Abstract
Biochar adsorption emerges as a convenient and cheap treatment technology to cope with the metal pollution in wastewater. In this study, a biochar made from corn stalks was prepared and its adsorption characteristics for two heavy metals, Pb and Cd, were investigated by materials characterization and batch experiments. Biochar pyrolyzed from waste corn stalks at 400–600 °C, where biochar prepared at 600 °C (BC600) was used to perform following experiments. In materials characterization, the SEM images were initially used to reveal an obvious porous structure feature of corn stalk biochar, followed by XPS and FT-IR analyses unraveling the effects of functional groups in adsorption, especially for phenol and carboxyl groups. These functional groups provided vital adsorption sites. In batch experiment, batch experiments were conducted under different factors such as pH, temperature, and background ionic strength. The increase of pH and temperature can improve the adsorption capacity, whereas the ionic strength showed negative effects. The adsorption processes of both metals can be interpreted by fitting pseudo-first order model, as indicated in kinetic experiments, and the adsorption isotherm can be well described by the Langmuir model. Overall, this study revealed the characteristics of corn stalk biochar and deciphered the potential adsorption mechanisms.
1. Introduction
Heavy metals are the elements with a density higher than 4.5 g/cm3. However, with the development of urbanization and industrialization heavy metals in the aquatic environment may accumulate in the aquatic products, and after intaking these elements may cause adverse effects on human health [1]. For example, several heavy metals have been detected in China, such as in the Yangtze River and the Pearl River [2,3]. The two primary elements are Cd and Pb. The impact of Cd on human health has been reported in China, where it has been demonstrated that Cd caused toxic effects on the human body through food. The health issues caused by Cd include kidney dysfunction, cancers, and other serious illness [4]. Meanwhile, Pb can cause serious damage to the human nervous, skeletal, circulatory, and immune systems [5]. Peng et al. estimated the Pb concentration at three Chinese metropolises [6], and the results showed that the highest Pb concentration reached 103 mg/kg. To lower the concentrations of Cd and Pb in surface waters, a range of technologies, such as membrane filtration [7], electrocoagulation [8], and microbial remediation [9] have been applied. Nevertheless, these methods each have disadvantages such as incomplete removal, high cost, and energy demand [10]. In contrast, the adsorption is a convenient and widely used approach. One source of materials for preparing adsorbent is biomass. Agricultural waste, such as dairy manure compost, rice bran, rice straw, and rice husk are suitable for the developing world due to its low-cost [11,12]. Among all the adsorbents used for removing heavy metals, biochar is a valuable material [12].
Biochar is a porous, carbonaceous product obtained from the pyrolysis of organic materials under limited oxygen concentration and specific temperature [13]. These materials have large porosity, high physicochemical-stability, and excellent surface reactivity. Compared with traditional activated carbon, biochar can be easily produced by biomass resources, and thus, it has a lower cost and wider range of sources [14,15]. Biochar has been widely used for environmental protection. Currently, the application of biochar mainly focusses on removing organic contaminants, pharmaceuticals, and heavy metals. For instance, Kazak et al. studied the adsorption of waste vinasse biochar to Pb, where the adsorption capacity reached 141.1 mg/g [16]; Fan et al. focused on tea waste biochar adsorbing Cd, whose adsorption was 16.4 mg/g to Cd [17]. Nonetheless, no attempt has been made to investigate the removal capacity of biochar made from corn stalks.
Maize is one of the main crops grown worldwide. As the second largest maize producer and consumer, China accounts for 19.15% and 21.42% of the total maize harvest area and production, respectively [18], which further yields a huge amount of corn stalk. According to Chinese official statistics, the corn stalks yield is 267.46 million tons in 2018 [19]; therefore, corn stalks are the materials with a high potential value, which is expected to be widely used for preventing the pollution of heavy metals. However, an investigation on corn stalk biochar is still insufficient. This study is the first attempt to learn about the adsorption for two heavy metals of corn stalks biochar characteristics. Given the large number of corn stalk yield, this study has the high potential application value.
In this study we evaluated the adsorption capacity of corn stalk biochar in response to four factors, including pH values, temperature, adsorbent dosage, and background ionic strength. Two objectives were: (1) To explore the effects of factors on the adsorption performance of biochar for Pb and Cd; (2) To unravel the mechanism for biochar adsorption. As far as we know, this work is the first comprehensive study for the preparation and characterization of corn stalks biochar, and for the adsorption of Pb and Cd under different conditions.
2. Materials and Methods
2.1. Chemicals
The chemical reagents were all analytical grades higher than 99.0% purity; Pb(NO3)2 (CAS: 10099-74-8) was purchased from Damao Chemical Reagent Factory (Tianjin, China); CdCl2 (CAS: 10108-64-2) from Tianjin Kemiou Chemical Reagent Co. (Tianjin, China).
