influence of (a) M on , (b) M on , and (c) M on .
Figure 8.
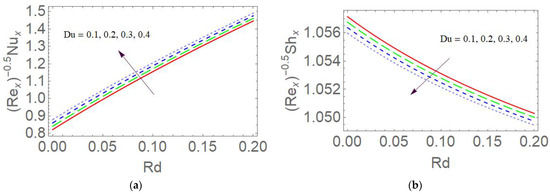
Impacts of (a) Rd on and (b) Rd on .
Figure 9.
Impacts of (a) Du on and (b) Du on .
Table 4.
, , and number values computed for various physical parameters.
Figure 3a,b, shows the profile of velocity reduces as and M rises. Physically, increasing the Casson parameter causes an enhancement in the fluid’s dynamic viscosity, which reduces fluid motion and results in a decrease in the profile of velocity. Additionally, by increasing M, the velocity profile decreases, because magnetic fields produce Lorentz forces that oppose motion.
Figure 4a,b displays the profile of temperature rises as Du and Rd rise. Enlarging the value of Du is thought to improve the temperature profile. “Du” is a technical term that describes how a concentration gradient affects the flow of thermal energy flux. Rd also compares the importance of thermal radiation dominant over a conduction heat transfer. As the radiation parameter is increased, the temperature within the boundary layer naturally increases.
Figure 5 displays the profile of concentration for various Sr values. The figure shows how increasing the Sr increases the concentration profile. Soret is a temperature gradient effect on concentration distribution. Physically, higher Soret numbers correspond to a greater temperature gradient, resulting in greater convective flow. As a result, the concentration distribution improves.
As shown in Figure 6a–c, increasing the value of causes to increase, but and decreases sharply. As shown in Figure 7a–c, when the magnetic parameter increases, the , , and numbers decrease sharply, because magnetic fields produce Lorentz forces that oppose motion due to drag force between the fluid and the surface. The impact of Rd on the and is shown in the Figure 8a,b. Increasing the non-linear thermal radiation, the thickness of the boundary layer increases, which results in a decrease in the heat transfer rate, whereas mass transfer rate decreases. The effect of Du on the and is depicted in Figure 9a,b. The is increased and the is decreased by increasing the Du.
5. Conclusions
The Casson model was used to investigate the impact of the Dufour and Soret effects, thermal radiation, and magnetic field on hybrid nanofluid flow over a thin needle.
- The boundary layer that forms around the needle is equally tiny in size.
- The series solution is obtained with the proposed HAM method. HAM gives better approximations than other numerical methods.
- In total, 2% nanoparticles are included and the rate of heat transfer increases up to 45%.
- The Casson parameter tends to makes the flow field smaller. Physically, increasing the Casson parameter causes an enhancement in the fluids dynamic viscosity, which reduces the fluid motion and results in a decrease in the profile of velocity.
- As the magnetic field strength increases, the velocity profiles become narrower, because magnetic fields produce Lorentz forces that oppose motion.
- As a result of the thermal radiation being included, heat is transferred more quickly.
- As the radiation parameter is increased, the temperature within the boundary layer naturally increases, because thermal radiation is dominant over a thermal conduction heat transfer.
- The rates of mass and heat transfer as well as the Dufour and Soret effects are accelerated, because with the Dufour effect, the concentration gradient affects the flow of thermal energy flux, and higher Soret numbers correspond to a greater temperature gradient, resulting in a greater convective flow.
- The present results are useful in the cooling technology and thermal science community.
Author Contributions
Conceptualization, J.K. and S.S.; methodology, J.K.; software, J.K. and V.S.R.; validation J.K.; formal analysis, J.K., S.S. and V.S.R.; investigation, J.K.; resources, J.K.; writing—original draft preparation, J.K. and V.S.R.; writing—review and editing, J.K.; visualization, J.K.; supervision, J.K. All authors have read and agreed to the published version of the manuscript.
Funding
This research received no external funding.
