Thermal Stress and Deformation of Hollow Paddle-Shaft Components with Internal High Temperature Molten Salt Flow
Abstract
1. Introduction
2. Geometry
3. Numerical Modeling
3.1. Fluid Flow and Heat Transfer Modeling
3.2. Thermal Stress and Deformation Modeling
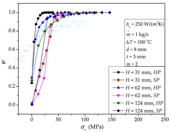
4. Results and Discussion
4.1. Effects of Geometrical Parameters
4.2. Effects of Operation Conditions
4.3. Further Discussion
5. Conclusions
Author Contributions
Funding
Conflicts of Interest
Nomenclature
| cp | Specific heat at constant pressure, J/(kgK) |
| d | Diameter of flow holes, mm or m |
| D | Diameter of the hollow shaft, mm or m |
| E | Young’s modulus, Pa |
| ho | Material-side convective heat transfer coefficient, W/(m2K) |
| H | Paddle height, mm or m |
| L, L1, L2, L3 | Dimensions, mm or m, Figure 1 |
| Mass flow rate, kg/s | |
| m | Number of flow holes |
| P | Pressure, Pa, MPa |
| Heat transfer rate, W | |
| ux, uy, uz | Displacement in x, y, z direction, mm or m |
| t | Paddle thickness, mm or m |
| ts | Hollow shaft thickness, mm, Figure 1 |
| T | Temperature, K or °C |
| Ti | Molten salt inlet temperature, K or °C |
| To | External material temperature, K or °C |
| V | Solid volume of paddle-shaft component, m3, or mm3 |
| Vf | Fluid volume in hollow paddles, m3, or mm3 |
| Vp | Paddle volume (including solid and fluid), m3 or mm3 |
| x, y, z | Coordinate components, mm or m |
| y + | Non-dimensional distance in modeling turbulent flow [26] |
| Greek symbols | |
| Thermal expansion coefficient, 1/K | |
| β | Paddle wall inclination angle |
| γ | Shear strain, mm/mm |
| δy | Maximum radial deformation relative to the center line, mm |
| δz | Maximum axial deformation relative to the fixed end, mm |
| ΔP | Pressure drop, Pa |
| ΔT | Temperature difference (Ti – To), K or °C |
| ΔTl | Local temperature difference for stress and deformation calculation, K or °C |
| ε | Normal strain, mm/mm |
| θ | Position angle of flow holes |
| λ | Thermal conductivity, W/(mK) |
| μ | Dynamic viscosity, kg/(ms) |
| ρ | Density, kg/m3 |
| σ | von Mises stress, Pa |
| σo | Specified stress, MPa |
| τ | Shear stress, Pa |
| ϕ | Volume ratio, Equation (1) |
| ψ | Indicator of stress distribution uniformity, Equation (8) |
| ω | Poisson’s ratio |
| Subscripts | |
| i | Coordinate direction |
| i | Inlet |
| o | Outlet |
| s | Solid |
| max | Maximum |
| Abbreviations | |
| HP | Paddle-shaft component with hollow paddles |
| SP | Paddle-shaft component with solid paddles |
References
- Sommers, A.; Wang, Q.; Han, X.; T’Joen, C.; Park, Y.; Jacobi, A. Ceramics and ceramic matrix composites for heat exchangers in advanced thermal systems—A review. Appl. Therm. Eng. 2010, 30, 1277–1291. [Google Scholar] [CrossRef]
- Du, J.; Shao, F.; Du, W.; Zhang, H.; Liu, X. Review on high temperature molten salt heat exchangers and applications (in Chinese). Sol. Energy 2015, 8, 35–40. [Google Scholar]
- Zhang, X.; Keramati, H.; Arie, M.; Singer, F.; Tiwari, R.; Shooshtari, A.; Ohadi, M. Recent developments in high temperature heat exchangers: A review. Front. Heat Mass Transf. 2018, 11, 1–14. [Google Scholar]
- Zhang, C.; Gümmer, V. High temperature heat exchangers for recuperated rotorcraft powerplants. Appl. Therm. Eng. 2019, 154, 548–561. [Google Scholar] [CrossRef]
