Influence of Physicochemical Properties and Parent Material on Chromium Fractionation in Soils
Abstract
1. Introduction
2. Materials and Methods
2.1. Soil: Sampling and Characterization
2.2. Spiking and Extraction
2.3. Statistical Analysis
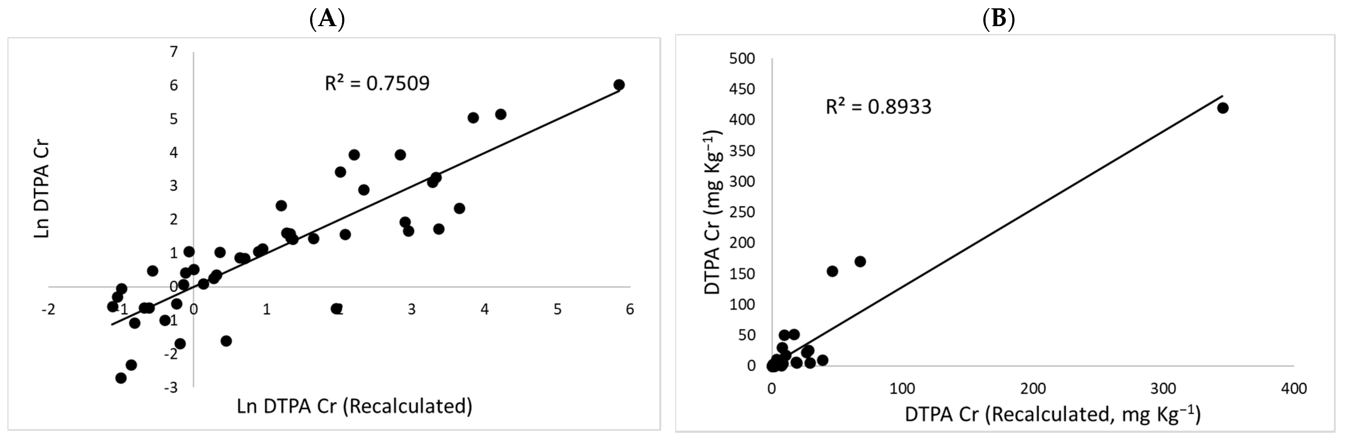
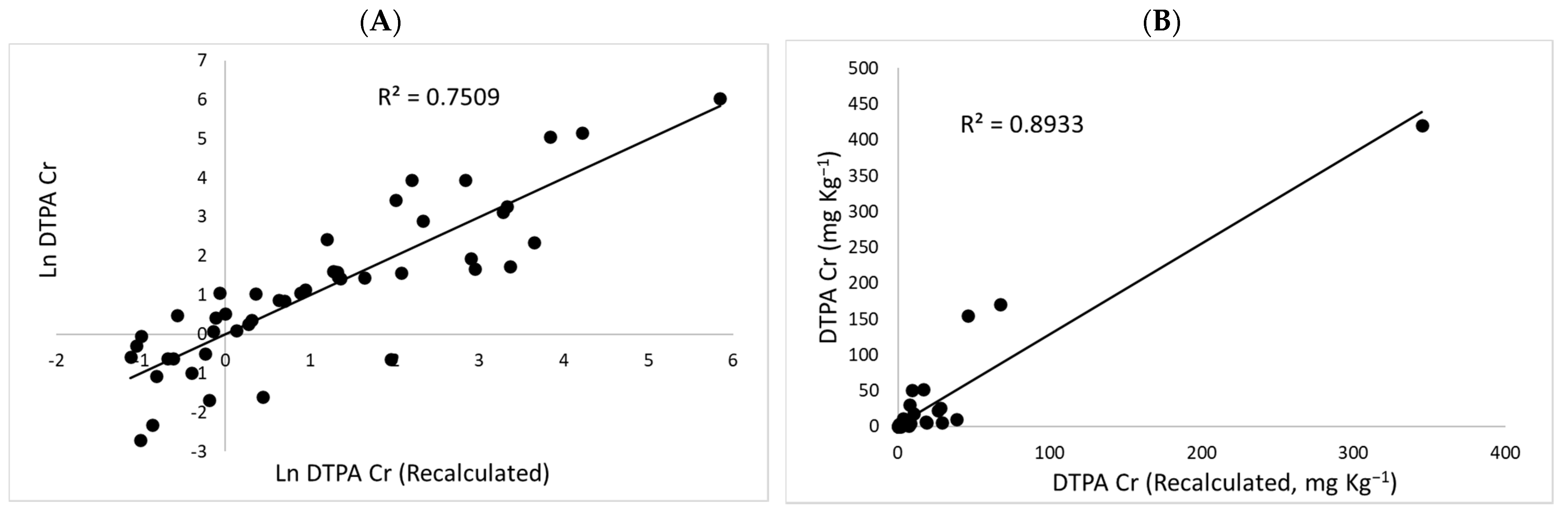
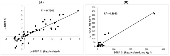
3. Results
3.1. Extraction Results
3.2. Relationships between Chromium Fractionation and Soil Properties
3.3. Model Development
| Ln H2O Cr | = | (3.235 ± 0.659) | + (0.002 ± 0.000) CrT | + (25.462 ± 8.621) Granite | + (1.017 ± 0.231) Al | (1) |
| (p < 0.010) | (p < 0.010) | (p < 0.010) | (p < 0.010) | |||
| –(1.114 ± 0.247) Amphibolite | –(0.244 ± 0.085) P | –(0.038 ± 0.018) Sand | ||||
| (p < 0.010) | (p < 0.010) | (p = 0.039) |
| Ln CaCl2 Cr | = | –(1.923 ± 0.479) | +(0.002 ± 0.000) CrT | + (2.858 ± 0.498) Schist | (2) |
| (p < 0.010) | (p < 0.010) | (p < 0.010) | |||
| +(0.025 ± 0.013) Sand | |||||
| (p = 0.059) |
| Ln DTPA Cr | = | +(0.892 ± 0.465) | +(0.002 ± 0.000) CrT | + (2.19 ± 0.460) Schist | (3) |
| (p = 0.06) | (p < 0.010) | (p < 0.010) | |||
| –(0.034 ± 0.011) Silt | –(1.089 ± 0.402) Mg | ||||
| (p < 0.010) | (p < 0.010) |
4. Conclusions
Author Contributions
Funding
Institutional Review Board Statement
Informed Consent Statement
Conflicts of Interest
References
- Thompson, R.Q. Encyclopedia of Analytical Science, Second Edition (Worsfold, Paul; Tonshend, Alan; Poole, Colin). J. Chem. Educ. 2005, 82. [Google Scholar] [CrossRef]
- Cheng, H.; Zhou, T.; Li, Q.; Lu, L.; Lin, C. Anthropogenic chromium emissions in China from 1990 to 2009. PLoS ONE 2014, 9. [Google Scholar] [CrossRef]
- Prado, C.; Chocobar Ponce, S.; Pagano, E.; Prado, F.E.; Rosa, M. Differential physiological responses of two Salvinia species to hexavalent chromium at a glance. Aquat. Toxicol. 2016, 175. [Google Scholar] [CrossRef]
- Ashraf, A.; Bibi, I.; Niazi, N.K.; Ok, Y.S.; Murtaza, G.; Shahid, M.; Kunhikrishnan, A.; Li, D.; Mahmood, T. Chromium(VI) sorption efficiency of acid-activated banana peel over organo-montmorillonite in aqueous solutions. Int. J. Phytoremediation 2017, 19. [Google Scholar] [CrossRef] [PubMed]
