Abstract
The enantioselective separation of synthetic cathinones via capillary electrophoresis with ultraviolet detection (CE-UV) was successfully achieved using an acidic formate buffer with the ionic liquid tetrabutylammonium chloride (TBAC) and beta-cyclodextrin (β-CD) as co-additives. Synthetic cathinones (also known as “bath salts”) belong to a class of unregulated drugs labeled new psychoactive substances (NPS). These drugs are readily available and can cause paranoia, confusion, violence, and suicidal thoughts. The stereochemistry of synthetic cathinones, as with other drugs, can influence their potency, toxicity, metabolism, and interaction with other molecules. Thus, it is important to be able to effectively separate different types of synthetic cathinone as well as to resolve enantiomers of each. A study of buffer additives, pH, and counter ions was conducted to identify a system yielding complete enantioselective separation of synthetic cathinones by capillary electrophoresis. Buffer additives TBAC and β-CD, when used separately, did not afford the desired separation; however, when employed as co-additives, enantiomers of each of six different bath salt standards (pentylone, 4-MEC, methylone, MDPBP, MDPV, and naphyrone) were resolved. Achieving this separation of a complex mixture of closely related illicit drugs by CE using an ionic liquid and cyclodextrin together, as buffer co-additives, may provide a new starting point from which to approach the enantiomeric analysis of other drug samples as syntheses of NPS continue to rapidly evolve to evade regulation and law enforcement.
1. Introduction
Capillary electrophoresis (CE) is a technique that separates analytes based on their size and charge, leading to differences in migration time in an electric field [1]. It complements gas chromatography (GC) and high-performance liquid chromatography (HPLC) separations and features quick separation times, low reagent consumption, small-volume samples, and very high-resolution separations that can be easily automated [2,3]. It was first used for amino acid and protein determinations but quickly found applications in other areas, including pharmaceutical analysis and disease diagnosis [4,5,6,7]. Micellar electrokinetic capillary chromatography, a variant of CE employing surfactant in the separation buffer to create a micellar phase, was shown to be especially well suited to illicit drug determination [8,9]. The versatility of CE is, in part, due to the versatility of separation buffer compositions that can be readily employed. By modifying the separation buffer to contain selective reagents such as cyclodextrins, Nowak et al. [10] used CE with ultraviolet (UV) absorbance detection for enantioselective determinations of two synthetic cathinone drugs, PVP (α-pyrrolidinovalerophenone) and MDPV (methylenedioxypyrovalerone). Baciu et al. [11] used CE with diode array detection (DAD) to identify mephedrone and its metabolites in human hair.
There is interest in being able to detect new psychoactive substances (NPS) such as synthetic cathinones (also known as bath salts) in order to support their regulation and to enable law enforcement to prosecute their sale and use. These drugs have no legal medical applications but are designed to provide cheap mimics of the effects of cathinone [12], which is a naturally occurring, beta-ketoamphetamine alkaloid found in the leaves of the Catha edulis (or “khat”) plant, native to the horn of Africa, East Africa, and the Middle East [13]. The chemical structure of cathinone and six of its illegal, synthetic analogues is shown in Figure 1. Between 2005 (the first year a synthetic cathinone was reported to the European Union Early Warning System) and 2018, synthetic cathinones constituted 20% of all NPS reported (139 of 687 total drugs) [14]. The similar yet ever-evolving structures of synthetic cathinones make their detection challenging, particularly as they are commonly sold as mixtures of several analogues. Furthermore, the different enantiomers of a given synthetic cathinone exhibit differences in their potency, toxicity, metabolism, and interactions with other molecules, thus compelling the analyst to devise enantioselective separation methods for these drugs [15].
Figure 1.
Cathinone structure and six synthetic cathinone analogues.