- Li, W.; Huang, B.; Bi, Z. Theoretical Analysis and Applications of Thermal Stress; China Electr. Power Press: Bejing, China, 2004. (In Chinese) [Google Scholar]
- Boiler, A.S.M.E.; Code, P.V. 2015 ASME Boiler & Pressure Vessel Code, VIII Division 2 Alternative Rules, Rules for Construction of Pressure Vessels; The American Society of Mechanical Engineers: New York, NY, USA, 2015. [Google Scholar]
- Shen, J.; Liu, Y. Design by Analysis Method of Pressure Vessels and Engineering Applications; Tsinghua University Press: Beijing, China, 2016. (In Chinese) [Google Scholar]
- Islamoglu, Y. Numerical analysis of the influence of a circular fin with different profiles on the thermal characteristics in a ceramic tube of heat transfer equipment. Int. J. Press. Vessel. Pip. 2004, 81, 583–587. [Google Scholar] [CrossRef]
- Islamoglu, Y. Finite element model for thermal analysis of ceramic heat exchanger tube under axial non-uniform convective heat transfer coefficient. Mater. Des. 2004, 25, 479–482. [Google Scholar] [CrossRef]
- Masters, J.S. Optimization and thermal stress analysis of an yttria-stabilized zirconia heat exchanger. In Proceedings of the 43rd AIAA/ASME/SAE/ASEE Joint Propulsion Conference and Exhibit, Cincinnati, OH, USA, 8–11 July 2007; pp. 3195–3205. [Google Scholar]
- Ponyavin, V.; Chen, Y.; Mohamed, T.; Trabia, M.; Hechanova, A.E.; Wilson, M. Parametric study of sulfuric acid decomposer for hydrogen production. Prog. Nucl. Energy 2008, 50, 427–433. [Google Scholar] [CrossRef]
- Ponyavin, V.; Subramanian, S.; DeLosier, C.R.; Chen, Y.; Hechanova, A.E.; Peterson, P.F. Stress analysis of a high temperature heat exchanger used in an advanced nuclear reactor. In Proceedings of the ASME International Mechanical Engineering Congress and Exposition, Orlando, FL, USA, 5–11 November 2005; pp. 481–489. [Google Scholar]
- Ma, T.; Chen, Y.; Zeng, M.; Wang, Q. Stress analysis of internally finned bayonet tube in a high temperature heat exchanger. Appl. Therm. Eng. 2012, 43, 101–108. [Google Scholar] [CrossRef]
- Zeng, M.; Ma, T.; Sundén, B.; Trabia, M.B.; Wang, Q. Effect of lateral fin profiles on stress performance of internally finned tubes in a high temperature heat exchanger. Appl. Therm. Eng. 2013, 50, 886–895. [Google Scholar] [CrossRef]
- Du, B.C.; He, Y.L.; Zheng, Z.J.; Cheng, Z.D. Analysis of thermal stress and fatigue fracture for the solar tower molten salt receiver. Appl. Therm. Eng. 2016, 99, 741–750. [Google Scholar] [CrossRef]
- González-Gómez, P.A.; Gómez-Hernández, J.; Ferruzza, D.; Haglind, F.; Santana, D. Dynamic performance and stress analysis of the steam generator of parabolic trough solar power plants. Appl. Therm. Eng. 2019, 147, 804–818. [Google Scholar] [CrossRef]
- Arlabosse, P.; Chavez, S.; Lecomte, D. Method for thermal design of paddle dryers: Application to municipal sewage sludge. Dry. Technol. 2004, 22, 2375–2393. [Google Scholar] [CrossRef]
- Deng, W.Y.; Yan, J.H.; Li, X.D.; Wang, F.; Lu, S.Y.; Chi, Y.; Cen, K.F. Measurement and simulation of the contact drying of sewage sludge in a Nara-type paddle dryer. Chem. Eng. Sci. 2009, 64, 5117–5124. [Google Scholar] [CrossRef]
- Zhang, H.; Liu, X.; Zhu, S.; Li, B. Sewage sludge flow and drying characteristics in paddle dryers. Defect Diffus. Forum 2013, 334, 365–368. [Google Scholar] [CrossRef]
