Research on the Flow Field Characteristics of the Industrial Elliptical Cyclone Separator
Abstract
1. Introduction
2. Models and Methods
2.1. Cyclone Models
2.2. Numerical Methods
2.2.1. Turbulence Model
2.2.2. Numerical Schemes
2.2.3. Boundary Conditions
2.3. Grid Division and Independence
3. Results and Discussion
3.1. Static Pressure Distribution
3.2. Velocity Distribution
3.3. Particle Trajectory
3.4. Comparison of Particle Residence Time
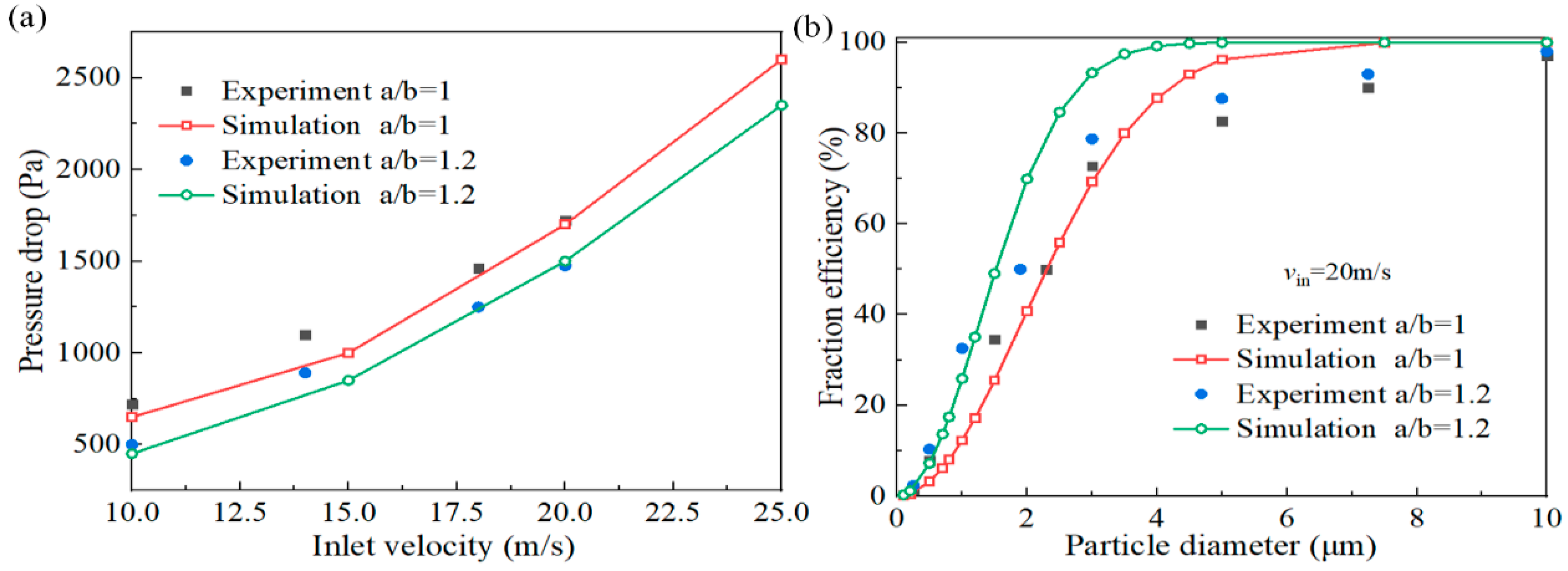
3.5. Comparison of Pressure Drop and Separation Efficiency
4. Conclusions
- (1)
- Due to the influence of the structure, the length of the natural cyclone in the elliptical cyclone is shortened, the tangential velocity is reduced, the flow field intensity is reduced, and the corresponding pressure loss of the elliptical cyclone is also reduced. In addition, the pressure and tangential velocity distributions within the cross section of the elliptical cyclone show significant anisotropy and the swirling eddy continuously experiences circumferential acceleration and deceleration processes, producing additional inertial separation effects.
- (2)
- When the particle diameter is 1 μm, the particles in the circular cyclone are affected by the internal and external swirl together, the movement trajectory is complex, and the particle residence time is longer. As for the elliptical cyclone separator, under the effect of centrifugal force and additional inertia, the particles are thrown to the wall and brought into the dustbin by the downward flow; this process has a short particle residence time and a high separation efficiency. With the increase in particle size, the centrifugal force on the particles increases significantly, the particle trajectory is more and more regular, and the particles are quickly separated into the dustbin.