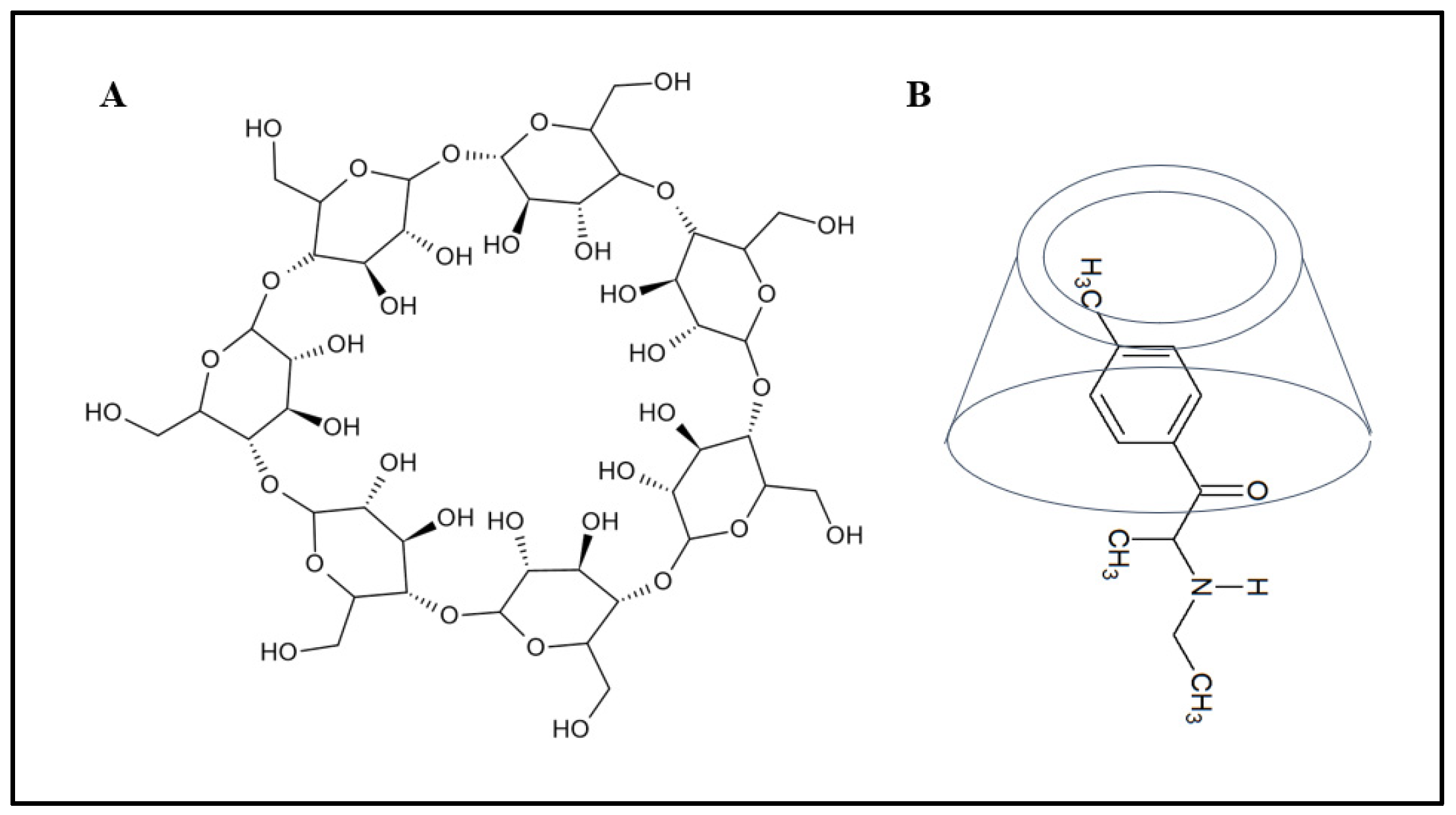
Cyclodextrins (CDs) are commonly employed as chiral selectors in enantioselective separations of drugs by capillary electrophoresis [16,17]. These are cyclic saccharide polymers with a toric, truncated cone structure. They have a hydrophobic interior cavity and a hydrophilic outer surface and are formed during Bacillus or additional bacteria strains’ starch digestion via cyclodextrin glycosyl transferase (CGTase) [13]. Cyclodextrins are commercially available, versatile, easily derivatized, and have been extensively studied. The three main types—alpha (α-CD), beta (β-CD), and gamma (γ-CD)—differ in the number of glucopyranose molecules they contain: six, seven, and eight, respectively. They can be derivatized in many ways to alter their charge, cavity size, and the nature of their interactions with food, drug, and biological analytes [18]. There are two primary mechanisms of interaction between a CD and an enantiomeric analyte to form a transient complex (see Figure 2 for a simplified representation of β-CD with 4-MEC). In the first, the analyte’s hydrophobic portion is included in the cyclodextrin’s hydrophobic cavity. The second consists of dipole–dipole interactions or hydrogen bonding between the polar moieties of the analyte and hydroxyl groups on the cyclodextrin rim [19,20]. Cyclodextrin molecules experience differential interactions with the two “hands” of the molecule to form a more stable complex with one of the two enantiomers, thus effecting enantioseparation. The transient analyte–cyclodextrin complex that results has a unique migration time based on variations in the complexation mechanism and pKa shift [10]. For example, β-CD was used as a buffer additive to facilitate the chiral determination of four cathinones in urine by CE-UV [21]. However, cyclodextrins alone may not be able to provide sufficient resolution in cases where CE separations of complex mixtures are pursued, and so other buffer additives may be necessary.
Figure 2.
Chemical structure of β-CD (A) and a schematic representation of 4-MEC occupying the cavity of β-CD (B).
Other buffer additives used to improve resolution in CE separations include ionic liquids (ILs), which are salt-like compounds consisting of organic cations and inorganic or organic anions that exist in liquid phase below 100 °C [22]. Ionic liquids have high conductivity, low vapor pressure, good solubility, and are classified as green chemistry solvents [23], although they are known to be highly toxic to aquatic systems [24]. Ionic liquids can significantly affect separations due to their interaction with deprotonated silanol groups on the inner capillary surface (thus reducing or even reversing electroosmotic flow), their interaction via ion-pairing type associations with analytes (thus affecting the analytes’ net size and charge, and hence, their mobilities), and by increasing the ionic strength and viscosity of the separation buffer or background electrolyte (thus reducing electroosmotic flow and increasing migration times). Important predecessors to the use of ionic liquids in CE separations included surfactants, such as cetyltrimethylammonium bromide (CTAB) and tetradecyltrimethylammonium bromide (TTAB), which were first used to modify electroosmotic flow in the 1980s [25,26]. Since then, many applications of ionic liquids as buffer additives in CE have been developed and reviewed [27,28].
