Next Article in Journal
Simultaneous Quantification of a Neoadjuvant Treatment Used in Locally Advanced Breast Cancer Using an Eco-Friendly UPLC-MS/MS Method: A Pharmacokinetic Study in Rat Plasma
Previous Article in Journal
Preparation and Application of Graphene–Based Materials for Heavy Metal Removal in Tobacco Industry: A Review
 
 
Font Type:
Arial Georgia Verdana
Font Size:
Aa Aa Aa
Line Spacing:
Column Width:
Background:
Article

Effects of Temperature on the Leaching Behavior of Pb from Cement Stabilization/Solidification-Treated Contaminated Soil

1
State Key Laboratory of Geomechanics and Geotechnical Engineering, Institute of Rock and Soil Mechanics, Chinese Academy of Sciences, Wuhan 430071, China
2
CCCC Second Highway Consultants Co., Ltd., Wuhan 430056, China
3
School of Civil Engineering and Architecture, Hubei University of Arts and Science, Xiangyang 441053, China
4
China Railway Shanghai Design Institute Group Co., Ltd., Shanghai 200070, China
*
Author to whom correspondence should be addressed.
Separations 2022, 9(12), 402; https://doi.org/10.3390/separations9120402
Submission received: 10 November 2022 / Revised: 23 November 2022 / Accepted: 28 November 2022 / Published: 1 December 2022

Abstract

Solidification/stabilization (S/S) is one of the most widely used techniques in the disposal of heavy-metal-contaminated soil, though the long-term effectiveness of S/S technology remains implicit. Temperature is an important factor affecting the leaching behavior of heavy metals and the long-term effectiveness of S/S treatment. This study systematically explored the influence of temperature on the leaching behavior of lead in an S/S monolith through semi-dynamic leaching test at different temperatures. The results showed that an increase in temperature could accelerate the leaching concentration and cumulative leaching amount of lead ions in the S/S monolith. The cumulative leaching amount of lead ions in the S/S monolith after 11 days at 55 °C was about 5.8 times that at 25 °C. The leaching rate of lead ions in the S/S monolith increased with the increase in temperature. The leaching index of lead ions was larger than 9, which met the requirements for “controlled utilization” in the environment. The leaching mechanism of lead ions was diffusion control and did not change in the temperature range of 25–55 °C. These findings indicate that temperature affects the leaching behavior and the long-term effectiveness of S/S treatment, and temperature variation should be considered in the effectiveness evaluation of S/S treatment.

1. Introduction

The problem of soil heavy-metal pollution in China has seriously threatened environmental safety and human health [1,2]. In recent years, due to the government’s emphasis on and people’s increased awareness of environmental protection, soil remediation in China has made rapid progress, and a large number of polluted sites have been remediated [3]. Stabilization/solidification (S/S) is a popular method for the treatment of heavy-metal-contaminated soil, involving chemical stabilization and physical encapsulation using cementitious or pozzolanic materials as a binder [4]. S/S is one of the most popular technologies for soil remediation, defined as one of the best demonstrated available technologies (BDATs) [5], and it has been widely used in U.S. superfund projects [3,6]. Similarly, S/S technology is widely used and burgeoning in the contaminated soil remediation market in China, and it has been reported that S/S treatment accounted for nearly 48.5% of the total contaminated-site remediation market during the period 2017–2018 [7]. However, some countries, such as Denmark and South Korea, have rejected this technology due to the uncertainty of its long-term performance and durability [7]. The long-term effectiveness of S/S treatment technology has been a concern of scholars for a considerable time [4,8,9]. Exploring the long-term leaching behavior of heavy metals from S/S monoliths at different temperatures is of great significance for evaluating the long-term effectiveness of S/S treatment.
Leachability is the key index for evaluating the long-term effectiveness of S/S monoliths. There are many ways to evaluate the long-term performance of S/S monoliths, such as long-term in situ monitoring, rainfall simulation acceleration, and dry–wet cycles [10]. Many studies have focused on exploring the leaching behavior of heavy metals in S/S products under different environments, such as pH and salt-leaching solutions [11,12]. This research showed that the pH is an important factor affecting the leaching behavior and effectiveness of S/S-treated heavy-metal-contaminated soil [11]. The smaller the pH, the faster the release of heavy-metal ions in the S/S monolith [11,13]. Many models have been established to describe the migration and leaching behavior of pollutants from S/S monoliths [9,12,14,15]. The most widely used of these are the diffusion model and the series of modified models based on the improvement of the diffusion model [10]. The leaching process of heavy metals in S/S monoliths is mainly controlled by diffusion, dissolution, and surface washing [8,16]. The main influencing factors in the leaching process include external factors and internal factors. The internal factors include pollutant type, concentration, curing agent, and pore structure, and the external factors mainly include pH, redox potential, temperature, and other environmental conditions [8,9].
Temperature has a great influence on the mineral composition, microstructure, and leaching behavior of S/S monoliths, and it is also an important factor affecting the properties and effectiveness of the S/S treatment and the release of pollutants [17,18]. In particular, extremely high temperatures occur in many parts of the world, including China in 2022. The temperature in many areas and cities is in the range of 40 to 50 °C, which seriously affects the durability and leachability of S/S monoliths. It was found that temperature is the main factor affecting the leaching of copper ions from S/S monoliths [19]. The change in temperature affects the ion movement frequency and chemical reaction rate, thus accelerating the ion migration and diffusion rate in the leaching system, and ultimately changing the ion-leaching kinetic process [20]. Batch leaching tests at different temperatures showed that an increase in temperature accelerated the hydration reaction of cementitious materials, thus reducing the leaching concentration of heavy metals [21]. However, few studies have been conducted on the migration and release behavior of heavy metals in S/S monoliths at different temperatures. Several studies have used batch leaching tests to compare the changes in heavy-metal-leaching capacity across different time periods, but there remains a lack of research on the changes in leaching behavior caused by temperature. Semi-dynamic leaching tests can provide abundant information on the leaching kinetics during the release of heavy metals from S/S products compared with batch tests, including the pollutant concentration, leaching amount, effective diffusion coefficient, and leaching mechanism [22].
In order to explore the leaching behavior and leaching mechanism of the heavy-metal release from an S/S monolith at different temperatures, the long-term semi-dynamic leaching test at temperature ranged from 20 to 55 °C were carried out in this study. The influence of temperature on the leaching behavior of lead ions in the S/S monolith was analyzed. Additionally, the influence of temperature on the leaching mechanism of the S/S monolith and the migration of heavy metals was explored. The results can provide a reference for the long-term evaluation and accelerated testing of the S/S remediation of heavy-metal-contaminated sites.

