Next Article in Journal
Determination of β2-Agonist Residues in Meat Samples by Gas Chromatography-Mass Spectrometry with N-Doped Carbon Dots in Molecular Sieves
Next Article in Special Issue
Applicable Pharmacokinetic Study: Development and Validation of Bioanalytical LC-MS/MS Method for Simultaneous Determination of Tipiracil, Trifluridine and Its Two Metabolites 5-Trifluoromethyluracil, 5-Carboxy 2′-Deoxyuridine in Rat Plasma
Previous Article in Journal
Removal of Azo Dyes Orange II and Reactive Black 5 from Aqueous Solutions by Adsorption on Chitosan Beads Modified with Choline Chloride: Urea Deep Eutectic Solvent and FeO
Previous Article in Special Issue
Quantitation of Formoterol, Salbutamol, and Salbutamol-4′-O-Sulfate in Human Urine and Serum via UHPLC-MS/MS
 
 
Font Type:
Arial Georgia Verdana
Font Size:
Aa Aa Aa
Line Spacing:
Column Width:
Background:
Article

Biosynthesis of Salbutamol-4′-O-sulfate as Reference for Identification of Intake Routes and Enantiopure Salbutamol Administration by Achiral UHPLC-MS/MS

by
Annika Lisa Jendretzki
1,†,
Lukas Corbinian Harps
1,†,
Yanan Sun
1,
Felix Bredendiek
1,2,
Matthias Bureik
3,
Ulrich Girreser
4,
Xavier de la Torre
5,
Francesco M. Botrè
5,6 and
Maria Kristina Parr
1,*
1
Institute of Pharmacy, Freie Universität Berlin, Königin-Luise-Straße 2+4, 14195 Berlin, Germany
2
Core Facility BioSupraMol, Department of Biology, Chemistry, Pharmacy, Freie Universität Berlin, 14195 Berlin, Germany
3
School of Pharmaceutical Science and Technology, Tianjin University, 92 Weijin Road, Nankai District, Tianjin 300072, China
4
Institute of Pharmacy, Christian-Albrechts University Kiel, Gutenbergstr. 76, 24118 Kiel, Germany
5
Laboratorio Antidoping FMSI, Largo Onesti 1, 00197 Rome, Italy
6
REDs—Research and Expertise on Antidoping Sciences, ISSUL—Institute de Sciences du Sport, Université de Lausanne, Synathlon 3224—Quartier Centre, 1015 Lausanne, Switzerland
*
Author to whom correspondence should be addressed.
These authors contributed equally to this work.
Separations 2023, 10(8), 427; https://doi.org/10.3390/separations10080427
Submission received: 10 July 2023 / Revised: 22 July 2023 / Accepted: 25 July 2023 / Published: 28 July 2023

Abstract

The aim of the study was a comprehensive and quantitative determination of salbutamol and its sulfoconjugated major metabolite in urine samples using achiral ultrahigh performance liquid chromatography-tandem mass spectrometry (UHPLC-MS/MS). Therefore, salbutamol-4′-O-sulfate was biosynthesized as a reference using genetically modified fission yeast cells, and the product was subsequently characterized by NMR and HRMS. In competitive sports, salbutamol is classified as a prohibited drug; however, inhalation at therapeutic doses is permitted with a maximum allowance of 600 µg/8 h. In contrast, the enantiopure levosalbutamol is prohibited under any condition. For analytical discrimination, the amount of salbutamol and its main metabolite excreted in the urine was studied. As proof of concept, a longitudinal study in one healthy volunteer was performed in order to investigate excreted amounts and to study potential discrimination using achiral chromatography. Discrimination of administration of racemic salbutamol or the enantiopure levosalbutamol was not achieved by solely analyzing salbutamol as the parent compound. However, a distinction was possible by evaluation of the proportion of salbutamol-4′-O-sulfate in relation to salbutamol. Therefore, reference material of metabolites is of great importance in doping control, especially for threshold substances.

1. Introduction

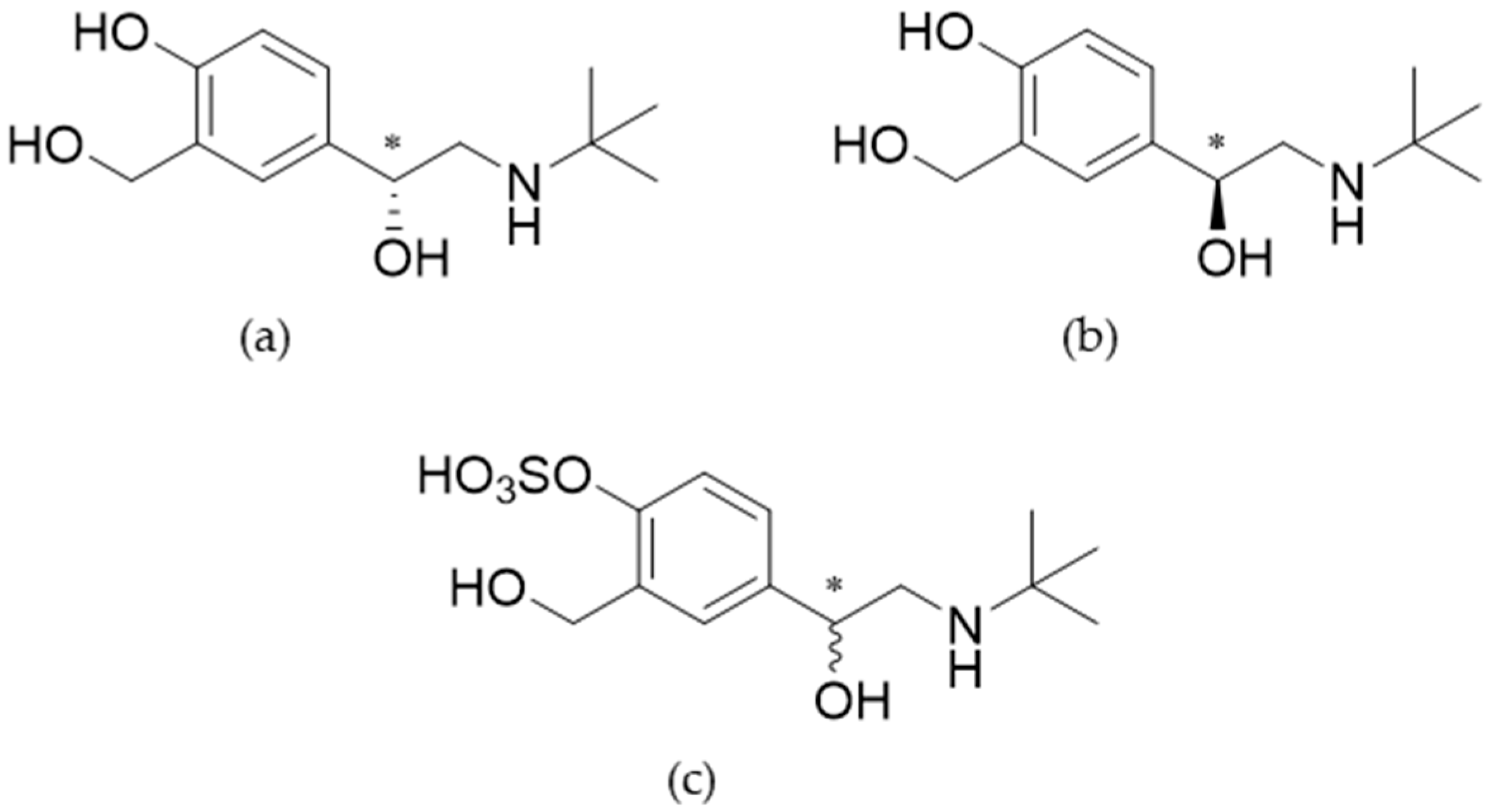
Salbutamol (albuterol) is a widely known β2-sympathomimetic drug commonly prescribed for the treatment of asthmatic patients. It is available as a racemic preparation and was recently also approved as the pure enantiomer levosalbutamol ((R)-salbutamol), which is the pharmacologically active enantiomer (chemical structures in Figure 1). However, a clinically relevant advantage of levosalbutamol as opposed to racemic formulations has not been shown [1].
In sports, salbutamol is prohibited as per the Prohibited List by the World Anti-Doping Agency (WADA) in and out of competition. To allow for therapeutical use, the inhalation administration of doses not exceeding 600 µg per 8 h (1600 µg per 24 h) is considered non-prohibited [2]. Concomitantly, a urinary concentration of 1000 ng/mL for urinary excreted salbutamol as a free substance or glucuronide conjugate is set as the threshold for doping control samples [3]. In contrast, any administration of enantiopure levosalbutamol is prohibited. To identify and quantify substances or their metabolites by means of mass spectrometric analysis, appropriate reference standards are of great importance for reliable and accurate results [4,5].
Biological synthesis utilizing recombinant human enzymes was successfully performed and described for several host organisms [6]. Furthermore, the suitability of genetically modified Schizosaccharomyces pombe (S. pombe) for preparative scale metabolite synthesis was demonstrated in whole-cell biotransformation experiments [7]. The benefits of using biocatalysts in human metabolite synthesis starting from the parent drug are selectivity of the reaction site, generating further knowledge by screening for suitable enzymes, and building a fundament for greener synthesis approaches. Since most enzymatic processes take place in aqueous solution, the use of hazardous organic solvents is reduced.
The main metabolic pathway of salbutamol is sulfonation by sulfotransferases (SULTs), more precisely by the phenol–sulfotransferase SULT1A3, while SULT1A1, SULT1B1, and SULT1C4 do not show activity towards this compound [1,8,9,10]. Sulfotransferases catalyze the transfer of a sulfonate group from the cofactor 3′-phosphoadenosine-5′phosphosulfate (PAPS) to the substrate, generally leading to inactive metabolites [8]. These enzymes are found in the liver, small intestine, kidneys, and lungs. Most abundant in the small intestine are SULT1B1 and SULT1A3, whereas in the liver, SULT1A1 is the major enzyme isoform, and only a minor amount of SULT1A3 is present. Lungs and kidneys contain only low levels of SULTs [8,11,12,13]. The biotransformation of salbutamol by SULT1A3 is a stereoselective process. (R)-salbutamol is favored by the enzyme and metabolized up to twelve times faster than the (S)-enantiomer [1,14]. Additionally, it has been reported, that (S)-salbutamol acts as a competitive inhibitor of the phenol–sulfotransferase, which leads to reduced sulfonation and thus to higher plasma concentrations of (R)-salbutamol when applied as racemate [15]. Mareck et al. [16] reported that glucuronidation of salbutamol only occurs for up to 3% after oral administration and glucuronidated metabolites were undetectable after inhalation.
Renal excretion is the major pathway to clear salbutamol and its metabolites from the body [17,18]. In this study, the proportions of free salbutamol and its major metabolite salbutamol-4′-O-sulfate were investigated in urine samples via achiral liquid chromatography coupled to tandem mass spectrometry. To quantify the sulfonated metabolite and thus the total amount of salbutamol recovered in the samples, the reference substance, which was not commercially available, was biosynthesized utilizing genetically modified S. pombe and characterized by UHPLC-QTOF-MS and NMR. Absolute quantitation of the reference was performed by NMR as well. Additionally, it was demonstrated that discrimination of an administration of racemic salbutamol and levosalbutamol was not possible using achiral chromatography methods solely evaluating the amount of free salbutamol or its glucuronide conjugate. Orally administered levosalbutamol would not be identified as an adverse analytical finding in doping-control analysis. Considering the proportion of salbutamol and its sulfoconjugate, discrimination between levosalbutamol and racemic salbutamol was possible with an achiral chromatography method.