- Mohamed, M.A.; Tan, C.K.; El-Rahman, A.A.A.; Wahid, S.S.; Attalla, M.; Ahmed, S.A. Experimental study of the effectiveness and exergetic efficiency of counter-rotating screw heat exchanger in a prebaked anode production plant. Appl. Therm. Eng. 2019, 148, 1194–1201. [Google Scholar] [CrossRef]
- Zipf, V.; Neuhäuser, A.; Bachelier, C.; Leithner, R.; Platzer, W. Assessment of different PCM storage configurations in a 50 MWel CSP plant with screw heat exchangers in a combined sensible and latent storage—Simulation results. Energy Procedia 2015, 69, 1078–1088. [Google Scholar] [CrossRef]
- Zipf, V.; Neuhäuser, A.; Willert, D.; Nitz, P.; Gschwander, S.; Platzer, W. High temperature latent heat storage with a screw heat exchanger: Design of prototype. Appl. Energy 2013, 109, 462–469. [Google Scholar] [CrossRef]
- Zhang, K.; Du, J.; Liu, X.; Zhang, H. Molten salt flow and heat transfer in paddle heat exchangers. Int. J. Heat Technol. 2016, 34, 43–50. [Google Scholar] [CrossRef]
- Rajeh, T.; Tu, P.; Lin, H.; Zhang, H. Thermo-fluid characteristics of high temperature molten salt flowing in single-leaf type hollow paddles. Entropy 2018, 20, 581. [Google Scholar] [CrossRef]
- Tufeu, R.; Petitet, J.P.; Denielou, L.; Neindre, B.L. Experimental determination of the thermal conductivity of molten pure salts and salt mixtures. Int. J. Thermophys. 1985, 6, 315–330. [Google Scholar] [CrossRef]
- Pope, S.B. Turbulent Flows, 1st ed.; Cambridge University Press & Beijing World Publishing Corporation: Cambridge, UK, 2010; pp. 373–385. [Google Scholar]
- ANSYS. User’s Manual, version 15.0; Fluent Inc.: Canonsburg, PA, USA, 2014. [Google Scholar]
- Salim, S.M.; Cheah, S.C. Wall y+ strategy for dealing with wall-bounded turbulent flows. In Proceedings of the International MultiConference of Engineers and Computer Scientists (IMECS), Hong Kong, China, 18–20 March 2009; pp. 2165–2170. [Google Scholar]
- Mosa, M.; Labat, M.; Lorente, S. Constructal design of flow channels for radiant cooling panels. Int. J. Therm. Sci. 2019, 145, 106052. [Google Scholar] [CrossRef]
- Ye, J. American High Temperature Ni-Based Alloys, 1st ed.; Science Press: Beijing, China, 1978. (In Chinese) [Google Scholar]
- Al-Kbodi, B.H.; Rajeh, T.; Zhang, H. Irreversibility distribution in heat transfer process of hollow paddle-shaft components. Int. J. Hydromechatronics 2020, 3, 167–189. [Google Scholar] [CrossRef]














| ϕ | Paddle Type | Geometry Description |
|---|---|---|
| 0 | Solid | no fluid space in the paddles |
| 0.04 | Hollow | The fluid space is a tubular duct with 8 mm diameter in each paddle. |
| 0.22 | Hollow | t = 20 mm |
| 0.46 | Hollow | t = 6 mm |
| 0.53 | Hollow | t = 3 mm (standard hollow paddles) |
| Paddle Structure | Boundary Condition | |
|---|---|---|
| Fluid | Inlet | Ti |
| Outlet | P = 0 Pa (gauge) | |
| Material-side material | External material | To, ho |
| End-wall surfaces of shaft | Adiabatic | |
| Property | Density (kg/m3) | Specific Heat At Constant Pressure J/(kgK) | Thermal Conductivity W/(mK) | Dynamic Viscosity kg/(ms) |
|---|---|---|---|---|
| Molten salt | 1944 | 1559.886 | 0.908 | 0.0012 |
| Number of Elements | 12,156,322 | 10,206,999 | 7,448,980 | 5,262,150 |