2. Materials and Methods

2.1. Materials

In this study, we used artificially prepared heavy-metal-contaminated soil. The test soil was taken from Wuhan City (30°37′16.82″ N, 114°14′58.16″ E), Hubei Province. The clay was a silty clay, and its physical and mechanical properties are shown in Table 1. The clay minerals were determined by X-ray diffraction (XRD) using a D8 Advance X-ray diffractometer, and the main mineral components were found to be montmorillonite, kaolinite, silicon dioxide, and feldspar. The physical and mechanical testing of the clay was based on the Chinese standard for geotechnical test methods (GB/T50123-2019), and the compaction test used the light compaction method.

2.2. Preparation of Pb-Contaminated Soil and S/S Samples

The detailed preparation processes for the lead-contaminated soil and the associated S/S treatment can be found in previous papers [12,23]. Briefly, we added a certain amount of Pb solution to pre-air-dried and sieved clay to obtain the artificially prepared Pb-contaminated soil with a moisture content of 19.5% and a Pb content of 5000 mg/kg. Then, 20% (w/w) cement was mixed with the Pb-contaminated soil, and the mixture was then placed into a blender and stirred evenly. After mixing well, distilled water was added to ensure the water content of the mixture was 19.5%. S/S samples were prepared by the static pressure method, which compacted a certain amount of mixture into a specific mold with a jack to obtain the designed sample. The compaction degree was pre-set at 0.98. S/S samples for the unconfined compressive strength (UCS) test were prepared as cylindrical samples with a size of Φ39.1 × 80 mm. After S/S samples were prepared, the demolded samples were cured for 7 days under standard curing conditions (20 ± 2 °C, 95% humidity) before experiments.

2.3. Semi-Dynamic Leaching Test at Elevated Temperature

The semi-dynamic leaching test, during which the leachant samples were replaced according to a pre-designed schedule, provided detailed information regarding the leaching behavior of the constituents from the S/S monolith. The leaching test was based on the American standard ASTM C1308 (C1308 2008) [24], and the replacement schedule was as follows: 2 h, 7 h, 1 day, 2 days, 3 days, 4 days, 5 days, 6 days, 7 days, 8 days, 9 days, 10 days, and 11 days. The ratio of leachant volume to sample surface area (V/S) was (10 ± 0.2) cm. It was calculated that the leachant volume was 1222 mL based on the surface area of the sample (122.2 cm2). The semi-dynamic leaching tests were conducted using equipment designed by our team, including a kettle, whose temperature could be accurately controlled. The S/S sample was placed into the kettle, and 1222 mL distilled water was added to the kettle. The leachate in the kettle was replaced according to the specified schedule mentioned above. The temperature of the kettle for different semi-dynamic leaching tests was set at 25, 40, and 55 °C. The other group of long-term leaching test samples were prepared and tested under the same conditions as the short-term test, except that the ambient temperature was controlled at 20 °C. The difference was that the leachate of the long-term test was replaced and collected according to the following schedule: 6 h, 1 day, 2 days, 3 days, 4 days, 5 days, 19 days 47 days, 90 days, 150 days, 210 days, 270 days, 360 days, 450 days, 540 days, 630 days, and 720 days. This represented an extension of the American Nuclear Society’s ANS 16.1 leaching test. All the leachate samples were collected after each test, filtered with a 0.45 μm microporous membrane, and acidified for the measurement of Pb concentration. Additionally, the microwave-assisted digestion method was used to digest the prepared contaminated soil and the S/S products, and the total Pb content in the samples was calculated based on the determined concentration. Finally, an Agient 7700 inductively coupled plasma-source mass spectrometer (ICP-MS) was used to determine the Pb concentration in the collected leachate.