2. Materials and Methods

2.1. Chemicals and Reagents

Salbutamol hemisulfate (>98.0%) was obtained from TCI Europe (Zwijndrecht, Belgium). Levalbuterol hydrochloride (>98%), hydrochloric acid (35%, analytical grade), citric acid, ATP, and salbutamol-(tert-butyl-d9)-acetate were obtained from Sigma Aldrich (Taufkirchen, Germany). Methanol (MeOH, LC-MS grade) and potassium hydrogen phthalate were purchased from Thermo Fisher Scientific (Hennigsdorf, Germany). Ammonium formate (HCOONH4, LC-MS grade) and ammonium chloride were from VWR Chemicals (Darmstadt, Germany). D(+)-glucose, ammonium hydrogen carbonate, disodium hydrogen phosphate, ferric chloride hexahydrate, potassium chloride, magnesium chloride hexahydrate, D(+)-biotin, agar, Triton-X100 and Tris were purchased from Carl Roth GmbH (Karlsruhe, Germany). Ammonium sulfate, sodium sulfate, nicotinic acid, boric acid, copper sulfate pentahydrate, manganese sulfate, and potassium iodide were obtained from Merck (Darmstadt, Germany). Molybdic acid was purchased from Alfa Aesar (Kandel, Germany), and inositol was from Th. Geyer (Berlin, Germany). D6-DMSO (>99.8%) was purchased from Deutero (Kastellaun, Germany). Ultrapure water was prepared with a Milli-Q water purification system LaboStar 2-DI/UV from SG Wasseraufbereitung und Regenerierstation GmbH (Barsbüttel, Germany) equipped with LC-Pak Polisher and a 0.22-μm membrane point-of-use cartridge (Millipak®, Th Geyer, Berlin, Germany). SalbuHEXAL® N was obtained from Hexal AG (Holzkirchen, Germany), and Cyclocaps® Salbutamol from PB Pharma GmbH (Meerbusch, Germany). Xopenex HFA was purchased from Sunovion Pharmaceuticals Inc. (Marlborough, Massachusetts, United States), and SALBU-BRONCH® Elixir 1 mg/mL from Infectopharm Arzneimittel und Consilium GmbH (Heppenheim, Germany).

2.2. Synthesis of Salbutamol-4′-O-sulfate as Reference

A suitable reference for quantitation of salbutamol-4′-O-sulfate was not commercially available. Therefore, it was synthesized following a biochemical approach developed by Sun et al. [10,19] utilizing a genetically modified fission yeast (S. pombe) strain (YN20), which expressed recombinant human SULT1A3 with minor modifications. Briefly, the fission yeast strain expressing SULT1A3 was precultured in 10 mL liquid Edinburgh Minimal Medium (EMM) at 30 °C, 230 rpm, and then transferred to a flask with 400 mL liquid EMM to grow a main culture. Subsequently, a certain number of cells was transferred to a centrifuge tube and centrifuged at 4 °C, 4500 rcf for 5 min. The supernatant was then discarded, and the cells were incubated in 0.3% Triton-X100 in Tris-KCl buffer (200 mM KCl, 100 mM Tris, pH 7.8) at 30 °C with agitation for one hour to permeabilize the cells. The cells were then washed thrice with NH4HCO3 buffer (50 mM, pH 7.8) and resuspended to a concentration of 2.5 × 108 cells per mL in 19.8 mL of a reaction mixture containing ATP (11 mM), (NH4)2SO4 (5.5 mM), MgCl2 (20 mM) in NH4HCO3 buffer (50 mM, pH 7.8). The reaction was started by adding 200 µL of a substrate stock solution (100 mM) to the mixture (final concentration 1 mM), which was then incubated with agitation for 17 h at 37 °C to allow biotransformation. Finally, the reaction mixture was centrifuged at 4 °C, 3320 rcf for 5 min, and the supernatant containing the product was collected. The cells were washed twice with water, and the content of the merged supernatants was purified on a silica gravity column and additionally by semi-preparative HPLC separation. Details of the purification are described in Table A1 in Appendix A.1.

2.3. Characterization of Salbutamol-4′-O-sulfate

2.3.1. UHPLC-QTOF-MS

High-resolution accurate mass analysis of the biosynthesized salbutamol-4′-O-sulfate was performed in targeted MS/MS mode (2 Hz MS1; 3 Hz MS2) on an Agilent 6550 iFunnel QTOF-MS (G6550A; Agilent Technologies Inc., Santa Clara, CA, USA) coupled to an Agilent 1290 Infinity II UHPLC system (Agilent Technologies, Waldbronn, Germany). Ionization was achieved utilizing an electrospray ionization (ESI) source (Dual Agilent Jetstream) in positive and negative modes. Source parameters were 3500 V capillary voltage, 500 V nozzle voltage, drying gas temperature 170 °C, drying gas flow 17 L/min, nebulizer 10 psi, sheath gas temperature 375 °C, and sheath gas flow 12 L/min. The UHPLC was equipped with an Agilent Poroshell 120 phenyl–hexyl column (3.0 mm I.D. × 100 mm; 1.9 µm), gradient elution was performed at a flow rate of 0.400 mL/min at 35 °C column temperature and started with 5% B (20 mM ammonium formate in MeOH) and 95% A (20 mM ammonium formate in water) for 1 min. The gradient evolved in 4 min to 40% B, then in 2 min to 95% B, and was then kept at 95% B for 1.9 min before re-equilibration.

2.3.2. Nuclear Magnetic Resonance

1H (400 MHz) and 13C NMR (100 MHz) were recorded at 298 K on a Bruker Avance III 400 instrument (Bruker, Rheinstetten, Germany). ERETIC analysis was performed with 30° angle, 16 scans, and an interscan delay of 40 s. The frequency range was +/− 10 ppm, and 64k data points were generated. NMR integrals were referenced to NMR integrals of 10.05 mg 1,3,5-trimethoxybenzene (TraceCERT Lot#BCBO5470) in 0.605 mL d6-DMSO counting in the content given by its batch analysis certificate. Analytes were dissolved in d6-DMSO (99.8%) and measured in Wilmad economy-grade NMR sample tubes.

2.4. Proof of Concept: Longitudinal Case Study and Urine Analysis

2.4.1. Study Design

Different formulations of racemic salbutamol and pure levosalbutamol were administered to one healthy volunteer. Single doses of 600 µg of racemic salbutamol were applied by inhalation as aerosol (SA_MDI 6 × 100 µg; SalbuHEXAL® N) and as powder inhalation (SA_DPI, 3 × 200 µg; CYCLOCAPS® Salbutamol) to evaluate equivalence in excretion of the parent drug and its sulfoconjugated metabolite to the use of a metered dose inhaler (MDI) and a dry powder inhaler (DPI). Furthermore, levosalbutamol was administered pulmonary at a therapeutic dose of 90 µg (LSA_MDI_TD, 2 × 45 µg; Xopenex HFA®) and a high dose of 630 µg (LSA_MDI, 14 × 45 µg; Xopenex HFA®). Additionally, oral administrations of 2 mg of racemic salbutamol as a liquid (SAP, 2 mL as drops; SALBU-BRONCH® Elixir 1 mg/mL) and 1 mg of levosalbutamol hydrochloride (LSAP, 2 mL of a 0.5 mg/mL levosalbutamol solution) were performed. Administrations were carried out at least one week apart to ensure full washout. Urine was collected pre- and for up to 6 days post-administration. All urine samples were collected as they accrued throughout at least the first 48 h after administration. Afterward, morning urines were collected. Excreted volumes and corresponding collection periods were recorded. Aliquots of the urine samples were stored at −20 °C until analysis.

2.4.2. Matrix Assisted Calibration

Matrix-assisted calibration was performed with the biosynthesized salbutamol-4′-O-sulfate reference. Calibration levels in a range of 1.86 ng/mL to 186 ng/mL for salbutamol-4′-O-sulfate and 0.83 ng/mL to 1665 ng/mL for salbutamol were prepared with analyte-free urine.

2.4.3. Sample Preparation

For sample preparation, urine sample aliquots were thawed at room temperature. To 200 µL of the urine sample, 700 µL methanol and 100 µL internal standard (IS) solution containing d9-salbutamol were added to a final concentration of 500 ng/mL. Samples were then cooled for 10 min at −20 °C, centrifuged at 14,100 rcf for 5 min, and the supernatant was transferred to 1.5 mL glass vials for analysis. Calibration solutions were prepared accordingly. Urine samples were diluted with analyte-free urine prior to sample preparation if the results exceeded the highest calibration level.

2.4.4. Specific Gravity of Urine Samples

The specific gravity of all urine samples was determined using a Kruess Handrefraktometer HRMT 18 (A. KRÜSS Optronic GmbH, Hamburg, Germany). Measurements were performed at 22 °C. The device was calibrated with demineralized water prior to sample analysis.