2.2. Biochar Preparation
Biochar was made from corn stalks. Briefly, straws were washed with ultrapure water to remove surface dust and dirt, followed by drying at 80 °C for more than 2 days to remove all moisture. Next, the straws were ground into powder form. In the pyrolysis section, N2 was first passed into the pyrolyzer for 30 min and the corn stalk powder was then pyrolyzed under 400 °C, 500 °C, 600 °C, respectively, at a heating rate of 5 °C/min. The heating process was strictly under the N2 condition for the entire duration. After cooling to room temperature, biochar was ground through a sieve. The biochars obtained at different temperatures were referred to as BC400, BC500, and BC600, respectively.
Since the preliminary experiment had demonstrated that the adsorption capacity of BC400 and BC500 were lower than that of BC600, the batch experiments only used BC600, in addition to characterization under different pyrolysis temperature.
2.3. Biochar Characterization
The Brunauer-Emmett-Teller (BET) surface area, pore volume, and size for the biochar were determined by a Mike ASAP 2460 (Norcross, GA, USA). The surface groups of the biochar were analyzed by Fourier Transform Infrared Spectroscopy (FT-IR, Thermo Scientific Nicolet iS5, Waltham, MA, USA). The elements of carbon, nitrogen, oxygen, and hydrogen were analyzed by Organic Element Analyzer (elementar varioel III, Langenselbold, Germany) to determine the ratio of each element. To investigate the micrograph of the microstructure of biochar, a scanning electron microscope (SEM, Zeiss Sigma300, Oberkochen, Germany) was applied. Zeta potential was detected by a Malvern Zetasizer Nano ZS90 (Malvern, UK). The component of the materials and chemical structure were analyzed by X-ray photoelectron spectroscopy (XPS, Thermo Scientific K-Alpha, Waltham, MA, USA).
2.4. Batch Adsorption Experiment
A batch experiment was conducted to determine the removal capacity of BC600 for Pb and Cd. Here, 40 mg Pb(NO3)2 and 40.8 mg CdCl2 were dissolved separately in 500 mL of deionized water to prepare the single Cd and Pb stock solution. The experiments were summarized in four parts: (1) To explore the effects of BCs’ amount on adsorption, 2 mg, 6 mg, 10 mg, 20 mg, and 30 mg of biochar were spiked into 20 mL Cd and Pb stock solution. After that, the solutions were put into 50 mL centrifuge tubes and shaken at 25 °C and 150 rpm for 24 h until reaching the adsorption equilibrium. The 30 mg/L was selected to conduct the following experiment; (2) To determine the impact of pH, the stock solution was adjusted to pH 2, 3, 5, 7 for testing both heavy metals and pH 9 was merely for Cd test; (3) For temperature influence, biochar adsorption tests were performed at three different temperatures (15 °C, 25 °C, and 35 °C); (4) The influence of background ionic strength on adsorption was investigated by the addition of different concentrations of NaNO3 at 0.01 M, 0.05 M, 0.1 M, and 0.5 M, respectively.
For the adsorption isotherms, an experiment was conducted at eight concentrations of solutions, including 10 mg/L, 20 mg/L, 100 mg/L, 150 mg/L, 200 mg/L, 300 mg/L, 400 mg/L, and 500 mg/L. Sorption kinetic was investigated by determining the sorption performance at different time points ranging from 1 min to 360 min. All the experiments were performed in triplicates and the mean value was used for further analysis. After filtration by 0.22 μm filter, the concentration levels of Cd and Pb were measured by flame atomic absorption spectrophotometer (AAS, Thermo Scientific, Waltham, MA, USA).
2.5. Data Analysis
After measuring the ionic concentrations by AAS, the adsorption capacity (Qe) and the adsorption percentage (S) were calculated by Equations (1) and (2):
where C0 and Ce are the initial and equilibrium concentration of heavy metals (mg/L), V is the volume of adsorption solution (L), and M is the weight of biochar (g).
To further explore the adsorption kinetic process, two kinetic equations were applied: pseudo-first order (PFO), pseudo-second order (PSO), and intra-partical-diffusion (IPD) (Equations (3)–(5)).
where K1, K2, and Ki are the rate constants, Qt and Qe are the adsorption quantity of biochar, and C is the sorption constant of intra-particle diffusion (IPD) equation.
The adsorption isotherms were further fitted by Langmuir and Freundlich adsorption models (Equations (6) and (7)):
where Ce is the equilibrium concentration, qe is the maximum number of heavy metals adsorbed at equilibrium, and qmax is the maximum adsorption capacity of the solute. The KL and KF are the adsorption coefficients of each model, respectively. The n is the Freundlich linearity constant related to the surface site heterogeneity. All the data was analyzed by SciDavis (version 2.3, Mulhouse, France), and statistics were conducted with Microsoft Excel 2019 (Redmond, WA, USA).