2.4. Diffusion Theory for Semi-Dynamic Leaching Test

It has been reported that the release of heavy metals from cement-based monoliths is mostly controlled by diffusion, which is determined based on Fick’s second law [12,25]. According to this theory, the effective diffusion coefficient was calculated using Equation (1).
D e = π [ ( a n / A 0 ) ( Δ t ) n ] 2 ( V S ) 2 T
where an is the contaminant loss (mg) during the leaching period with subscript n, A0 is the initial amount of contaminant existing in the specimen (mg), V is the specimen volume (cm3), S is the surface area of the specimen (cm2), (Δt)n is the duration of the leaching period in seconds, and T is the time elapsed up to the middle of the leaching period n (s). T could be determined by Equation (2).
T = [ 1 / 2 ( t n 1 / 2 + t n 1 1 / 2 ) ] 2
where tn is the total leaching time of the leaching period n.
The leachability index (LX) is defined by Equation (3).
LX = ( 1 / n ) 1 n [ log ( β / D e ) ]
where β = 1 cm2/s.
The type of leaching mechanism that controlled the release of Pb could be determined based on the slope values of the logarithm of cumulative fraction release (log(Bt)) and the logarithm of time (log(t)) [26]. If diffusion is the dominant mechanism, the theory suggests the following relationship:
log ( B t ) = 1 2 log ( t ) + log [ U max d D e π ]
where De is the effective diffusion coefficient (m2/s) for component x (lead in this study), Bt is the cumulative maximum release of component x (mg/m2), t is the contact time (s), Umax is the maximum leachable quantity (mg/kg), and d is the bulk density of the S/S product (kg/m3).

3. Results and Discussion

3.1. Effect of Temperature on Lead Ion Leaching

The environmental leaching of heavy-metal ions is a slow and lengthy process after the treatment of contaminated soil by cement solidification/stabilization. Heavy metals are mainly leached out from S/S monoliths through diffusion. The leaching rate of heavy metals is directly related to the ambient temperature, so an increase in temperature can accelerate the leaching process of heavy metals [9,27].
The concentrations of lead in the leachate samples of the S/S monolith from the semi-dynamic leaching test at different temperatures are shown in Figure 1. It can be seen that an increase in temperature significantly increased the cumulative leaching amount of lead from the S/S monolith. The leaching concentration of lead increased significantly with an increase in temperature, and the leaching concentration at 55 °C was about an order of magnitude higher than that at 25 °C. The concentration of lead ions declined slowly and then increased in the early stages of the semi-dynamic leaching test. This was mainly due to the uncertain replacement time of the leaching solution in the initial stages of the test, and the comprehensive influence of the mineral composition on the surface of the S/S monolith and the dissolution and diffusion of pollutants [8,9]. After 1 day of leaching, the concentration of heavy metals in the leaching solution showed a slow decreasing trend as the replacement time of the leachant became regular. This phenomenon was mainly attributed to the fact that the leaching of lead ions in S/S monoliths is mainly controlled by diffusion [9,28]. The concentration of lead ions in the S/S monolith was relatively high, and the diffusion and migration rate was high during the early stages of the experiment. Though the concentration in the leachate fluctuated with time, the concentration and release rate of lead ions in the leaching solution decreased with leaching time. The results of the semi-dynamic leaching test were consistent with those reported in the relevant literature [17,29]. The increase in temperature increased the movement and migration rate of ions.
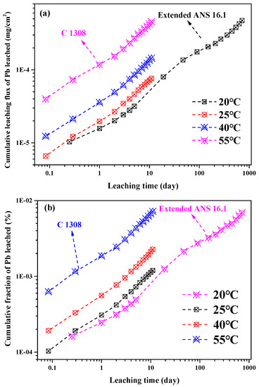
The leaching flux refers to the release rate of heavy-metal ions from the surface of the S/S monolith during the leaching test. The comparison of the test results for short-term accelerated leaching and long-term leaching is shown in Figure 2. It can be seen from the figure that at 25 °C, 40 °C, and 55 °C, the 11-day leaching fluxes of lead ions in the cured body were 7.62 × 10−5, 1.45 × 10−4, and 4.58 × 10−4 mg/cm2, respectively. The cumulative leaching flux of lead ions in the S/S monolith kept at 20℃ for two years was 4.75 × 10−4 mg/cm2. The cumulative leaching fractions (calculated according to the total lead content of the S/S monolith) for the 11-day experiments at 25 °C, 40 °C, and 55 °C were 1.19 × 10−5, 2.27 × 10−5, and 7.18 ×10−5 mg/cm2, respectively. The leaching fraction of lead ions in the S/S monolith kept at 20 °C for two years was 6.94 ×10−5 mg/cm2. The cumulative leaching amount at 55 °C for 11 days was 5.81 times that at 25 °C, and the cumulative leaching amount at 20 °C for 720 days was 7.01 times that at 25 °C. Although the duration of the long-term leaching experiment was about 65 times that of the short-term test, the leaching behavior of the tests conducted at different temperatures was similar to that of the long-term tests.

