Effect of Spiral Guide Groove Structure on Flow Field and Separation Performance of Cyclone Clarifiers
Abstract
1. Introduction
2. Numerical Modeling and Feasibility Verification
2.1. Geometric Structure
2.2. Boundary Conditions
2.3. Grid Independence Analysis
2.4. Numerical Simulation Feasibility Verification
3. Results and Discussion
3.1. Streamline Analysis
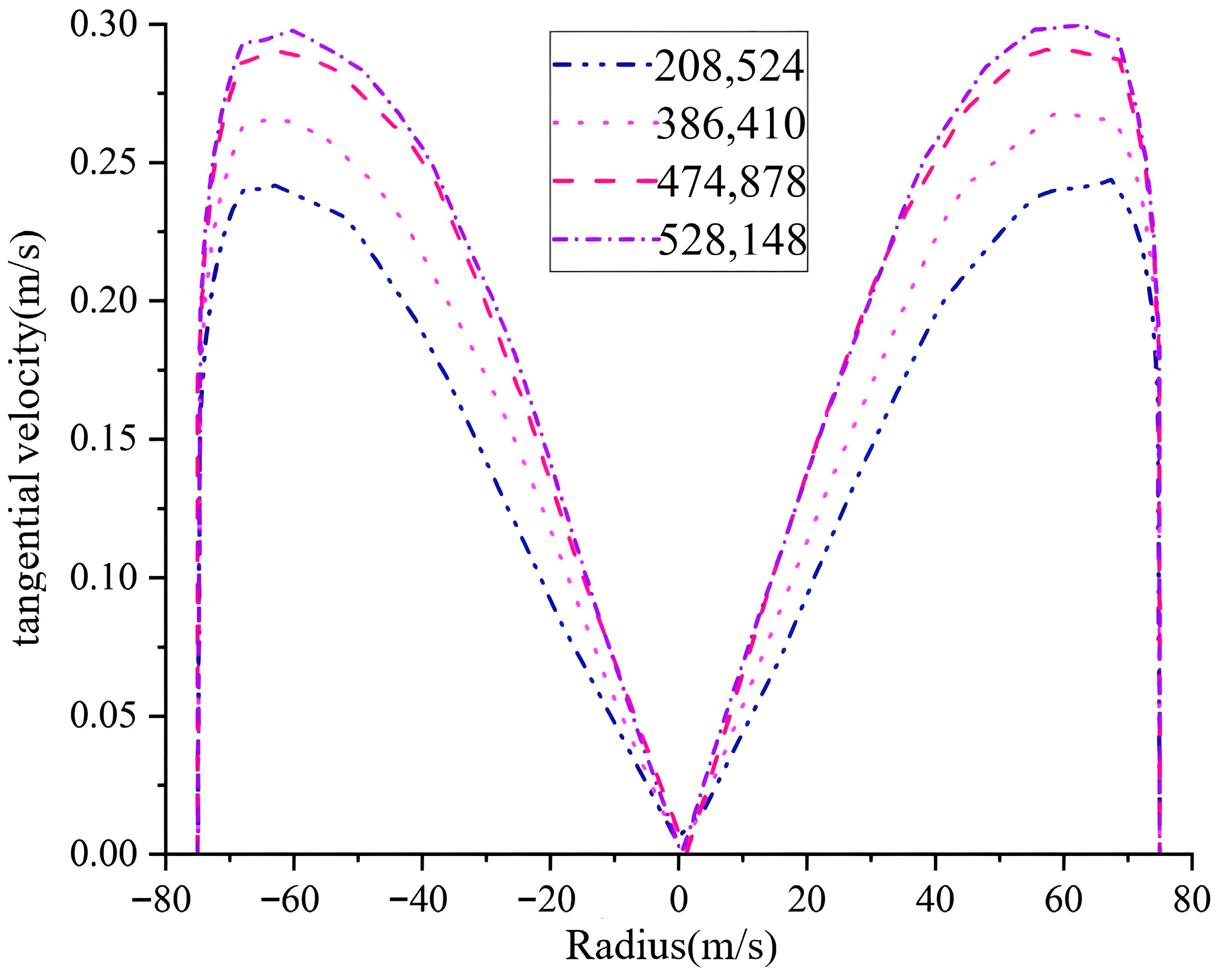
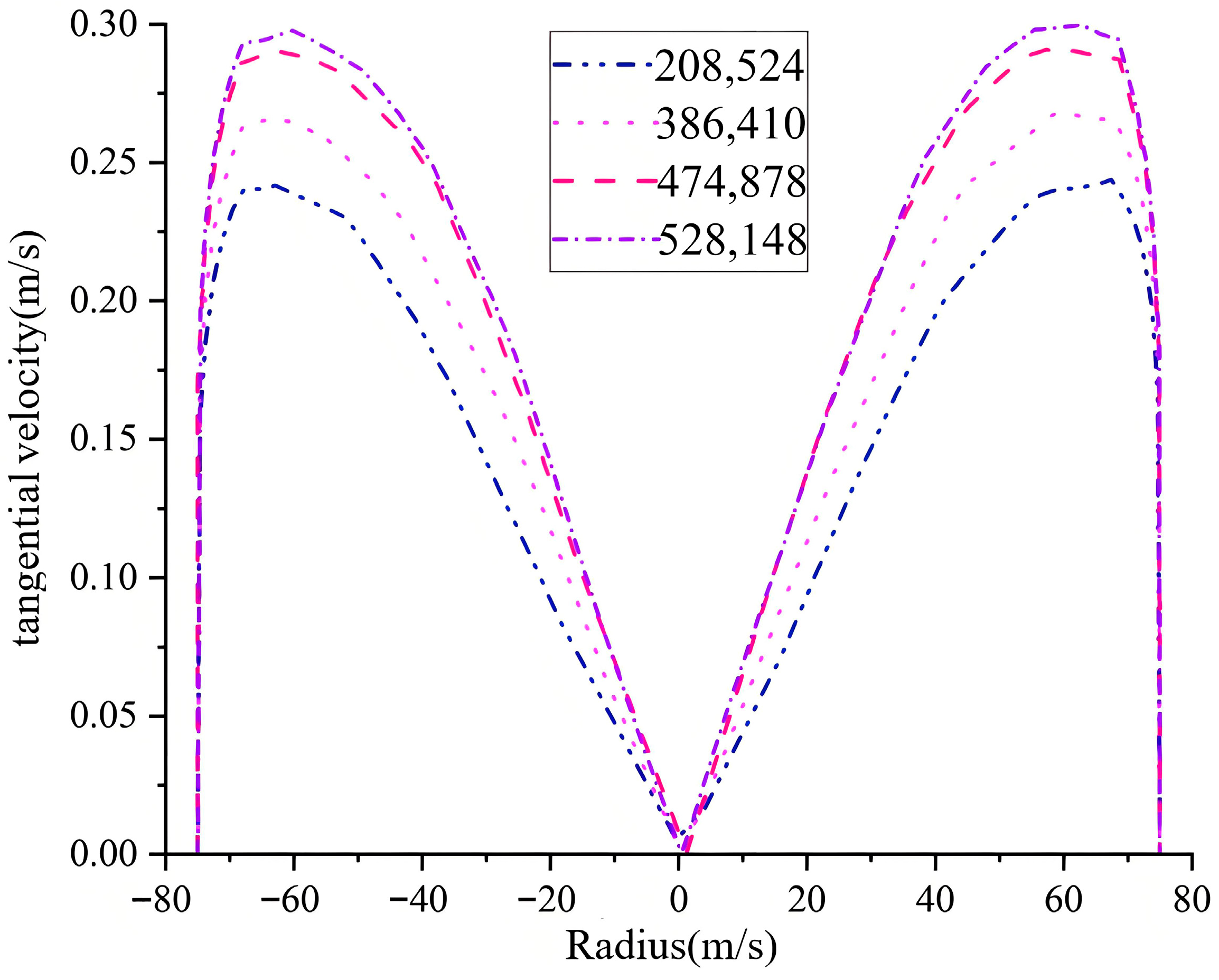
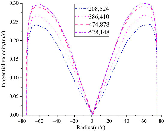
3.2. Tangential Velocity Analysis
3.3. Axial Velocity Analysis
3.4. Turbulent Kinetic Energy Analysis
3.5. Velocity Vector Analysis
3.6. Particle Removal Efficiency for Different Sizes
4. Conclusions
- The spiral guide groove significantly influences the flow field structure. Compared with the traditional cyclone clarifier, the spiral guide groove integrated at the inlet induces more intensive rotational flow, increasing the number of fluid rotations. This configuration enhances the tangential velocity while reducing the axial velocity, prolonging the particle separation time, and thereby improving overall separation performance.