2.4.5. Instruments and Chromatographic Conditions for Urine Analysis

All quantitative urine analyses were carried out by ultrahigh performance liquid chromatography-tandem mass spectrometry (UHPLC-MS/MS) using a 1290 Infinity II UHPLC-System (Agilent Technologies, Waldbronn, Germany) coupled to a 6495 iFunnel triple quadrupole (QQQ) MS (G6495B; Agilent Technologies, Santa Clara, CA, USA). Chromatography was performed utilizing an Agilent InfinityLab Poroshell 120 phenyl-hexyl column (3.0 mm I.D. × 100 mm; 1.9 µm) at a temperature of 35 °C. Multistep gradient elution was performed using 20 mM ammonium formate in water (A) and 20 mM ammonium formate in methanol (B) at a flow rate of 0.400 mL/min. Gradient elution started and was kept for 1 min at 5% B, increased to 40% B in four minutes, and then in 1 min to 95% B and was kept at 95% B for 1.9 min before re-equilibration at 5% B. Post time was set to 2.5 min. The tandem mass spectrometer was operated in positive and negative electrospray ionization (ESI+ and ESI−) modes using multiple reaction monitoring (MRM). Detailed parameters for all analytes are available in Table 1.

2.4.6. Method Characterization

The UHPLC-MS/MS method was previously described, and basic validation was performed by Harps et al. [5]. Retention time stability, matrix effect (ME), and precision were monitored in this study. Sample preparation was evaluated by performing experiments on recovery.
Experiments on ME were performed. Therefore, samples free from the matrix were prepared, and the target analytes were spiked at the very end of the sample preparation. Two different concentrations of salbutamol (104 ng/mL and 1040 ng/mL) and salbutamol-4′-O-sulfate (12 ng/mL and 116 ng/mL) in urine or water, which were within the calibration range were chosen, and samples were generated as triplicates. ME calculations were carried out according to Matuszewski et al. [20].
M E % = P e a k   a r e a   m a t r i x   m a t c h e d   c a l i b r a t i o n   P e a k   a r e a   n e a t   s o l v e n t   c a l i b r a t i o n × 100
Recovery of the analytes was evaluated by comparing the peak areas of samples spiked before sample preparation to samples spiked with the target analytes after sample preparation. All samples contained an analyte-free matrix. Recovery for two different concentrations for each analyte was evaluated, and samples were generated in triplicate. For salbutamol concentrations in urine were 104 ng/mL and 1040 ng/mL and 12 ng/mL and 116 ng/mL salbutamol-4′-O-sulfate.
The precision of the quantitative UHPLC-QQQ-MS/MS method was evaluated for all calibration levels within the limits of quantitation. For each calibration level, triplicates were generated and analyzed on two different days. Thus, inter-day differences in precision were evaluated as well as precision over the two days.

2.5. Data Analysis

For the confirmation of the identity of the salbutamol and salbutamol-4′-O-sulfate peaks, qualifier–quantifier ratios and statistical evaluation were calculated in OriginPro® 2019 (Academic) (OriginLab Corporation, Northampton, MA, USA).
Specific gravity-adjusted concentrations (CSG-V) were calculated using the mean specific gravity (SGmean) determined from all urine samples of the volunteer, the determined concentration (C), and the specific gravity of the urine sample (SGsample).
C SG V = SG mean 1 SG sample 1   × C  
Adjusted concentration (CSG-N) calculated with normal specific gravity (1.02):
C SG N = 1.02 1 SG sample 1   × C  
Additionally, urinary flow adjusted concentrations (Cadj-UF) were calculated by a factor (f) describing the relation of the mean urinary flow rate (UFmean) of the volunteer throughout all collection periods and the urinary flow rate for the specific sample (UFsample). The measured concentration (C) was multiplied by f to adjust the concentration.
f = UF sample UF mean
Measured concentrations (C) were multiplied with f to adjust for the urinary flow.
C adj UF = f   × C
The individual excreted masses (m) of salbutamol and salbutamol-4′-O-sulfate (as salbutamol equivalent) were calculated by the following equation with excreted volumes of the urine (V) and the measured concentration of the analytes (C) for salbutamol as well as for the sulfoconjugate. The mass of the sulfoconjugate was calculated as salbutamol equivalent.
m   =   V   × C
The total excreted cumulative mass (mexcreted) was calculated back to the sum of excreted salbutamol (msal (t)) and salbutamol-4′-O-sulfate (mmetabol (t)) per collection period (t).
m excreted = m sal   t + m metabol   t  
Proportions of salbutamol-4′-O-sulfate and salbutamol were calculated in relation to the total amount of salbutamol excreted as both compounds. Amounts of salbutamol-4′-O-sulfate were always calculated back to the mass of salbutamol metabolized. All calculations were performed using Microsoft® Excel 16.71 (Munich, Germany).

3. Results

3.1. Biosynthesis and Characterization of Reference by UHPLC-QTOF-MS and NMR

Reference material was successfully synthesized using a biotechnological approach. While chemical synthesis by sulfonation of salbutamol using Py*SO3 yielded a mixture of several products besides non-reacted substrate, the biocatalyzed reaction is regioselective.
The product of biosynthesis was purified and subsequently characterized by UHPLC-QTOF-MS and NMR.
In ESI+ the accurate mass found for salbutamol-4′-O-sulfate [M+H]+ at RT = 3.69 min was m/z 320.11599 (exact mass m/z 320.11623, mass error Δm/z = −0.75 ppm). MS1 data in positive mode also showed the loss of SO3 as in-source fragmentation for salbutamol-4′-O-sulfate. This phenomenon was also observed in negative electrospray ionization mode, albeit to a considerably lesser extent. In QTOF-MS experiments, the sulfate showed higher stability in the ionization source injected from a neat solvent solution at the same ionization parameters in ESI−. The product ion spectra of salbutamol-4′-O-sulfate (A1 and A2) are displayed in Figure 2 (targeted MS2). Product ion spectra of salbutamol are also included for comparison (Figure 2B1,B2). After the loss of SO3 ([M+H−SO3]+ m/z 240.1579) salbutamol-4′-O-sulfate showed a similar fragmentation as salbutamol. Additional water losses led to the product ions m/z 222.14806 ([M+H−SO3−H2O]+) and m/z 204.13701 ([M+H−SO3−2H2O]+). α-Cleavage between position 2 and 3 of the side chain led to m/z 166.08561 ([C9H10O3]+), with an additional loss of water yielded m/z 148.07512 ([C9H8O2]+).
The fragmentation in negative mode (ESI−) behaves similarly, although only the loss of SO3 ([M−H−SO3] m/z 238.14506) and an additional loss of water ([M+H−SO3−H2O] m/z 220.13440) are observed with reasonable intensity at a collision energy of 10 eV.
Furthermore, 1H and 13C NMR shift data were collected for salbutamol hemisulfate salt and the biosynthesized sulfoconjugated salbutamol. The assignment of all signals was achieved unambiguously using 2D techniques like 1H,1H COSY, 1H,13C HSQC, and 1H,13C HMBC for the aliphatic ABX spin system and the AMX system of the aromatic protons. The chemical shifts and couplings are summarized in Table 2. The carbon attached to the phenol group of the sulfonated hydroxy group (the ipso position) was shielded by 3.84 ppm, and the chemical shifts of the carbon atoms ortho and para to the sulfonation site were in contrast, deshielded in a range of 4.53 to 7.30 ppm. Chemical shifts near other potential sulfonation sites, like the amine function or the benzylic or aliphatic hydroxy group, were only marginally changed. Diagnostic shift differences are marked in bold in Table 2.

