Biochar as an Effective Filler of Carbon Fiber Reinforced Bio-Epoxy Composites
Abstract
1. Introduction
2. Materials and Methods
2.1. Materials
2.2. Preparation of Composites
2.3. Methods
2.3.1. Scanning Electron Microscopy (SEM)
2.3.2. Dynamic Mechanical Thermal Analysis (DMTA)
2.3.3. Flexural Test
2.3.4. Charpy Impact Strength
2.3.5. Tensile Test
2.3.6. Thermogravimetry (TGA)
3. Results
3.1. Composites Structure
3.2. Thermomechanical Properties
3.3. Flexural Properties
3.4. Charpy Impact Strength
3.5. Tensile Behaviours
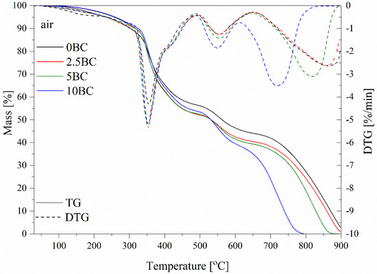
3.6. Thermal Stability
4. Conclusions
Funding
Conflicts of Interest
References
- Czarnecka-Komorowska, D.; Wiszumirska, K. Sustainability design of plastic packaging for the Circular Economy. Polimery 2020, 65, 8–17. [Google Scholar] [CrossRef]
- Hamad, Q.A.; Abed, M.S. Investigation of thyme and pumpkin nanopowders reinforced epoxy matrix composites. J. Mech. Eng. Res. Dev. 2019, 42, 153–157. [Google Scholar] [CrossRef]
- Zaini, E.; Azaman, M.; Jamali, M.; Ismail, K. Synthesis and characterization of natural fiber reinforced polymer composites as core for honeycomb core structure: A review. J. Sandw. Struct. Mater. 2020, 22, 525–550. [Google Scholar] [CrossRef]
- Oliwa, R.; Oliwa, J.; Bulanda, K.; Oleksy, M.; Budzik, G. Effect of modified bentonites on the crosslinking process of epoxy resin with alifphatic amine as curing agent. Polimery 2019, 64, 499–503. [Google Scholar] [CrossRef]
- Andrzejewski, J.; Misra, M.; Mohanty, A.K. Polycarbonate biocomposites reinforced with a hybrid filler system of recycled carbon fiber and biocarbon: Preparation and thermomechanical characterization. J. Appl. Polym. Sci. 2018, 135, 1–14. [Google Scholar] [CrossRef]
- Arrigo, R.; Jagdale, P.; Bartoli, M.; Tagliaferro, A.; Malucelli, G. Structure-property relationships in polyethylene-based composites filled with biochar derived from waste coffee grounds. Polymers 2019, 11, 1336. [Google Scholar] [CrossRef] [PubMed]
- Gezahegn, S.; Lai, R.; Huang, L.; Chen, L.; Huang, F.; Blozowski, N.; Thomas, S.C.; Sain, M.; Tjong, J.; Jaffer, S.; et al. Porous graphitic biocarbon and reclaimed carbon fiber derived environmentally benign lightweight composites. Sci. Total Environ. 2019, 664, 363–373. [Google Scholar] [CrossRef]
- Whulanza, Y.; Battini, E.; Vannozzi, L.; Vomero, M.; Ahluwalia, A.; Vozzi, G. Electrical and Mechanical Characterisation of Single Wall Carbon Nanotubes Based Composites for Tissue Engineering Applications. J. Nanosci. Nanotechnol. 2013, 13, 188–197. [Google Scholar] [CrossRef]
- Bekyarova, E.; Thostenson, E.T.; Yu, A.; Kim, H.; Gao, J.; Tang, J.; Hahn, H.T.; Chou, T.-W.; Itkis, M.E.; Haddon, R.C. Multiscale Carbon Nanotube−Carbon Fiber Reinforcement for Advanced Epoxy Composites. Langmuir 2007, 23, 3970–3974. [Google Scholar] [CrossRef]
- He, Y.; Yang, S.; Liu, H.; Shao, Q.; Chen, Q.; Lu, C.; Jiang, Y.; Liu, C.; Guo, Z. Reinforced carbon fiber laminates with oriented carbon nanotube epoxy nanocomposites: Magnetic field assisted alignment and cryogenic temperature mechanical properties. J. Colloid Interface Sci. 2018, 517, 40–51. [Google Scholar] [CrossRef]
