Study on the Transient Characteristics of the Centrifugal Pump during the Startup Period with Assisted Valve
Abstract
1. Introduction
2. Experiment
2.1. Test Equipment and Method
2.2. Processing the Experiment Data
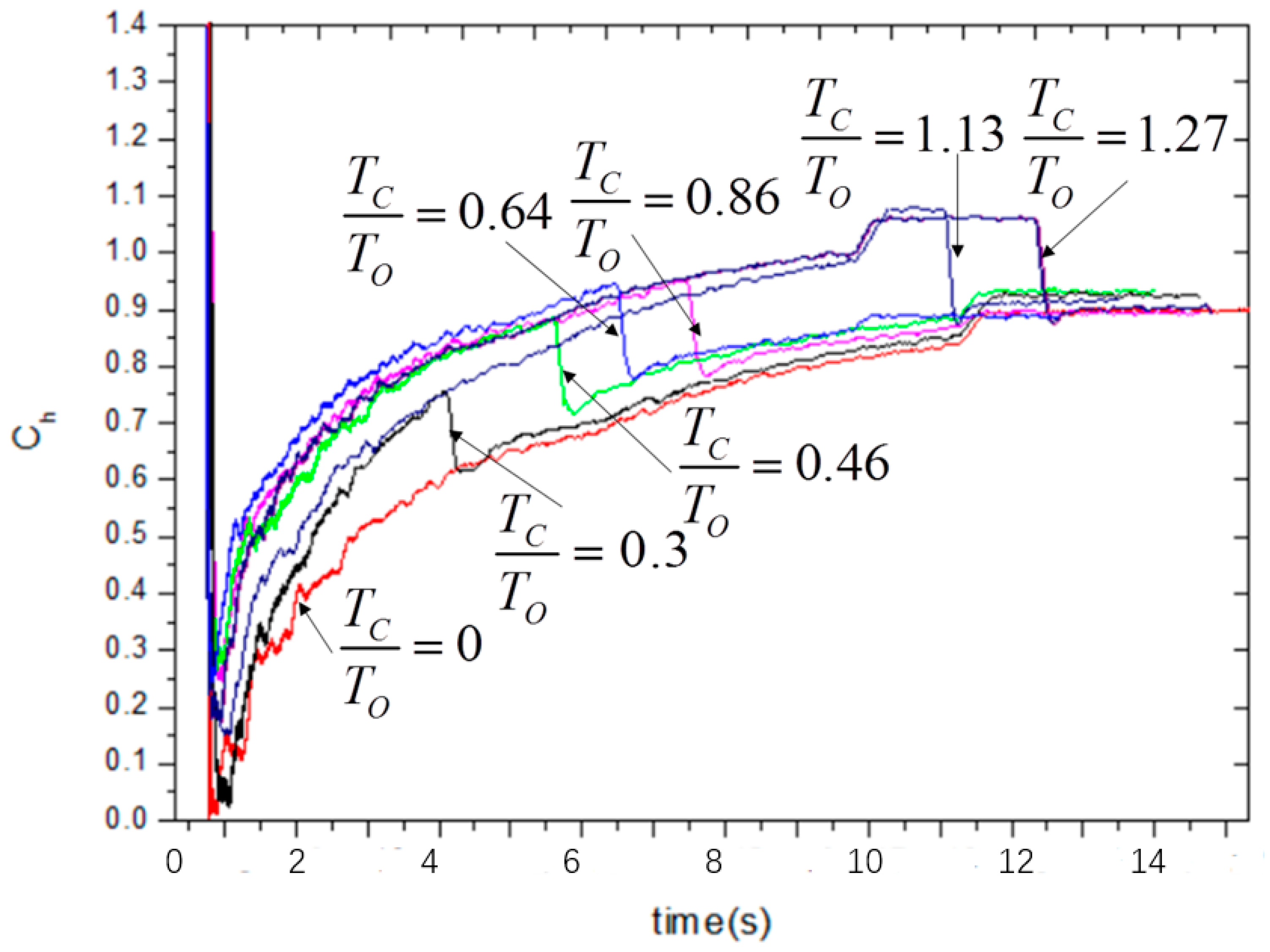
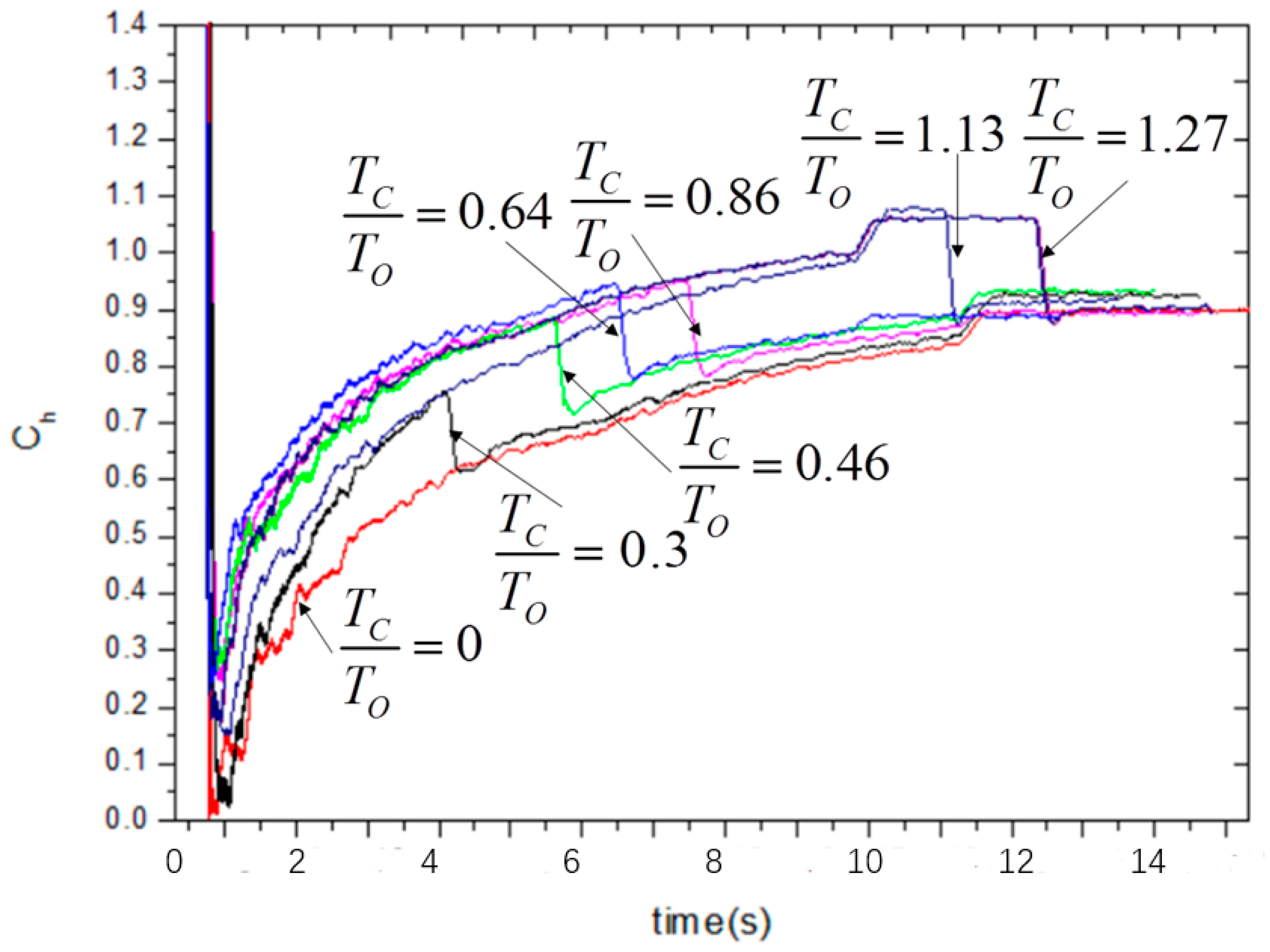
2.3. Results and Discussion for the Experiment
3. Numerical Simulation
3.1. Computational Domain and Grid
3.2. Boundary Conditions of the Transient Simulation
3.3. Comparison of the Simulation and Experiment
3.4. Results and Discussion of the Transient Simulation
4. Conclusions
Author Contributions
Funding
Acknowledgments
Conflicts of Interest
Nomenclature
| H | Total head (m) |
| Q | Volume flow rate (m3/s) |
| Speed | The rotational speed of the pump (r/min) |
| The speed of the ball valve (degree/s) | |
| P | Pressure (Pa) |
| Tc | The closed time of the valve (s) |
| To | The opening time of the pump (s) |
| Tv | The opening time of the valve (s) |
| Ch | The non-dimension head |
| Cq | The non-dimension flow |
| u2 | Outlet peripheral velocity of the impeller (m/s) |
| b2 | The outlet width of impeller (mm) |
| d2 | The diameter of impeller (mm) |
| Re | Reynolds number |
References
- Lefèbvre, P.J.; Barker, W.P. Centrifugal Pump Performance during Transient Operation. J. Fluids Eng. 1995, 117, 123–128. [Google Scholar] [CrossRef]
- Tsukamoto, H.; Ohashi, H. Transient Characteristics of a Centrifugal Pump during Starting Period. J. Fluids Eng. 1982, 104, 6–13. [Google Scholar] [CrossRef]