3.2. Metabolite Identification in Urine Samples

The excretion of salbutamol and salbutamol-4′-O-sulfate was monitored in post-administration urines using UHPLC-MS/MS. For identification, ratios, and ranges of qualifier–quantifier peak areas were calculated for salbutamol and salbutamol-4′-O-sulfate references using the data from the matrix-assisted calibration. The tolerances for the qualifier–quantifier ratios were set according to the WADA criteria for identification in tandem mass spectrometry [21]. The defined tolerance windows are based on the abundance of the diagnostic ions (qualifier) to the reference (quantifier). For a relative abundance of diagnostic ions in the range of >50–100%, a difference of 10% (absolute); for a relative abundance >25–50%, 20% (relative); and for relative abundances <25%, 5% (absolute) is allowed (Table 3).
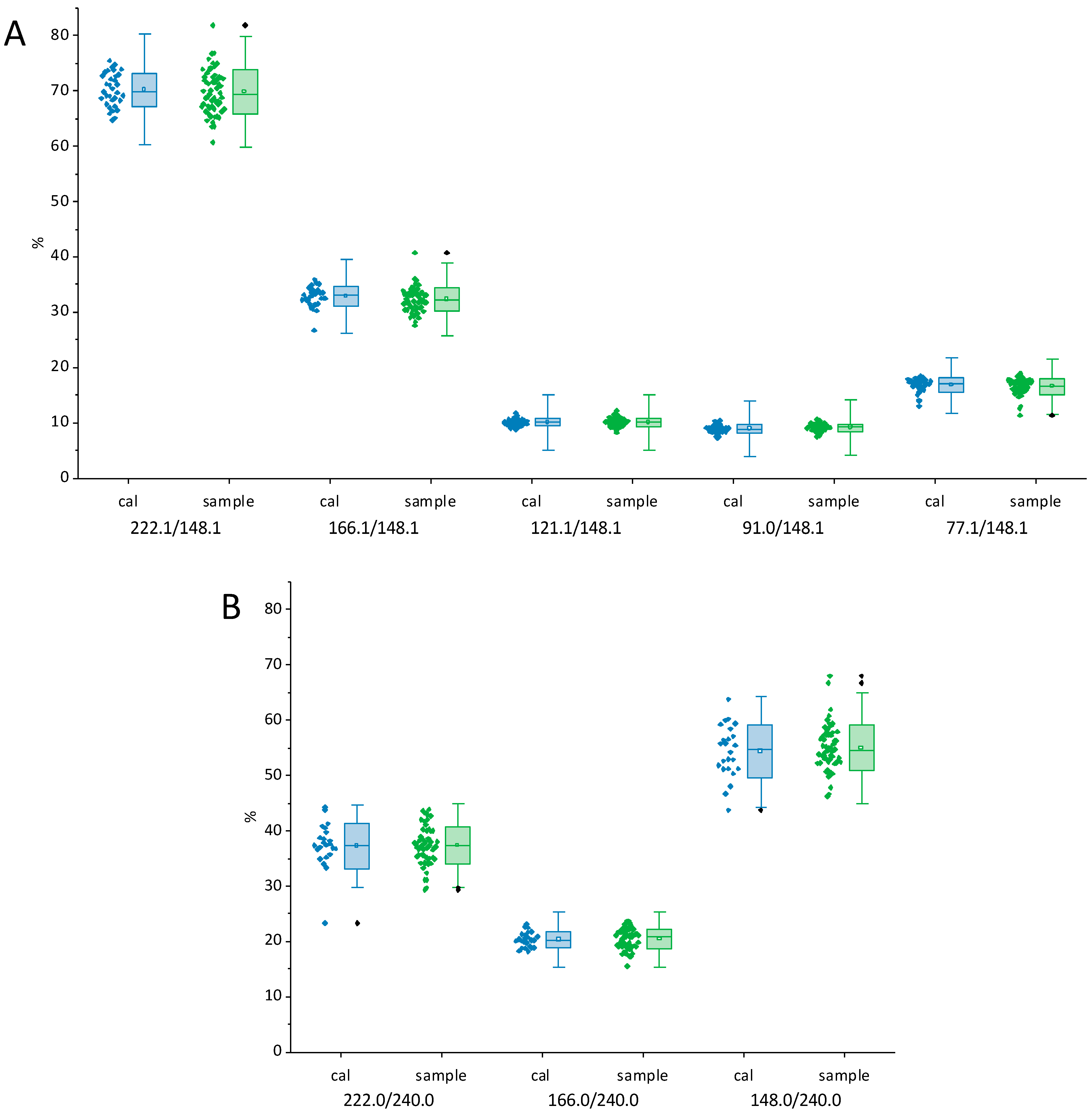
The median values for the qualifier-quantifier ratios found in the analysis of the calibration were used as reference values. The distribution of the qualifier–quantifier ratios of the calibration and the samples are shown in Figure 3. The requirement for the assignment of a peak to one of the targeted analytes was that at least two qualifier–quantifier peak area ratios were within the given range. This was achieved in all samples within the calibrated concentration range, thus clearly identifying salbutamol and salbutamol-4′-O-sulfate.
Except for the qualifier–quantifier ratio of 148.0 to 240.0 (Figure 3B), the distribution showed a lower scatter in the calibration samples. Qualifier–quantifier ratios in the quantitation of salbutamol-4′-O-sulfate gave a higher scatter than the ratios in salbutamol analysis. Throughout the measurements, the distribution of the qualifier–quantifier ratios showed only a few outliers, of which not all were outside the set tolerance limits from Table 3. Out of the three highlighted outliers in Figure 3A, two qualifier–quantifier ratios of 222.1/148.1 and 166.1/148.1 from two different samples (127 ng/mL and 3.7 ng/mL, respectively) were above the upper tolerance limit. In a further sample (1.7 ng/mL), the ratio of 77.1/148.1 was below the lower tolerance limit. All outliers were related to trace level concentration of salbutamol. Regarding the distribution of the qualifier–quantifier ratios of salbutamol-4′-O-sulfate shown in Figure 3B, two outliers from the calibration (level 1 and 3, respectively) were found, one at 222.0/240.0 and one at 148.0/240.0, both showing ratio below the lower tolerance limit. Four outliers were found in the qualifier–quantifier distribution of the samples, two at 222.0/240.0 and below and two at 148.0/240.0 and above the tolerance limits with concentrations of 3.5, 6.8, 5.9, and 5.6 ng/mL, respectively. Not any sample from the volunteer nor any calibration sample showed more than one outlier.

3.3. UHPLC-QQQ-MS/MS Method Characterization

The mean values of the retention times of the analytes were 3.502 min for salbutamol-4′-O-sulfate and 4.079 min for salbutamol, with maximum deviations of 0.034 min and 0.021 min, respectively. Retention time stability has been proven, and the tolerance of 1% of the retention time was not exceeded. Chromatograms of salbutamol and salbutamol-4′-O-sulfate are shown in Figure 4.
Evaluating the precision for salbutamol-4′-O-sulfate and salbutamol in all calibration levels, variation coefficients were from 2.4% to 7.3% and from 2.7% to 11.1%, respectively. Differences in precision between two days (inter-day precision) for salbutamol-4′-O-sulfate was from 0.2% to 11.4% and for salbutamol from 0.2% to 18.2%. The overall precision, as well as the inter-day precision, did not exceed 20%.
ME was found to be 68.4% for 12 ng/mL and 70.3% for 116 ng/mL for salbutamol-4′-O-sulfate in urine. For 104 ng/mL and 1040 ng/mL salbutamol in urine, 86.1% and 93.7% were found, respectively.
Recovery in the sample preparation was for the low level 97.4% for salbutamol and 99.9% for salbutamol-4′-O-sulfate and for the high level, 94.6% and 104.4%, respectively.

3.4. Evaluation of Urinary Excretion Profiles

3.4.1. Inhalation of Salbutamol through Dry Powder Inhaler vs. Metered Dose Inhaler

An equal dose (600 µg) of salbutamol was applied using a DPI and an MDI to assess the equivalence of different inhalation devices. Excretion of salbutamol and the sulfoconjugate appears to be equivalent for administration by MDI and DPI. Hence, only results from the MDI trial were used for comparison of inhalation of racemic salbutamol and levosalbutamol. The results of this trial are shown in Appendix A.2 (Table A2).

3.4.2. Urinary Excretion Rates

Following oral application of the racemic and enantiopure preparation, the highest excretion rate of salbutamol occurred in the collection period between 2–4 h and for inhalation administration after 1–2 h. When applied pulmonary as levosalbutamol, the maximum excretion rate tended to appear earlier, more precisely within the first hour after administration. Excretion rate maxima of salbutamol-4′-O-sulfate, on the other hand, appeared at a similar time for oral racemic and pulmonary enantiomeric application with a maximum excretion rate after 2–4 h, whereas pulmonary application of racemic salbutamol led to the highest excretion rate within 1–2 h post-administration. In contrast to the oral administration of racemic salbutamol, when applied as oral levosalbutamol, the maximum excretion rate for the sulfoconjugate occurred within the first-hour post-administration. Renal excretion rates of racemic salbutamol, levosalbutamol, and their sulfoconjugated metabolites after pulmonary and oral administration are shown in Figure 5.
Excreted parent compound and sulfonated metabolite were successfully determined for up to 70 h post administration for orally applied racemic salbutamol (SAP), 60 h for oral levosalbutamol (LSAP), and 46 h for inhaled racemic drug (SA_MDI). After pulmonary administration of 630 µg levosalbutamol (LSA_MDI) quantitative measurements for unchanged salbutamol were possible for 32 h and for 90 µg levosalbutamol (LSA_MDI_TD) 24 h post administration. Salbutamol-4′-O-sulfate, on the other hand, was also determined in later samples than the parent compound when pure levosalbutamol was applied with a quantitation window of 48 h for a high dose 630 µg and 46 h for a therapeutic dose of 90 µg levosalbutamol. Concentrations measured in later samples were below the calibrated range (0.83 ng/mL to 1665 ng/mL for salbutamol and 1.86 ng/mL to 186 ng/mL for sulfoconjugate), but identification of the analytes was still possible even at the later excretion times. The total renally excreted amount and the time of the highest excretion rate tmax (urine) are shown in Table 4.

3.4.3. Proportions of Salbutamol and Salbutamol-4′-O-sulfate

The proportion of the excreted compounds related to the total excreted amount is shown in Figure 6. For all administrations, the majority was excreted as the sulfoconjugated metabolite, while 7–45% of the excreted amount was recovered as an unchanged parent compound. After administration of levosalbutamol, the excreted proportion of salbutamol-4′-O-sulfate was higher than after application of racemic salbutamol for pulmonary as well as oral administration.

3.4.4. Salbutamol-4′-O-sulfate in Relation to Unchanged Salbutamol

In the first hour after pulmonary application of racemic salbutamol and levosalbutamol, two to three times more unconjugated salbutamol than sulfate-metabolite was recovered in the urine. During the following collection periods, the correlation reversed, and salbutamol-4′-O-sulfate predominated the excreted amount. However, differences in the sulfate metabolite proportion for racemic formulation and the pure enantiomer were observed. Proportions of excreted salbutamol-4′-O-sulfate in relation to unconjugated salbutamol are shown in Figure 7, exemplary for administration by inhalation. Proportions after oral administration are shown in Appendix A.3 (Figure A1). For the entire time of renal elimination, the proportion of salbutamol-4′-O-sulfate did not exceed 75% and shifted towards salbutamol again after twelve hours when racemic salbutamol was inhaled whereas for pure levosalbutamol, the metabolite proportion climbed up to 95% for a supratherapeutical (630 µg) dose and 84% for a therapeutical dose (90 µg) levosalbutamol. When administered orally as a racemate, the sulfonated metabolite predominated the excreted amount throughout twelve hours post-administration. In later samples, a slight shift towards an equal amount of both analytes and a slight tendency towards unchanged salbutamol was observed. In contrast, after oral administration of levosalbutamol the sulfate proportion was higher than 85% from the very beginning of urinary excretion and did not fall below 72%, showing that most of the compound was renally excreted as the sulfoconjugate at all collection times.

3.4.5. Adjustment by the Specific Gravity of the Urine and by Urinary Flow Rate

The specific gravity (SG) of all urine samples was measured. Concentrations were then corrected with the SG to compensate for dilution or concentration of the urine resulting from high or low liquid intake or physical activity. Uncorrected concentrations of salbutamol and salbutamol-4′-O-sulfate, as well as SG and urinary flow rate and the adjusted concentrations, are exemplary for inhaled racemic salbutamol in Figure 8. The other trials are shown in Figure A2 (Appendix A.3).
A high urinary flow rate of the volunteer resulted in a low specific gravity of the sample. This correlation is shown by a mirror-like appearance of the upper graphs in Figure 8 and Figure 9. When the urinary flow rate was higher than the average for the volunteer and the specific gravity lower than average, the adjusted concentration of salbutamol was estimated to be higher than measured and vice versa (Figure 9).