- Choppala, G.; Kunhikrishnan, A.; Seshadri, B.; Park, J.H.; Bush, R.; Bolan, N. Comparative sorption of chromium species as influenced by pH, surface charge and organic matter content in contaminated soils. J. Geochem. Explor. 2018, 184. [Google Scholar] [CrossRef]
- Bai, J.; Xun, P.; Morris, S.; Jacobs, D.R.; Liu, K.; He, K. Chromium exposure and incidence of metabolic syndrome among American young adults over a 23-year follow-up: The CARDIA Trace Element Study. Sci. Rep. 2015, 5. [Google Scholar] [CrossRef] [PubMed]
- Shahid, M.; Shamshad, S.; Rafiq, M.; Khalid, S.; Bibi, I.; Niazi, N.K.; Dumat, C.; Rashid, M.I. Chromium speciation, bioavailability, uptake, toxicity and detoxification in soil-plant system: A review. Chemosphere 2017, 178, 513–533. [Google Scholar] [CrossRef]
- Reale, L.; Ferranti, F.; Mantilacci, S.; Corboli, M.; Aversa, S.; Landucci, F.; Baldisserotto, C.; Ferroni, L.; Pancaldi, S.; Venanzoni, R. Cyto-histological and morpho-physiological responses of common duckweed (Lemna minor L.) to chromium. Chemosphere 2016, 145. [Google Scholar] [CrossRef] [PubMed]
- Choppala, G.; Bolan, N.; Kunhikrishnan, A.; Skinner, W.; Seshadri, B. Concomitant reduction and immobilization of chromium in relation to its bioavailability in soils. Environ. Sci. Pollut. Res. 2015, 22. [Google Scholar] [CrossRef]
- Park, D.; Yun, Y.S.; Lee, D.S.; Lim, S.R.; Park, J.M. Column study on Cr(VI)-reduction using the brown seaweed Ecklonia biomass. J. Hazard. Mater. 2006, 137. [Google Scholar] [CrossRef]
- Macías Vázquez, F.; Calvo de Anta, R. Niveles Genéricos de Referencia de Metales Pesados y Otros Elementos Traza en Suelos de Galicia; Consellería de Medio Ambiente e Desenvolvemento Sostible: Santiago de Compostela, Spain, 2009. [Google Scholar]
- Campillo-Cora, C.; Rodríguez-González, L.; Arias-Estévez, M.; Fernández-Calviño, D.; Soto-Gómez, D. Influence of Soil Properties and Initial Concentration on the Fractionation of Nickel, Zinc, Copper and Lead in Soils Derived from Different Parent Materials. Agronomy 2021, 11, 301. [Google Scholar] [CrossRef]
- Paz-González, A.; Taboada-Castro, T.; Taboada-Castro, M. Levels of Heavy metals (Co, Cu, Cr, Ni, Pb, and Zn) in agricultural soils of Northwest Spain. Commun. Soil Sci. Plant Anal. 2000, 31, 1773–1783. [Google Scholar] [CrossRef]