3.2. Mobility of Pb at Elevated Temperatures

The effective diffusion coefficient De represents the mobility of heavy-metal ions in the S/S monolith in a specific environment, according to Equation (1). The higher the effective diffusion coefficient, the greater the leaching risk. De directly represents the effectiveness of S/S-treated heavy-metal-contaminated soil. Therefore, the effective diffusion coefficient was used to evaluate the remediation of heavy-metal-contaminated soil after solidification/stabilization.
As presented in Figure 3, the effective diffusion coefficients of the S/S monolith at 25 °C, 40 °C, and 55 °C were 8.38 × 10−17, 3.23 × 10−16, and 3.22× 10−15 cm2/s, respectively. The results showed that the leaching and release rate of lead ions in the S/S monolith increased significantly with an increase in the ambient temperature. The increase in the leaching index and the decrease in the effective diffusion coefficient indicated that the mobility of lead ions in the S/S monolith was enhanced. The movement and leaching rate of lead from the S/S monolith increased with the increase in ambient temperature. The equilibrium concentration during the leaching process increased, thus intensifying the accelerated leaching process of heavy metals from the S/S monolith [9,30]. As the temperature increased from 25 °C to 55 °C, the effective diffusion coefficient increased by about 40 times.
Extremely high temperatures occurred in many places in China in 2022, with the temperature in some areas reaching 40–50 °C. High-temperature environments significantly impact the effectiveness of treating heavy-metal-contaminated soil with S/S, and thus affect the disposal of remediated contaminated soil. According to the Canadian Environmental Protection Center, the leaching index (LX) can be used to evaluate the resource utilization of S/S-treated heavy-metal-contaminated soil. S/S monoliths are appropriate for controlled utilization under certain environmental conditions when the LX is greater than 9; landfill treatment is required when the LX is between 8 and 9. The leaching indexes under long-term leaching conditions at 20, 25, 40, and 55 °C were 16.44, 16.10, 15.54, and 14.54, respectively. The effective diffusion coefficient was mainly affected by the total amount of pollutants in the S/S monolith and the ambient temperature in the long-term leaching test. According to the leaching results, the LX of the solidified contaminated soil was greater than 9 under ambient temperatures ranging from 20 to 55 °C. The LX values obtained at different temperatures indicated that the S/S monolith was suitable for “controlled utilization” in the environment in a temperature range of 20 to 55 °C.

3.3. Leaching Mechanism at Elevated Temperatures

The controlled leaching mechanisms of heavy metals in specific environments could be determined according to the linear fitting slope after the logarithmic conversion of the accumulated leaching amount of heavy metals (mg/m2) and the leaching time in the semi-dynamic leaching tests. The fitting slopes represent different leaching mechanisms according to standard NEN 7375 (NEN 2004). The leaching mechanisms determined by the slope of the fitting curve logBt~logt and the evaluation criteria are shown in Table 2. When the logarithmic fitting curve slope for the cumulative leaching amount and leaching time is lower than 0.35, between 0.35 and 0.65, and greater than 0.65, the control mechanism for the leaching of heavy metals is surface wash-off, diffusion, and dissolution, respectively. Dissolution indicates that the rate of metal-ion leaching from the surface of the material exceeds the rate of heavy metal-ion leaching from the internal pores of the S/S monolith. During the dissolution process, the material is not exhausted before the end of the test [26].
The leaching mechanism of lead in the long-term semi-dynamic S/S monolith kept for 2 years under distilled water was controlled by diffusion [18]. The fitting results of the logarithmic curve of cumulative leaching amount and leaching time at different temperatures are shown in Figure 4. It can be seen from Figure 4 that the fitting results of the cumulative leaching amount and leaching time for lead ions in the S/S monolith at 25, 40, and 55 °C presented slopes of 0.49, 0.50, and 0.50, and the square of the correlation coefficient was 0.98783, 0.98911, and 0.99124 for the tests conducted at 25, 40, and 55 °C, respectively. According to the slope of the fitting curve, the leaching mechanism of lead ions was strictly controlled by diffusion in the temperature range of 25–55 °C. The leaching and release process of lead ions in the S/S monolith accelerated with the increase in temperature, but the leaching mechanism remained the same, which met the requirements of the acceleration test.