3. Results and Discussion
3.1. Characteristics of Biochars
SEM images reveal the morphological characteristics of the biochar. It was clear that an obvious porous tubular structure was observed in the SEM image (Figure 1a), and the grid structure was detected at high magnification (Figure 1b). Porous structure is the main reason of biochar absorption, as it provides large surface area for absorption.
Figure 1.
SEM images of biochar (BC600); (a): Magnification 2000×; (b): Magnification 200×.
FT-IR can help us determine possible material structure and functional groups (Figure 2). Several absorption peaks appeared at different wavenumbers, representing the existence of different functional groups. For example, the characteristic peak at 3435.06 cm−1 was due to the stretching vibration of –OH groups [20]; the absorbance band at 1158 cm−1 suggested the existence of C–O stretching vibration in the two carbon materials [21]; the band at 1618 cm−1 indicated the stretching vibration of –OH deformation of water and C=O stretching vibration of the carbonyl from the carboxyl group in biochar [22]; the sharp peaks at 2929 cm−1 was associated with the stretching vibration of –CH, –CH2, and CH3 bonds [23,24].
Figure 2.
FT-IR image of biochar (BC600) before (a) and after (b) adsorption.
Compared with the FT-IR of origin biochar, the FT-IR biochar after adsorption was detected (Figure 2b). An absorbance peak at 2928 cm−1 is not obvious after adsorption. There is a band at 1388.69 cm−1 and 1400.07 cm−1 corresponding to –CH2– scissoring [24]. The peak at 1570 cm−1 is assigned with antisymmetric stretching vibration of COO– groups [25]. Thus, the FT-IR results demonstrated the surface functional groups have changed after adsorption.
Results of element analysis were illustrated in Table 1. The H/C value is a vital index for biochar aromaticity. Here, the aromaticity of biochar (H/C) was reduced with the increase of pyrolysis temperature, which was consistent with McBeath et al. [26]. The (O + N)/C value represents the polarity of biochar, which decreased along with the increase of the pyrolysis temperature. Furthermore, the hydrophilicity represented by O/C was reduced. With the elevated temperature, the reduction in percentage of H and O contents may be due to the decomposition of components such as cellulose, where H and O atoms were released [27].
Table 1.
Element analysis of biochars.
The XPS reflected the atomic ratio and revealed the related functional groups of specific elements. Thus, the alteration of functional groups of biochar before and after adsorption could decipher the potential adsorption mechanism. The atomic ratio of C, H, and O was consistent with element analysis before adsorption. After adsorption, there was little change in C, H, and O ratio. Compared with the biochar before adsorption, heavy metals (Pb and Cd) were detected in the material (Table 2), confirming the adsorption of biochar. Furthermore, the binding energy and atomic ratio of carbon functional groups were altered after adsorption, indicating that carbon functional group reaction was an important adsorption mechanism.
Table 2.
XPS peak table of biochar (BC600).
The BET results were listed in Table 3. A higher BET area usually resulted from the porous structure, as indicated by SEM image. In this study, the surface area and pore volume of BC600 was higher than that of BC400 and BC500, suggesting that the surface area played vital roles in biochar adsorption [28], and pyrolysis temperatures could also increase surface aera [29].
Table 3.
BET surface area and pore parameter of biochars.
3.2. Adsorbent Dosage Effect
The adsorbent (BC600) dosage effect was investigated (Figure 3). At the fixed heavy metal concentration (50 mg/L), the amount of biochar had a different effect for two heavy metals. For Pb, the adsorption efficiency rapidly increased from 0.1 mg/L to 0.3 mg/L, and the adsorption efficiency reached 99%. Further, the efficiency kept steady at a very high level. However, Cd had a more stable trend. At 0.1 mg/L, the adsorption efficiency had reached to 88%, in contrast to Pb. The adsorption for Cd presented a smooth tendency to the highest adsorption capacity in the end. The results showed that the at the lower adsorbent dosage (0.1 mg/L to 0.3 mg/L) the efficiency was influenced by the increased adsorbent surface area and availability of more vacant surfaced sites [30]. After 0.3 mg/L, the surfaced sites had been all occupied. Thus, the 0.3 mg/L of adsorbent had been elected for next experiments.
Figure 3.
Adsorbent concentration effect of biochar (BC600) for Pb and Cd.
3.3. pH Effect to Biochar Adsorption
The pH value is a vital factor to biochar adsorption for heavy metal. With the increasing of pH value, the adsorption performance of biochar improved, whereas the changes for Pb and Cd were not identical (Figure 4). The adsorption capacity of Pb was much higher than that of Cd. At pH value less than 3, Pb adsorption remained 0.353–0.354 mmol/g. However, after elevating pH from 3 to 5, the removal capacity experienced a rapid growth to reach 0.727 mmol/g. At pH higher than 7, the precipitation of (Pb(OH)2) occurred due to the existence of more –OH, and thus a pH above 7 was not used for the adsorption test. Contrast to Pb, the adsorption capacity for Cd was higher than that of Pb. Nevertheless, the removal performance of biochar in response to pH increase remained steady, though a slight elevating trend was detected (Figure 4). At pH 9, solution has emerged clearly flocculent sediment of (Cd(OH)2, which may also influence the adsorption capacity.