- Tsukamoto, H.; Matsunaga, S.; Yoneda, H.; Hata, S. Transient Characteristics of a Centrifugal Pump during Stopping Period. J. Fluids Eng. 1986, 108, 392–399. [Google Scholar] [CrossRef]
- Saito, S. The Transient Characteristics of a Pump during Start Up. Bull. JSME 1982, 25, 372–379. [Google Scholar] [CrossRef]
- Wu, D. Study on Transient Characteristics of Special-Type Centrifugal Pump during Rapid Starting Period. Ph.D. Thesis, Zhejiang University, Hang Zhou, China, 2004. [Google Scholar]
- Wu, D.Z.; Wang, L.Q.; Hu, Z.Y. Numerical simulation of centrifugal pump’s transient performance during rapid starting period. J. Zhejiang Univ. Eng. Sci. 2005, 39, 1427–1430, 1454. [Google Scholar]
- Dazin, A.; Caignaert, G.; Bois, G. Transient Behavior of Turbomachineries: Applications to Radial Flow Pump Startups. J. Fluids Eng. 2007, 129, 1436–1444. [Google Scholar] [CrossRef]
- Wang, L.Q.; Wu, D.Z.; Zheng, S.Y.; Hu, Z.Y. Study on transient hydrodynamic performance of Mixed-Flow-Pump during starting period. J. Zhejiang Univ. Eng. Sci. 2004, 38, 751–755. [Google Scholar]
- Wu, D.; Chen, T.; Sun, Y.; Cheng, W.; Wang, L. Study on numerical methods for transient flow induced by speed-changing impeller of fluid machinery. J. Mech. Sci. Technol. 2013, 27, 1649–1654. [Google Scholar] [CrossRef]
- Wu, D.; Chen, T.; Sun, Y.; Li, Z.; Wang, L. A study on numerical methods for transient rotating flow induced by starting blades. Int. J. Comput. Fluid Dyn. 2012, 26, 297–312. [Google Scholar] [CrossRef]