- In traditional cyclone clarifiers, the outer vortex tends to generate excessive circulating flows and vortices, which hinder particle separation and settling. The spiral guide groove confines the fluid to rotating within the channel, causing localized fluctuations in turbulent kinetic energy and promoting the dispersion of particles of different sizes. After the flow is optimized by the groove, turbulent kinetic energy decreases significantly, the flow field stabilizes, and particle disturbance is reduced—benefiting separation. Although local vortices persist near the groove outlet, the structure overall enhances centrifugal sedimentation efficiency.
- The spiral guide groove clarifier exhibits denser streamlines in the cone-plate zone, accompanied by lower tangential velocity, reduced turbulent kinetic energy, and diminished flow disturbances—all conducive to particle settling. The generally lower axial velocity extends particle residence time, fully utilizing the cone-plate settling effect. As a result, separation efficiency is raised, and effluent quality is improved.
- In the underflow region of the spiral guide groove clarifier, streamlines are sparser, and tangential velocity, axial velocity, and turbulent kinetic energy are all lower, effectively suppressing the intensity of both the outer and inner vortices. Under the contracting action of the conical section, the outer vortex spirals steadily downward along the wall, while the inner vortex moves upward in an orderly manner along the central axis. Free from strong vortex interference, the flow field demonstrates clear and stable spiral trajectories, significantly boosting particle separation and settling efficiency.
- The spiral guide groove clarifier achieves superior particle removal efficiency across all particle sizes investigated. Compared to the conventional design, the total removal efficiency is improved by 6.8%. Analysis of removal rates for 10, 15, 20, 25, and 30 μm particles shows the most notable enhancement in the 15–20 μm range, confirming that the spiral guide groove effectively suppresses the carry-over of particles within this size interval.
Author Contributions
Funding
Data Availability Statement
Conflicts of Interest
References
- Huang, D.; Liu, Z.; Wang, W. Evaluating the impaction of coal mining on Ordovician karst water through statistical methods. Water 2018, 10, 1409. [Google Scholar] [CrossRef]
- Li, Y.; Wang, Y. Research review of coal mine water treatment technology. Asian J. Adv. Res. Rep. 2022, 16, 80–89. [Google Scholar] [CrossRef]
- Wang, X.; Gao, Y.; Jiang, X.; Zhang, Q.; Liu, W. Analysis on the characteristics of water pollution caused by underground mining and research progress of treatment technology. Adv. Civ. Eng. 2021, 2021, 9984147. [Google Scholar] [CrossRef]
- Gumińska, J.; Plewa, F.; Grodzicka, A.; Gumiński, A.; Rozmus, M.; Michalak, D. Economic analysis of the application of the technological system for removing suspended solids from mine drainage waters. Energies 2021, 14, 8232. [Google Scholar] [CrossRef]
- Atallah, C.; Mosadeghsedghi, S.; Kenari, S.L.D.; Hudder, M.; Morin, L.; Volchek, K.; Mortazavi, S.; Ben Salah, I. Removal of heavy metals from mine water using a hybrid electrocoagulation-ceramic membrane filtration process. Desalination Water Treat. 2024, 320, 100730. [Google Scholar] [CrossRef]
- Yin, C.; Zhang, Y.; Tao, Y.; Zhu, X. Competitive adsorption behavior and adsorption mechanism of limestone and activated carbon in polymetallic acid mine water treatment. Sci. Rep. 2024, 14, 23561. [Google Scholar] [CrossRef]