Figure 4.
pH effect of biochar (BC600) for Pb and Cd.
The influence of pH on biochar adsorption performance may be due to the different effects of both metals on the surface charge of the adsorbent and the degree of ionization of the adsorbates [31]. At lower pH condition, there are a number of positive ions in the solution, and thus, electrostatic repulsion is very significant. With the increase of pH, electrostatic repulsion gradually weakens, and electrostatic attraction emerges, resulting in a higher adsorption capacity.
In addition, the Zeta potential examination revealed biochar present different potentials at different pH (Figure 5). The isoelectric point of biochar was approximate 3.51. With the pH increasing, the Zeta potential decreased. Thus, the potential presented negative with the pH above 3.51. At the most pH condition, the enhanced electrostatic attraction was due to the negative charges, suggesting the strong adsorption of biochar at higher pH value [31].
Figure 5.
Zeta potential of biochar (BC600) at different pH.
3.4. Ionic Strength and Tempareture Effect
Background ionic strength was adjusted by Na+ concentration. With the ionic concentration growing, the adsorption capacity first increased and then decreased slowly, though the adsorption for Cd was unclear (Figure 6).
Figure 6.
Background ionic strength effect of biochar (BC600) for Pb and Cd.
From 0.01 M to 0.1 M of Na+, the Pb sorption decreased from 0.639 mmol/g to 0.571 mmol/g and Cd sorption descended from 1.2986 mmol/g to 1.2982 mmol/g, respectively. The declining rate became slow after Na+ was higher than 0.1 M, indicating that the background ions inhibited the biochar adsorption for Pb. Na+ was capable of pre-empting surface adsorption sites of biochar for heavy mental ions, and it hindered the electrostatic between the charges on biochar surface and heavy metals ions in solution [20].
As shown in Figure 7, at different temperatures the adsorption capacity has only a tiny variety. Pb adsorption showed a trend of increasing, whereas it was not for Cd. An increasing trend suggested that increased temperatures provided heavy metals sufficient energy to overcome the diffused double layer and adsorb onto biochar’s interior structure [32].
Figure 7.
Temperature effect of biochar (BC600) for Pb and Cd.
3.5. Adsorption Kinetics
The adsorption kinetics were illustrated in Figure 8 and the parameters were listed in Table 4. The R2 value could reflect the correlation of variables and further reflect the fitting effect of equation. For Pb and Cd, R2 value for PFO were 0.988 and 0.987, respectively. For both heavy metals, the adsorption of corn stalk biochar reached equilibrium in first 10 min, which were faster than biochars made from other biomasses (20–60 min) [33]. PFO fitting results of both heavy metals were better than PSO, indicating that the corn stalk biochar adsorption followed the pseudo-first order kinetic process (Figure 8). Nevertheless, PFO and PSO both have good fitting effect, suggesting that partial complexation and physico-chemical adsorption may control the whole adsorption process [34].
Figure 8.
The kinetic model fitting for biochar adsorption (BC600).
Table 4.
PFO and PSO model parameters for biochar adsorption (BC600).
The IPD model used for fitting kinetics data was aimed to determine whether intra-particle diffusion was the rate-limiting step (Figure 9) [35]. This model divided the adsorption process into three stages: external diffusion, intra-mat diffusion and internal diffusion. In this study, the plot did not pass through the origin, instead, two linear portions were obtained. This result indicated that more than two steps control the adsorption process [36]. The first stage was intraparticle diffusion or external diffusion. In the second step, the diffusion was nearly still, which corresponds to the equilibrium stage.
Figure 9.
IPD model fitting for biochar adsorption (BC600).