The effects of ILs as buffer additives in CE may be further enhanced when they are used in conjunction with CDs [29]. However, the nature of interactions between analyte and buffer additives (and between buffer additives themselves) in such systems is complex, and so separation conditions must be carefully optimized. A competitive inhibition mechanism was proposed for the interaction of aryl propionic acid analytes with β-CD chiral selectors in the presence of an ionic liquid [30]. Given the competitive nature of interactions in buffer systems with co-additives, synergistic effects are predicted to occur with lower concentrations of CD, whereas antagonistic effects may occur at higher CD concentrations [31]. For example, Wahl and Holzgrabe achieved enantioseparation of ephedrine, pseudoephedrine, and methylephedrine by CE using a 75 mM phosphate buffer (pH 1.5) containing amino acid-based ILs (125 mM) and β-CD (30 mM) [32].
To capitalize on such synergistic effects for the challenging enantiomeric separation of six synthetic cathinones (those pictured in Figure 1), and to establish optimized CE conditions employing low cost, readily accessible buffer reagents, we employed a formate separation buffer with co-additives tetrabutylammonium chloride (TBAC) and β-CD. As seen in Figure 3, TBAC is an achiral ionic liquid, which is commonly used as an alkylating agent, a phase transfer catalyst, and an ion-pairing agent. Acting separately, the ionic liquid (TBAC) and cyclodextrin (β-CD) buffer additives were unable to provide adequate resolution of the complex drug samples, but acting together, they enabled a successful enantiomeric separation. By coupling ultraviolet (UV) absorbance detection with CE, we rendered fluorescent analyte derivatization unnecessary. To our knowledge, this is the first chiral separation of a mixture of six synthetic cathinones including pentylone, 4-MEC, methylone, MDPBP, MDPV, and naphyrone. Optimization of the CE-based separation method, as described herein, included a careful study of the impact of the following: TBAC concentration; applied separation voltage; capillary dimensions (and injection volumes); capillary temperature; and background electrolyte composition (including buffer species and other additives such as organic solvent and phytic acid). Given the vast and growing number of synthetic cathinones in circulation, the most significant advance represented by this simple but effective CE-UV method relative to other illicit drug separation methods is its anticipated utility (and adaptability) for the analysis of other mixtures of evolving bath salt samples in the future.
Figure 3.
Chemical structure of buffer co-additive tetrabutylammonium chloride, TBAC.
2. Materials and Methods
Ammonium formate (99%), formic acid (99%), and β-cyclodextrin (β-CD, 98%) were purchased from Acros Organics (Fair Lawn, NJ, USA). Tetrabutylammonium chloride (TBAC, >98.0%) was purchased from TCI (Portland, OR, USA). Sodium phosphate dibasic (ACS grade), phosphoric acid (ACS grade), and sodium bicarbonate (ACS grade) were purchased from Fisher Scientific (Suwanee, GA, USA). Boric acid (>99.5%) was purchased from Sigma (Jaffrey, NH, USA). All synthetic cathinones were purchased (as 1 mg/mL solutions in methanol) from Cerilliant (Round Rock, TX, USA). Aqueous solutions were prepared using deionized water from a Milli-Q Reagent Water System (Billerica, MA, USA).
Separation buffers were prepared by dissolving the appropriate mass of reagent in water before adjusting the pH, quantitatively transferring the resulting aqueous solution to a volumetric flask and adding water to the volume fill line. Formate separation buffer was prepared by dissolving the appropriate quantity of ammonium formate in water, followed by the addition of aliquot(s) of β-CD and TBAC stock solutions prior to pH adjustment to 3.1 by the dropwise addition of 1.0 M formic acid solution. The final concentrations of buffer additives β-CD and TBAC in the formate separation buffers were as specified in Section 3. To minimize the possibility of solvent-based UV-spectral interferences, aliquots of synthetic cathinone standards (in methanol, as received), individually or combined to create cathinone mixtures, were vacuum centrifuged at ambient temperature (using an Eppendorf Vacufuge Concentrator 5301) until dry, before reconstituting with ultrapure water to a concentration of 1 mg/mL in each of the synthetic cathinones.
Capillary electrophoresis analysis was performed on a P/ACE MDQ CE with 32 Karat software (Beckman Coulter, Redwood City, CA, USA). Uncoated, fused silica capillaries (Polymicro Technologies, Phoenix, AZ, USA) of various lengths and inner diameters were used. New capillaries were conditioned prior to use by pressure-flushing sequentially with 0.1 M NaOH, water, and buffer for 60 min each. Thereafter, capillaries were reconditioned by pressure-flushing sequentially with 0.1 M NaOH, water, and buffer for 10 min each (before a new sequence) or 1 min each (between runs). Sample injection was achieved by pressure for 5 s at 0.5 p.s.i. (3450 Pa) unless otherwise noted. Injections were conducted in triplicate in most instances (or at least in duplicate, even for those experiments with especially long run times, for example) to ensure reproducibility. CE detection was achieved via on-column, UV absorbance at 214 nm, with a detection window created by removing a small section of polyimide coating from the exterior of the capillary 10.0 cm from the outlet end.