- (3)
- Inlet velocity affects the additional inertial effect of the elliptical cyclone. At low air velocities (10 m/s), the centrifugal force field in the elliptical cyclone is weak, the additional inertia effect generated by the accelerating/decelerating airflow is weak, the possibility of small particles escaping is increased, and the separation efficiency of the elliptical cyclone is low. However, with an increase in inlet velocity, the additional inertia effect is enhanced and the elliptical cyclone has a higher separator efficiency.
- (4)
- The simulation results demonstrate that the industrial elliptical cyclone separator (with a/b = 1.2 and D = 300 mm) exhibits higher separation efficiency and a lower pressure drop compared to the conventional cyclone. The combination of simulation and experimental results can strongly prove that the elliptical cyclones have performance advantages and broad application prospects.
Supplementary Materials
Author Contributions
Funding
Data Availability Statement
Acknowledgments
Conflicts of Interest
Nomenclature
| xn | position (m) | ε | turbulent dissipation rate () |
| t | time (s) | turbulent viscosity (kg/(m·s) | |
| ρ | gas density (kg/m3) | turbulent Prandtl number | |
| p | mean static pressure in Pascals (Pa) | C | constant, used for different terms in the turbulent dissipation equation |
| μ | gas viscosity in (kg/(m·s) | k | turbulent kinetic energy () |
| fluid velocity components, the speed unit is meter per second (m/s). | the velocity vector of the particle, indicating the velocity of the particle in the fluid (m/s) | ||
| diffusion term | : | drag force coefficient, indicating the resistance of the fluid to the particles | |
| the pressure term represents the turbulent pressure of the fluid. | ∇p | the pressure gradient of a fluid () | |
| source term | gravitational acceleration vector | ||
| turbulent dissipation term, representing the energy dissipation of turbulence | ζ | represents a normally distributed random number |
References
- Guo, M.; Lu, Y.; Xue, C.; Sun, X.; Yoon, J.Y. The impact of cylinder vortex stabilizer on fluctuating turbulence characteristics of a cyclone separator based on Large Eddy Simulation. Adv. Powder Technol. 2023, 34, 104149. [Google Scholar] [CrossRef]
- Sommerfeld, M.; Taborda, M.A. Understanding solid particle transport in a gas cyclone separator. Int. J. Multiph. Flow 2024, 181, 104992. [Google Scholar] [CrossRef]
- Li, Q.; Cheng, T.; Li, Q.; Liu, J.; Liang, Y.; Li, J.; Jiang, X.; Wang, H.; Fu, P. Particle high-speed self-rotation in cyclones with different diameters and application in catalyst deoiling. J. Clean. Prod. 2023, 423, 138681. [Google Scholar] [CrossRef]
- El-Emam, M.A.; Zhou, L.; Omara, A.I. Predicting the performance of aero-type cyclone separators with different spiral inlets under macroscopic bio-granular flow using CFD-DEM modelling. Biosyst. Eng. 2023, 233, 125–150. [Google Scholar] [CrossRef]
- Yang, M.; Song, P.; Kong, D.; Huang, T.; Jin, Q. Wear and corrosion properties of HVOF sprayed WC-Cr3C2 composite coating for application in polysilicon cyclone separator. J. Mater. Res. Technol. 2024, 29, 78–89. [Google Scholar] [CrossRef]
- Wang, C.; Ma, Y.; Sui, W. The Secondary Flows in a Cyclone Separator: A Review. Processes 2023, 11, 2935. [Google Scholar] [CrossRef]
- Yuan, S.; Sun, G.; Cao, G.; Wu, Y.; Yue, Y.; Song, Z. Study of the performance and flow field of a new spiral-roof cyclone separator. Powder Technol. 2024, 438, 119605. [Google Scholar] [CrossRef]
- Zhang, Z.; Yan, S.; Dong, S.; Dong, K.; Zhang, Y.; Wang, B. Study of the short-circuit flow and circulation flow’s impact on separation performance of cyclone separator with volute-helical inlet. Adv. Powder Technol. 2024, 35, 104281. [Google Scholar] [CrossRef]