3.6. Adsorption Isotherms
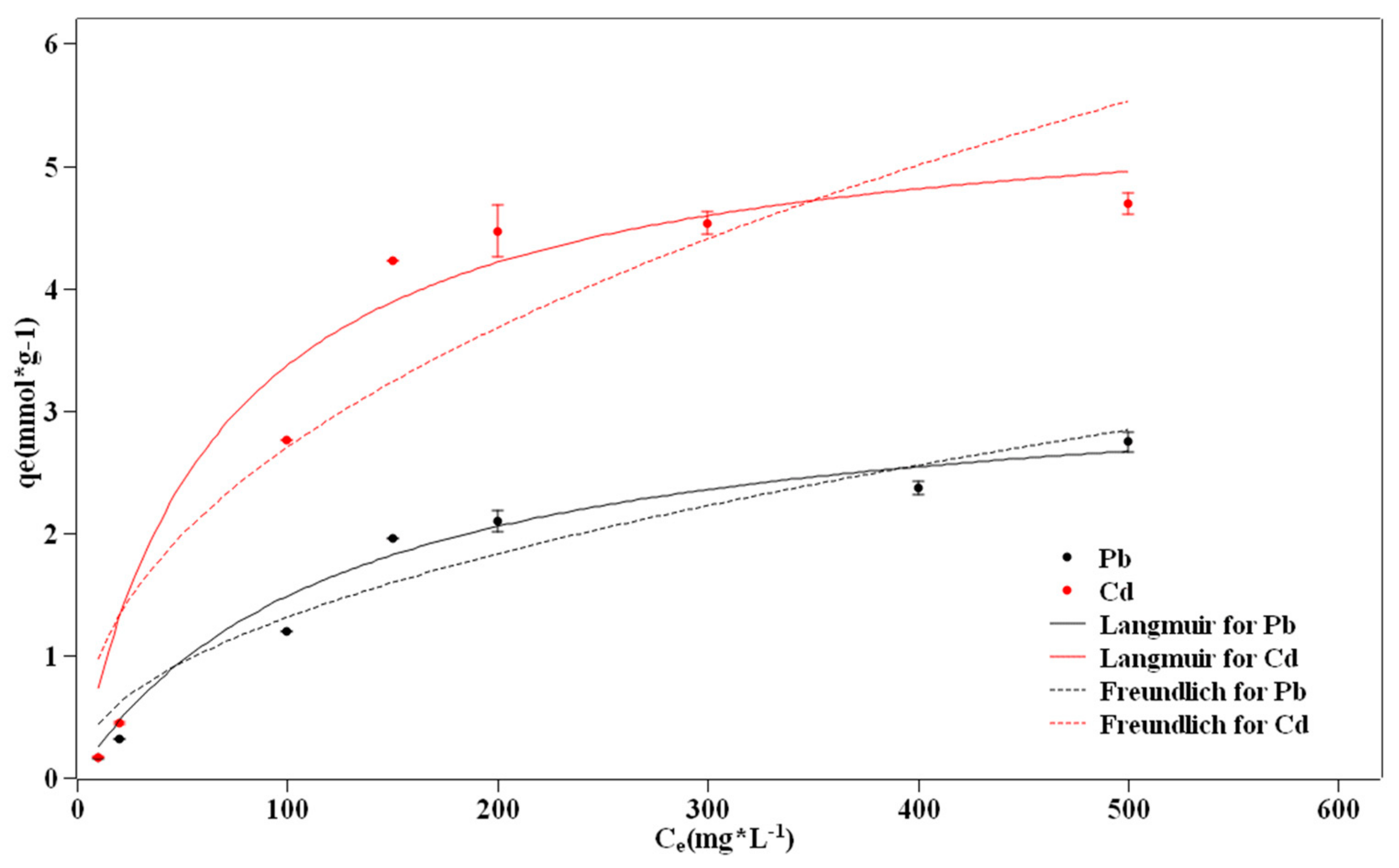
The Langmuir and Freundlich were fitted to the adsorption data (Figure 10). Contrast to Freundlish, the Langmuir model had a better fitting effect since the Langmuir model had a higher R2 value on both pollution heavy metals (Table 5). Therefore, the biochar adsorption process can be described with the Langmuir model. By using the Langmuir model, the Qmax for Cd and Pb were 5.613 mmol/g and 3.334 mmol/g, respectively, indicating that the corn stalk biochar had high efficiency to remove both metals.
Figure 10.
Adsorption isotherms of biochar (BC600) for Pb and Cd.
Table 5.
Langmuir and Freundlich model parameters for adsorption isotherms.
3.7. Possible Mechanisms
Consistent with biochar made from other materials, interstitial adsorption is a typical method due to its porous structure. It is suggested that ion exchange between the biochar and heavy metals is the dominant mechanism [37]. Studies have reported that compounds with phenol groups are able to replace protons with metals, resulting in the improvement of adsorption capacity [38]. Regarding the corn stalk biochar, the element analysis verified the improvement of aromaticity and the existence of phenol groups or hydroxyl groups were confirmed by XPS and FT-IR results. Furthermore, adsorption facilitated by carboxyl was another important mechanism. The –COOH functional groups on biochar surface may bond to heavy metals and stick to the biochar [39]. In accordance with this, XPS demonstrated the decreasing –COOH ratio (from 19.6% to 2.9% for Pb and to 3.18% for Cd) in the current study. Overall, these functional groups provided important adsorption sites.
The pH value was a key factor governing the adsorption performance. A higher pH value could increase the negative charge density of adsorbent so that cation adsorption capacity increased [40]. This was reflected with Zeta potential. In most cases, adsorption was conducted in neutral pH, while at this pH the Zeta potential was negative (−22.5 mv). Thus, at a neutral or higher pH value, biochar became negatively charged with a stronger electrostatic attraction [20]. This mechanism may explain the improved adsorption capacity at a higher pH value [40].