3. Results & Discussion
3.1. Enantiomeric Separations of Synthetic Cathinones by Capillary Electrophoresis
Novel psychoactive substances (NPS) may be readily determined by separation without regard for their enantiomeric composition, and although this may be a suitable approach when total drug concentrations are sought, it is inadequate when more detailed information about relative proportions of chiral constituents is needed. For example, it has been reported that synthetic cannabinoids are not typically sold as racemic mixtures whereas synthetic cathinones are [33]. With an interest in developing a versatile, simple, and cost-effective separation method suitable for a mixture of six synthetic cathinones (pentylone, 4-MEC, methylone, MDPV, naphyrone, and MDPBP), such that future adaptation of the method for evolving synthetic cathinone structures would be possible, we began by exploring the effect of β-CD as the sole buffer additive in a CE-UV method. When using a 50 mM ammonium formate buffer at pH 3.1 with 12 mM β-CD added, a mixture of just three of the target analytes (MDPV, MDPBP, and naphyrone) yielded poor signal and no enantiomeric resolution (Figure 4, bottom—blue trace). This result was somewhat unexpected as β-CD is a commonly encountered, stand-alone chiral selector [34]. However, upon addition of the ionic liquid tetrabutylammonium chloride TBAC as a co-additive, it was possible to resolve enantiomers of tertiary amine-based synthetic cathinones MDPBP, MDPV, and naphyrone (Figure 4, top—orange trace). It is possible that the improved enantiomeric resolution obtained with co-additives β-CD and TBAC was due, at least in part, to the effect of the ionic liquid reducing interactions between the analytes and charged sites on the capillary wall, while not disrupting chiral interactions between β-CD and the drug analytes.
Figure 4.
Electropherograms of a mixture of tertiary synthetic cathinones (MDPBP, MDPV, and naphyrone) at 1 mg/mL each, prepared in ultrapure water. Lower (blue) trace: 12 mM β-CD sole buffer additive; upper (orange) trace: 25 mM TBAC + 12 mM β-CD co-additives, in a 50 mM ammonium formate separation buffer (pH 3.1). Other CE conditions: applied voltage = 20 kV; absorbance detection at 214 nm; capillary dimensions = 50 µm × 50 cm × 60 cm (i.d. × effective length × total length); and pressure injection (5 s at 0.5 psi = 5 nL sample volume).
3.2. TBAC Concentration Study
As buffer additives in CE, ionic liquids (ILs) can serve multiple roles: to reduce or reverse electroosmotic flow (due to IL interactions with the charged capillary wall, along with IL contributions to increased ionic strength and viscosity of the background electrolyte) and to alter the electrophoretic mobility of analytes (due to ion-pairing and electrostatic associations with analytes) [23]. We chose to use TBAC as the IL in this study due to its ready availability, cost effectiveness, low toxicity, and high thermal stability. Separations were conducted using 50 mM formate buffer (pH 3.1) containing 12 mM β-CD, with 25 mM, 50 mM, or 100 mM TBAC as co-additive. The optimal TBAC concentration was 50 mM, as it enabled partial resolution of enantiomers of all six drugs of interest (Figure 5). Longer migration times and greater resolutions were achieved for tertiary amine synthetic cathinones (MDPBP, MDPV, and naphyrone) compared to secondary amine synthetic cathinones (pentylone, 4-MEC, and methylone). At a lesser concentration of TBAC (25 mM), migration times were reduced, as expected. However, this came at the expense of resolution, which was insufficient for the mixture of synthetic cathinones studied here. At a greater concentration of TBAC (100 mM), enantiomeric resolutions were increased but this came at the expense of unacceptably long migration times (for example, see Figure S1). Furthermore, higher concentrations of ionic liquid buffer additives have been shown to cause increased peak tailing [31]. In the present work, it is likely that electrodispersion is the cause of poor peak shape at higher concentrations due to a mismatch between the mobility of the analyte complex and co-ions in the running buffer, and so, in an effort to optimize these various parameters (peak shape, migration time, and resolution), a final co-additive concentration of 50 mM TBAC was chosen and used in subsequent experiments.

Figure 5.
Electropherograms of synthetic cathinones (1 mg/mL each), employing TBAC (50 mM) and β-CD (12 mM) as buffer co-additives in a 50 mM ammonium formate separation buffer (pH 3.1) to effect enantiomeric separations. (A): (i, pink), Six-drug mixture of methylone, 4-MEC, pentylone, MDPBP, MDPV, and naphyrone; (ii, orange), mixture of secondary amine synthetic cathinones methylone, 4-MEC, and pentylone; (iii, gray), pentylone alone; (iv, yellow), 4-MEC alone; (v, purple), methylone alone; (vi, green), mixture of tertiary amine synthetic cathinones MDPBP, MDPV, and naphyrone; (vii, blue), MDPBP alone; (viii, red), MDPV alone; and (ix, black), naphyrone alone. (B): Expanded view of (A) (i, pink), six-drug mixture. Other CE conditions: applied voltage = 20 kV; absorbance detection at 214 nm; capillary dimensions = 50 µm × 50 cm × 60 cm (i.d. × effective length × total length); and pressure injection (5 s at 0.5 psi = 5 nL sample volume).
