Occurrence and Removal of Veterinary Antibiotics in Livestock Wastewater Treatment Plants, South Korea
Abstract
1. Introduction
2. Materials and Methods
2.1. Survey Items
2.2. Selection of Target Treatment Plants and Sampling Method
2.3. Sample Pretreatment and Analysis
2.4. Laboratory-Scale Experimental Conditions
3. Results and Discussion
3.1. Results of Quality Control
3.2. Concentration and Removal Efficiency of Antibiotics in Livestock Wastewater Treatment Plants
3.2.1. Comparison of Influent and Effluent Concentrations with Previous Studies
3.2.2. Seasonal Influent Characteristics
3.2.3. Removal Efficiency by Treatment Process
3.3. Evaluation of Removal Performance According to HRT in Livestock Wastewater Treatment Using a Laboratory-Scale Reactor
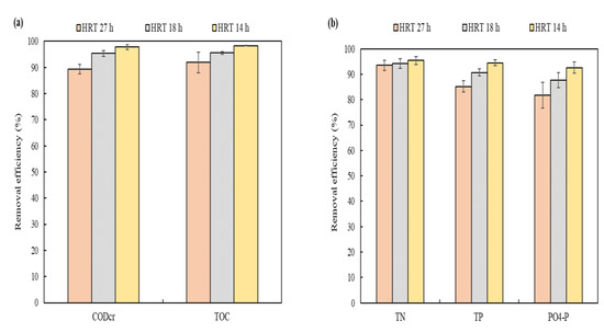
3.3.1. Removal of Organic Matter, Nitrogen, and Phosphorus
3.3.2. Removal of Antibiotics
4. Conclusions
Author Contributions
Funding
Conflicts of Interest
References
- Daughton, C.G. Pollution from the combined activities, actions, and behaviors of the public: Pharmaceuticals and personal care products. NorCal SETAC News 2003, 14, 5–15. [Google Scholar]
- Heberer, T. Occurrence, fate, and removal of pharmaceutical residues in the aquatic environment: A review of recent research data. Toxicol. Lett. 2002, 131, 5–17. [Google Scholar] [CrossRef]
- World Health Organization. In Proceedings of the Medical Impact of the Use of Antimicrobials in Food Animals: Report of a WHO Meeting, Berlin, Germany, 13–17 October 1997.
- World Health Organization. In Proceedings of the WHO Global Principles for the Containment of Antimicrobial Resistance in Animals Intended for Food: Report of a WHO consultation with the participation of the Food and Agriculture Organization of the United Nations and the Office International des Epizooties, Geneva, Switzerland, 5–9 June 2000.
- World Health Organization. WHO Global Strategy for Containment of Antimicrobial Resistance; World Health Organization: Geneva, Switzerland, 2001. [Google Scholar]
- National Institute of Food and Drug Safety Evaluation. Nationwide Antibiotic Consumption and Resistance Monitoring; National Institute of Food and Drug Safety Evaluation: Cheongju, Korea, 2018; pp. 9–17. [Google Scholar]
- Ministry of Food and Drug Safety. Study on the Relationship of Antibiotic Use and Resistance; Ministry of Food and Drug Safety: Cheongju, Korea, 2002.