3.4. Variation in De in Leaching Tests at Different Temperatures

The diffusion model is widely used to predict the long-term leaching behavior of heavy metals from S/S monoliths. The effective diffusion coefficient is the key parameter for evaluating the long-term leaching behavior of heavy metals, and the average value of the effective diffusion coefficient across the whole leaching test is usually considered. The effective diffusion coefficients at different temperatures were calculated and are shown in Figure 5 and Table 3.
The results of the long-term leaching test showed that the effective diffusion coefficient of lead changed according to the leaching time and the leaching conditions across the different leaching stages, which differed substantially from the average value. This phenomenon could be attributed to the microstructure and the differences in the physical and chemical properties of the S/S monoliths [12]. In addition, cracks can also cause a significant increase in the effective diffusion coefficient of S/S monoliths [18].
It can be seen from Figure 5 that although the effective diffusion coefficient values differed according to the changes in temperature, the variation trend of lead leaching with t remained the same. However, the effective diffusion coefficient showed variation trends at different temperatures that different from the average value. The hydration products and microstructure of cement can vary, which may explain the variation in the lead diffusion coefficient under different temperatures. At the same time, different test replacement frequencies also affected the effective diffusion coefficient of the pollutants. More research should be conducted to investigate the variation in the effective diffusion coefficient of heavy metals from S/S monoliths, allowing the accurately quantification of the long-term leaching process of pollutants and the associated effectiveness of S/S treatment.
The results of the long- and short-term leaching tests at different temperatures indicated that the effective diffusion coefficient of heavy-metal leaching in the S/S monolith at different temperatures was time-dependent. Previous work has reported that the effective diffusion coefficient was affected by environmental erosion and the leaching of calcium ions [31,32]. The internal structure of S/S monoliths is damaged during long-term leaching experiments, and the formation and growth of internal microcracks accelerates the leaching rate of heavy-metal ions from the S/S monoliths. Therefore, it is necessary to monitor the ambient temperature and the leaching concentration of heavy metals for a considerable duration in the process of resource utilization. This would ensure long-term safety and avoid long-term environmental problems caused by the use of short-term leaching test assessment results.

4. Conclusions

Short-term (11-day) and long-term (720-day) semi-dynamic tests were carried out at different temperatures to investigate the leaching behavior and leaching mechanisms of Pb in S/S-treated contaminated soil. The effects of temperature on the leaching behavior of lead from the S/S monolith were analyzed. The main conclusions were as follows:
(1) The leaching of lead from the S/S monolith could be accelerated by an increase in temperature in the range of 25–55 °C. Higher temperatures could improve the leaching rate and the concentration of lead. The leaching concentration of lead in the leachate at 55 °C was about one order of magnitude higher than that of the leachate at 25 °C, and the cumulative leaching amount of lead the test conducted for 11 days at 55 °C was 5.81 times that at 25 °C.
(2) The effective diffusion coefficient and leaching index of heavy metals in the S/S products was significantly affected by the change in temperature. The leaching index of the S/S monolith was greater than 9 in the range of 25–55 °C, which met the requirements for resource utilization.
(3) The leaching rate of heavy metals in the S/S products was significantly accelerated by an increase in temperature. A temperature below 55 °C did not change the leaching mechanism of lead from the S/S monolith. Accelerated aging tests in the range of 25–55 °C are recommended for evaluating the long-term performance evolution of S/S treated contaminated soils.

Author Contributions

Conceptualization, P.W.; methodology, X.L.; software, G.Z.; validation, J.M.; formal analysis, F.X.; investigation, P.W.; resources, G.Z.; data curation, X.L.; writing—original draft preparation, P.W.; writing—review and editing, G.Z.; visualization, J.M.; supervision, F.X.; project administration, P.W. and G.Z.; funding acquisition, G.Z. All authors have read and agreed to the published version of the manuscript.

Funding

This research was funded by the Natural Science Foundation of China, grant number 42107185; the Natural Science Foundation of Hubei Province, grant number 2021CFB491; the Hubei superior and distinctive discipline group of “new energy vehicle and smart transportation”; the Open Fund for the Hubei Provincial Engineering Research Center of Slope Habitat Construction Technique Using Cement-based Materials, grant number 2022SNJ08; and the outstanding young and middle-aged scientific and technological innovation team of Hubei institutions of higher learning, grant number T2021019.

Institutional Review Board Statement

Not applicable.

Informed Consent Statement

Not applicable.

Data Availability Statement

The data that support the findings of this study are available on request from the corresponding authors.

Acknowledgments

The authors are sincerely thankful for the funding support.

Conflicts of Interest

The authors declare no conflict of interest.