- Bolaños-Benítez, V.; van Hullebusch, E.D.; Birck, J.L.; Garnier, J.; Lens, P.N.; Tharaud, M.; Quantin, C.; Sivry, Y. Chromium mobility in ultramafic areas affected by mining activities in Barro Alto massif, Brazil: An isotopic study. Chem. Geol. 2021, 561. [Google Scholar] [CrossRef]
- Houba, V.J.G.; Van der Lee, J.J.; Novozamsky, I.; Walinga, I. Soil and Plant Analysis, a series of syllabi, Part 5. In Soil Analysis Procedures; Wageningen Agricultural University: Wageningen, The Netherlands, 1989. [Google Scholar]
- Lindsay, W.L.; Norvell, W.A. Development of a DTPA Soil Test for Zinc, Iron, Manganese, and Copper. Soil Sci. Soc. Am. J. 1978, 42, 421–428. [Google Scholar] [CrossRef]
- Anzil, P.; Martino, R.D. Petrografía y geoquímica de las anfibolitas del cerro La Cocha, Sierra Chica, Córdoba. Rev. De La Asoc. Geol. Argent. 2012, 69, 263–274. [Google Scholar]
- Carr, M.H.; Turekian, K.K. Chromium in granitic rocks. Geochim. Et Cosmochim. Acta 1962, 26. [Google Scholar] [CrossRef]
- Banks, M.K.; Schwab, A.P.; Henderson, C. Leaching and reduction of chromium in soil as affected by soil organic content and plants. Chemosphere 2006, 62. [Google Scholar] [CrossRef] [PubMed]
- Ding, W.; Peng, W.; Zeng, X.; Tian, X. Effects of phosphorus concentration on Cr(VI) sorption onto phosphorus-rich sludge biochar. Front. Environ. Sci. Eng. 2014, 8. [Google Scholar] [CrossRef]
- Wuana, R.A.; Okieimen, F.E. Heavy Metals in Contaminated Soils: A Review of Sources, Chemistry, Risks and Best Available Strategies for Remediation. ISRN Ecol. 2011, 2011, 1–20. [Google Scholar] [CrossRef]
- Soriano-Disla, J.M.; Speir, T.W.; Gómez, I.; Clucas, L.M.; McLaren, R.G.; Navarro-Pedreño, J. Evaluation of different extraction methods for the assessment of heavy metal bioavailability in various soils. Water Air Soil Pollut. 2010, 213. [Google Scholar] [CrossRef]
- Lago-Vila, M.; Arenas-Lago, D.; Rodríguez-Seijo, A.; Andrade Couce, M.L.; Vega, F.A. Cobalt, chromium and nickel contents in soils and plants from a serpentinite quarry. Solid Earth 2015, 6. [Google Scholar] [CrossRef]
- Sampaio, C.D.G.; Frota, L.S.; Magalhães, H.S.; Dutra, L.M.; Queiroz, D.C.; Araújo, R.S.; Becker, H.; de Souza, J.R.; Ricardo, N.M.; Trevisan, M.T. Chitosan/mangiferin particles for Cr(VI) reduction and removal. Int. J. Biol. Macromol. 2015, 78. [Google Scholar] [CrossRef][Green Version]