- Dimitrijević, D.; Schmid, M.; Harasek, M.; Bösenhofer, M. Comparison of experimental, empirical, and CFD pressure losses of lab-scale sampling cyclones. Sep. Purif. Technol. 2025, 354, 128992. [Google Scholar] [CrossRef]
- Guo, M.; Yang, L.; Son, H.; Le, D.K.; Manickam, S.; Sun, X.; Yoon, J.Y. An overview of novel geometrical modifications and optimizations of gas-particle cyclone separators. Sep. Purif. Technol. 2024, 329, 125136. [Google Scholar] [CrossRef]
- Li, S.; Han, M.; Ren, B.; Chen, X.; Hu, S.; Yuan, L.; Zhou, F. The effect of cylinder structure on the pre-dusting of axial separator. Adv. Powder Technol. 2024, 35, 104685. [Google Scholar] [CrossRef]
- Duan, J.; Gao, S.; Hou, C.; Wang, W.; Zhang, P.; Li, C. Effect of cylinder vortex stabilizer on separator performance of the Stairmand cyclone. Powder Technol. 2020, 372, 305–316. [Google Scholar] [CrossRef]
- Gong, A.L.; Wang, L.-Z. Numerical Study of Gas Phase Flow in Cyclones with the Repds. Aerosol Sci. Technol. 2004, 38, 506–512. [Google Scholar] [CrossRef]
- Cao, G.; Sun, G.; Yue, Y.; Wang, Z. Study on the effect of a new type of deswirler on the flow field and performance of a cyclone separator. Adv. Powder Technol. 2024, 35, 104298. [Google Scholar] [CrossRef]
- Feng, M.; Gui, C.; Zhou, Y.; Lei, Z. Numerical study on performance optimization and flow mechanism of a new cyclone separator. Green Chem. Eng. 2024, 6, 76–84. [Google Scholar] [CrossRef]
- Zheng, Y.; Song, T.; Ni, L. Mechanistic study and structural optimization for the improvement of flow field in cyclone annular space with bypass flow. Sep. Purif. Technol. 2025, 354, 129390. [Google Scholar] [CrossRef]
- Yang, J.; Sun, G.; Gao, C. Effect of the inlet dimensions on the maximum-efficiency cyclone height. Sep. Purif. Technol. 2013, 105, 15–23. [Google Scholar] [CrossRef]
- Elsayed, K.; Lacor, C. The effect of cyclone inlet dimensions on the flow pattern and performance. Math. Model. 2011, 35, 1952–1968. [Google Scholar] [CrossRef]
- Brar, L.S.; Sharma, R.P.; Dwivedi, R. Effect of Vortex Finder Diameter on Flow Field and Collection Efficiency of Cyclone Separators. Part. Sci. Technol. 2014, 33, 34–40. [Google Scholar] [CrossRef]
- Raoufi, A.; Shams, M.; Farzaneh, M.; Ebrahimi, R. Numerical simulation and optimization of fluid flow in cyclone vortex finder. Chem. Eng. Process. 2008, 47, 128–137. [Google Scholar] [CrossRef]
- Elsayed, K.; Lacor, C. The effect of cyclone vortex finder dimensions on the flow pattern and performance using LES. Comput. Fluids 2013, 71, 224–239. [Google Scholar] [CrossRef]
- Zhang, Y.; Xu, M.; Hu, W.; Xu, X.; Zhang, Q. Vortex Finder Diameter and Depth Effects on the Separation Performance of Hydrocyclone. Process Saf. Environ. Prot. 2023, 195, 181–191. [Google Scholar] [CrossRef]
- Yuan, S.; Sun, G.; Xiao, L.; Sun, J.; Qian, Z.; Cao, G. Experimental and numerical study of maximum efficiency vortex finder insertion depth of a Stairmand cyclone. Particuology 2024, 95, 343–355. [Google Scholar] [CrossRef]
- Zhu, L.; Wang, S.; Ru, Y.; Wang, J.; Yang, P.; Li, A.; Ma, Z.; Wang, Z. Numerical investigation on dynamic characteristics of flow field in cyclone separators with different dust hopper structures. Particuology 2023, 82, 134–145. [Google Scholar] [CrossRef]
- Safikhani, H.; Shams, M.; Dashti, S. Numerical simulation of square cyclones in small sizes. Adv. Powder Technol. 2011, 22, 359–365. [Google Scholar] [CrossRef]
- Fatahian, H.; Hossein, E.; Fatahian, R. Square cyclone separator: Performance analysis optimization and operating condition variations using CFD-DPM and Taguchi method. Powder Technol. 2023, 428, 118789. [Google Scholar] [CrossRef]
- Kumar, D.; Jha, K.; Kumar, V.; Brar, L.S. Performance evaluation of cyclone separators with elliptical cross-section using large-eddy simulation. Powder Technol. 2024, 438, 119660. [Google Scholar] [CrossRef]