- Kim, J.; Oh, S.; Park, S.; Kim, P.-G.; Park, J.; Jeong, D.; Choi, K. Prioritizing Major Veterinary Antibiotics in Korea; Asia Pacific SETAC: Beijing, China, 2006. [Google Scholar]
- Buxton, H.T.; Kolpin, D.W. Pharmaceuticals, Hormones, and Other Organic Wastewater Contaminants in U.S. Streams, 1999–2000: A National Reconnaissance; FS-027-02; U.S. Geological Survey Fact Sheet: Reston, VA, USA, 2002. [Google Scholar]
- Ellis, J. Pharmaceutical and personal care products (PPCPs) in urban receiving waters. Environ. Pollut. 2006, 144, 184–189. [Google Scholar] [CrossRef]
- Tayo, L.L.; Caparanga, A.R.; Doma, B.T.; Liao, C.-H. A review on the removal of Pharmaceutical and Personal Care Products (PPCPs) using advanced oxidation processes. J. Adv. Oxid. Technol. 2018, 21, 196–214. [Google Scholar] [CrossRef]
- Goel, M.; Das, A. A review on treatment of pharmaceuticals and personal care products (PPCPs) in water and wastewater. In Handbook of Environmental Materials Management; Springer: Berlin/Heidelberg, Germany, 2018. [Google Scholar]
- Park, M.; Kim, B.; Myeong, S. The analysis of pharmaceuticals in drinking water (purified water) by HPLC/ESI-MS/MS. Korean Soc. Anal. Sci. 2010, 23, 457–464. [Google Scholar]
- Kim, J.; Park, C.; Kim, M.; Ahn, S. Analysis of pharmaceutical residues on aquatic environment using LC/MS. Korean Soc. Environ. Sci. 2008, 11, 99–108. [Google Scholar]
- Suh, C.; Kim, B.; Cho, H.; Nam, Y.; Kim, T.; Lee, M.; Myeong, S. Monitoring of pharmaceuticals from livestock wastewater treatment plants by LC/ESI-MS/MS. Korean Soc. Environ. Sci. 2009, 12, 273–282. [Google Scholar]
- Park, J.; Yamashita, N.; Park, C.; Shimono, T.; Takeuchi, D.M.; Tanaka, H. Removal characteristics of pharmaceuticals and personal care products: Comparison between membrane bioreactor and various biological treatment processes. Chemosphere 2017, 179, 347–358. [Google Scholar] [CrossRef]
- Park, J.; Kim, C.; Hong, Y.; Lee, W.; Chung, H.; Jeong, D.-H.; Kim, H. Distribution and removal of pharmaceuticals in liquid and solid phases in the unit processes of sewage treatment plants. Int. J. Environ. Res. Public Health 2020, 17, 687. [Google Scholar] [CrossRef]
- Sim, W.; Lee, J.; Lee, E.; Shin, S.; Hwang, S.; Oh, J. Occurrence and distribution of pharmaceuticals in wastewater from households, livestock farms, hospitals and pharmaceutical manufactures. Chemosphere 2011, 82, 179–186. [Google Scholar] [CrossRef]
- Behera, S.K.; Kim, H.; Oh, J.; Park, H. Occurrence and removal of antibiotics, hormones and several other pharmaceuticals in wastewater treatment plants of the largest industrial city of Korea. Sci. Total Environ. 2011, 409, 4351–4360. [Google Scholar] [CrossRef] [PubMed]
- Ekpeghere, K.L.; Lee, J.; Kim, H.; Shin, S.; Oh, J. Determination and characterization of pharmaceuticals in sludge from municipal and livestock wastewater treatment plants. Chemosphere 2017, 168, 1211–1221. [Google Scholar] [CrossRef] [PubMed]
- Maron, D.F.; Smith, T.J.; Nachman, K.E. Restrictions on antimicrobial use in food animal production: An international regulatory and economic survey. Global Health 2013, 9, 48. [Google Scholar] [CrossRef]
- National Institute of Environmental Research. Environmental Risk Assessment of Pharmaceutical Residues; Ministry of Environment: Sejong, Korea, 2011; pp. 34–59.
- National Institute of Environmental Research. National Survey Data of Contaminants; Ministry of Environment: Sejong, Korea, 2019.
- United States Environmental Protection Agency (U.S. EPA). Method 1694: Pharmaceuticals and Personal Care Products in Water, Soil, Sediment, and Biosolids by HPLC/MS/MS; U.S. Environmental Protection Agency: Washington, DC, USA, 2007.
- United States Environmental Protection Agency (U.S. EPA). Handbook for Analytical Quality Control in Water and Wastewater Laboratories; U.S. Environmental Protection Agency: Washington, DC, USA, 1979.
- National Institute of Environmental Research. A Study on the Investigation and Analysis of Pharmaceutical Residues (IV); Ministry of Environment: Sejong, Korea, 2011; pp. 191–240.
- National Institute of Environmental Research. A Study on Sources and Behaviors of Pharmaceuticals Released into the Environment (III); Ministry of Environment: Sejong, Korea, 2010; pp. 228–270.
- National Institute of Environmental Research. A Study on the Investigation and Analysis of Pharmaceuticals in the Environment; Ministry of Environment: Sejong, Korea, 2006; pp. 216–249.
- National Institute of Environmental Research. A Study on the Investigation and Analysis of Pharmaceuticals in the Environment (II); Ministry of Environment: Sejong, Korea, 2007; pp. 143–150.