|---|---|---|---|---|
| (W) | 3570 | 3595 | 3580 | 3624 |
| ΔP (Pa) | 43,404 | 43,397 | 43,339 | 43,505 |
| T (°C) | P (kg/m3) | cp J/(kgK) | λ W/(mK) | E (GPa) | ω | (1/K) × 10−6 | |
|---|---|---|---|---|---|---|---|
| Tension | Shear | ||||||
| 204 | 8440 | 456 | 12.5 | 197.9 | 76.5 | 0.286 | 12.5 |
| 316 | 8440 | 481 | 14.1 | 191.7 | 74.5 | 0.29 | 14.1 |
| 427 | 8440 | 511 | 15.7 | 185.5 | 71.7 | 0.295 | 15.7 |
| 538 | 8440 | 536 | 17.5 | 178.6 | 68.3 | 0.305 | 17.5 |
| 649 | 8440 | 565 | 19 | 170.3 | 64.8 | 0.321 | 19 |
| 760 | 8440 | 590 | 20.8 | 160.6 | 60 | 0.34 | 20.8 |
| 871 | 8440 | 620 | 22.8 | 147.5 | 55.2 | 0.336 | 22.8 |
| Number of Elements | 6,764,457 | 4,726,844 | 3,595,218 | 1,352,140 |
|---|---|---|---|---|
| σmax (MPa) | 68.532 | 68.657 | 68.51 | 68.606 |
| δy (mm) | 0.53565 | 0.53908 | 0.53476 | 0.5337 |
| δz (mm) | 0.53392 | 0.53173 | 0.5363 | 0.53462 |
| Paddle Type | H (mm) | ΔP | σmax | δy | δz | |
|---|---|---|---|---|---|---|
| HP | 31 | 41,717 | 1822 | 39.613 | 0.35936 | 0.5312 |
| 62 | 43,397 | 3595 | 68.657 | 0.5391 | 0.5327 | |
| 124 | 44,503 | 8332 | 120.48 | 0.8855 | 0.5345 | |
| SP | 31 | 6.9 | 858 | 69.98 | 0.3234 | 0.5226 |
| 62 | 6.9 | 1050 | 112.91 | 0.4494 | 0.5208 | |
| 124 | 6.9 | 1080 | 146.33 | 0.7333 | 0.5265 |
| Paddle Type | ΔP | σmax | δy | δz | ||
|---|---|---|---|---|---|---|
| HP | 1 | 43,397 | 3595 | 68.657 | 0.5391 | 0.5327 |
| 2 | 17,1589 | 3809 | 55.432 | 0.5394 | 0.5343 | |
| SP | 1 | 6.9 | 1050 | 112.91 | 0.4494 | 0.5208 |
| 2 | 26 | 1169 | 128.45 | 0.4487 | 0.5254 |
| Paddle Type | ho W/(m2K) | σmax | δy | δz | |
|---|---|---|---|---|---|
| HP | 50 | 831 | 20.315 | 0.54751 | 0.53579 |
| 250 | 3595 | 68.657 | 0.5391 | 0.5327 | |
| SP | 50 | 468.76 | 75.548 | 0.49173 | 0.53367 |
| 250 | 1050 | 112.91 | 0.4494 | 0.5208 |
| Ti (°C) | To (°C) | ΔT (°C) | σmax | δy | δz | |
|---|---|---|---|---|---|---|
| 500 | 400 | 100 | 3595 | 68.657 | 0.5391 | 0.5327 |
| 550 | 350 | 200 | 7154 | 131.71 | 0.5848 | 0.6050 |
Publisher’s Note: MDPI stays neutral with regard to jurisdictional claims in published maps and institutional affiliations. |
© 2020 by the authors. Licensee MDPI, Basel, Switzerland. This article is an open access article distributed under the terms and conditions of the Creative Commons Attribution (CC BY) license (http://creativecommons.org/licenses/by/4.0/).
Share and Cite
Rajeh, T.; Al-Kbodi, B.H.; Zhang, H. Thermal Stress and Deformation of Hollow Paddle-Shaft Components with Internal High Temperature Molten Salt Flow. Processes 2020, 8, 1557. https://doi.org/10.3390/pr8121557
Rajeh T, Al-Kbodi BH, Zhang H. Thermal Stress and Deformation of Hollow Paddle-Shaft Components with Internal High Temperature Molten Salt Flow. Processes. 2020; 8(12):1557. https://doi.org/10.3390/pr8121557
Chicago/Turabian StyleRajeh, Taha, Basher Hassan Al-Kbodi, and Houlei Zhang. 2020. "Thermal Stress and Deformation of Hollow Paddle-Shaft Components with Internal High Temperature Molten Salt Flow" Processes 8, no. 12: 1557. https://doi.org/10.3390/pr8121557
APA StyleRajeh, T., Al-Kbodi, B. H., & Zhang, H. (2020). Thermal Stress and Deformation of Hollow Paddle-Shaft Components with Internal High Temperature Molten Salt Flow. Processes, 8(12), 1557. https://doi.org/10.3390/pr8121557