Absolute values of migration times differed for synthetic cathinone peaks arising from single-drug standard samples relative those in drug mixtures. Compare, for example, Figure 5A(ii) for a mixture of secondary amine synthetic cathinones, pentylone, 4-MEC, and methylone, to Figure 5A(iii)—pentylone alone, Figure 5A(iv)—4-MEC alone, and Figure 5A(v)—methylone alone; or compare Figure 5A(vi) for a mixture of tertiary amine synthetic cathinones, MDPBP, MDPV, and naphyrone, to Figure 5A(vii)—MDPBP alone, Figure 5A(viii)—MDPV alone, and Figure 5A(ix)—naphyrone alone. Purely electrostatic interactions between the (positively charged) synthetic cathinones and (positively charged) ionic liquid are not favored, but differences in associations between cathinones and capillary wall sites (affected by the presence of TBAC), and potentially competitive associations between β-CD and cathinones in a mixed sample (as opposed to single-cathinone samples), may contribute to these observed differences in peak migration times. Identification of peaks in electropherograms of mixed drug samples should, therefore, be conducted not only by comparison to single-drug standards but also by spiking or standard addition methods.
3.3. Effects of Background Electrolyte, Capillary Dimensions, Temperature, and Separation Voltage
In an effort to further improve enantioseparations of the six-drug mixture of synthetic cathinones, we studied the effects of other CE operating parameters, including background electrolyte, capillary temperature and dimensions, and separation voltage. An applied voltage of 20 kV proved optimal; lesser separation voltages (e.g., 5 kV) led to an undesirable increase in analyte migration time with no improvement in enantiomer resolution, while greater separation voltages (e.g., 30 kV) led to decreased resolution (with decreased migration time). At the higher applied voltage of 30 kV, we also conducted an experiment with a smaller capillary (20 µm inner diameter × 30 cm effective length × 40 cm total length), but this only further degraded the separation (with very short migration times near 5 min).
Additional experiments with different sizes of capillary were conducted to validate our initial selection of a 50-μm i.d. × 50-cm effective length × 60-cm total length uncoated, fused silica capillary, as was successfully employed in Figure 5. When operating at the optimized separation voltage of 20 kV, a smaller capillary inner diameter (20 μm) but unchanged length (50-cm effective length × 60-cm total length) led to no observed signal, presumably due to reduced sensitivity associated with reduced path length for on-column UV absorbance detection. Additionally, applying the same injection pressure and time (0.5 p.s.i. for 5 s) on the smaller 20-μm i.d. capillary would have resulted in an injection volume of only 0.13 nL (compared to 4.95 nL for the initial 50-μm i.d. capillary), and this small quantity of sample would have compounded the detection sensitivity limitations. Using a shorter capillary (30-cm effective length × 40-cm total length) but retaining the initial inside diameter of 50-μm led to reduced resolution, as expected (due to shorter analysis times); however, it also led to reduced sensitivity despite maintaining the same path length (same inside diameter) with a larger injection volume (7.4 nL) arising from the unchanged pressure injection conditions applied to the shorter capillary. The exact cause of the observed decrease in peak height in this instance is unclear. It is possible that the larger volume injection resulted in enhanced electrodispersion effects, which were manifest in reduced peak heights.
Initial experiments were conducted with the capillary thermostatted at 25 °C, but capillary temperatures of 15 °C and 35 °C were also studied. Migration time increased by nearly 30 min and enantiomer separation was not enhanced at the lower temperature, whereas both migration time and enantiomer separation decreased at the higher temperature. As such, we used 25 °C as the optimal operating temperature throughout these studies.
To complete our optimization studies, a variety of different background electrolyte systems were tested, but none outperformed the 50 mM formate (pH 3.1) buffer with TBAC and β-CD as co-additives, as was successfully used in Figure 5. For example, a simple phosphate (150 mM)—borate (1 mM) buffer system (pH 6.1) with no added TBAC or β-CD was tested. Boric acid was included to simultaneously lower the zeta potential, electroosmotic flow, and eddy migration as it features a higher pKa than silica groups [35]. Moreover, borate is known to form complexes with other species containing hydroxyl groups and polysaccharides, to improve their separation [36]. However, this system was incapable of resolving even a two-drug mixture (1 mg/mL each of 4-MEC and MDPBP). Using this buffer system, an intense signal was observed for MDPBP alone at concentrations between 0.05 mg/mL and 1 mg/mL. However, no linear relationship between peak area and drug concentration could be established under these conditions, and of course, no resolution of MDPBP enantiomers could be achieved in such a buffer system void of chiral selective agents. A review [16] of the utility of a wide array of different cyclodextrins for the chiral analysis of drugs included mixed cyclodextrin systems, which were shown to increase enantiomer resolution in some cases based on differences in complexation with the CDs of different size or charge. However, the addition of 3 mM α-CD as a supplement to the 12 mM β-CD chiral selective agent did not enhance the enantiomeric separation of the mixture of six drugs, nor did the presence of 12 mM α-CD as the sole chiral selective agent in the present work.