References

  1. Yang, Q.Q.; Li, Z.Y.; Lu, X.N.; Duan, Q.N.; Huang, L.; Bi, J. A review of soil heavy metal pollution from industrial and agricultural regions in China: Pollution and risk assessment. Sci. Total. Environ. 2018, 642, 690–700. [Google Scholar] [CrossRef] [PubMed]
  2. Wang, P.; Chen, X.; Zeng, G.; Dong, Z.; Liu, S.; Zhang, X.; Wang, C. Long-term performance of cement-stabilized/solidified Pb-contaminated soil under simulated erosive environments. Water 2022, 14, 3314. [Google Scholar] [CrossRef]
  3. Shen, Z.; Jin, F.; O’Connor, D.; Hou, D.Y. Solidification/stabilization for soil remediation: An old technology with New Vitality. Environ. Sci. Technol. 2019, 53, 11615–11617. [Google Scholar] [CrossRef]
  4. Zhang, W.L.; Zhao, L.Y.; Yuan, Z.J.; Li, D.Q.; Morrison, L. Assessment of the long-term leaching characteristics of cement-slag stabilized/solidified contaminated sediment. Chemosphere 2020, 267, 128926. [Google Scholar] [CrossRef]
  5. Wuana, R.A.; Okieimen, F.E. Heavy Metals in Contaminated Soils: A Review of Sources, Chemistry, Risks and Best Available Strategies for Remediation. ISRN Ecol. 2011, 2011, 402647. [Google Scholar] [CrossRef]
  6. Conner, J.R.; Hoeffner, S.L. The history of stabilization/solidification technology. Crit. Rev. Environ. Sci. Technol. 1998, 28, 325–396. [Google Scholar] [CrossRef]
  7. Shen, Z.; Pan, S.Z.; Hou, D.Y.; O’Connor, D.; Jin, F.; Mo, L.W.; Xu, D.Y.; Zhang, Z.R.; Alessi, D.S. Temporal effect of MgO reactivity on the stabilization of lead contaminated soil. Environ. Int. 2019, 131, 104990. [Google Scholar] [CrossRef] [PubMed]
  8. Huang, X.; Xin, C.; Li, J.-S.; Wang, P.; Liao, S.; Poon, C.S.; Xue, Q. Using hazardous barium slag as a novel admixture for alkali activated slag cement. Cem. Concr. Compos. 2022, 125, 104332. [Google Scholar] [CrossRef]
  9. Zhang, W.J.; Lin, M.F. Influence of redox potential on leaching behavior of a solidified chromium contaminated soil. Sci. Total. Environ. 2020, 733, 139410. [Google Scholar] [CrossRef]
  10. Kogbara, R.B. A review of the mechanical and leaching performance of stabilized/solidified contaminated soils. Environ. Rev. 2014, 22, 66–86. [Google Scholar] [CrossRef]
  11. Wang, F.; Jin, F.; Shen, Z.T.; Al-Tabbaa, A. Three-year performance of in-situ mass stabilised contaminated site soils using MgO-bearing binders. J. Hazard. Mater. 2016, 318, 302–307. [Google Scholar] [CrossRef] [PubMed]
  12. Wang, P.; Xue, Q.; Li, J.S.; Zhang, T.T. Effects of pH on leaching behavior of compacted cement solidified/stabilized lead contaminated soil. Environ. Prog. Sustain. Energy 2016, 35, 149–155. [Google Scholar] [CrossRef]
  13. Xue, Q.; Wang, P.; Li, J.S.; Zhang, T.T.; Wang, S.Y. Investigation of the leaching behavior of lead in stabilized/solidified waste using a two-year semi-dynamic leaching test. Chemosphere 2017, 166, 1–7. [Google Scholar] [CrossRef] [PubMed]
  14. Du, Y.J.; Wei, M.L.; Reddy, K.R.; Liu, Z.P.; Jin, F. Effect of acid rain pH on leaching behavior of cement stabilized lead-contaminated soil. J. Hazard. Mater. 2014, 271, 131–140. [Google Scholar] [CrossRef] [PubMed]
  15. Chitambira, B.; Al-Tabbaa, A.; Perera, A.; Yu, X. The activation energy of stabilised/solidified contaminated soils. J. Hazard. Mater. 2007, 141, 422–429. [Google Scholar] [CrossRef] [PubMed]
  16. Wang, P.; Sun, Z.H.; Hu, Y.Y.; Cheng, H.F. Leaching of heavy metals from abandoned mine tailings brought by precipitation and the associated environmental impact. Sci. Total. Environ. 2019, 695, 133893. [Google Scholar] [CrossRef]
  17. Wei, M.L.; Li, Y.; Yu, B.W.; Liu, L.; Xue, Q.; Du, Y.J. Assessment of semi-dynamic leaching characteristics of lead and zinc from stabilized contaminated soil using sustainable phosphate-based binder after carbonation. J. Clean. Prod. 2022, 332, 130126. [Google Scholar] [CrossRef]
  18. Sur, I.M.; Micle, V.; Hegyi, A.; Lăzărescu, A.-V. Extraction of Metals from Polluted Soils by Bioleaching in Relation to Environmental Risk Assessment. Materials 2022, 15, 3973. [Google Scholar] [CrossRef]
  19. Damian, G.E.; Micle, V.; Sur, I.M. Mobilization of Cu and Pb from multi-metal contaminated soils by dissolved humic substances extracted from leonardite and factors affecting the process. J. Soils Sediments 2019, 19, 2869–2881. [Google Scholar] [CrossRef]
  20. Wang, G.R.; Liu, Y.Y.; Tong, L.L.; Jin, Z.N.; Chen, G.B.; Yang, H.Y. Effect of temperature on leaching behavior of copper minerals with different occurrence states in complex copper oxide ores. Trans. Nonferrous Met. Soc. China 2019, 29, 2192–2201. [Google Scholar] [CrossRef]
  21. Wu, C.B.; Li, B.S.; Yuan, C.F.; Ni, S.N.; Li, L.F. Recycling valuable metals from spent lithium-ion batteries by ammonium sulfite-reduction ammonia leaching. Waste Manag. 2019, 93, 153–161. [Google Scholar] [CrossRef] [PubMed]
  22. Wang, F.; Zhang, Y.H.; Shen, Z.T.; Pan, H.; Xu, J.; Al-Tabbaa, A. GMCs stabilized/solidified Pb/Zn contaminated soil under different curing temperature: Leachability and durability. Environ. Sci. Pollut. Res. Int. 2019, 26, 26963–26971. [Google Scholar] [CrossRef] [PubMed]
  23. Wang, F.; Shen, Z.T.; Liu, Y.Q.; Zhang, Y.H.; Xu, J.; Al-Tabbaa, A. GMCs stabilized/solidified Pb/Zn contaminated soil under different curing temperature: Physical and microstructural properties. Chemosphere 2020, 239, 124738. [Google Scholar] [CrossRef] [PubMed]