Data Availability Statement
Not applicable.
Conflicts of Interest
The authors declare no conflict of interest.
Abbreviations
In this document, the following abbreviations are used.
| MHD | Magnetohydrodynamics | |
| HAM | Homotopy Analysis Method | |
| c | needle radius (m) | |
| velocity at the surface (m.s−1) | ||
| wall concentration | ||
| temperature at the surface (K) | ||
| ambient concentration | ||
| temperature of mass fluid (K) | ||
| coefficient of mean absorption (c.m−1) | ||
| concentration susceptibility | ||
| free stream velocity (m.s−1) | ||
| specific heat (kg−1.J) | ||
| mass diffusion coefficient (m2.s−1) | ||
| ambient temperature (K) | ||
| velocity components along x and r directions (m.s−1) | ||
| radiative heat flux (kg.m2.s−3) | ||
| ratio of thermal diffusion | ||
| Skin friction | ||
| Sherwood number | ||
| C | fluid concentration | |
| Nusselt number | ||
| Greek symbols | ||
| kinematic viscosity (m2.s−1) | ||
| Casson parameter | ||
| fluid density (kg.m−3) | ||
| velocity ratio parameter | ||
| dynamic viscosity of a fluid (m2.s−1) | ||
| Stefan-Boltzmann constant (W.m−2.K−4) | ||
| Subscripts | ||
| hnf | hybrid nanofluid | |
| ‘ | differentiation w.r.t. | |
| nf | nanofluid | |
| f | fluid | |
| ambient | ||
References
- Wang, X.Q.; Mujumdar, A.S. A review on nanofluids—Part I: Theoretical and numerical investigations. Braz. J. Chem. Eng. 2008, 25, 613–630. [Google Scholar] [CrossRef]
- Wang, X.Q.; Mujumdar, A.S. A review on nanofluids—Part II: Experiments and applications. Braz. J. Chem. Eng. 2008, 25, 631–648. [Google Scholar] [CrossRef]
- Kamyar, A.; Saidur, R.; Hasanuzzaman, M. Application of Computational Fluid Dynamics (CFD) for nanofluids. Int. J. Heat Mass Transf. 2012, 55, 4104–4115. [Google Scholar] [CrossRef]
- Hayat, T.; Sabir Ali, S.; Qasim, M.; Asghar, S. Three-dimensional stretched flow via convective boundary condition and heat generation/absorption. Int. J. Numer. Methods Heat Fluid Flow 2012, 24, 342–358. [Google Scholar] [CrossRef]
- Sidik, N.A.C.; Adamu, I.M.; Jamil, M.M.; Kefayati, G.H.R.; Mamat, R.; Najafi, G. Recent progress on hybrid nanofluids in heat transfer applications: A comprehensive review. Int. Commun. Heat Mass Transf. 2016, 78, 68–79. [Google Scholar] [CrossRef]
- Rostami, M.N.; Dinarvand, S.; Pop, I. Dual solutions for mixed convective stagnation-point flow of an aqueous silica–alumina hybrid nanofluid. Chin. J. Phys. 2018, 56, 2465–2478. [Google Scholar] [CrossRef]
- Alwani, S.S.N.; Norfifah, B.; Norihan, A.; Fadzilah, A. Effect of Buoyancy force on the flow and heat transfer around the thin needle in Hybrid nanofluid. CFD Lett. 2020, 12, 22–36. [Google Scholar]
- Kavya, S.; Nagendramma, V.; Ameer Ahammad, N.; Sohail, A.; Raju, C.S.K. Magnetic-hybrid nanoparticles with stretching/shrinking cylinder in a suspension of MoS4 and copper nanoparticles. Int. Comm. Heat Mass Transf. 2022, 136, 106150. [Google Scholar] [CrossRef]