4. Conclusions
In summary, this study revealed the adsorption characteristics of biochar for Pb and Cd by the materials characterization and batch experiments. The main conclusions of the study are the following:
- The adsorption capacity of biochar was high compared to biochar made from other biomasses. According to the adsorbent dosage experiment, the adsorption rate of 0.3 mg/L of biochar reached 60% and 88% for Pb and Cd, respectively, suggesting its good application potential.
- The effects of pH value, ionic strength, and temperature on the removal efficiency were unraveled. Due to the electrostatic attraction, the adsorption capacity improved with the increase of pH value. The background ionic strength caused the adsorption capacity to decrease while the higher temperature could slightly increase the capacity.
- Material characterization revealed possible mechanisms for biochar, and porous structure and functional groups promoted the heavy metals adsorption together. XPS and element ratio analysis indicated that carbon functional group’s reaction was an important adsorption mechanism.
- The kinetic and adsorption isotherm processes were clarified. The PFO model can fit the adsorption data better, and the IPD model showed that more than two steps control the adsorption process. The adsorption process can be described with the Langmuir model.
Overall, this study provided clear evidence for the potential of corn stalk biochar for remediating metal contamination in water. Thus, it is an emerging solution to solve the heavy metals pollution in water environment.
Author Contributions
Conceptualization: J.G. and T.Y.; Formal analysis: S.Y. and W.Y.; Funding acquisition: J.G.; Investigation: S.Y. and T.Y.; Methodology: S.Y. and T.Y.; Supervision: J.G. and Q.L.; Writing—original draft: S.Y. and W.Y.; Writing—review and editing: All authors. All authors have read and agreed to the published version of the manuscript.
Funding
This paper was granted by Key laboratory of Degraded and Unused Land Consolidation Engineering, the Ministry of Natural and Resources (Grant No. SXDJ2019 -06), National Natural Science Foundation of China (Nos. 42007128) and Fundamental Research Funds for the Central Universities (2021QNPY85).
Institutional Review Board Statement
Not applicable.
Informed Consent Statement
Not applicable.
Conflicts of Interest
The authors declare no conflict of interest.
References
- Zhang, Y.; Chu, C.; Li, T.; Xu, S.; Liu, L.; Ju, M. A water quality management strategy for regionally protected water through health risk assessment and spatial distribution of heavy metal pollution in 3 marine reserves. Sci. Total Environ. 2017, 599, 721–731. [Google Scholar] [CrossRef] [PubMed]
- Zhang, W.; Yu, L.; Hutchinson, S.; Xu, S.; Chen, Z.; Gao, X. China’s Yangtze Estuary: I. Geomorphic influence on heavy metal accumulation in intertidal sediments. Geomorphology 2001, 41, 195–205. [Google Scholar] [CrossRef]
- Wang, Y.S.; Fang, P. Analysis of the impact of heavy metal on the Chinese aquaculture and the ecological hazard. AER-Adv. Eng. Res. 2016, 75, 42–47. [Google Scholar]
- Cui, L.; Noerpel, M.R.; Scheckel, K.G.; Ippolito, J.A. Wheat straw biochar reduces environmental cadmium bioavailability. Environ. Int. 2019, 126, 69–75. [Google Scholar] [CrossRef] [PubMed]
- Zhang, X.; Yang, L.; Li, Y.; Li, H.; Wang, W.; Ye, B. Impacts of lead/zinc mining and smelting on the environment and human health in China. Environ. Monit. Assess. 2012, 184, 2261–2273. [Google Scholar] [CrossRef] [PubMed]
- Peng, C.; Zhang, K.; Wang, M.; Wan, X.; Chen, W. Estimation of the accumulation rates and health risks of heavy metals in residential soils of three metropolitan cities in China. J. Environ. Sci. 2022, 115, 149–161. [Google Scholar] [CrossRef] [PubMed]
- Kim, S.; Chu, K.H.; Al-Hamadani, Y.A.; Park, C.M.; Jang, M.; Kim, D.-H.; Yu, M.; Heo, J.; Yoon, Y. Removal of contaminants of emerging concern by membranes in water and wastewater: A review. Chem. Eng. J. 2018, 335, 896–914. [Google Scholar] [CrossRef]