- Zhang, M.; Liu, Y.; Zhao, J.; Liu, W.; He, L.; Zhang, J.; Chen, J.; He, L.; Zhang, Q.; Ying, G.; et al. Occurrence, fate and mass loadings of antibiotics in two swine wastewater treatment systems. Sci. Total Environ. 2018, 639, 1421–1431. [Google Scholar] [CrossRef]
- Liu, L.; Liu, C.; Zheng, J.; Huang, X.; Wang, Z.; Liu, Y.; Zhu, G. Elimination of veterinary antibiotics and antibiotic resistance genes from swine wastewater in the vertical flow constructed wetlands. Chemosphere 2013, 91, 1088–1093. [Google Scholar] [CrossRef] [PubMed]
- Chang, B.V.; Hsu, F.Y.; Liao, H.Y. Biodegradation of three tetracyclines in swine wastewater. J. Environ. Sci. Health B 2014, 49, 449–455. [Google Scholar] [CrossRef]
- Jeong, H.; Chun, S. The utilization of antibiotics and the treatment of bacterial diseases in fish. J. Fish Pathol. 1992, 5, 37–48. [Google Scholar]
- Oliveira, G.H.D.; Santos-Neto, A.J.; Zaiat, M. Removal of the veterinary antimicrobial sulfamethazine in a horizonal-flow anaerobic immobilized biomass (HAIB) reactor subjected to step changes in the applied organic loading rate. J. Environ. Manag. 2017, 204, 674–683. [Google Scholar] [CrossRef]
- Haung, M.; Tian, S.; Chen, D.; Zhang, W.; Wu, J.; Chen, L. Removal of sulfamethazine antibiotics by aerobic sludge and an isolated Achromobacter sp. S-3. J. Environ. Sci. 2012, 24, 1594–1599. [Google Scholar] [CrossRef]
- Yang, N.; Wan, J.; Zhao, S.; Wang, Y. Removal of concentrated sulfamethazine by acclimatized aerobic sludge and possible metabolic products. PeerJ 2015, 3, e1359. [Google Scholar] [CrossRef] [PubMed]
- Chen, J.; Xie, S. Overview of sulfonamide biodegradation and the relevant pathways and microorganisms. Sci. Total Environ. 2018, 640–641, 1465–1477. [Google Scholar] [CrossRef] [PubMed]
- Batt, A.L.; Kim, S.; Aga, D.S. Comparison of the occurrence of antibiotics in four full-scale wastewater treatment plants with varying designs and operations. Chemosphere 2007, 68, 428–435. [Google Scholar] [CrossRef] [PubMed]
- Guerra, P.; Kim, M.; Shah, A.; Alaee, M.; Smyth, S.A. Occurrence and fate of antibiotic, analgesic/anti-inflammatory, and antifungal compounds in five wastewater treatment processes. Sci. Total Environ. 2014, 473–474, 235–243. [Google Scholar] [CrossRef]
- Hou, J.; Chen, Z.; Gao, J.; Xie, Y.; Li, L.; Qin, S.; Wang, Q.; Mao, D.; Luo, Y. Simultaneous removal of antibiotics and antibiotic resistance genes from pharmaceutical wastewater using the combinations of up-flow anaerobic sludge bed, anoxic-oxic tank, and advanced oxidation technologies. Water Res. 2019, 159, 511–520. [Google Scholar] [CrossRef] [PubMed]
- Hou, J.; Wang, C.; Mao, D.; Luo, Y. The occurrence and fate of tetracyclines in two pharmaceutical wastewater treatment plants of Northern China. Environ. Sci. Pollut. Res. 2016, 23, 1722–1731. [Google Scholar] [CrossRef] [PubMed]
- Gao, P.; Ding, Y.; Li, H.; Xagoraraki, I. Occurrence of pharmaceuticals in a municipal wastewater treatment plant: Mass balance and removal processes. Chemosphere 2012, 88, 17–24. [Google Scholar] [CrossRef]