Organic solvents as buffer additives provide the analyst with additional options for selectivity and improved resolution in some systems. For example, Bean et al. [37] found that acetonitrile (ACN) as a buffer additive greatly improved sorghum and maize protein separation due to the additive’s ability to modify the capillary wall zeta potential and electroosmotic flow. The organic solvent as buffer additive can also improve solubility for weakly hydrophobic analytes while decreasing self-association and drug–drug interactions within complex samples. As such, we added 1% ACN to a separation buffer of 150 mM phosphate (pH 6.1) without any TBAC and β-CD and found that separation of a six-drug mixture improved (relative to the 150 mM phosphate buffer without ACN). Still, complete resolution of the six-drug mixture was not possible, nor was enantiomeric resolution possible when ACN was used as a buffer additive in the absence of the TBAC and β-CD co-additives (see, for example, Figure S2). Other organic solvents that have found use as CE buffer additives and that share the essential characteristics of ACN in this role include isopropanol, ethanol, and methanol, among others. The shared characteristics of these potential buffer modifiers include low viscosity and vapor pressure, miscibility with aqueous buffers, and optical transparency at the analytes’ absorbance maximum (214 nm in these studies). An exhaustive study of organic solvents as buffer additives for the separation of synthetic cathinones remains to be conducted and could possibly provide further improvements to the method in the future. This would be especially helpful if the method needs to be modified to suit mass spectrometry detection.
Lastly, we explored the effect of phytic acid as a buffer additive. Phytic acid is known to improve capillary electrophoresis sensitivity and resolution because the dodecasodium salt of inositol-hexaphosphoric acid retains a polyanionic structure across a large pH range, to allow for interaction with cationic analytes [38]. With 10 mM phytic acid added to the previously studied 150 mM phosphate background electrolyte (pH 6.1) system, the six-drug mixture was unresolved (with just three distinct peaks observed in the resulting electropherogram, as see in Figure S2). Again, in the absence of TBAC and β-CD co-additives, enantiomeric resolution could not be achieved. Although these and previous background electrolyte studies were not intended to exhaustively survey the effects of all possible combinations of buffer additives on the enantiomeric separation of a six-drug mixture containing pentylone, 4-MEC, methylone, MDPBP, MDPV, and naphyrone, they served to affirm our selection of 50 mM formate (pH 3.1) with TBAC (50 mM) and β-CD (12 mM) co-additives as an effective buffer system for synthetic cathinone analysis by CE.
4. Conclusions
By optimizing the combination of the ionic liquid tetrabutylammonium chloride TBAC with β-CD as co-additives in a simple formate buffer system, we have demonstrated improved resolution of the enantiomers of six synthetic cathinones by CE with UV absorbance detection. To our knowledge, the chiral separation of this mixture of synthetic cathinones using this combination of buffer co-additives has not been previously demonstrated. However, even greater value lies in the promise of this method being readily applied to complex mixtures of new, rapidly evolving variations on these NPS structures, which pose challenges to analytical labs, clinicians, and law enforcement personnel. Importantly, it is the combination of 50 mM TBAC with 12 mM β-CD that proved effective; neither additive on its own could yield the desired resolution. CE-UV experiments using various other background electrolyte systems without chiral selector or ionic liquid additives were also conducted in an effort to validate the effectiveness of the TBAC—β-CD system. Further work is needed to improve (reduce) the length of time required for analysis of synthetic cathinone mixtures by CE employing the optimized formate—TBAC—β-CD system. Although UV absorbance detection proved convenient for these analytes, peak identification requires confirmation by spiking or standard additions rather than direct comparison to electropherograms of single-drug samples. Furthermore, other classes of NPS, including synthetic cannabinoids, may be well suited to analysis by the method described herein.
Supplementary Materials
The following supporting information can be downloaded at: https://www.mdpi.com/article/10.3390/separations10070417/s1, Figure S1: Increase in TBAC (100 mM TBAC) increases migration time for secondary amine synthetic cathinones; Figure S2: Comparison of the effects of buffer additives: 1% acetonitrile and 10 mM phytic acid.
Author Contributions
J.B.R. contributed to the following aspects of this work: conceptualization, methodology, formal analysis, investigation, data curation, and writing (original draft and revisions). C.L.C. contributed to resources, writing (reviewing, revising, and editing), supervision, project administration, and funding acquisition. All authors have read and agreed to the published version of the manuscript.
Funding
Financial support for this work was provided in part by Wake Forest University and the National Science Foundation GOALI Grant (1611072).
Data Availability Statement
The data presented in this paper are available upon request.
Conflicts of Interest
The authors declare no conflict of interest. The funders had no role in the design of the study; in the collection, analyses, or interpretation of data; in the writing of the manuscript; or in the decision to publish the results.