- Barczewski, M.; Mysiukiewicz, O.; Matykiewicz, D.; Skórczewska, K.; Lewandowski, K.; Andrzejewski, J.; Piasecki, A. Development of polylactide composites with improved thermomechanical properties by simultaneous use of basalt powder and a nucleating agent. Polym. Compos. 2020. [Google Scholar] [CrossRef]
- Pavlović, M.; Dojčinović, M.; Prokić-Cvetković, R.; Andrić, L. Cavitation resistance of composite polyester resin/basalt powder. Struct. Integr. Life 2019, 19, 19–22. [Google Scholar]
- Abusahmin, F.; Algellai, A.; Tomic, N.; Vuksanovic, M.; Majstorovic, J.; Volkov-Husovic, T.; Simic, V.; Jancic-Heinemann, R.; Toljic, M.; Kovacevic, J. Basalt-polyester hybrid composite materials for demanding wear applications. Sci. Sinter. 2020, 52, 67–76. [Google Scholar] [CrossRef]
- Prasath, K.A.; Arumugaprabu, V.; Amuthakkannan, P.; Manikandan, V.; Deepak Joel Johnson, R. Low velocity impact, compression after impact and morphological studies on flax fiber reinforced with basalt powder filled composites. Mater. Res. Express 2019, 7. [Google Scholar] [CrossRef]
- Gioia, C.; Colonna, M.; Tagami, A.; Medina, L.; Sevastyanova, O.; Berglund, L.A.; Lawoko, M. Lignin-Based Epoxy Resins: Unravelling the Relationship between Structure and Material Properties. Biomacromolecules 2020. [Google Scholar] [CrossRef]
- Klapiszewski, Ł.; Jamrozik, A.; Strzemiecka, B.; Koltsov, I.; Borek, B.; Matykiewicz, D.; Voelkel, A.; Jesionowski, T. Characteristics of Multifunctional, Eco-Friendly Lignin-Al2O3 Hybrid Fillers and Their Influence on the Properties of Composites for Abrasive Tools. Molecules 2017, 22, 1920. [Google Scholar] [CrossRef]
- Nagarajan, K.J.; Balaji, A.N.; Basha, K.S.; Ramanujam, N.R.; Kumar, R.A. Effect of agro waste α-cellulosic micro filler on mechanical and thermal behavior of epoxy composites. Int. J. Biol. Macromol. 2020, 152, 327–339. [Google Scholar] [CrossRef]
- Kumar, R.; Bhowmik, S. Quantitative probing of static and dynamic mechanical properties of different bio-filler-reinforced epoxy composite under assorted constraints. Polym. Bull. 2020. [Google Scholar] [CrossRef]
- Salasinska, K.; Barczewski, M.; Borucka, M.; Górny, R.L.; Kozikowski, P.; Celiński, M.; Gajek, A. Thermal Stability, Fire and Smoke Behaviour of Epoxy Composites Modified with Plant Waste Fillers. Polymers 2019, 11, 1234. [Google Scholar] [CrossRef]
- Mysiukiewicz, O.; Barczewski, M.; Skórczewska, K.; Szulc, J.; Kloziński, A. Accelerated Weathering of Polylactide-Based Composites Filled with Linseed Cake: The Influence of Time and Oil Content within the Filler. Polymers 2019, 11, 1495. [Google Scholar] [CrossRef]
- Li, R.; Li, W.; Zheng, F.; Zhang, Y.; Hu, J. Versatile bio-based epoxy resin: From banana waste to applied materials. J. Appl. Polym. Sci. 2019, 136, 1–8. [Google Scholar] [CrossRef]
- Mysiukiewicz, O.; Barczewski, M.; Szulc, J. The Influence of Poly(Vinyl Alcohol) on Oil Release Behavior of Polylactide- Based Composites Filled with Linseed Cake. J. Renew. Mater. 2020, 8, 347–363. [Google Scholar] [CrossRef]