- Avudainayagam, S.; Megharaj, M.; Owens, G.; Kookana, R.S.; Chittleborough, D.; Naidu, R. Chemistry of chromium in soils with emphasis on tannery waste sites. Rev. Environ. Contam. Toxicol. 2003, 178. [Google Scholar] [CrossRef]
- Quantin, C.; Ettler, V.; Garnier, J.; Šebek, O. Sources and extractibility of chromium and nickel in soil profiles developed on Czech serpentinites. Comptes Rendus-Geosci. 2008, 340. [Google Scholar] [CrossRef]
- Choppala, G.; Bolan, N.; Lamb, D.; Kunhikrishnan, A. Comparative sorption and mobility of Cr(III) and Cr(VI) species in a range of soils: Implications to bioavailability. Water Air Soil Pollut. 2013, 224. [Google Scholar] [CrossRef]
- Yu, T.R. Chemistry of Variable Charge Soils; Oxford University Press: Oxford, UK, 1997. [Google Scholar]
- Khandelwal, N.; Singh, N.; Tiwari, E.; Darbha, G.K. Novel synthesis of a clay supported amorphous aluminum nanocomposite and its application in removal of hexavalent chromium from aqueous solutions. RSC Adv. 2019, 9. [Google Scholar] [CrossRef]
- Ali, S.; Zeng, F.; Qiu, B.; Cai, S.; Qiu, L.; Wu, F.; Zhang, G. Interactive effects of aluminum and chromium stresses on the uptake of nutrients and the metals in barley. Soil Sci. Plant Nutr. 2011, 57. [Google Scholar] [CrossRef]
- Griffin, R.A.; Au, A.K.; Frost, R.R. Effect of pH on adsorption of chromium from landfill-leachate by clay minerals. J. Environ. Sci. Health. Part A Environ. Sci. Eng. 1977, 12. [Google Scholar] [CrossRef]



| Sand (%) | Silt (%) | Clay (%) | pH | pHK | P (mg kg–1) | OM (%) | Ca (mg kg–1) | Mg (mg kg–1) | K (mg kg–1) | Na (mg kg–1) | Al (mg kg–1) | |
|---|---|---|---|---|---|---|---|---|---|---|---|---|
| 1 | 71.1 | 12.6 | 16.3 | 3.96 | 2.97 | 18.7 | 13.6 | 1.87 | 1.03 | 0.14 | 0.17 | 4.80 |
| 2 | 61.9 | 19.0 | 19.1 | 4.63 | 3.80 | 105.5 | 14.1 | 3.40 | 1.22 | 0.19 | 1.59 | 2.69 |
| 3 | 50.2 | 24.7 | 25.1 | 4.79 | 4.23 | 6.5 | 11.6 | 1.88 | 0.39 | 0.18 | 0.17 | 3.19 |
| 4 | 47.3 | 35.3 | 17.4 | 4.85 | 4.47 | 2.0 | 12.0 | 1.68 | 0.25 | 0.06 | 0.18 | 0.88 |
| 5 | 68.2 | 16.2 | 15.7 | 4.85 | 4.24 | 101.1 | 11.2 | 0.38 | 0.14 | 0.11 | 0.05 | 1.21 |
| 6 | 19.1 | 67.1 | 13.8 | 6.35 | 5.76 | 11.7 | 14.4 | 21.40 | 1.21 | 0.66 | 0.16 | <d.l. |
| 7 | 20.4 | 51.9 | 27.7 | 7.47 | 6.85 | 2.9 | 14.8 | 27.76 | 1.06 | 0.14 | 0.11 | <d.l. |
| 8 | 31.5 | 36.8 | 31.7 | 5.04 | 4.54 | 3.0 | 10.0 | 2.10 | 0.36 | 0.29 | 0.18 | 1.13 |