  24. Li, J.S.; Xue, Q.; Wang, P.; Li, Z.Z.; Liu, L. Effect of drying-wetting cycles on leaching behavior of cement solidified lead-contaminated soil. Chemosphere 2014, 117, 10–13. [Google Scholar] [CrossRef]
  25. ASTM C1308; Standard Test Method for Accelerated Leach Test for Diffusive Releases from Solidified Waste and a Computer Program to Model Diffusive, Fractional Leaching from Cylindrical Waste Forms. ASTM: West Conshohocken, PA, USA, 2008.
  26. Gao, W.; Ni, W.; Zhang, Y.Y.; Li, Y.Y.; Shi, T.Y.; Li, Z.F. Investigation into the semi-dynamic leaching characteristics of arsenic and antimony from solidified/stabilized tailings using metallurgical slag-based binders. J. Hazard. Mater. 2020, 381, 120992. [Google Scholar] [CrossRef] [PubMed]
  27. de Groot, G.; van der Sloot, H. Determination of leaching characteristics of waste materials leading to environmental product certification. In Stabilization and Solidification of Hazardous, Radioactive, and Mixed Wastes; ASTM International: West Conshohocken, PA, USA, 1992. [Google Scholar]
  28. Caviglia, C.; Destefanis, E.; Pastero, L.; Bernasconi, D.; Bonadiman, C.; Pavese, A. MSWI fly ash multiple washing: Kinetics of dissolution in water, as function of time, temperature and dilution. Minerals 2022, 12, 742. [Google Scholar] [CrossRef]
  29. Helser, J.; Vassilieva, E.; Cappuyns, V. Environmental and human health risk assessment of sulfidic mine waste: Bioaccessibility, leaching and mineralogy. J. Hazard. Mater. 2022, 424, 127313. [Google Scholar] [CrossRef]
  30. Rao, M.D.; Singh, K.K.; Morrison, C.A.; Love, J.B. Optimization of process parameters for the selective leaching of copper, nickel and isolation of gold from obsolete mobile phone PCBs. Clean. Eng. Technol. 2021, 4, 100180. [Google Scholar] [CrossRef]
  31. Yang, H.; Jiang, L.; Zhang, Y.; Pu, Q.; Xu, Y. Predicting the calcium leaching behavior of cement pastes in aggressive environments. Constr. Build. Mater. 2012, 29, 88–96. [Google Scholar] [CrossRef]
  32. Yang, H.; Jiang, L.; Zhang, Y.; Pu, Q.; Xu, Y. Concrete calcium leaching at variable temperature: Experimental data and numerical model inverse identification. Comput. Mater. Sci. 2010, 49, 35–45. [Google Scholar]
Figure 1. Results for leaching of Pb from S/S monolith at different temperatures: (a) Pb concentration in the leachate; (b) cumulative leaching amount of Pb.
Figure 1. Results for leaching of Pb from S/S monolith at different temperatures: (a) Pb concentration in the leachate; (b) cumulative leaching amount of Pb.
Separations 09 00402 g001
Figure 2. Short-term accelerated leaching versus long-term leaching: (a) cumulative leaching flux; (b) cumulative leaching fraction.
Figure 2. Short-term accelerated leaching versus long-term leaching: (a) cumulative leaching flux; (b) cumulative leaching fraction.
Separations 09 00402 g002
Figure 3. Leachability index and effective diffusion coefficients for the leaching tests conducted at different temperatures.
Figure 3. Leachability index and effective diffusion coefficients for the leaching tests conducted at different temperatures.
Separations 09 00402 g003
Figure 4. Fitting curves of leaching results under different temperatures.
Figure 4. Fitting curves of leaching results under different temperatures.
Separations 09 00402 g004
Figure 5. Effective diffusion coefficients of leaching tests at different temperatures.
Figure 5. Effective diffusion coefficients of leaching tests at different temperatures.
Separations 09 00402 g005
Table 1. Basic physical and mechanical properties of soil used in tests.
Table 1. Basic physical and mechanical properties of soil used in tests.
Water ContentNatural DensitySpecific GravityVoid RatioLiquid LimitPlastic LimitOptimum Moisture ContentGrain-Size Distribution /%Maximum Dry Density
SandSiltClay
20.78%1.89 g/cm32.720.7441.6%21.8%19.5%3.4562.2734.281.72 g/cm3
Table 2. Leaching mechanism determined by slope of fitting curve.
Table 2. Leaching mechanism determined by slope of fitting curve.
Slope kLeaching Mechanism
k < 0.35Surface wash-off
0.35 ≤ k ≤ 0.65Diffusion
k > 0.65Dissolution
Table 3. Variation in effective diffusion coefficient at different temperatures.
Table 3. Variation in effective diffusion coefficient at different temperatures.
Extended ANS 16.1C 1308
Time20 °CTime25 °C40 °C55 °C
DayDe (cm2/s)DayDe (cm2/s)De (cm2/s)De (cm2/s)
0.25 5.90 × 10−170.0837.20 × 10−172.50 × 10−162.66 × 10−15
1.00 1.62 × 10−170.296.84 × 10−171.69 × 10−162.45 × 10−15
2.00 1.52 × 10−1713.66 × 10−171.39 × 10−161.32 × 10−15
3.00 2.33 × 10−1724.05 × 10−171.44 × 10−161.06 × 10−15
4.00 2.56 × 10−1738.30 × 10−171.93 × 10−162.14 × 10−15
5.00 3.69 × 10−1745.60 × 10−173.29 × 10−163.23 × 10−15
19.00 7.19 × 10−1759.81 × 10−172.78 × 10−163.53 × 10−15
47.00 7.07 × 10−1761.32 × 10−162.85 × 10−164.05 × 10−15
90.00 3.11 × 10−1771.08 × 10−164.17 × 10−162.18 × 10−15
150.00 1.74 × 10−1788.74 × 10−173.27 × 10−164.18 × 10−15
210.00 1.32 × 10−1791.08 × 10−164.22 × 10−164.53 × 10−15
270.00 4.48 × 10−17109.23 × 10−177.16 × 10−164.13 × 10−15
360.00 2.76 × 10−17111.07 × 10−165.33 × 10−166.37 × 10−15
450.00 4.18 × 10−17
540.00 6.21 × 10−17
630.00 8.41 × 10−17
720.00 1.01 × 10−17
Mean De4.37 × 10−17 8.38 × 10−173.23 × 10−163.22 × 10−15
Standard deviations2.67 × 10−17 2.82 × 10−171.67 × 10−161.46 × 10−15
Publisher’s Note: MDPI stays neutral with regard to jurisdictional claims in published maps and institutional affiliations.