- Oliveira, M.S.F.; Assila, O.; Fonseca, A.M.; Parpot, P.; Valente, T.; Rombi, E.; Neves, I.C. Acid mine drainage precipitates from mining effluents as adsorbents of organic pollutants for water treatment. Molecules 2024, 29, 3521. [Google Scholar] [CrossRef]
- Hu, X.; Zhang, Q. Mine water treatment, resource utilization and prospects in coal mining areas of western China. Mine Water Environ. 2024, 43, 210–230. [Google Scholar] [CrossRef]
- Bai, E.; Guo, W.; Tan, Y.; Wu, D.; Zhang, Y.; Wen, P.; Ma, Z. Green coal mining and water clean utilization under Neogene aquifer in Zhaojiazhai coalmine of central China. J. Clean. Prod. 2022, 368, 133134. [Google Scholar] [CrossRef]
- Tan, J.; Huang, C.; Guo, Z. Treatment process and engineering practice for mine drainage water with high suspended solids and high salinity. Energy Environ. Prot. 2013, 27, 30–32+42. (In Chinese) [Google Scholar]
- Thorndahl, U. Improvement of sludge sedimentation by installation of upward flow clarifiers. Water Sci. Technol. 1994, 29, 227–236. [Google Scholar] [CrossRef]
- Jeong, H.-J.; Park, J.-W.; Jeong, K.J.; Hwang, N.M.; Hong, S.-T.; Han, H.N. Effect of pulsed electric current on TRIP-aided steel. Int. J. Precis. Eng. Manuf. Green Technol. 2019, 6, 315–327. [Google Scholar] [CrossRef]
- Al-Saedi, R.; Smettem, K.; Siddique, K. The impact of biodegradable carbon sources on microbial clogging of vertical up-flow sand filters treating inorganic nitrogen wastewater. Sci. Total Environ. 2019, 691, 360–366. [Google Scholar] [CrossRef] [PubMed]
- Cui, B.-Y.; Wei, D.-Z.; Gao, S.-L.; Liu, W.-G.; Feng, Y.-Q. Numerical and experimental studies of flow field in hydrocyclone with air core. Trans. Nonferrous Met. Soc. China 2014, 24, 2642–2649. [Google Scholar] [CrossRef]
- Zhao, Q.; Cui, B.; Wei, D.; Song, T.; Feng, Y. Numerical analysis of the flow field and separation performance in hydrocyclones with different vortex finder wall thickness. Powder Technol. 2019, 345, 567–576. [Google Scholar] [CrossRef]
- Liu, P.; Fu, W.; Jiang, L.; Zhang, Y.; Yang, X.; Li, X.; Wang, H. The separation performance of a parabolic hydrocyclone in separating iron from red mud. Powder Technol. 2023, 416, 118205. [Google Scholar] [CrossRef]
- Zhang, T.; Wang, W.B.; Feng, J.A.; Ying, R. Numerical simulation of the solid-liquid separation flow field in hydrocyclone. Comput. Simul. 2016, 33, 210–213. (In Chinese) [Google Scholar]
- Ghodrat, M.; Kuang, S.B.; Yu, A.B.; Vince, A.; Barnett, G.D.; Barnett, P.J. Numerical analysis of hydrocyclones with different vortex finder configurations. Miner. Eng. 2014, 63, 45–56. [Google Scholar] [CrossRef]
- Yang, X.; Li, X.; Liu, P.; Li, X.; Jiang, L.; Yang, G. Study on the separation performance of honeycomb cone hydrocyclone. Int. J. Coal Prep. Util. 2025, 45, 1051–1073. [Google Scholar] [CrossRef]
- Hirom, K.; Devi, T.T. Application of computational fluid dynamics in sedimentation tank design and its recent developments: A review. Water Air Soil Pollut. 2022, 233, 22. [Google Scholar] [CrossRef]
- Salah Al-Kizwini, R. Improvement of sedimentation process using inclined plates. Mesopotamia Environ. J. 2015, 2, 100–114. [Google Scholar]
- Wang, K.; Li, Y.; Ren, S.; Yang, P. A case study on settling process in inclined-tube gravity sedimentation tank for drip irrigation with the Yellow River water. Water 2020, 12, 1685. [Google Scholar] [CrossRef]
- Zha, Y.D.; Hou, P.; Liu, Z.Y.; Wang, K.Y.; Li, Y.K.; Wang, C.X. The impact of pipe inclination on sediment deposition at the sedimentation basin in the Yellow River. Water Sci. Technol. 2023, 42, 127–135. [Google Scholar] [CrossRef]