| 9 | 45.5 | 35.1 | 19.4 | 4.70 | 4.32 | 5.2 | 19.6 | 3.30 | 0.37 | 0.23 | 0.26 | 2.59 |
| 10 | 31.0 | 45.4 | 23.7 | 4.93 | 4.44 | 6.2 | 29.1 | 3.72 | 0.44 | 0.40 | 0.45 | 1,86 |
| FeOM (mg kg–1) | FeIA (mg kg–1) | FeC (mg kg–1) | AlOM (mg kg–1) | AlIA (mg kg–1) | AlC (mg kg–1) | |
|---|---|---|---|---|---|---|
| 1 | 799 | 47 | 526 | 1186 | 225 | 391 |
| 2 | 2086 | <d.l. | 544 | 2937 | <d.l. | 396 |
| 3 | 4343 | 2123 | 17,592 | 11,440 | <d.l. | 5037 |
| 4 | 4631 | 2052 | 24,556 | 8993 | 1141 | 12,239 |
| 5 | 927 | 48 | 588 | 4239 | <d.l. | 936 |
| 6 | 907 | 2555 | 37,397 | 3323 | 5268 | <d.l. |
| 7 | 1531 | 3670 | 32,209 | 1530 | 2954 | <d.l. |
| 8 | 6567 | 2161 | 45,893 | 10,724 | 3506 | 6503 |
| 9 | 5559 | 2757 | 50,229 | 11,027 | 3787 | <d.l. |
| 10 | 4359 | 1367 | 47,501 | 16,966 | 7224 | <d.l. |
| CrT mg Kg–1 | H2O Cr (mg Kg–1) | |||||||||
|---|---|---|---|---|---|---|---|---|---|---|
| 2000 | <d.l. | <d.l. | 1312.33 | 40.19 | 517.93 | 32.15 | 179.20 | 147.92 | 124.39 | 31.46 |
| 1000 | <d.l. | <d.l. | 407.19 | 10.74 | 171.74 | <d.l. | 32.28 | 21.49 | 19.03 | 11.90 |
| 500 | <d.l. | <d.l. | 135.52 | 3.17 | 21.09 | <d.l. | 14.99 | 8.51 | 6.15 | 7.26 |
| 250 | <d.l. | <d.l. | 33.22 | 3.40 | <d.l. | <d.l. | 11.38 | 3.05 | 10.16 | 4.65 |
| 125 | <d.l. | <d.l. | 8.85 | 6.26 | <d.l. | <d.l. | 6.31 | 3.09 | 11.85 | 6.56 |
| 62.5 | <d.l. | <d.l. | 1.61 | 3.47 | <d.l. | <d.l. | 6.16 | 6.90 | 13.74 | 5.43 |
| 31.25 | <d.l. | <d.l. | <d.l. | 1.47 | <d.l. | <d.l. | 7.08 | 10.25 | 10.43 | 2.72 |
| 0 | <d.l. | <d.l. | <d.l. | 1.16 | 6.64 | <d.l. | <d.l. | 7.58 | 12.08 | 4.25 |
| CaCl2 Cr (mg Kg–1) | ||||||||||
| 2000 | <d.l. | <d.l. | 881.21 | 14.07 | 195.33 | 7.12 | 88.10 | 39.77 | 29.94 | 5.26 |
| 1000 | <d.l. | <d.l. | 210.19 | 3.07 | 30.47 | <d.l. | 4.22 | 3.63 | 3.33 | 1.81 |
| 500 | <d.l. | <d.l. | 66.61 | <d.l. | 2.00 | <d.l. | 1.52 | 0.24 | 0.33 | 0.64 |
| 250 | <d.l. | <d.l. | 15.86 | <d.l. | <d.l. | <d.l. | 0.85 | 0.35 | <d.l. | <d.l. |
| 125 | <d.l. | <d.l. | 1.45 | <d.l. | <d.l. | <d.l. | 0.46 | <d.l. | <d.l. | <d.l. |
| 62.5 | <d.l. | <d.l. | <d.l. | <d.l. | <d.l. | <d.l. | 0.41 | 0.66 | <d.l. | <d.l. |
| 31.25 | <d.l. | <d.l. | <d.l. | <d.l. | <d.l. | <d.l. | 0.46 | 0.37 | <d.l. | <d.l. |
| 0 | <d.l. | <d.l. | <d.l. | <d.l. | <d.l. | <d.l. | <d.l. | 0.30 | <d.l. | <d.l. |