Share and Cite

MDPI and ACS Style

Wang, P.; Liu, X.; Zeng, G.; Ma, J.; Xia, F. Effects of Temperature on the Leaching Behavior of Pb from Cement Stabilization/Solidification-Treated Contaminated Soil. Separations 2022, 9, 402. https://doi.org/10.3390/separations9120402

AMA Style

Wang P, Liu X, Zeng G, Ma J, Xia F. Effects of Temperature on the Leaching Behavior of Pb from Cement Stabilization/Solidification-Treated Contaminated Soil. Separations. 2022; 9(12):402. https://doi.org/10.3390/separations9120402

Chicago/Turabian Style

Wang, Ping, Xialin Liu, Gang Zeng, Jiangfeng Ma, and Feng Xia. 2022. "Effects of Temperature on the Leaching Behavior of Pb from Cement Stabilization/Solidification-Treated Contaminated Soil" Separations 9, no. 12: 402. https://doi.org/10.3390/separations9120402

APA Style

Wang, P., Liu, X., Zeng, G., Ma, J., & Xia, F. (2022). Effects of Temperature on the Leaching Behavior of Pb from Cement Stabilization/Solidification-Treated Contaminated Soil. Separations, 9(12), 402. https://doi.org/10.3390/separations9120402

Note that from the first issue of 2016, this journal uses article numbers instead of page numbers. See further details here.

Article Metrics

Back to TopTop