- Hirom, K.; Devi, T.T. Determining the optimum position and size of lamella packet in an industrial wastewater sedimentation tank: A computational fluid dynamics study. Water Air Soil Pollut. 2022, 233, 261. [Google Scholar] [CrossRef]
- Castilho, L.R.; Medronho, R.A. A simple procedure for design and performance prediction of Bradley and Rietema hydrocyclones. Miner. Eng. 2000, 13, 183–191. [Google Scholar] [CrossRef]
- Yang, X.; Liu, P.; Zhang, Y.; Jiang, L. Numerical simulation and experimental study on a cone-plate clarifier. Adv. Mech. Eng. 2019, 11, 1687814019826788. [Google Scholar] [CrossRef]
- Zhang, Y.; Liu, P.; Xiao, L.; Chang, L.; Yan, F.; Jiang, L. Effect of cone-plate clarifier structure parameters on flocculation efficiency. Separations 2022, 9, 6. [Google Scholar] [CrossRef]
- Dianyu, E.; Xu, G.; Fan, H.; Cui, J.; Tan, C.; Zhang, Y.; Zou, R.; Kuang, S.; Yu, A. Numerical investigation of hydrocyclone inlet configurations for improving separation performance. Powder Technol. 2024, 434, 119384. [Google Scholar] [CrossRef]
- Zhao, B.T.; Wang, D.S.; Su, Y.X. Performance improvement of cyclone separator by integrated compact bends. Powder Technol. 2019, 353, 64–71. [Google Scholar] [CrossRef]
- Liu, P.; Wang, X.; Jiang, L.; Zhang, Y.; Yang, X.; Li, X.; Wang, H. Effect of spiral vanes width on the separation performance of a hydrocyclone. Physicochem. Probl. Miner. Process. 2023, 59, 173563. [Google Scholar] [CrossRef]
- Corrêa, R.G.; Andrade, J.R.; de Souza, F.J. Improving separation prediction of cyclone separators with a hybrid URANS-LES turbulence model. Powders 2023, 2, 607–623. [Google Scholar] [CrossRef]
- Wasilewski, M.; Anweiler, S.; Masiukewicz, M. Characterization of multiphase gas-solid flow and accuracy of turbulence models for lower stage cyclones used in suspension preheaters. Chin. J. Chem. Eng. 2019, 27, 1618–1629. [Google Scholar] [CrossRef]
- Zhang, G.; Chen, G.; Yan, X. Evaluation and improvement of particle collection efficiency and pressure drop of cyclones by redistribution of dustbins. Chem. Eng. Res. Des. 2018, 139, 52–61. [Google Scholar] [CrossRef]
- Alves de Moro Martins, D.; Andrade, J.R.; Ribeiro Duarte, C.A.; de Vasconcelos Salvo, R.; de Souza, F.J. A large eddy simulation study of cyclones: The effects of interparticle collisions on erosion prediction. J. Energy Power Technol. 2022, 4, 17. [Google Scholar] [CrossRef]
- Shukla, S.K.; Shukla, P.; Ghosh, P. The effect of modeling of velocity fluctuations on prediction of collection efficiency of cyclone separators. Appl. Math. Model. 2013, 37, 5774–5789. [Google Scholar] [CrossRef]
- Elsayed, K.; Lacor, C. Modeling analysis and optimization of air cyclones using artificial neural network response surface methodology and CFD simulation approaches. Powder Technol. 2011, 212, 115–133. [Google Scholar] [CrossRef]
- Venkatesh, S.; Sivapirakasam, S.P.; Sakthivel, M.; Krishnaraj, R.; Leta, T.J. Investigation on hydrocyclone for increasing the performance by modification of geometrical parameters through CFD approach. Desalination Water Treat. 2021, 244, 157–166. [Google Scholar] [CrossRef]
- Rhodes, N.; Pericleous, K.A.; Drake, S.N. The prediction of hydrocyclone performance with a mathematical model. In Proceedings of the 3rd International Conference on Hydrocyclones, Oxford, UK, 30 September–2 October 1987. [Google Scholar]
- Schuetz, S.; Mayer, G.; Bierdel, M.; Piesche, M. Investigations on the flow and separation behaviour of hydrocyclones using computational fluid dynamics. Int. J. Miner. Process. 2004, 73, 229–237. [Google Scholar] [CrossRef]