| DTPA Cr (mg Kg–1) | ||||||||||
| 2000 | 5.65 | 5.34 | 419.98 | 10.36 | 170.91 | 4.35 | 30.94 | 22.79 | 26.26 | 6.98 |
| 1000 | 4.14 | 3.10 | 154.53 | 4.20 | 51.18 | 0.53 | 1.69 | 4.99 | 4.91 | 2.89 |
| 500 | 2.83 | 2.90 | 51.85 | 2.40 | 11.30 | <d.l. | 0.07 | 1.31 | 1.42 | 1.52 |
| 250 | 1.07 | 1.63 | 18.07 | 1.10 | 2.34 | <d.l. | <d.l. | 0.61 | 0.19 | 0.53 |
| 125 | 0.37 | 0.34 | 4.83 | <d.l. | 0.20 | <d.l. | <d.l. | <d.l. | <d.l. | 0.10 |
| 62.5 | <d.l. | <d.l. | 0.53 | <d.l. | <d.l. | <d.l. | <d.l. | <d.l. | <d.l. | 0.95 |
| 31.25 | <d.l. | <d.l. | <d.l. | <d.l. | <d.l. | <d.l. | <d.l. | <d.l. | <d.l. | 0.75 |
| 0 | <d.l. | <d.l. | <d.l. | <d.l. | <d.l. | <d.l. | <d.l. | <d.l. | <d.l. | 0.56 |
| Parent material | #1 Gra. | #2 Gra. | #3 Sch. | #4 Amp. | #5 Gra. | #6 Lim. | #7 Lim. | #8 Amp. | #9 Amp. | #10 Amp. |
Publisher’s Note: MDPI stays neutral with regard to jurisdictional claims in published maps and institutional affiliations. |
© 2021 by the authors. Licensee MDPI, Basel, Switzerland. This article is an open access article distributed under the terms and conditions of the Creative Commons Attribution (CC BY) license (https://creativecommons.org/licenses/by/4.0/).
Share and Cite
Campillo-Cora, C.; Rodríguez-González, L.; Arias-Estévez, M.; Fernández-Calviño, D.; Soto-Gómez, D. Influence of Physicochemical Properties and Parent Material on Chromium Fractionation in Soils. Processes 2021, 9, 1073. https://doi.org/10.3390/pr9061073
Campillo-Cora C, Rodríguez-González L, Arias-Estévez M, Fernández-Calviño D, Soto-Gómez D. Influence of Physicochemical Properties and Parent Material on Chromium Fractionation in Soils. Processes. 2021; 9(6):1073. https://doi.org/10.3390/pr9061073
Chicago/Turabian StyleCampillo-Cora, Claudia, Laura Rodríguez-González, Manuel Arias-Estévez, David Fernández-Calviño, and Diego Soto-Gómez. 2021. "Influence of Physicochemical Properties and Parent Material on Chromium Fractionation in Soils" Processes 9, no. 6: 1073. https://doi.org/10.3390/pr9061073
APA StyleCampillo-Cora, C., Rodríguez-González, L., Arias-Estévez, M., Fernández-Calviño, D., & Soto-Gómez, D. (2021). Influence of Physicochemical Properties and Parent Material on Chromium Fractionation in Soils. Processes, 9(6), 1073. https://doi.org/10.3390/pr9061073