- Sun, Z.; Yang, H.; Zhang, K.; Wang, Z.; Yang, G. Experimental and numerical investigation of the elliptical cyclone separator manufactured by 3D printing. Powder Technol. 2024, 441, 119746. [Google Scholar] [CrossRef]
- Sun, Z.; Yang, H.; Zhang, K.; Yan, Z.; Su, N.; Li, K.; Yang, G. 3D-printed elliptical cyclone separator with additional self-excited force field for enhancing the gas-solid separation. Adv. Powder Technol. 2024, 35, 104496. [Google Scholar] [CrossRef]
- Zhang, K.; Yan, Z.; Sun, Z.; Yang, H.; Yang, G. Performance evaluation and prediction model for novel elliptical cyclone separators. Sep. Purif. Technol. 2025, 354, 128888. [Google Scholar] [CrossRef]
- Liu, Y.; Luo, P.; Tang, Y. Improved Prediction of Turbomachinery Flows Using Reynolds Stress Model with γ Transition Model. Aerosp. Sci. Technol. 2024, 144, 108812. [Google Scholar] [CrossRef]
- Julianne, D.; Jan-Renee, C. Evaluation of Full Reynolds Stress Turbulence Models in FUN3D for Axisymmetric Jet Flow. In Proceedings of the AIAA Scitech 2019 Forum (2019), San Diego, CA, USA, 7–11 January 2019. [Google Scholar]
- Li, Z.; Ghia, K.; Li, Y.; Fan, Z.; Shen, L. Unsteady Reynolds-averaged Navier–Stokes Investigation of Free Surface Wave Impact on Tidal Turbine Wake. Proc. R. Soc. A Math. Phys. Eng. Sci. 2021, 477, 20200703. [Google Scholar] [CrossRef]
- Li, D. Turbulent Prandtl Number in the Atmospheric Boundary Layer—Where are We now? Atmos. Res. 2019, 216, 86–105. [Google Scholar] [CrossRef]
- Gao, Z.; Wang, J.; Liu, Z.; Wei, Y.; Wang, J.; Mao, Y. Effects of Different Inlet Structures on the Flow Field of Cyclone Separators. Powder Technol. 2020, 372, 519–531. [Google Scholar] [CrossRef]
- Rajdeep, S.; Jinho, O.; Kim, M.; Lee, J.E.; Kim, S.; Kim, K.C. The Effect of Inlet Velocity, Gas Temperature and Particle Size on the Performance of Double Cyclone Separator. Chem. Eng. Process.-Process Intensif. 2023, 191, 109469. [Google Scholar]
- Le, D.K.; Yoon, J.Y. Numerical investigation on the performance and flow pattern of two novel innovative designs of four-inlet cyclone separator. Chem. Eng. Process. 2020, 150, 107867. [Google Scholar] [CrossRef]
- Babaoğlu, N.U. The Effects of Inlet Number and Positions on the Flow Pattern and Performance of a Stairmand Cyclone. Powder Technol. 2024, 434, 119297. [Google Scholar] [CrossRef]














Disclaimer/Publisher’s Note: The statements, opinions and data contained in all publications are solely those of the individual author(s) and contributor(s) and not of MDPI and/or the editor(s). MDPI and/or the editor(s) disclaim responsibility for any injury to people or property resulting from any ideas, methods, instructions or products referred to in the content. |
© 2025 by the authors. Licensee MDPI, Basel, Switzerland. This article is an open access article distributed under the terms and conditions of the Creative Commons Attribution (CC BY) license (https://creativecommons.org/licenses/by/4.0/).
Share and Cite
Zhang, Y.; Li, K.; Zhang, K.; Zhu, G.; Sun, Z.; Shi, J. Research on the Flow Field Characteristics of the Industrial Elliptical Cyclone Separator. Separations 2025, 12, 50. https://doi.org/10.3390/separations12020050
Zhang Y, Li K, Zhang K, Zhu G, Sun Z, Shi J. Research on the Flow Field Characteristics of the Industrial Elliptical Cyclone Separator. Separations. 2025; 12(2):50. https://doi.org/10.3390/separations12020050
Chicago/Turabian StyleZhang, Yongli, Kangshuo Li, Kaixuan Zhang, Guangfei Zhu, Zhanpeng Sun, and Jianfang Shi. 2025. "Research on the Flow Field Characteristics of the Industrial Elliptical Cyclone Separator" Separations 12, no. 2: 50. https://doi.org/10.3390/separations12020050
APA StyleZhang, Y., Li, K., Zhang, K., Zhu, G., Sun, Z., & Shi, J. (2025). Research on the Flow Field Characteristics of the Industrial Elliptical Cyclone Separator. Separations, 12(2), 50. https://doi.org/10.3390/separations12020050