- Raju, C.S.K.; Ameer Ahammad, N.; Kiran, S.; Nehad Ali, S.; Se-Jin, Y.; Dinesh Kumar, M. Nonlinear movements of axisymmetric ternary hybrid nanofluids in a thermally radiated expanded or contracting permeable Darcy walls with different shapes and densities: Simple linear aggression. Int. Comm. Heat Mass Transf. 2022, 135, 106110. [Google Scholar] [CrossRef]
- Priyadarshini, P.; Vanitha Archana, N.; Ameer Ahammad, N.; Raju, C.S.K.; Se-Jin, Y.; Nehad Ali, S. Gradient descent machine learning regression for MHD flow: Metallurgy process. Int. Comm. Heat Mass Transf. 2022, 138, 106307. [Google Scholar] [CrossRef]
- Hu Ge, J.; Nehad Ali, S.; Mahrous, Y.M.; Pooja, S.; Raju, C.S.K.; Mamatha Upadhya, S. Radiated magnetic flow in a suspension of ferrous nanoparticles over a cone with Brownian motion and thermophoresis. Case Stud. Therm. Eng. 2021, 25, 100915. [Google Scholar]
- Basma, S.; Reddy, M.G.; Sreenivasulu, P.; Poornima, T.; Rahimi, G.M.; Alarifi, M.I. Comparative analysis on non-linear radiative heat transfer MHD Casson nanofluid past a thin needle. J. Mol. Liq. 2019, 284, 163–174. [Google Scholar]
- Bilal, M.; Urva, Y. Analysis of non-Newtonian fluid flow over a fine rotating thin needle for variable viscosity and activation energy. SN Appl. Sci. 2020, 2, 677. [Google Scholar] [CrossRef]
- Ibrar, N.; Reddy, M.G.; Shehzad, S.A.; Sreenivasulu, P.; Poornima, T. Interaction of single and multi -walls carbon nanotubes in magnetized- nano Casson fluid over radiated horizontal needle. SN Appl. Sci. 2020, 2, 677. [Google Scholar] [CrossRef]
- Jyothi, A.M.; Naveen Kumar, R.; Punith Gowda, R.J.; Prasanna kumara, B.C. Significance of Stefan blowing effect on flow and heat transfer of Casson nanofluid over a moving thin needle. Commun. Theor. Phys. 2021, 73, 0253–6102. [Google Scholar] [CrossRef]
- Mamatha Upadhya, S.; Shiva Rama Raju, S.V.; Raju, C.S.K.; Nehad Ali, S.; Jae Dong, C. Importance of entropy generation on Casson, Micropolar and Hybrid magneto-nanofluids in a suspension of cross section. Chin. J. Phys. 2021, 77, 1080–1101. [Google Scholar] [CrossRef]
- Sulochana, C.; Poornima, M.; Sandeep, N.; Gangadhar, P.A.K. Effect of variable heat generation/absorption on magnetohydrodynamic Sakiadis flow of Casson/Carreau hybrid nano liquid due to a persistently moving needle. Heat Transfer 2021, 50, 8354–8377. [Google Scholar]
- Raju, C.S.K.; Ibrahim, S.K.; Anuradha, S.; Priyadarshini, P. Bio-convection on non-linear radiative flow of a Carreau fluid over a moving wedge with suction or injection. Eur. Phy. J. Plus 2016, 131, 409. [Google Scholar] [CrossRef]
- Upadhya, S.M.; Mahesha; Raju, C.S.K. Cattaneo-Christov heat flux model for magnetohydrodynamic flow in a suspension of dust particles towards a stretching sheet. Nonlinear Eng. 2018, 3, 237–246. [Google Scholar] [CrossRef]
- Iskandar, W.; Anuar, I.; Pop, I. Hybrid nanofluid flow and heat transfer past a vertical thin needle with prescribed surface heat flux. Int. J. Numer. Methods Heat Fluid Flow 2019, 29, 4875–4894. [Google Scholar]
- Sulochana, C.; Aparna, S.R.; Sandeep, N. Impact of linear/nonlinear radiation on incessantly moving thin needle in MHD quiescent Al-Cu/methanol hybrid nanofluid. Int. Ambient. Energy 2020, 43, 2694–2700. [Google Scholar] [CrossRef]