- Luo, Y.; Guo, W.; Ngo, H.H.; Nghiem, L.D.; Hai, F.I.; Zhang, J.; Liang, S.; Wang, X.C. A review on the occurrence of micropollutants in the aquatic environment and their fate and removal during wastewater treatment. Sci. Total Environ. 2014, 473–474, 619–641. [Google Scholar] [CrossRef]




| Year | Cattle | Swine | Poultry | Fishery | Total |
|---|---|---|---|---|---|
| 2009 | 63,066 | 551,109 | 205,622 | 178,370 | 998,167 |
| 2010 | 57,443 | 581,507 | 204,472 | 203,490 | 1,046,912 |
| 2011 | 57,726 | 459,320 | 199,929 | 239,316 | 956,291 |
| 2012 | 65,456 | 448,676 | 194,309 | 227,928 | 936,369 |
| 2013 | 63,538 | 384,296 | 159,290 | 213,235 | 820,359 |
| 2014 | 72,414 | 428,283 | 150,580 | 241,855 | 893,132 |
| 2015 | 71,133 | 480,718 | 156,903 | 200,933 | 909,687 |
| 2016 | 69,419 | 502,068 | 156,554 | 235,776 | 963,817 |
| 2017 | 88,741 | 536,431 | 153,563 | 247,841 | 1,026,576 |
| 2018 | 93,398 | 490,528 | 157,401 | 241,889 | 983,216 |
| Treatment Process | No. of Combined Treatment Plants * | No. of Individual Treatment Plants | Total | Percentage (%) |
|---|---|---|---|---|
| BCS process * | 14 | 10 | 24 | 24.7 |
| Liquid-phase flotation process | 11 | 11 | 22 | 22.7 |
| HBR process * | 5 | 1 | 6 | 6.2 |
| MBR process * | 2 | 1 | 3 | 3.1 |
| BIOSUF * | 7 | 2 | 9 | 9.3 |
| B3 process * | 4 | 0 | 4 | 4.1 |
| Others | 21 | 8 | 29 | 29.9 |
| Total | 64 | 33 | 97 | 100.0 |
| Plants | Flow Rate (m3/d) | HRT * | MLSS * Concentration (mg/L) | Treatment Processes |
|---|---|---|---|---|
| Plant A (BCS *) | 80 | 20–24 h | 5500–7500 | Inflow→removal of impurities→vibrating screen→retention tank→centrifuge★→flow control tank→BCS (ceramic ball)→dissolved ozone flotation → biological aerated filter→activated carbon→discharge into streams★ |
| Plant B (liquid-phase flotation) | 120 | 20–30 day | 20,000–22,000 | Inflow→removal of impurities→retention tank (aeration)→centrifuge★→flow control tank (aeration)→liquid-phase flotation [denitrification tank(anoxic), nitrification tank (aeration)]→up-flow filter medium (plastic medium)→sand filter →activated carbon→combined with sewage treatment plant★ |
| Plant C (MBR *) | 100 | 12–18 h | 10,000–11,000 | Inflow→removal of impurities→primary retention tank→centrifuge★→secondary retention tank→flotation unit→flow control tank→anoxic tank→primary aerobic tank→intermittent aerobic tank→secondary aerobic tank→drum screen→perforated panel→buffer tank→sieve screen→U/F membrane→treated water tank →combined with sewage treatment plant★ |
| Plant D (BIOSUF *) | 150 | 18–24 h | 9500–12,000 | Inflow→removal of impurities→primary retention tank→centrifuge★→secondary retention tank→primary denitrification tank→sedimentation tan →secondary denitrification tank→U/F membrane→combined water tank→combined with sewage treatment plant★ |
| Plant E (B3*) | 70 | 12–14 h | 6000–9000 | inflow→removal of impurities→centrifuge★→retention tank→aerobic tank→sedimentation tank→physicochemical treatment (ferric chloride, polymer, NaOH) →sedimentation tank (dissolved air flotation tank)→combined with sewage treatment plant★ |