- Matykiewicz, D. Hybrid Epoxy Composites with Both Powder and Fiber Filler: A Review of Mechanical and Thermomechanical Properties. Materials 2020, 13, 1802. [Google Scholar] [CrossRef] [PubMed]
- Dinesh, S.; Kumaran, P.; Mohanamurugan, S.; Vijay, R.; Singaravelu, D.L.; Vinod, A.; Sanjay, M.R.; Siengchin, S.; Bhat, K.S. Influence of wood dust fillers on the mechanical, thermal, water absorption and biodegradation characteristics of jute fiber epoxy composites. J. Polym. Res. 2020, 27, 9. [Google Scholar] [CrossRef]
- Vijay, R.; Vinod, A.; Kathiravan, R.; Siengchin, S.; Singaravelu, D.L. Evaluation of Azadirachta indica seed/spent Camellia sinensis bio-filler based jute fabrics–epoxy composites: Experimental and numerical studies. J. Ind. Text. 2020, 49, 1252–1277. [Google Scholar] [CrossRef]
- Saba, N.; Paridah Abdan, K.; Ibrahim, N.A. Dynamic mechanical properties of oil palm nano filler/kenaf/epoxy hybrid nanocomposites. Constr. Build. Mater. 2016, 124, 133–138. [Google Scholar] [CrossRef]
- Mohan, N.; Ashok Kumar, R.; Rajesh, K.; Padmanaban, S.; Chetan, K.; Akshay Prasad, M. Investigation on Tribological Behaviour of Bio-Based Pongamia Pinnata Seed Cake Waste Incorporated Basalt Epoxy Composites. Mater. Today Proc. 2019, 18, 5309–5316. [Google Scholar] [CrossRef]
- Nam, G.; Kim, J.; Song, J.-I. Mechanical Performance of Bio-Waste-Filled Carbon Fabric/Epoxy Composites. Polym. Compos. 2019, 40, E1504–E1511. [Google Scholar] [CrossRef]
- Mahdian, M.; Huang, L.Y.; Kirk, D.W.; Jia, C.Q. Water permeability of monolithic wood biocarbon. Microporous Mesoporous Mater. 2020, 303, 110258. [Google Scholar] [CrossRef]
- Giorcelli, M.; Savi, P.; Khan, A.; Tagliaferro, A. Analysis of biochar with different pyrolysis temperatures used as filler in epoxy resin composites. Biomass Bioenergy 2019, 122, 466–471. [Google Scholar] [CrossRef]
- Ogunsona, E.O.; Codou, A.; Misra, M.; Mohanty, A.K. Thermally Stable Pyrolytic Biocarbon as an Effective and Sustainable Reinforcing Filler for Polyamide Bio-composites Fabrication. J. Polym. Environ. 2018, 26, 3574–3589. [Google Scholar] [CrossRef]
- Bartoli, M.; Nasir, M.A.; Jagdale, P.; Passaglia, E.; Spiniello, R.; Rosso, C.; Giorcelli, M.; Rovere, M.; Tagliaferro, A. Influence of pyrolytic thermal history on olive pruning biochar and related epoxy composites mechanical properties. J. Compos. Mater. 2019, 54, 1863–1873. [Google Scholar] [CrossRef]
- Giorcelli, M.; Khan, A.; Pugno, N.M.; Rosso, C.; Tagliaferro, A. Biochar as a cheap and environmental friendly filler able to improve polymer mechanical properties. Biomass Bioenergy 2019, 120, 219–223. [Google Scholar] [CrossRef]
- Bartoli, M.; Giorcelli, M.; Rosso, C.; Rovere, M.; Jagdale, P.; Tagliaferro, A. Influence of commercial biochar fillers on brittleness/ductility of epoxy resin composites. Appl. Sci. 2019, 9, 3109. [Google Scholar] [CrossRef]
- Oral, I. Determination of elastic constants of epoxy resin/biochar composites by ultrasonic pulse echo overlap method. Polym. Compos. 2016, 37, 2907–2915. [Google Scholar] [CrossRef]