- Madhukesh, K.; Ramesh, G.K.; Alsulami, M.D.; Prasanna kumara, B.C. Characteristic of thermophoretic effect and convective boundary thermal conditions on flow of hybrid nanofluid over a moving thin needle. In Waves in Random and Complex Media; Taylor & Francis: Abingdon, UK, 2021. [Google Scholar] [CrossRef]
- Zainal, N.A.; Roslinda, N.; Kohilvani, N.; Pop, I. Stability analysis of unsteady MHD Rear stagnation point flow of hybrid nanofluid. Mathematics 2021, 9, 2428. [Google Scholar] [CrossRef]
- Jagan, K.; Sivasankaran, S.; Bhuvaneswari, M.; Rajan, S. Effect of Thermal Radiation on Magneto-Convection of a Micropolar Nano liquid towards a Non-Linear Stretching Surface with Convective Boundary. Int. J. Eng. Technol. 2018, 7, 417–421. [Google Scholar] [CrossRef]
- Solomon, B.K.; Mitiku, D.; Abebe, G. Investigation of Effects of Thermal Radiation, Magnetic Field, Eckert Number and Thermal Slip on MHD Hiemenz Flow by Optimal Homotopy Asymptotic Method. J. Math. 2021, 2021, 5590657. [Google Scholar] [CrossRef]
- Zainal, N.A.; Roslinda, N.; Kohilvani, N.; Pop, I. Unsteady flow of a Maxwell hybrid nanofluid past a stretching/shrinking surface with thermal radiation effect. Appl. Math. Mech. 2021, 42, 1511–1524. [Google Scholar] [CrossRef]
- Zainal, N.A.; Roslinda, N.; Kohilvani, N.; Pop, I. Unsteady stagnation point flow past a permeable stretching/shrinking riga plate in Al2O3-Cu/water hybrid nanofluid with thermal radiation. Int. J. Numer. Methods Heat Fluid Flow 2021, 32, 2640–2658. [Google Scholar] [CrossRef]
- Zainal, N.A.; Roslinda, N.; Kohilvani, N.; Ioan Pop, I. The impact of thermal radiation on Maxwell hybrid nanofluids in the stagnation point. Nanomaterials 2022, 12, 1109. [Google Scholar] [CrossRef]
- Tayyaba, N.; Bhatti, M.M.; Efstathios Michaelides, E. Hybrid (Au-TiO2) nanofluid flow over a thin needle with magnetic field and thermal radiation: Dual solutions and stability analysis. Microfluid. Nano Fluid. 2022, 26, 2. [Google Scholar] [CrossRef]
- Iskandar, W.; Anuar, I.; Pop, I. Dufour and Soret effects on Al2O3-water nanofluid flow over a moving thin needle: Tiwari and Das model. Int. J. Numer. Methods Heat Fluid Flow 2020, 31, 766–782. [Google Scholar] [CrossRef]
- Umair, K.; Zaib, A.; Sakhinah Abu, B.; Anuar, I. Forced convection flow of water conveying AA7072 and AA7075 alloys-nanomaterials on variable thickness object experiencing Dufour and Soret effects. Sci. Rep. 2022, 12, 6940. [Google Scholar]
Disclaimer/Publisher’s Note: The statements, opinions and data contained in all publications are solely those of the individual author(s) and contributor(s) and not of MDPI and/or the editor(s). MDPI and/or the editor(s) disclaim responsibility for any injury to people or property resulting from any ideas, methods, instructions or products referred to in the content. |
© 2022 by the authors. Licensee MDPI, Basel, Switzerland. This article is an open access article distributed under the terms and conditions of the Creative Commons Attribution (CC BY) license (https://creativecommons.org/licenses/by/4.0/).