| Parameters | Conditions |
|---|---|
| Column | UltraHT Pro C18, 50 × 2.0 mm I.d., 2 μm |
| Mobile phase (Group 1) | A: 20 mM ammonium acetate (pH 6.5) |
| B: Acetonitrile | |
| Mobile phase (Group 2) | A: 20 mM ammonium formate (0.3% formic acid) |
| B: Acetonitrile | |
| Column flow rate | 0.3 mL/min |
| Injection volume | 5 μL |
| Column temperature | 40 °C |
| Ionization mode | ESI positive |
| Capillary voltage | 4.5 kV |
| Gas temperature | 350 °C |
| Gas flow | 10 L/min (N2) |
| Nebulizer | 45 psi |
| Parameters | Specification | ||
|---|---|---|---|
| Days of Operation (d) | 90 | ||
| Temperature (°C) | 16.5–23.2 | ||
| pH | 5.8–7.6 | ||
| COD * (mg/L) | 10,800–15,673 | ||
| TOC * (mg/L) | 2291–3025 | ||
| TN * (mg/L) | 6510–9550 | ||
| TP * (mg/L) | 333–497 | ||
| SS * (ng/L) | 9000–11,900 | ||
| Lab-1 | Lab-2 | Lab-3 | |
| Flow rate (L/d) | 24 | 36 | 48 |
| HRT * (h) | 27.4 | 18.2 | 13.7 |
| MLSS * (mg/L) | 3700–4800 | 3550–4600 | 3250–5050 |
| Internal recirculation (%) | 200 | 200 | 200 |
| External recirculation (%) | 100 | 100 | 100 |
| Group | Compounds | MDL * (μg/L) | LOQ * (μg/L) | Conc. (μg/L) | Recovery (%) | RSD * (%) |
|---|---|---|---|---|---|---|
| 1 | Sulfamethazine | 0.011 | 0.035 | 0.32 | 70.2 | 8.78 |
| 0.89 | 86.6 | 6.08 | ||||
| 5.17 | 86.9 | 5.71 | ||||
| Sulfathiazole | 0.034 | 0.108 | 0.78 | 83.4 | 9.46 | |
| 1.96 | 91.8 | 13.57 | ||||
| 10.10 | 92.5 | 2.37 | ||||
| 2 | Oxytetracycline | 0.024 | 0.076 | 12.50 | 94.9 | 10.51 |
| 25.00 | 98.9 | 5.94 | ||||
| 125.00 | 97.1 | 3.74 | ||||
| Chlortetracycline | 0.010 | 0.032 | 12.50 | 96.7 | 7.18 | |
| 25.00 | 102.6 | 4.78 | ||||
| 125.00 | 94.9 | 7.85 | ||||
| Sulfamethazine-6-13C | - | - | 5.20 | 95.8 | 6.32 | |
| Influent | Effluent | Country | Reference | |||||
|---|---|---|---|---|---|---|---|---|
| Frequency | Concentration | Frequency | Concentration | |||||
| Mean | Range | Mean | Range | |||||
| sulfamethazine | 18/18 | 251.24 | 1.64–1629 | 9/18 | 20.82 | N.D.*–115 | Korea | This study |
| 6/8 | 57.8 | 1.76–189 | 4/8 | 11.6 | 0.011–25.4 | Korea | [18] | |
| 2/20 | 0.002 | 0.005–0.007 | 0/20 | N.D | N.D | Korea | [26] | |
| 4/4 | 2.928 | 0.597–7.995 | 3/4 | 4.448 | N.D.–7.300 | Korea | [27] | |
| 8/10 | 148.5 | N.D.–658.5 | 6/10 | 0.3236 | N.D.–1.856 | Korea | [28] | |
| 7/8 | 29.828 | N.D.–69.69 | 1/8 | 4.656 | N.D.–37.24 | Korea | [29] | |
| 5/6 | - | 0.022–0.963 | 5/6 | - | 0.007–0.035 | China | [30] | |
| 8/8 | - | 35.0–45.0 | 16/16 | - | 11.07–13.15 | China | [31] | |
| sulfathiazole | 18/18 | 230.78 | 0.75–922 | 7/18 | 28.20 | N.D.–159 | Korea | This study |
| 8/8 | 153 | 7.44–403 | 5/8 | 72.2 | 0.028–170 | Korea | [18] | |
| 0/20 | N.D | N.D | 0/20 | N.D | N.D | Korea | [26] | |
| 4/4 | N.D | 0.179–11.76 | 4/4 | 6.329 | 0.179–16.63 | Korea | [27] | |
| 10/10 | 666.6 | 0.193–2294 | 9/10 | 0.6567 | N.D.–4.08 | Korea | [28] | |
| 8/8 | 317.45 | 1.137–659.7 | 7/8 | 30.415 | N.D.–241.7 | Korea | [29] | |
| chlortetracycline | 5/18 | 483.71 | N.D.–1491 | 5/18 | 11.47 | 0.73–33.52 | Korea | This study |