- Li, Z.; Wu, D.; Wang, L.; Huang, B. Numerical Simulation of the Transient Flow in a Centrifugal Pump During Starting Period. J. Fluids Eng. 2010, 132, 081102. [Google Scholar] [CrossRef]
- Li, Z.; Wu, P.; Wu, D.; Wang, L. Experimental and numerical study of transient flow in a centrifugal pump during startup. J. Mech. Sci. Technol. 2011, 25, 749–757. [Google Scholar] [CrossRef]
- Chern, M.-J.; Wang, C.-C.; Ma, C.-H. Performance test and flow visualization of ball valve. Exp. Therm. Fluid Sci. 2007, 31, 505–512. [Google Scholar] [CrossRef]
- Yang, Q.; Zhang, Z.; Liu, M.; Hu, J. Numerical Simulation of Fluid Flow inside the Valve. Procedia Eng. 2011, 23, 543–550. [Google Scholar] [CrossRef]
- Wang, L.; Song, X.G.; Park, Y.C. Dynamic analysis of three-dimensional flow in the opening process of a single-disc butterfly valve. J. Mech. Eng. Sci. 2010, 224, 329–336. [Google Scholar] [CrossRef]
- Cho, T.-D.; Yang, S.-M.; Lee, H.-Y.; Ko, S.-H. A study on the force balance of an unbalanced globe valve. J. Mech. Sci. Technol. 2007, 21, 814–820. [Google Scholar] [CrossRef]
- Srikanth, C.; Bhasker, C. Flow analysis in valve with moving grids through CFD techniques. Adv. Eng. Softw. 2009, 40, 193–201. [Google Scholar] [CrossRef]
- Nguyen, Q.K.; Jung, K.H.; Lee, G.N.; Suh, S.B.; To, P. Experimental Study on Pressure Distribution and Flow Coefficient of Globe Valve. Processes 2020, 8, 875. [Google Scholar] [CrossRef]



















| Geometric Parameters | |
|---|---|
| Suction diameter | 32 mm |
| Discharge diameter | 32 mm |
| Impeller diameter | 138 mm |
| Blade outer width | 4 mm |