- Savi, P.; Jose, S.P.; Khan, A.A.; Giorcelli, M.; Tagliaferro, A. Biochar and carbon nanotubes as fillers in polymers: A comparison. In Proceedings of the 2017 IEEE MTT-S International Microwave Workshop Series on Advanced Materials and Processes for RF and THz Applications, Pavia, Italy, 20–22 September 2017. IMWS-AMP 2017. [Google Scholar]
- Forintos, N.; Czigany, T. Multifunctional application of carbon fiber reinforced polymer composites: Electrical properties of the reinforcing carbon fibers—A short review. Compos. Part B Eng. 2019, 162, 331–343. [Google Scholar] [CrossRef]
- Bowlby, L.K.; Saha, G.C.; Afzal, M.T. Flexural strength behavior in pultruded GFRP composites reinforced with high specific-surface-area biochar particles synthesized via microwave pyrolysis. Compos. Part A Appl. Sci. Manuf. 2018, 110, 190–196. [Google Scholar] [CrossRef]
- Dahal, R.K.; Acharya, B.; Saha, G.; Bissessur, R.; Dutta, A.; Farooque, A. Biochar as a filler in glassfiber reinforced composites: Experimental study of thermal and mechanical properties. Compos. Part B Eng. 2019, 175, 107169. [Google Scholar] [CrossRef]
- Chee, S.S.; Jawaid, M.; Sultan, M.T.H.; Alothman, O.Y.; Abdullah, L.C. Thermomechanical and dynamic mechanical properties of bamboo/woven kenaf mat reinforced epoxy hybrid composites. Compos. Part B Eng. 2019, 163, 165–174. [Google Scholar] [CrossRef]
- Temmink, R.; Baghaei, B.; Skrifvars, M. Development of biocomposites from denim waste and thermoset bio-resins for structural applications. Compos. Part A Appl. Sci. Manuf. 2018, 106, 59–69. [Google Scholar] [CrossRef]
- Das, O.; Bhattacharyya, D.; Hui, D.; Lau, K.-T. Mechanical and flammability characterisations of biochar/polypropylene biocomposites. Compos. Part B Eng. 2016, 106, 120–128. [Google Scholar] [CrossRef]
- Mariotti, G.; Vannozzi, L. Fabrication, Characterization, and Properties of Poly (Ethylene-Co-Vinyl Acetate) Composite Thin Films Doped with Piezoelectric Nanofillers. Nanomaterials 2019, 9, 1182. [Google Scholar] [CrossRef] [PubMed]
- Cafarelli, A.; Losi, P.; Salgarella, A.R.; Barsotti, M.C.; Di Cioccio, I.B.; Foffa, I.; Vannozzi, L.; Pingue, P.; Soldani, G.; Ricotti, L. Small-caliber vascular grafts based on a piezoelectric nanocomposite elastomer: Mechanical properties and biocompatibility. J. Mech. Behav. Biomed. Mater. 2019, 97, 138–148. [Google Scholar] [CrossRef] [PubMed]
- Wambua, P.; Ivens, J.; Verpoest, I. Natural fibres: Can they replace glass in fibre reinforced plastics? Compos. Sci. Technol. 2003, 63, 1259–1264. [Google Scholar] [CrossRef]
- Fiore, V.; Sanfilippo, C.; Calabrese, L. Influence of sodium bicarbonate treatment on the aging resistance of natural fiber reinforced polymer composites under marine environment. Polym. Test. 2019, 80, 106100. [Google Scholar] [CrossRef]
- Kissinger, H.E. Reaction Kinetics in Differential Thermal Analysis. Anal. Chem. 1957, 29, 1702–1706. [Google Scholar] [CrossRef]
- Jiao, C.; Zhang, C.; Dong, J.; Chen, X.; Qian, Y.; Li, S. Combustion behavior and thermal pyrolysis kinetics of flame-retardant epoxy composites based on organic–inorganic intumescent flame retardant. J. Therm. Anal. Calorim. 2015, 119, 1759–1767. [Google Scholar] [CrossRef]