4. Discussion

4.1. Biosynthesis and Characterization of Salbutamol-4′-O-sulfate

To directly quantify salbutamol-4′-O-sulfate, reference material was biosynthesized and characterized by UHPLC-QTOF-MS and NMR. The lack of selectivity in sulfonation of the three hydroxy groups in salbutamol is a great challenge in chemical synthesis. Similar to analogous sympathomimetic drugs, the protection group strategies failed [22]. A highly selective approach was chosen utilizing recombinant human SULT1A3 expressed in genetically modified fission yeasts. The incubation resulted in one mono-sulfonated product, and no further sulfonation byproducts were detected. Further considerations of green chemistry were met for the biosynthesis by using only aqueous solutions instead of organic solvents [23]. However, a bottleneck is the consumption of chemicals in the purification process.
The accurate mass of one-time sulfonated salbutamol was successfully detected in QTOF analysis. Furthermore, fragmentation experiments (MS/MS) verified the successful conjugation of the SO3-moiety by enzymatic synthesis in S. pombe. Although the sulfonation site was expected to be at the phenolic hydroxy group due to the use of the phenol-sulfotransferase 1A3, mass spectrometric experiments could not provide sufficient confirmation as fragmentation analysis did not reveal diagnostic evidence. To prove the exact sulfonation site of salbutamol, 1H, and 13C NMR shift data were collected for salbutamol hemisulfate salt and the biosynthesized sulfoconjugate of salbutamol.
The problem of determining the sulfonation site in substituted phenols has already been described by Purchartová et al. [24], who demonstrated that direct proof was not possible. The position of sulfonation was identified indirectly by the effects of chemical shifts on neighboring atoms, most prominently on the carbon atoms. In general, for simple phenols and also more complex structures and natural products with higher substituted aromatic rings, the following effects upon sulfonation are observed in deuterated water, methanol, or dimethyl sulfoxide [24,25,26]: The carbon attached to the phenol group of the sulfonated hydroxy group (the ipso position) is shielded by 4 to 6 ppm, the chemical shifts of the carbon atoms ortho and para to the sulfonation site, in contrast, are deshielded in a range of 3 to 7 ppm, the meta positions are not influenced to such a large extent. Similarly, the chemical shifts of the protons in ortho position of the sulfonation site are deshielded by 0.4 to 0.6 ppm; other protons in the ring system exhibit only a small low field shift in the range of 0.1 ppm. These effects were also observed without exception in the case of sulfonated salbutamol, and the chemical shifts near other potential sulfonation sites, like the amine function or the benzylic or aliphatic hydroxy group, were only marginally changed. Thus, the 4′-hydroxy group was clearly identified as a sulfonation site. Due to fast exchange processes, the protons of the amine and hydroxy functions were not observed as separate signals, which was considered independent proof of the sulfonation of the phenolic hydroxy group as well.
After biosynthesis and subsequent purification, the amount of salbutamol-4′-O-sulfate was determined by absolute quantitative NMR, which allows its use as a reference for metabolite determination in urine samples.
A reliable identification of salbutamol and salbutamol-4′-O-sulfate in the quantitation was achieved by monitoring the qualifier–quantifier ratios after forced fragmentation. Within the range of the quantitation in all matrix-assisted calibration samples and all samples from the volunteer, at least two qualifier–quantifier ratios were valid according to the WADA criteria. Considering the dilution while sample preparation, all outliers were related to concentrations at the trace level. The one exception was still at the trace level. Distribution in the qualifier–quantifier ratio of salbutamol-4′-O-sulfate showed a wider scattering and subsequent higher standard deviations for comparable ratio levels. In-source fragmentation, which might also be affected by the matrix of the urines, might reduce the precision in forced fragmentation by tandem MS/MS. Additionally, the higher sensitivity for salbutamol in this method may result in tighter distribution patterns. However, the WADA-based identification criteria in terms of qualifier–quantifier ratios as prerequisite for the quantitation was successfully achieved. The robustness of different urine matrices should be investigated in the future.

4.2. Basic Method Validation

Additionally, to carry over, as performed by Harps et al. [5], basic method validation was successfully performed in terms of retention time stability, matrix effect, recovery, and precision. The method was proven to be suitable for this study.

4.3. Proof of Concept: Achiral Analysis of Urinary Excreted Salbutamol and Salbutamol-4′-O-sulfate for Discrimination of Application Routes and Enantiomeric Composition of the Administered Drug

Considering the different routes of administration (i.e., oral (aqueous solution) versus inhalation (MDI)), it became apparent that the period for salbutamol and salbutamol-4′-O-sulfate in which the analytes were quantifiable was 1.5 times longer after oral administration. Similarly, a 1.2 times longer quantitation window was observed after oral administration of the racemic drug compared to oral administration of levosalbutamol. Likewise, the maximum excretion rate of the unchanged drug after oral administration of the racemic drug was 1.6 times higher than after levosalbutamol. The highest excretion rate of the sulfoconjugate after application of a racemic drug was 10 times the maximum excretion rate of salbutamol-4′-O-sulfate after enantiopure administration. As the amount of administered racemic salbutamol was higher than the amount of levosalbutamol in oral applications, and the oral dosage was higher than the pulmonary applied dosage, the observed longer occurrence in urine and higher excretion rate was not surprising. By comparing the inhalation of similar doses (~600 µg) of racemic and enantiopure salbutamol, a shorter detection window for the parent compound was observed after enantiopure administration, whereas the quantitation window for the sulfoconjugate was slightly longer. Even after inhalation of 90 µg levosalbutamol, the salbutamol-4′-O-sulfate quantitation window was the same as for 600 µg inhaled racemic salbutamol, indicating a higher rate of metabolization for the enantiopure drug. After inhalation, higher excretion rates were observed for sulfonated salbutamol after applying the enantiopure drug. While the highest excretion rates for the parent compound were similar for both formulations, tmax was observed sooner (0.5 h) after inhalation of levosalbutamol than after racemic salbutamol (1.5 h). This observation may be explained by a higher metabolization rate of the preferenced (R)-salbutamol, leaving less parent drug to be excreted. For racemic salbutamol, the less preferred (S)-salbutamol might have led to a relatively higher excretion rate. Chiral analysis would be needed to prove this hypothesis finally.
After administration of levosalbutamol, the parent compound was sulfoconjugated to a greater extent than after racemic salbutamol. The highest amounts of sulfoconjugate were found when levosalbutamol was administered orally (84% of the dose was excreted as sulfoconjugate). This is in accordance with the literature that SULT1A3 is mainly localized in the jejunum [8,11]. According to literature, only 10–20% of an inhaled dose was delivered to the lungs, whereas the rest of the dose was swallowed, leading to high shares of salbutamol-4′-O-sulfate recovered in urine after inhalation of salbutamol [18,27,28]. In line with these findings in the current study, the application of levosalbutamol disregarded the dosage and administration pathway, leading to higher proportions of its sulfonated metabolite in the urine. Considering the same applied amount of levosalbutamol in racemic or enantiopure administration (LSAP 1 mg vs. SAP 2 mg), the results reflect and support the above-mentioned higher affinity of SULT1A3 towards (R)-salbutamol, which was already reported by Boulton et al. and Walle et al. [1,14]. Opposed to oral administration, after inhalation, less sulfoconjugate was formed from racemic salbutamol as well as from levosalbutamol. Due to the missing first-pass effect in the lungs [29], the truly pulmonary applied part of the dose contributes less to the generation of salbutamol-4′-O-sulfate. Further investigations may profit from the additional availability of serum samples and an enhanced number of participants.
In the analysis of urine samples, usually, the analyte’s concentration in the urine is measured. However, the concentration of the analyte does not account for the excreted urine volumes, and subsequently, highly diluted or concentrated urines may compromise the assessments of the results. High or low intake of liquids, physical activity, and the loss of volume (sweating) impact the specific gravity of the excreted urine. Therefore, measured salbutamol and salbutamol-4′-O-sulfate concentrations were adjusted using two different methods, and the adjustments by the specific gravity of the urine sample or by the urinary flow rate showed both methods to be reasonably applicable. In this study changes in the urinary flow rate were also seen to be reflected in the specific gravity. However, the correction of the concentration was not always to the same extent for both methods highly depending on the chosen reference values.
The results of the study show that the main metabolite salbutamol-4′-O-sulfate is important to consider for urine analysis of salbutamol to allow for discrimination between the administration of racemic salbutamol or enantiopure levosalbutamol. Neither inhalation nor oral administration of levosalbutamol would be classified as an adverse analytical finding in doping control analysis by only evaluating the urinary excreted salbutamol. Applying the WADA rules for doping control analysis [2,3], concentrations or adjusted concentrations (specific gravity) of salbutamol did not exceed the WADA’s decision limit (1200 ng/mL) throughout the study. However, considering the proportions of salbutamol-4′-O-sulfate for a distinction of oral administration vs. inhalation or racemic vs. levosalbutamol is a promising approach. Further studies, including more participants, should be performed to account for interindividual variations. Therefore, reference substances of phase II metabolites are of great value to correctly assess and identify the prohibited use of enantiopure drugs by achiral routine analysis.

5. Conclusions

The main metabolite of salbutamol, salbutamol-4′-O-sulfate, was successfully biosynthesized, characterized, and quantified in this study, which facilitated the quantitative analysis of the sulfoconjugated metabolite in urine. Different formulations of salbutamol were applied in a case study in one healthy volunteer as proof of concept for discrimination of administration of racemic and enantiopure salbutamol by achiral analysis. The extent of metabolization was shown to be higher for levosalbutamol than for racemic salbutamol, reflected in higher sulfate proportions at all times of sample collection. Therefore, the evaluation of the proportion of salbutamol and salbutamol-4′-O-sulfate in urine was found to be a promising approach for the discrimination of the applied drug formulation or enantiomerical form.

Author Contributions

Conceptualization, A.L.J., L.C.H., F.M.B., X.d.l.T. and M.K.P.; methodology, A.L.J., L.C.H., Y.S., M.B. and U.G.; validation, A.L.J. and L.C.H.; formal analysis, A.L.J. and U.G.; investigation, A.L.J., L.C.H., F.B. and M.K.P.; resources, M.K.P., M.B. and F.M.B.; data curation, A.L.J.; writing—original draft preparation, A.L.J.; writing—review and editing, L.C.H., F.B., M.B., U.G., F.M.B., X.d.l.T. and M.K.P.; visualization, A.L.J. and F.B.; supervision, M.K.P., M.B. and F.M.B.; project administration, M.K.P.; funding acquisition, M.K.P., M.B. and F.M.B. All authors have read and agreed to the published version of the manuscript.