- Al-Qodah, Z.; Al-Shannag, M. Heavy metal ions removal from wastewater using electrocoagulation processes: A comprehensive review. Sep. Sci. Technol. 2017, 52, 2649–2676. [Google Scholar] [CrossRef]
- Ayangbenro, A.S.; Babalola, O.O. A new strategy for heavy metal polluted environments: A review of microbial biosorbents. Int. J. Environ. Res. Public Health 2017, 14, 94. [Google Scholar] [CrossRef]
- Farhan, A.M.; Salem, N.M.; Al-Dujaili, A.H.; Awwad, A.M. Biosorption studies of Cr(VI) ions from electroplating wastewater by walnut shell powder. Am. J. Environ. Eng. 2012, 2, 8. [Google Scholar] [CrossRef] [Green Version]
- Joseph, L.; Jun, B.-M.; Flora, J.R.; Park, C.M.; Yoon, Y. Removal of heavy metals from water sources in the developing world using low-cost materials: A review. Chemosphere 2019, 229, 142–159. [Google Scholar] [CrossRef] [PubMed]
- Fiyadh, S.S.; AlSaadi, M.A.; Jaafar, W.Z.; AlOmar, M.K.; Fayaed, S.S.; Mohd, N.S.; Hin, L.S.; El-Shafie, A. Review on heavy metal adsorption processes by carbon nanotubes. J. Clean. Prod. 2019, 230, 783–793. [Google Scholar] [CrossRef]
- Paz-Ferreiro, J.; Lu, H.; Fu, S.; Méndez, A.; Gascó, G. Use of phytoremediation and biochar to remediate heavy metal polluted soils: A review. Solid Earth 2014, 5, 65–75. [Google Scholar] [CrossRef] [Green Version]
- Tan, X.F.; Liu, S.-B.; Liu, Y.-G.; Gu, Y.-L.; Zeng, G.-M.; Hu, X.-J.; Wang, X.; Liu, S.-H.; Jiang, L.-H. Biochar as potential sustainable precursors for activated carbon production: Multiple applications in environmental protection and energy storage. Bioresour. Technol. 2017, 227, 359–372. [Google Scholar] [CrossRef] [PubMed]
- Shyam, S.; Arun, J.; Gopinath, K.P.; Ribhu, G.; Ashish, M.; Ajay, S. Biomass as source for hydrochar and biochar production to recover phosphates from wastewater: A review on challenges, commercialization, and future perspectives. Chemosphere 2021, 286, 131490. [Google Scholar] [CrossRef]
- Kazak, O.; Tor, A. In situ preparation of magnetic hydrochar by co-hydrothermal treatment of waste vinasse with red mud and its adsorption property for Pb(II) in aqueous solution. J. Hazard. Mater. 2020, 393, 122391. [Google Scholar] [CrossRef]
- Fan, S.; Li, H.; Wang, Y.; Wang, Z.; Tang, J.; Tang, J.; Li, X. Cadmium removal from aqueous solution by biochar obtained by co-pyrolysis of sewage sludge with tea waste. Res. Chem. Intermed. 2018, 44, 35–154. [Google Scholar] [CrossRef]
- Zhao, J.; Yang, X. Average Amount and Stability of Available Agro-Climate Resources in the Main Maize Cropping Regions in China during 1981–2010. J. Meteorol. Res. 2018, 32, 146–156. [Google Scholar] [CrossRef]
- Luo, Y.; Li, D. Preparation and Application of Porous Biomass Carbon from Corn Stalk. Heilongjiang Sci. 2021, 12, 44–45. [Google Scholar]
- Ding, Y.; Liu, Y.; Liu, S.; Li, Z.; Tan, X.; Huang, X.; Zeng, G.; Zhou, Y.; Zheng, B.; Cai, X. Competitive removal of Cd(II) and Pb(II) by biochars produced from water hyacinths: Performance and mechanism. RSC Adv. 2016, 6, 5223–5232. [Google Scholar] [CrossRef]
- Li, Q.; Yu, W.; Guo, L.; Wang, Y.; Zhao, S.; Zhou, L.; Jiang, X. Sorption of Sulfamethoxazole on Inorganic Acid Solution-Etched Biochar Derived from Alfalfa. Materials 2021, 14, 1033. [Google Scholar] [CrossRef] [PubMed]
- Tang, L.; Yang, G.-D.; Zeng, G.-M.; Cai, Y.; Li, S.-S.; Zhou, Y.; Pang, Y.; Liu, Y.-Y.; Zhang, Y.; Luna, B. Synergistic effect of iron doped ordered mesoporous carbon on adsorption-coupled reduction of hexavalent chromium and the relative mechanism study. Chem. Eng. J. 2014, 239, 114–122. [Google Scholar] [CrossRef]
- Salehi, E.; Askari, M.; Velashjerdi, M.; Arab, B. Phosphoric acid-treated Spent Tea Residue Biochar for Wastewater Decoloring: Batch Adsorption Study and Process Intensification using Multivariate Data-based Optimization. Chem. Eng. Process 2020, 158, 108170. [Google Scholar] [CrossRef]
- Chen, X.; Chen, G.; Chen, L.; Chen, Y.; Lehmann, J.; McBride, M.B.; Hay, A.G. Adsorption of copper and zinc by biochars produced from pyrolysis of hardwood and corn straw in aqueous solution. Bioresour. Technol. 2011, 102, 8877–8884. [Google Scholar] [CrossRef] [PubMed]