| Sample | G’ at 30 °C (MPa) | G’ at 100 °C (MPa) | Tg (°C) | Tan δ |
|---|---|---|---|---|
| 0 BC | 2150 ± 35 | 75.1 ± 3.5 | 73 ± 2 | 0.51 ± 0.2 |
| 2.5 BC | 2720 ± 40 | 82.4 ± 2.5 | 73 ± 2 | 0.49 ± 0.3 |
| 5 BC | 2810 ± 45 | 93.3 ± 3.0 | 71 ± 2 | 0.55 ± 0.1 |
| 10 BC | 2990 ± 35 | 129.0 ± 3.0 | 73 ± 2 | 0.45 ± 0.2 |
| Sample | Flexural Strength (MPa) | Flexural Modulus (GPa) | Impact Strength (kJ/m2) | F max (N) |
|---|---|---|---|---|
| 0 BC | 275 ± 2 | 7.6 ± 0.2 | 55.3 ± 0.8 | 183.9 ± 5.8 |
| 2.5 BC | 280 ± 1 | 6.2 ± 0.15 | 65.5 ± 2.5 | 221.3 ± 4.1 |
| 5 BC | 305 ± 2 | 6.3 ± 0.15 | 69.4 ± 0.7 | 210.2 ± 6.4 |
| 10 BC | 323 ± 1 | 6.8 ± 0.2 | 72.7 ± 2.1 | 210.5 ± 9.1 |
| Sample | Tensile Strength (MPa) | Tensile Modulus (GPa) | Elongation at Break (%) |
|---|---|---|---|
| 0 BC | 375 ± 5 | 16.6 ± 0.2 | 2.5 ± 0.2 |
| 2.5 BC | 305 ± 4 | 13.5 ± 0.3 | 2.6 ± 0.1 |
| 5 BC | 355 ± 2 | 14.3 ± 0.2 | 2.5 ± 0.2 |
| 10 BC | 380 ± 3 | 15.5 ± 0.2 | 2.5 ± 0.3 |
| Name | T10% (°C) | Residual Mass (%) | DTG Peak Temperature (°C) | Max Degradation Rate (%/min) |
|---|---|---|---|---|
| BC | 528.9 | 82.9 | - | - |
| 0 BC | 329.5 | 45.57 | 355.6 | 6.22 |
| 2.5 BC | 331.1 | 42.00 | 359.1 | 6.87 |
| 5 BC | 329.0 | 42.89 | 360.2 | 7.04 |
| 10 BC | 329.5 | 44.18 | 358.8 | 6.82 |
| Name | T10% (°C) | Residual Mass (%) | DTG Peak Temperature (°C) | Max Degradation Rate (%/min) |
|---|---|---|---|---|
| BC | 396.4 | 4.92 | 507.9 | 8.2 |
| 0 BC | 302.6 | 1.0 | 345.1 | 4.98 |
| 2.5 BC | 317.2 | 0.9 | 346.5 | 6.07 |
| 5 BC | 318.3 | 0.5 | 350.2 | 5.68 |
| 10 BC | 324.9 | 0.1 | 353.4 | 5.19 |
| Name | Tp at 5 °C/min (°C) | Tp at 10 °C/min (°C) | Tp at 15 °C/min (°C) | Tp at 20 °C/min (°C) | Ea (kJ/mol) |
|---|---|---|---|---|---|
| 0 BC | 353.0 ± 2.0 | 355.6 ± 1.8 | 375.8 ± 2.1 | 375.3 ± 2.0 | 136.3 ± 2.2 |
| 2.5 BC | 359.2 ± 1.8 | 361.1 ± 2.0 | 379.5 ± 1.7 | 385.2 ± 2.0 | 133.9 ± 3.0 |
| 5 BC | 360.2 ± 2.5 | 361.5 ± 2.2 | 382.4 ± 1.9 | 385.7 ± 2.0 | 137.5 ± 1.9 |
| 10 BC | 356.1 ± 2.1 | 359.6 ± 1.9 | 370.8 ± 2.1 | 382.0 ± 2.0 | 151.2 ± 2.0 |
© 2020 by the author. Licensee MDPI, Basel, Switzerland. This article is an open access article distributed under the terms and conditions of the Creative Commons Attribution (CC BY) license (http://creativecommons.org/licenses/by/4.0/).
Share and Cite
Matykiewicz, D. Biochar as an Effective Filler of Carbon Fiber Reinforced Bio-Epoxy Composites. Processes 2020, 8, 724. https://doi.org/10.3390/pr8060724
Matykiewicz D. Biochar as an Effective Filler of Carbon Fiber Reinforced Bio-Epoxy Composites. Processes. 2020; 8(6):724. https://doi.org/10.3390/pr8060724
Chicago/Turabian StyleMatykiewicz, Danuta. 2020. "Biochar as an Effective Filler of Carbon Fiber Reinforced Bio-Epoxy Composites" Processes 8, no. 6: 724. https://doi.org/10.3390/pr8060724
APA StyleMatykiewicz, D. (2020). Biochar as an Effective Filler of Carbon Fiber Reinforced Bio-Epoxy Composites. Processes, 8(6), 724. https://doi.org/10.3390/pr8060724