Funding

The biosynthesis of salbutamol-4′-O-sulfate was partially funded by the World Anti-Doping Agency (WADA), grant number WADA 19A10MP. The article processing charges (APC) are covered by the Open Access Publication Initiative of Freie Universität Berlin.

Institutional Review Board Statement

The study was conducted in accordance with the Declaration of Helsinki. The volunteer provided informed consent before participation.

Informed Consent Statement

Informed consent was obtained from all subjects involved in the study.

Data Availability Statement

Data are available from the authors upon request.

Acknowledgments

We would like to acknowledge the assistance of the Core Facility BioSupraMol, supported by the DFG. The authors thank the OpenAccess Publication Fund of Freie Universität Berlin for support of the APC.

Conflicts of Interest

The authors declare no conflict of interest.

Appendix A

Appendix A.1. Purification of Biosynthesized Salbutamol-4′-O-sulfate

After the biosynthesis, the solution containing the product was freeze-dried over 3 days. Subsequent steps are shown in Table A1.
Table A1. Purification conditions for biosynthesized salbutamol-4′-O-sulfate reference.
Table A1. Purification conditions for biosynthesized salbutamol-4′-O-sulfate reference.
Gravity Column PurificationHPLC Purification
Sample preparationDissolving dried remains in methanol, filtrationEvaporation of fractions containing product to reduce sample volume
Filtration of silica remains
Stationary phaseSilicaC18
Column length40 cm25 cm
Column diameter3.5 cm1 cm
Particle sizen.a.5 µm
Flow raten.a.2.5 mL/min
Mobile phaseIsopropanol:ethyl acetate:ammonia (17.5%)
40:50:10 (V:V:V)
A: water
B: acetonitrile
0–5 min: 3% B to 15% B
5–6.5 min: 15% B
6.5–16 min: 15% B to 27% B
16–20 min: 27% B to 45% B
20–22 min: 45% B to 95% B
25–27 min: 95% B to 3% B
Detection of productFraction analysis with LC-MSUV detection 265 nm
n.a. not applicable.

Appendix A.2. Inhalation of Salbutamol through Dry Powder Inhaler vs. Metered Dose Inhaler

An equal dose (600 µg) of salbutamol was applied using a DPI and an MDI to assess the equivalence of different inhalation devices. Administration of racemic salbutamol with an MDI was performed in duplicate. The results for the excreted total salbutamol (salbutamol + sulfoconjugate) quantity and the shares excreted as unchanged drug and sulfonated metabolite are shown in Table A2. The amount of the dose recovered in the urine was 80% after administration as powder and 83–115% after using an MDI. The proportion of cumulative excreted salbutamol and salbutamol-4′-O-sulfate related to the total excreted amount of salbutamol was similar for both administration types. Excretion of salbutamol and the sulfoconjugate appears to be equivalent for administration by MDI and DPI. Hence, only results from the MDI trial were used for comparison of inhalation of racemic salbutamol and levosalbutamol.
Table A2. Cumulative proportion of compounds excreted after administration of salbutamol using dry powder inhaler or metered dose inhaler.
Table A2. Cumulative proportion of compounds excreted after administration of salbutamol using dry powder inhaler or metered dose inhaler.
DPI 1MDI 2MDI 2_2
Percentage of dose recovered in urine 380%115%83%
Proportion of parent compound 442%46%41%
Proportion of salbutamol-4′-O-sulfate 458%54%59%
1 DPI—Dry powder inhaler. 2 MDI—Metered dose inhaler. 3 amount excreted as parent compound and sulfonated metabolite in relation to administered dose. 4 calculated as the percentage of overall amount excreted as salbutamol and salbutamol-4′-O-sulfate.
Inhalation by the two different application forms, i.e., DPI and MDI, were compared, and it was found to lead to the same proportion of parent compound and salbutamol-4′-O-sulfate for the total excreted amount. Administration by MDI was repeated due to an amount of more than 100% of the dose recovered in the urine. Possible reasons for values over 100% might be the release of a higher dose than specified by the manufacturer in the first puffs of a new inhaler. The repetition of the administration of 600 µg racemic salbutamol from an MDI led to a recovery of 83% of the dosage in the urine. The same MDI was used, supporting the assumption of the first doses released from the inhaler being higher than 100 µg per puff. However, another source for recovery over 100% might serve the relatively high uncertainty in urine volume determination. The volumetric device used was not qualified for high precision volume determination of very low amounts of urines. This uncertainty may contribute to inaccuracy for the total amount of recovered salbutamol in the first trial of inhalation application of 600 µg racemic salbutamol (SA_MDI). In the repetition of the trial (SA_MDI_2) the urine collection was performed utilizing more accurate equipment for low volumes, if necessary.

Appendix A.3. Appendix Figures

Figure A1. Time profile of proportion of salbutamol-4′-O-sulfate excreted in urine in relation to total salbutamol excreted. Salbutamol-4′-O-sulfate was calculated as salbutamol equivalent. SA_MDI—600 µg inhaled racemic salbutamol, SAP—2 mg oral racemic salbutamol, LSA_MDI—630 µg inhaled levosalbutamol and LSA_MDI_TD—90 µg inhaled levosalbutamol, LSAP—1 mg oral levosalbutamol.
Figure A1. Time profile of proportion of salbutamol-4′-O-sulfate excreted in urine in relation to total salbutamol excreted. Salbutamol-4′-O-sulfate was calculated as salbutamol equivalent. SA_MDI—600 µg inhaled racemic salbutamol, SAP—2 mg oral racemic salbutamol, LSA_MDI—630 µg inhaled levosalbutamol and LSA_MDI_TD—90 µg inhaled levosalbutamol, LSAP—1 mg oral levosalbutamol.
Separations 10 00427 g0a1
Figure A2. Salbutamol (left) and salbutamol-4′-O-sulfate (right) uncorrected concentrations (blue) and adjusted concentrations by the specific gravity of the urines (green) and by the urinary flow rate (red) after (A,B) oral administration of 2 mg racemic salbutamol, (C+D) inhalation 630 µg and (E+F) oral administration of 1 mg levosalbutamol. Specific gravity and urinary flow rate for the samples are shown as dotted lines.
Figure A2. Salbutamol (left) and salbutamol-4′-O-sulfate (right) uncorrected concentrations (blue) and adjusted concentrations by the specific gravity of the urines (green) and by the urinary flow rate (red) after (A,B) oral administration of 2 mg racemic salbutamol, (C+D) inhalation 630 µg and (E+F) oral administration of 1 mg levosalbutamol. Specific gravity and urinary flow rate for the samples are shown as dotted lines.
Separations 10 00427 g0a2