- Behr, J.; Hellwig, P.; Mäntele, A.W.; Michel, H. Redox dependent changes at the heme propionates in cytochrome c oxidase from Paracoccus denitrificans: Direct evidence from FTIR difference spectroscopy in combination with heme propionate 13C labeling. Biochemistry 1998, 37, 7400–7406. [Google Scholar] [CrossRef] [PubMed]
- McBeath, A.V.; Smernik, R.J.; Schneider, M.P.; Schmidt, M.W.; Plant, E.L. Determination of the aromaticity and the degree of aromatic condensation of a thermosequence of wood charcoal using NMR. Org. Geochem. 2011, 42, 1194–1202. [Google Scholar] [CrossRef]
- Novak, J.M.; Lima, I.; Xing, B.; Gaskin, J.W.; Steiner, C.; Das, K.C.; Ahmedna, M.; Rehrah, D.; Watts, D.W.; Busscher, W.J.; et al. Characterization of designer biochar produced at different temperatures and their effects on a loamy sand. Ann. Environ. Sci. 2009, 3, 195–206. [Google Scholar]
- Carrier, M.; Hugo, T.; Gorgens, J.; Knoetze, H. Comparison of slow and vacuum pyrolysis of sugar cane bagasse. J. Anal. Appl. Pyrolysis 2010, 90, 18–26. [Google Scholar] [CrossRef]
- Cao, X.; Harris, W. Properties of dairy-manure-derived biochar pertinent to its potential use in remediation. Bioresour. Technol. 2010, 101, 5222–5228. [Google Scholar] [CrossRef] [PubMed]
- Channa, A.M.; Baytak, S.; Memon, S.Q.; Talpur, M.Y. Equilibrium, kinetic and thermodynamic studies of removal of phenol from aqueous solution using surface engineered chemistry. Heliyon 2019, 5, e01852. [Google Scholar] [CrossRef] [PubMed] [Green Version]
- Yang, B.Y.; Cao, Y.; Qi, F.F.; Li, X.Q.; Xu, Q. Atrazine adsorption removal with nylon6/ polypyrrole core-shell nanofibers mat: Possible mechanism and characteristics. Nanoscale Res. Lett. 2015, 10, 207. [Google Scholar] [CrossRef] [PubMed] [Green Version]
- Liu, Z.; Zhang, F.-S. Removal of lead from water using biochars prepared from hydrothermal liquefaction of biomass. J. Hazard. Mater. 2009, 167, 933–939. [Google Scholar] [CrossRef] [PubMed]
- Beni, A.A.; Esmaeili, A. Biosorption, an efficient method for removing heavy metals from industrial effluents: A Review. Environ. Technol. Innov. 2020, 17, 100503. [Google Scholar] [CrossRef]
- Malik, R.; Dahiya, S. An experimental and quantum chemical study of removal of utmostly quantified heavy metals in wastewater using coconut husk: A novel approach to mechanism. Int. J. Biol. Macromol. 2017, 98, 139–149. [Google Scholar] [CrossRef] [PubMed]
- Taqvi, S.; Hasany, S.M. Sorption profile of Cd(II) ions onto beach sand from aqueous solutions. Main Group Met. Chem. 2011, 141, 37–44. [Google Scholar]
- Min, M.; Shen, L.; Hong, G.; Zhu, M.; Zhang, Y.; Wang, X.; Chen, Y.; Hsiao, B.S. Micro-nano structure poly(ether sulfones)/poly(ethyleneimine) nanofibrous affinity membranes for adsorption of anionic dyes and heavy metal ions in aqueous solution. Chem. Eng. J. 2012, 197, 88–100. [Google Scholar] [CrossRef]
- Chen, H.; Zhao, J.; Dai, G.; Wu, J.; Yan, H. Adsorption characteristics of Pb(II) from aqueous solution onto a natural biosorbent, fallen Cinnamomum camphora leaves. Desalination 2010, 262, 174–182. [Google Scholar] [CrossRef]
- Božić, D.; Stanković, V.; Gorgievski, M.; Bogdanović, G.; Kovačević, R. Adsorption of heavy metal ions by sawdust of deciduous trees. J. Hazard. Mater. 2009, 171, 684–692. [Google Scholar] [CrossRef] [PubMed]
- Mohan, D.; Kumar, H.; Sarswat, A.; Alexandre-Franco, M.; Pittman, C.U., Jr. Cadmium and lead remediation using magnetic oak wood and oak bark fast pyrolysis bio-chars. Chem. Eng. J. 2014, 236, 513–528. [Google Scholar] [CrossRef]
- Singha, B.; Das, S.K. Adsorptive removal of Cu(II) from aqueous solution and industrial effluent using natural/agricultural wastes. Colloids Surf. B Biointerfaces 2013, 107, 7–106. [Google Scholar] [CrossRef] [PubMed]
Publisher’s Note: MDPI stays neutral with regard to jurisdictional claims in published maps and institutional affiliations. |
© 2022 by the authors. Licensee MDPI, Basel, Switzerland. This article is an open access article distributed under the terms and conditions of the Creative Commons Attribution (CC BY) license (https://creativecommons.org/licenses/by/4.0/).