References
- Schmitt-Kopplin, P.; Fekete, A. The CE-Way of Thinking: “All Is Relative!”. Methods Mol. Biol. 2016, 1483, 3–19. [Google Scholar] [CrossRef]
- Voeten, R.L.C.; Ventouri, I.K.; Haselberg, R.; Somsen, G.W. Capillary Electrophoresis: Trends and Recent Advances. Anal. Chem. 2018, 90, 1464–1481. [Google Scholar] [CrossRef]
- Dickinson, A.J.; Armistead, P.M.; Allbritton, N.L. Automated Capillary Electrophoresis System for Fast Single-Cell Analysis. Anal. Chem. 2013, 85, 4797–4804. [Google Scholar] [CrossRef]
- Rabel, S.R.; Stobaugh, J.F. Applications of Capillary Electrophoresis in Pharmaceutical Analysis. Pharm. Res. 1993, 10, 171–186. [Google Scholar] [CrossRef]
- Sniehotta, M.; Schiffer, E.; Zürbig, P.; Novak, J.; Mischak, H. CE—A Multifunctional Application for Clinical Diagnosis. Electrophoresis 2007, 28, 1407–1417. [Google Scholar] [CrossRef]
- Krait, S.; Konjaria, M.L.; Scriba, G.K.E. Advances of Capillary Electrophoresis Enantioseparations in Pharmaceutical Analysis (2017–2020). Electrophoresis 2021, 42, 1709–1725. [Google Scholar] [CrossRef]
- Chankvetadze, B. Application of Enantioselective Separation Techniques to Bioanalysis of Chiral Drugs and Their Metabolites. TrAC Trends Anal. Chem. 2021, 143, 116332. [Google Scholar] [CrossRef]
- Weinberger, R.; Lurie, I.S. Micellar Electrokinetic Capillary Chromatography of Illicit Drug Substances. Anal. Chem. 1991, 63, 823–827. [Google Scholar] [CrossRef]
- Wernly, P.; Thormann, W. Analysis of Illicit Drugs in Human Urine by Micellar Electrokinetic Capillary Chromatography with On-Column Fast Scanning Polychrome Absorption Detection. Anal. Chem. 1991, 63, 2878–2882. [Google Scholar] [CrossRef]
- Nowak, P.M.; Olesek, K.; Woźniakiewicz, M.; Mitoraj, M.; Sagan, F.; Kościelniak, P. Cyclodextrin-Induced Acidity Modification of Substituted Cathinones Studied by Capillary Electrophoresis Supported by Density Functional Theory Calculations. J. Chromatogr. A 2018, 1580, 142–151. [Google Scholar] [CrossRef]
- Baciu, T.; Borrull, F.; Calull, M.; Aguilar, C. Enantioselective Determination of Cathinone Derivatives in Human Hair by Capillary Electrophoresis Combined In-Line with Solid-Phase Extraction. Electrophoresis 2016, 37, 2352–2362. [Google Scholar] [CrossRef]
- German, C.L.; Fleckenstein, A.E.; Hanson, G.R. Bath Salts and Synthetic Cathinones: An Emerging Designer Drug Phenomenon. Life Sci. 2014, 97, 2–8. [Google Scholar] [CrossRef] [PubMed]
- Geresu, B. Khat (Catha edulis F.) and Cannabinoids: Parallel and Contrasting Behavioral Effects in Preclinical and Clinical Studies. Pharmacol. Biochem. Behav. 2015, 138, 164–173. [Google Scholar] [CrossRef] [PubMed]
- Soares, J.; Costa, V.M.; de Lourdes Bastos, M.; Carvalho, F.; Capela, J.P. An Updated Review on Synthetic Cathinones. Arch. Toxicol. 2021, 95, 2895–2940. [Google Scholar] [CrossRef]
- Almeida, A.S.; Silva, B.; de Pinho, P.G.; Remião, F.; Fernandes, C. Synthetic Cathinones: Recent Developments, Enantioselectivity Studies and Enantioseparation Methods. Molecules 2022, 27, 2057. [Google Scholar] [CrossRef]
- Saz, J.M.; Marina, M.L. Recent Advances on the Use of Cyclodextrins in the Chiral Analysis of Drugs by Capillary Electrophoresis. J. Chromatogr. A 2016, 1467, 79–94. [Google Scholar] [CrossRef]
- Peluso, P.; Chankvetadze, B. Native and Substituted Cyclodextrins as Chiral Selectors for Capillary Electrophoresis Enantioseparations: Structures, Features, Application, and Molecular Modeling. Electrophoresis 2021, 42, 1676–1708. [Google Scholar] [CrossRef]
- Zhu, Q.; Scriba, G.K.E. Advances in the Use of Cyclodextrins as Chiral Selectors in Capillary Electrokinetic Chromatography: Fundamentals and Applications. Chromatographia 2016, 79, 1403–1435. [Google Scholar] [CrossRef]
- Saha, S.; Roy, A.; Roy, K.; Roy, M.N. Study to Explore the Mechanism to Form Inclusion Complexes of β-Cyclodextrin with Vitamin Molecules. Sci. Rep. 2016, 6, 35764. [Google Scholar] [CrossRef] [PubMed]
- Chankvetadze, B.; Scriba, G.K.E. Cyclodextrins as Chiral Selectors in Capillary Electrophoresis: Recent Trends in Mechanistic Studies. TrAC Trends Anal. Chem. 2023, 160, 116987. [Google Scholar] [CrossRef]
- Pérez-Alcaraz, A.; Borrull, F.; Aguilar, C.; Calull, M. An Electrokinetic Supercharging Approach for the Enantiodetermination of Cathinones in Urine Samples by Capillary Electrophoresis. Microchem. J. 2020, 158, 105300. [Google Scholar] [CrossRef]