References

  1. Boulton, D.W.; Fawcett, J.P. The pharmacokinetics of levosalbutamol: What are the clinical implications? Clin. Pharmacokinet. 2001, 40, 23–40. [Google Scholar] [CrossRef]
  2. World Anti-Doping Agency. WADA Prohibited List 2022. Available online: https://www.wada-ama.org/sites/default/files/resources/files/2022list_final_en.pdf (accessed on 5 July 2023).
  3. World Anti-Doping Agency. WADA Technical Document TD2022DL. Available online: https://www.wada-ama.org/sites/default/files/2022-01/td2022dl_v1.0_final_eng_0.pdf (accessed on 5 July 2023).
  4. Mackay, L.G.; Kazlauskas, R. The importance of reference materials in doping-control analysis. Anal. Bioanal. Chem. 2011, 401, 483–492. [Google Scholar] [CrossRef]
  5. Harps, L.C.; Bizjak, D.A.; Girreser, U.; Zügel, M.; Steinacker, J.M.; Diel, P.; Parr, M.K. Quantitation of Formoterol, Salbutamol, and Salbutamol-4′-O-Sulfate in Human Urine and Serum via UHPLC-MS/MS. Separations 2023, 10, 368. [Google Scholar] [CrossRef]
  6. Winkler, M.; Geier, M.; Hanlon, S.P.; Nidetzky, B.; Glieder, A. Human Enzymes for Organic Synthesis. Angew. Chem. Int. Ed. 2018, 57, 13406–13423. [Google Scholar] [CrossRef]
  7. Drăgan, C.-A.; Peters, F.T.; Bour, P.; Schwaninger, A.E.; Schaan, S.M.; Neunzig, I.; Widjaja, M.; Zapp, J.; Kraemer, T.; Maurer, H.H.; et al. Convenient Gram-Scale Metabolite Synthesis by Engineered Fission Yeast Strains Expressing Functional Human P450 Systems. Appl. Biochem. Biotechnol. 2011, 163, 965–980. [Google Scholar] [CrossRef]
  8. Ko, K.; Kurogi, K.; Davidson, G.; Liu, M.Y.; Sakakibara, Y.; Suiko, M.; Liu, M.C. Sulfation of ractopamine and salbutamol by the human cytosolic sulfotransferases. J. Biochem. 2012, 152, 275–283. [Google Scholar] [CrossRef]
  9. Jacobson, G.A.; Raidal, S.; Robson, K.; Narkowicz, C.K.; Nichols, D.S.; Haydn Walters, E. Bronchopulmonary pharmacokinetics of (R)-salbutamol and (S)-salbutamol enantiomers in pulmonary epithelial lining fluid and lung tissue of horses. Br. J. Clin. Pharmacol. 2017, 83, 1436–1445. [Google Scholar] [CrossRef]
  10. Sun, Y.; Harps, L.C.; Bureik, M.; Parr, M.K. Human Sulfotransferase Assays With PAPS Production in situ. Front. Mol. Biosci. 2022, 9, 827638. [Google Scholar] [CrossRef]
  11. Teubner, W. Charakterisierung von Sulfotransferasen im Gastrointestinaltrakt von Mensch und Ratte und Aktivierung von Promutagenen in V79-Zellen, die Eine Intestinale Form (1B1) des Menschen und der Ratte Exprimieren; Universität Potsdam: Potsdam, Germany, 2001. [Google Scholar]
  12. Gamage, N.; Barnett, A.; Hempel, N.; Duggleby, R.G.; Windmill, K.F.; Martin, J.L.; McManus, M.E. Human sulfotransferases and their role in chemical metabolism. Toxicol. Sci. 2006, 90, 5–22. [Google Scholar] [CrossRef]
  13. Riches, Z.; Stanley, E.L.; Bloomer, J.C.; Coughtrie, M.W.H. Quantitative Evaluation of the Expression and Activity of Five Major Sulfotransferases (SULTs) in Human Tissues: The SULT “Pie”. Drug Metab. Dispos. 2009, 37, 2255. [Google Scholar] [CrossRef]
  14. Walle, T.; Eaton, E.A.; Walle, U.K.; Pesola, G.R. Stereoselective metabolism ofRS-albuterol in humans. Clin. Rev. Allergy Immunol. 1996, 14, 101–113. [Google Scholar] [CrossRef]
  15. Boulton, D.W.; Fawcett, J.P. Pharmacokinetics and pharmacodynamics of single oral doses of albuterol and its enantiomers in humans. Clin. Pharmacol. Ther. 1997, 62, 138–144. [Google Scholar] [CrossRef]
  16. Mareck, U.; Guddat, S.; Schwenke, A.; Beuck, S.; Geyer, H.; Flenker, U.; Elers, J.; Backer, V.; Thevis, M.; Schänzer, W. Determination of salbutamol and salbutamol glucuronide in human urine by means of liquid chromatography-tandem mass spectrometry. Drug Test. Anal. 2011, 3, 820–827. [Google Scholar] [CrossRef]
  17. Boulton, D.W.; Fawcett, J.P. Enantioselective disposition of salbutamol in man following oral and intravenous administration. Br. J. Clin. Pharmacol. 1996, 41, 35–40. [Google Scholar] [CrossRef]
  18. Ward, J.K.; Dow, J.; Dallow, N.; Eynott, P.; Milleri, S.; Ventresca, G.P. Enantiomeric disposition of inhaled, intravenous and oral racemic-salbutamol in man--no evidence of enantioselective lung metabolism. Br. J. Clin. Pharmacol. 2000, 49, 15–22. [Google Scholar] [CrossRef]
  19. Sun, Y.; Machalz, D.; Wolber, G.; Parr, M.K.; Bureik, M. Functional Expression of All Human Sulfotransferases in Fission Yeast, Assay Development, and Structural Models for Isoforms SULT4A1 and SULT6B1. Biomolecules 2020, 10, 1517. [Google Scholar] [CrossRef]
  20. Matuszewski, B.K.; Constanzer, M.L.; Chavez-Eng, C.M. Strategies for the assessment of matrix effect in quantitative bioanalytical methods based on HPLC-MS/MS. Anal. Chem. 2003, 75, 3019–3030. [Google Scholar] [CrossRef]
  21. World Anti-Doping Agency. WADA Technical Document TD2021IDCR. Available online: https://www.wada-ama.org/sites/default/files/resources/files/td2021idcr_final_eng_0.pdf (accessed on 21 July 2021).
  22. Orlovius, A.-K.L. Sulfokonjugierte Sympathomimetika in der Dopinganalytik: Synthese, Charakterisierung und Analyse; Rheinische Friedrich-Wilhelms-Universität Bonn: Bonn, Germany, 2014; Available online: https://hdl.handle.net/20.500.11811/6086 (accessed on 9 July 2023).
  23. Kharissova, O.V.; Kharisov, B.I.; Oliva González, C.M.; Méndez, Y.P.; López, I. Greener synthesis of chemical compounds and materials. R. Soc. Open Sci. 2019, 6, 191378. [Google Scholar] [CrossRef]
  24. Purchartová, K.; Valentová, K.; Pelantová, H.; Marhol, P.; Cvačka, J.; Havlíček, L.; Křenková, A.; Vavříková, E.; Biedermann, D.; Chambers, C.S.; et al. Prokaryotic and Eukaryotic Aryl Sulfotransferases: Sulfation of Quercetin and Its Derivatives. ChemCatChem 2015, 7, 3152–3162. [Google Scholar] [CrossRef]
  25. Horst, M.; Hartog, A.; Morabet, R.; Marais, A.; Kircz, M.; Wever, R. Enzymatic Sulfation of Phenolic Hydroxy Groups of Various Plant Metabolites by an Arylsulfotransferase. Eur. J. Org. Chem. 2015, 2015, 534–541. [Google Scholar] [CrossRef]
  26. Ragan, M.A. Phenol sulfate esters: Ultraviolet, infrared, 1H and 13C nuclear magnetic resonance spectroscopic investigation. Can. J. Chem. 1978, 56, 2681–2685. [Google Scholar] [CrossRef]
  27. Melchor, R.; Biddiscombe, M.F.; Mak, V.H.; Short, M.D.; Spiro, S.G. Lung deposition patterns of directly labelled salbutamol in normal subjects and in patients with reversible airflow obstruction. Thorax 1993, 48, 506–511. [Google Scholar] [CrossRef]
  28. Nishikawa, M.; Masuyama, Y.; Nunome, M.; Yasuda, K.; Sakaki, T.; Ikushiro, S. Whole-cell-dependent biosynthesis of sulfo-conjugate using human sulfotransferase expressing budding yeast. Appl. Microbiol. Biotechnol. 2018, 102, 723–732. [Google Scholar] [CrossRef]
  29. Nakpheng, T.; Songkarak, S.; Suwandecha, T.; Sritharadol, R.; Chunhachaichana, C.; Srichana, T. Evidences for salbutamol metabolism by respiratory and liver cell lines. Drug Metab. Pharmacokinet. 2017, 32, 127–134. [Google Scholar] [CrossRef]
Figure 1. Chemical structures of (R)-salbutamol (a), (S)-salbutamol (b), racemic salbutamol-4′-O-sulfate (c), stereocenter (*).
Figure 1. Chemical structures of (R)-salbutamol (a), (S)-salbutamol (b), racemic salbutamol-4′-O-sulfate (c), stereocenter (*).
Separations 10 00427 g001
Figure 2. Product ion spectra (UHPLC-QTOF-MS) of salbutamol-4′-O-sulfate with 20 eV collision energy (A1) and salbutamol with 10 eV collision energy (B1) in positive mode and salbutamol-4′-O-sulfate with 20 eV collision energy (A2) and salbutamol with 10 eV collision energy (B2) in negative mode; blue rhombs indicate the respective precursor ion.
Figure 2. Product ion spectra (UHPLC-QTOF-MS) of salbutamol-4′-O-sulfate with 20 eV collision energy (A1) and salbutamol with 10 eV collision energy (B1) in positive mode and salbutamol-4′-O-sulfate with 20 eV collision energy (A2) and salbutamol with 10 eV collision energy (B2) in negative mode; blue rhombs indicate the respective precursor ion.
Separations 10 00427 g002
Figure 3. Distribution of the qualifier–quantifier ratios of matrix-assisted calibration (cal) and urine samples of (A) salbutamol and (B) salbutamol-4′-O-sulfate. Box shows standard deviation, whisker shows tolerances for qualifier–quantifier ratios (10% absolute tolerance for ratios >50–100%, 10% relative for ratios >25–50%, and 5% absolute for ratios <25%), solid line in box is median, and empty square in box is mean value. Black rhombs in line with box highlight outliers next to the box.
Figure 3. Distribution of the qualifier–quantifier ratios of matrix-assisted calibration (cal) and urine samples of (A) salbutamol and (B) salbutamol-4′-O-sulfate. Box shows standard deviation, whisker shows tolerances for qualifier–quantifier ratios (10% absolute tolerance for ratios >50–100%, 10% relative for ratios >25–50%, and 5% absolute for ratios <25%), solid line in box is median, and empty square in box is mean value. Black rhombs in line with box highlight outliers next to the box.
Separations 10 00427 g003
Figure 4. Chromatograms of salbutamol-4′-O-sulfate (A) and salbutamol (B). The transitions shown in the chromatograms are m/z 320.0 → 240.0 for salbutamol-4′-O-sulfate and m/z 240.0 → 148.1 for salbutamol, which were chosen as quantifiers. Due to the in-source fragmentation of salbutamol-4′-O-sulfate, the quantifier peak of salbutamol can also be detected at the retention time of the sulfoconjugate.
Figure 4. Chromatograms of salbutamol-4′-O-sulfate (A) and salbutamol (B). The transitions shown in the chromatograms are m/z 320.0 → 240.0 for salbutamol-4′-O-sulfate and m/z 240.0 → 148.1 for salbutamol, which were chosen as quantifiers. Due to the in-source fragmentation of salbutamol-4′-O-sulfate, the quantifier peak of salbutamol can also be detected at the retention time of the sulfoconjugate.
Separations 10 00427 g004
Figure 5. Urinary excretion rates of (a,c) salbutamol, (b,d) salbutamol-4′-O-sulfate after administration of racemic salbutamol (a,b) or levosalbutamol (c,d). Administration via inhalation of 600 µg (SA_MDI_2) or 630 µg (LSA_MDI) is shown as red circles and 90 µg (LSA_MDI_TD) as black triangles. Oral administration of 2 mg (SAP) or 1 mg (LSAP) is shown as blue squares.
Figure 5. Urinary excretion rates of (a,c) salbutamol, (b,d) salbutamol-4′-O-sulfate after administration of racemic salbutamol (a,b) or levosalbutamol (c,d). Administration via inhalation of 600 µg (SA_MDI_2) or 630 µg (LSA_MDI) is shown as red circles and 90 µg (LSA_MDI_TD) as black triangles. Oral administration of 2 mg (SAP) or 1 mg (LSAP) is shown as blue squares.
Separations 10 00427 g005
Figure 6. Proportion of salbutamol as parent compound (solid bars) and salbutamol-4′-O-sulfate (dashed bars) excreted in relation to total excreted salbutamol. SA_MDI_2—600 µg inhaled racemic salbutamol, SAP—2 mg orally administered racemic salbutamol, LSA_MDI—630 µg inhaled levosalbutamol and LSA_MDI_TD—90 µg inhaled levosalbutamol (therapeutic dose), LSAP—1 mg orally administered levosalbutamol.
Figure 6. Proportion of salbutamol as parent compound (solid bars) and salbutamol-4′-O-sulfate (dashed bars) excreted in relation to total excreted salbutamol. SA_MDI_2—600 µg inhaled racemic salbutamol, SAP—2 mg orally administered racemic salbutamol, LSA_MDI—630 µg inhaled levosalbutamol and LSA_MDI_TD—90 µg inhaled levosalbutamol (therapeutic dose), LSAP—1 mg orally administered levosalbutamol.
Separations 10 00427 g006
Figure 7. Time profile of proportion of salbutamol-4′-O-sulfate excreted in urine in relation to total salbutamol excreted. SA_MDI—600 µg inhaled racemic salbutamol. LSA_MDI—630 µg inhaled levosalbutamol. Salbutamol-4′-O-sulfate was calculated as the salbutamol equivalent.
Figure 7. Time profile of proportion of salbutamol-4′-O-sulfate excreted in urine in relation to total salbutamol excreted. SA_MDI—600 µg inhaled racemic salbutamol. LSA_MDI—630 µg inhaled levosalbutamol. Salbutamol-4′-O-sulfate was calculated as the salbutamol equivalent.
Separations 10 00427 g007
Figure 8. Salbutamol (A) and salbutamol-4′-O-sulfate (B) uncorrected concentrations (blue) and adjusted concentrations by the specific gravity of the urines (green) and by the urinary flow rate (red) after inhalation of 600 µg racemic salbutamol.
Figure 8. Salbutamol (A) and salbutamol-4′-O-sulfate (B) uncorrected concentrations (blue) and adjusted concentrations by the specific gravity of the urines (green) and by the urinary flow rate (red) after inhalation of 600 µg racemic salbutamol.
Separations 10 00427 g008
Figure 9. Percentage adjustment of measured concentration by volunteer average specific gravity (SG, green), volunteer average urinary flow rate (UF, red), and average specific gravity used by WADA (grey). Dotted graphs show the SG of the sample (green) and the UF of the collection period (red). Grey lines show volunteer average SG and UF.
Figure 9. Percentage adjustment of measured concentration by volunteer average specific gravity (SG, green), volunteer average urinary flow rate (UF, red), and average specific gravity used by WADA (grey). Dotted graphs show the SG of the sample (green) and the UF of the collection period (red). Grey lines show volunteer average SG and UF.
Separations 10 00427 g009
Table 1. Operating conditions for electrospray ionization in UHPLC-QQQ-MS. Precursors, product ions, and collision energies used in multiple reaction monitoring modes. Transitions of the highest intensity were set as quantifier (*).
Table 1. Operating conditions for electrospray ionization in UHPLC-QQQ-MS. Precursors, product ions, and collision energies used in multiple reaction monitoring modes. Transitions of the highest intensity were set as quantifier (*).
Electrospray Ionization
Gas temperature170 °C
Gas flow17 L/min
Nebulizer10 psi
Sheath gas temperature400 °C
Sheath gas flow12 L/min
Capillary voltage4000 V
Nozzle voltage500 V
MRM
Precursor Ion [m/z]Product Ion [m/z]Collision Energy [eV]
Salbutamol[M+H]+ = 240.0222.18
166.112
148.1 *16
121.125
91.048
77.156
Salbutamol-4′-O-sulfate[M+H]+ = 320.0240.0 *4
222.016
166.016
148.032
77.080
[M−H] = 318.0 1238.025
d9-Salbutamol[M+H]+ = 249.2231.18
166.112
148.116
121.125
Salbutamol glucuronide[M+H]+ = 416.0 1298.012
240.018
224.029
222.020
148.020
[M−H] = 414.0 1396.018
220.025
146.025
1 not considered in this study since their mass transitions did not add value to the discussed results.
Table 2. Chemical shifts (δH, δC in ppm, 400 MHz 1H and 100 MHz 13C NMR), signal splitting and coupling constants (in Hz) of salbutamol hemisulfate (30 mM) and salbutamol-4′-O-sulfate (5 mM) in d6-DMSO at 298 K referenced to internal d5-DMSO (δH 2.50 ppm) or d6-DMSO (δC 39.5 ppm) and chemical shift differences observed upon sulfonation (∆δ = δOsulfateδOH) for the aromatic ring signals.
Table 2. Chemical shifts (δH, δC in ppm, 400 MHz 1H and 100 MHz 13C NMR), signal splitting and coupling constants (in Hz) of salbutamol hemisulfate (30 mM) and salbutamol-4′-O-sulfate (5 mM) in d6-DMSO at 298 K referenced to internal d5-DMSO (δH 2.50 ppm) or d6-DMSO (δC 39.5 ppm) and chemical shift differences observed upon sulfonation (∆δ = δOsulfateδOH) for the aromatic ring signals.
Salbutamol (a)Salbutamol-4′-O-sulfate (a)Chemical Shift Differences ∆δ= δOsulfateδOH
Position1H13C1H13C1H13C
14.72, dd (b), 10.0, 2.8 Hz69.714.77, dd (b), 10.2, 2.6 Hz69.69+0.05–0.02
22.74/2.83, AB d (b) 11.8, 10.0, 2.8 Hz49.142.69/2.81 (c)49.67–0.05/–0.02+0.53
4 53.89 54.68 (d) +0.79
51.20, s26.121.23, s25.91+0.03–0.21
1′ 132.93 137.46 +4.53
2′7.31, d, 2.3 Hz125.887.43, d, 2.1 Hz124.86+0.12–1.02
3′ 128.10 134.57 +6.47
3′-CH24.47, s58.244.55, s58.30+0.08+0.06
4′ 153.43 149.59 –3.84
5′6.73, d, 8.3 Hz114.167.27. d, 8.3 Hz121.46+0.54+7.30
6′7.07, dd, 8.3, 2.3 Hz124.967.20, dd 8.3, 2.1 Hz121.50+0.13–3.46
(a) exchangeable protons at 4.97, 6.85, and 9.26 ppm, very broad singlets (OH, NH2, and aryl-OH), exchangeable signals of the 4′-O-sulfate not identified. (b) The coupling constants of the ABX system were analyzed in first order. (c) analysis of the coupling constants is not possible due to excessive overlap. (d) chemical shift extracted from the HMBC spectrum.
Table 3. Qualifier–quantifier ratio ranges for salbutamol and salbutamol-4′-O-sulfate transitions based on WADA regulations, precursor ion (ESI+) for salbutamol m/z 240.0, salbutamol-4′-O-sulfate m/z 320.0.
Table 3. Qualifier–quantifier ratio ranges for salbutamol and salbutamol-4′-O-sulfate transitions based on WADA regulations, precursor ion (ESI+) for salbutamol m/z 240.0, salbutamol-4′-O-sulfate m/z 320.0.
Product Ion (m/z)77.191.0121.1166.1222.1
salbutamol12.1–22.14.0–14.05.1–15.126.4–39.659.8–79.8
Product Ion (m/z)148.0166.0222.0
salbutamol-4′-O-sulfate44.8–64.815.2–25.229.9–44.9
Table 4. Maximum excretion rates and absolute excreted amounts of salbutamol as parent compound and sulfate metabolite.
Table 4. Maximum excretion rates and absolute excreted amounts of salbutamol as parent compound and sulfate metabolite.
SalbutamolSalbutamol-4′-O-sulfate
tmax (urine)
Oral racemate 2 mg (SAP)3 h3 h
Inhaled aerosol racemate 600 µg (SA_MDI_2)1.5 h1.5 h
Oral levosalbutamol 1 mg (LSAP)3 h0.5 h
Inhaled levosalbutamol 630 µg (LSA_MDI)0.5 h3 h
Inhaled levosalbutamol 90 µg (LSA_MDI_TD)0.5 h3 h
Total urinary excretion 1
Oral racemate 2 mg (SAP) 1449 µg (22.5%)1030 µg (51.5%)
Inhaled aerosol racemate 600 µg (SA_MDI_2) 1203 µg (33.8%)298 µg (49.6%)
Oral levosalbutamol 1 mg (LSAP) 165 µg (6.5%)847 µg (84.7%)
Inhaled levosalbutamol 630 µg (LSA_MDI) 1129 µg (20.5%)371 µg (58.9%)
Inhaled levosalbutamol 90 µg (LSA_MDI_TD) 119 µg (21.1%)55 µg (61.1%)
1 Salbutamol-4′-O-sulfate calculated as amount of salbutamol that was sulfonated. Percentages are in relation to applied dose.
Disclaimer/Publisher’s Note: The statements, opinions and data contained in all publications are solely those of the individual author(s) and contributor(s) and not of MDPI and/or the editor(s). MDPI and/or the editor(s) disclaim responsibility for any injury to people or property resulting from any ideas, methods, instructions or products referred to in the content.