| 2/8 | 20.7 | 1.37–40.0 | 2/8 | 1.05 | 0.067–2.03 | Korea | [18] | |
| 0/20 | N.D | N.D | 0/20 | N.D | N.D | Korea | [26] | |
| 4/4 | 0.644 | 0.017–2.407 | 2/4 | 0.002 | N.D.–0.003 | Korea | [27] | |
| 2/10 | 4.680 | N.D.–31.08 | 0/10 | N.D | N.D | Korea | [28] | |
| 5/8 | 754.97 | N.D.–2960 | 4/8 | 16.328 | N.D.–129.2 | Korea | [29] | |
| 5/6 | - | N.D.–1.74 | 6/6 | - | N.D.–0.056 | China | [30] | |
| - | - | N.D.–4.32 | - | - | - | Taiwan | [32] | |
| oxytetracycline | 1/18 | 25.70 | N.D.–25.70 | 0/18 | - | N.D | Korea | This study |
| 0/8 | N.D | N.D | 1/8 | 0.42 | N.D.–3.38 | Korea | [18] | |
| 0/20 | N.D | N.D | 0/20 | N.D | N.D | Korea | [26] | |
| 4/4 | 2.291 | 0.038–8.50 | 2/4 | 1.834 | N.D.–3.65 | Korea | [27] | |
| 7/10 | 3.5578 | N.D.–24.74 | 3/10 | 0.0928 | N.D.–0.69 | Korea | [28] | |
| 1/8 | 19.777 | N.D.–158.2 | 1/8 | 0.0928 | N.D.–0.28 | Korea | [29] | |
| 6/6 | - | 1.76–76.4 | 5/6 | - | N.D.–1.82 | China | [30] | |
| 8/8 | - | 25.0–58.0 | 16/16 | - | 2.2–4.34 | China | [31] | |
| - | - | N.D.–5.33 | Taiwan | [32] | ||||
| Treatment Plant | Influent | Sulfamethazine | Sulfathiazole | Chlortetracycline | Oxytetracycline |
|---|---|---|---|---|---|
| Plant A | Spring | 99.0 | 100.0 | - | - |
| Summer | 100.0 | 100.0 | 100.0 | - | |
| Fall | 100.0 | 100.0 | - | - | |
| Winter | 100.0 | 100.0 | - | - | |
| Plant B | Spring | 98.0 | 97.6 | - | - |
| Summer | 100.0 | 100.0 | 98.3 | - | |
| Fall | 100.0 | 100.0 | 99.2 | - | |
| Winter | 99.8 | 100.0 | - | - | |
| Plant C | Spring | 98.7 | 98.9 | - | - |
| Summer | 100.0 | 100.0 | 93.5 | - | |
| Fall | 91.1 | 92.3 | - | - | |
| Winter | 99.8 | 100.0 | - | - | |
| Plant D | Spring | 100.0 | 100.0 | - | - |
| Summer | 60.2 | 99.6 | 82.8 | - | |
| Fall | 100.0 | 99.5 | - | 100.0 | |
| Winter | 100.0 | 100.0 | - | - | |
| Plant E | Summer | 98.6 | 99.4 | 100.0 | - |
| Fall | 39.7 | 47.8 | - | - |
© 2020 by the authors. Licensee MDPI, Basel, Switzerland. This article is an open access article distributed under the terms and conditions of the Creative Commons Attribution (CC BY) license (http://creativecommons.org/licenses/by/4.0/).
Share and Cite
Kim, J.-P.; Jin, D.R.; Lee, W.; Chae, M.; Park, J. Occurrence and Removal of Veterinary Antibiotics in Livestock Wastewater Treatment Plants, South Korea. Processes 2020, 8, 720. https://doi.org/10.3390/pr8060720
Kim J-P, Jin DR, Lee W, Chae M, Park J. Occurrence and Removal of Veterinary Antibiotics in Livestock Wastewater Treatment Plants, South Korea. Processes. 2020; 8(6):720. https://doi.org/10.3390/pr8060720
Chicago/Turabian StyleKim, Jin-Pil, Dal Rae Jin, Wonseok Lee, Minhee Chae, and Junwon Park. 2020. "Occurrence and Removal of Veterinary Antibiotics in Livestock Wastewater Treatment Plants, South Korea" Processes 8, no. 6: 720. https://doi.org/10.3390/pr8060720
APA StyleKim, J.-P., Jin, D. R., Lee, W., Chae, M., & Park, J. (2020). Occurrence and Removal of Veterinary Antibiotics in Livestock Wastewater Treatment Plants, South Korea. Processes, 8(6), 720. https://doi.org/10.3390/pr8060720