- Kowalski, P.; Olędzka, I.; Plenis, A.; Roszkowska, A.; Bączek, T. Strengths and Weaknesses of Ionic Liquids as Efficiency Enhancers in Capillary Electrophoresis. TrAC Trends Anal. Chem. 2023, 162, 117031. [Google Scholar] [CrossRef]
- Wahl, J. The Use of Ionic Liquids in Capillary Electrophoresis Enantioseparation; Universität Würzburg: Würzburg, Germany, 2019. [Google Scholar]
- Pham, T.P.T.; Cho, C.-W.; Yun, Y.-S. Environmental Fate and Toxicity of Ionic Liquids: A Review. Water Res. 2010, 44, 352–372. [Google Scholar] [CrossRef] [PubMed]
- Tsuda, T. Modification of Electroosmotic Flow with Cetyltrimethylammonium Bromide in Capillary Zone Electrophoresis. J. High Res. Chrom. 1987, 10, 622–624. [Google Scholar] [CrossRef]
- Huang, X.; Luckey, J.A.; Gordon, M.J.; Zare, R.N. Quantitative Determination of Low Molecular Weight Carboxylic Acids by Capillary Zone Electrophoresis/Conductivity Detection. Anal. Chem. 1989, 61, 766–770. [Google Scholar] [CrossRef]
- Greño, M.; Marina, M.L.; Castro-Puyana, M. Enantioseparation by Capillary Electrophoresis Using Ionic Liquids as Chiral Selectors. Crit. Rev. Anal. Chem. 2018, 48, 429–446. [Google Scholar] [CrossRef]
- Zhang, Q. Ionic Liquids in Capillary Electrophoresis for Enantioseparation. TrAC Trends Anal. Chem. 2018, 100, 145–154. [Google Scholar] [CrossRef]
- Hui, B.Y.; Raoov, M.; Zain, N.N.M.; Mohamad, S.; Osman, H. Combination of Cyclodextrin and Ionic Liquid in Analytical Chemistry: Current and Future Perspectives. Crit. Rev. Anal. Chem. 2017, 47, 454–467. [Google Scholar] [CrossRef] [PubMed]
- Wang, B.; He, J.; Bianchi, V.; Shamsi, S.A. Combined Use of Chiral Ionic Liquid and CD for MEKC: Part II Determination of Binding Constants. Electrophoresis 2009, 30, 2820–2828. [Google Scholar] [CrossRef] [PubMed][Green Version]
- Holzgrabe, U.; Wahl, J. Ionic Liquids in Capillary Electrophoresis. In Capillary Electrophoresis. Methods in Molecular Biology; Schmitt-Kopplin, P., Ed.; Humana Press: New York, NY, USA, 2016; Volume 1483. [Google Scholar] [CrossRef]
- Wahl, J.; Holzgrabe, U. Capillary Electrophoresis Separation of Phenethylamine Enantiomers Using Amino Acid Based Ionic Liquids. J. Pharm. Biomed. Anal. 2018, 148, 245–250. [Google Scholar] [CrossRef]
- Schmid, M.G.; Hägele, J.S. Separation of Enantiomers and Positional Isomers of Novel Psychoactive Substances in Solid Samples by Chromatographic and Electrophoretic Techniques—A Selective Review. J. Chromatogr. A 2020, 1624, 461256. [Google Scholar] [CrossRef]
- Wren, S.; Berger, T.A.; Boos, K.-S.; Engelhardt, H.; Adlard, E.R.; Davies, I.W.; Altria, K.D.; Stock, R. The Use of Cyclodextrins as Chiral Selectors. In The Separation of Enantiomers by Capillary Electrophoresis; Chromatographia CE Series; Wren, S., Berger, T.A., Boos, K.-S., Engelhardt, H., Adlard, E.R., Davies, I.W., Altria, K.D., Stock, R., Eds.; Vieweg + Teubner Verlag: Wiesbaden, Germany, 2001; Volume 6, pp. 59–77. [Google Scholar] [CrossRef]
- Dougherty, A.M.; Cooke, N.; Shieh, P. Capillary Surface Modification in Capillary Electrophoresis. In Handbook of Capillary Electrophoresis, 2nd ed.; Landers, J.P., Ed.; CRC Press: Boca Raton, FL, USA, 1997; Chapter 24; pp. 675–715. [Google Scholar]
- Dolnik, V. Borate-Containing Background Electrolytes to Improve CE Separation in Bare Capillaries. Electrophoresis 2020, 41, 1073–1080. [Google Scholar] [CrossRef] [PubMed]
- Bean, S.R.; Lookhart, G.L.; Bietz, J.A. Acetonitrile as a Buffer Additive for Free Zone Capillary Electrophoresis Separation and Characterization of Maize (Zea mays L.) and Sorghum (Sorghum bicolor L. Moench) Storage Proteins. J. Agric. Food Chem. 2000, 48, 318–327. [Google Scholar] [CrossRef] [PubMed]
- Viskari, P.J.; Colyer, C.L. Separation and Quantitation of Phycobiliproteins Using Phytic Acid in Capillary Electrophoresis with Laser-Induced Fluorescence Detection. J. Chromatogr. A 2002, 972, 269–276. [Google Scholar] [CrossRef] [PubMed]
Disclaimer/Publisher’s Note: The statements, opinions and data contained in all publications are solely those of the individual author(s) and contributor(s) and not of MDPI and/or the editor(s). MDPI and/or the editor(s) disclaim responsibility for any injury to people or property resulting from any ideas, methods, instructions or products referred to in the content. |
© 2023 by the authors. Licensee MDPI, Basel, Switzerland. This article is an open access article distributed under the terms and conditions of the Creative Commons Attribution (CC BY) license (https://creativecommons.org/licenses/by/4.0/).