Share and Cite

MDPI and ACS Style

Jendretzki, A.L.; Harps, L.C.; Sun, Y.; Bredendiek, F.; Bureik, M.; Girreser, U.; de la Torre, X.; Botrè, F.M.; Parr, M.K. Biosynthesis of Salbutamol-4′-O-sulfate as Reference for Identification of Intake Routes and Enantiopure Salbutamol Administration by Achiral UHPLC-MS/MS. Separations 2023, 10, 427. https://doi.org/10.3390/separations10080427

AMA Style

Jendretzki AL, Harps LC, Sun Y, Bredendiek F, Bureik M, Girreser U, de la Torre X, Botrè FM, Parr MK. Biosynthesis of Salbutamol-4′-O-sulfate as Reference for Identification of Intake Routes and Enantiopure Salbutamol Administration by Achiral UHPLC-MS/MS. Separations. 2023; 10(8):427. https://doi.org/10.3390/separations10080427

Chicago/Turabian Style

Jendretzki, Annika Lisa, Lukas Corbinian Harps, Yanan Sun, Felix Bredendiek, Matthias Bureik, Ulrich Girreser, Xavier de la Torre, Francesco M. Botrè, and Maria Kristina Parr. 2023. "Biosynthesis of Salbutamol-4′-O-sulfate as Reference for Identification of Intake Routes and Enantiopure Salbutamol Administration by Achiral UHPLC-MS/MS" Separations 10, no. 8: 427. https://doi.org/10.3390/separations10080427

APA Style

Jendretzki, A. L., Harps, L. C., Sun, Y., Bredendiek, F., Bureik, M., Girreser, U., de la Torre, X., Botrè, F. M., & Parr, M. K. (2023). Biosynthesis of Salbutamol-4′-O-sulfate as Reference for Identification of Intake Routes and Enantiopure Salbutamol Administration by Achiral UHPLC-MS/MS. Separations, 10(8), 427. https://doi.org/10.3390/separations10080427

Note that from the first issue of 2016, this journal uses article numbers instead of page numbers. See further details here.

Article Metrics

Back to TopTop