- Heydari, M.; Khoshkonesh, A. The comparison of the performance of Prandtl mixing length, turbulence kinetic energy, k-ε, RNG and LES turbulence models in simulation of the positive wave motion caused by dam break on the erodible bed. Indian J. Sci. Technol. 2016, 9, 1–33. [Google Scholar] [CrossRef]
- Gronald, G.; Derksen, J. Simulating turbulent swirling flow in a gas cyclone: A comparison of various modeling approaches. Powder Technol. 2011, 205, 160–171. [Google Scholar] [CrossRef]
- Yang, Z.; Cheng, X.; Zheng, X.; Chen, H. Reynolds-averaged Navier-Stokes equations describing turbulent flow and heat transfer behavior for supercritical fluid. J. Therm. Sci. 2020, 30, 191–200. [Google Scholar] [CrossRef]
- Heinz, S. The large eddy simulation capability of Reynolds-averaged Navier-Stokes equations: Analytical results. Phys. Fluids 2019, 31, 021702. [Google Scholar] [CrossRef]
- Giancarlo, A. Reynolds-averaged Navier–Stokes equations for turbulence modeling. Appl. Mech. Rev. 2009, 62, 040802. [Google Scholar] [CrossRef]
- Xu, M.; Chen, F.G.; Liu, X.H.; Ge, W.; Li, J.H. Discrete Particle Simulation of Gas-Solid Two-Phase Flows with Multi-Scale CPU-GPU Hybrid Computation. Chem. Eng. J. 2012, 207, 746–757. [Google Scholar] [CrossRef]
- Wu, S.L.; Kou, M.Y.; Xu, J.; Guo, X.Y.; Du, K.P.; Shen, W.; Sun, J. DEM Simulation of Particle Size Segregation Behavior During Charging Into and Discharging From a Paul-Wurth Type Hopper. Chem. Eng. Sci. 2013, 99, 314–323. [Google Scholar] [CrossRef]





















| Structural Parameter | Value |
|---|---|
| Cylinder section diameter/mm | 200 |
| Cylinder section height/mm | 600 |
| Underflow outlet diameter/mm | 30 |
| Underflow pipe height/mm | 30 |
| Overflow outlet diameter/mm | 40 |
| Overflow outlet height/mm | 50 |
| Feed inlet size/mm | 10 × 15 |
| Pitch of spiral guide groove/mm | 26 |
| Number of spiral guide slots/turn | 4 |
| Inclination angle of spiral guide groove/° | 4 |
| Parameter | Value |
|---|---|
| Fluid Phase | |
| Density/(kg/m3) | 998 |
| Dynamic Viscosity/(Pa·s) | 0.001003 |
| Particle Phase | |
| Density/(kg/m3) | 1500 |
| Diameter/μm | 10, 15, 20, 25, 30 |
Disclaimer/Publisher’s Note: The statements, opinions and data contained in all publications are solely those of the individual author(s) and contributor(s) and not of MDPI and/or the editor(s). MDPI and/or the editor(s) disclaim responsibility for any injury to people or property resulting from any ideas, methods, instructions or products referred to in the content. |
© 2025 by the authors. Licensee MDPI, Basel, Switzerland. This article is an open access article distributed under the terms and conditions of the Creative Commons Attribution (CC BY) license.
Share and Cite
Zhang, Y.; Guo, K.; Liu, Q.; Jiang, L.; Li, A.; Liu, P. Effect of Spiral Guide Groove Structure on Flow Field and Separation Performance of Cyclone Clarifiers. Separations 2026, 13, 2. https://doi.org/10.3390/separations13010002
Zhang Y, Guo K, Liu Q, Jiang L, Li A, Liu P. Effect of Spiral Guide Groove Structure on Flow Field and Separation Performance of Cyclone Clarifiers. Separations. 2026; 13(1):2. https://doi.org/10.3390/separations13010002
Chicago/Turabian StyleZhang, Yulong, Kaiwei Guo, Qiang Liu, Lanyue Jiang, Anjun Li, and Peikun Liu. 2026. "Effect of Spiral Guide Groove Structure on Flow Field and Separation Performance of Cyclone Clarifiers" Separations 13, no. 1: 2. https://doi.org/10.3390/separations13010002
APA StyleZhang, Y., Guo, K., Liu, Q., Jiang, L., Li, A., & Liu, P. (2026). Effect of Spiral Guide Groove Structure on Flow Field and Separation Performance of Cyclone Clarifiers. Separations, 13(1), 2. https://doi.org/10.3390/separations13010002