| Number of blades | 5 |
| Hydraulic Parameters | |
| Rotation speed | 2900 r/min |
| Flow rate | 11.34 m3/h |
| Total head | 20 m |
| Unstructured Mesh | |||||
|---|---|---|---|---|---|
| Regions | Impeller | Volute | Valve | Tank | Pipes |
| Mesh number | 286,735 | 389,800 | 46,648 | 920,753 | 452,894 |
| Mesh sizes (mm) | 1 | 1.5 | 1 | 120 | 10 |
© 2020 by the authors. Licensee MDPI, Basel, Switzerland. This article is an open access article distributed under the terms and conditions of the Creative Commons Attribution (CC BY) license (http://creativecommons.org/licenses/by/4.0/).
Share and Cite
Li, Q.; Ma, X.; Wu, P.; Yang, S.; Huang, B.; Wu, D. Study on the Transient Characteristics of the Centrifugal Pump during the Startup Period with Assisted Valve. Processes 2020, 8, 1241. https://doi.org/10.3390/pr8101241
Li Q, Ma X, Wu P, Yang S, Huang B, Wu D. Study on the Transient Characteristics of the Centrifugal Pump during the Startup Period with Assisted Valve. Processes. 2020; 8(10):1241. https://doi.org/10.3390/pr8101241
Chicago/Turabian StyleLi, Qiao, Xiang Ma, Peng Wu, Shuai Yang, Bin Huang, and Dazhuan Wu. 2020. "Study on the Transient Characteristics of the Centrifugal Pump during the Startup Period with Assisted Valve" Processes 8, no. 10: 1241. https://doi.org/10.3390/pr8101241
APA StyleLi, Q., Ma, X., Wu, P., Yang, S., Huang, B., & Wu, D. (2020). Study on the Transient Characteristics of the Centrifugal Pump during the Startup Period with Assisted Valve. Processes, 8(10), 1241. https://doi.org/10.3390/pr8101241

