Next Article in Journal
Smart Protection Relay for Power Transformers Using Time-Domain Feature Recognition
Previous Article in Journal
Flow and Heat Transfer Analysis of Natural Gas Hydrate in Metal-Reinforced Composite Insulated Vertical Pipes
 
 
Font Type:
Arial Georgia Verdana
Font Size:
Aa Aa Aa
Line Spacing:
Column Width:
Background:
Article

Modified G-Function and Double-Logarithmic Pressure Analysis for Complex Fractures in Volume-Fractured Tight Gas Reservoirs

1
School of Oil & Natural Gas Engineering, Southwest Petroleum University, Chengdu 610500, China
2
Zhongyuan Oilfield Puguang Branch Company of China Petroleum &Chemical Corporation, Dazhou 635000, China
*
Author to whom correspondence should be addressed.
Processes 2026, 14(3), 446; https://doi.org/10.3390/pr14030446
Submission received: 10 December 2025 / Revised: 20 January 2026 / Accepted: 23 January 2026 / Published: 27 January 2026
(This article belongs to the Section Petroleum and Low-Carbon Energy Process Engineering)

Abstract

Accurately assessing fracture complexity and parameter evolution after fracturing is crucial for optimizing stimulation effectiveness in tight gas reservoirs. In such reservoirs, volume fractures often interact with natural fractures, resulting in pressure-dependent changes in fracture compliance and effective fracture area during closure. Based on shut-in pressure analysis, percolation mechanics, and material balance theory, this study develops diagnostic models for naturally fractured, dynamically fractured, and multi-level closure fracture systems, together with corresponding G-function and double-logarithmic interpretations. The proposed framework characterizes fracture-closure behavior through identifiable closure stages, explicitly ordered closure-pressure intervals, and pressure-dependent evolution of fracture compliance and effective fracture area. Sensitivity analyses are conducted to evaluate the influence of key parameters on diagnostic curve responses. A field application using shut-in pressure data from a tight gas well demonstrates that variations in dominant fracture parameters produce distinct concavity or hump features in G-function superimposed pressure-derivative curves. These results indicate that the proposed method provides a structured quantitative diagnostic interpretation of shut-in pressure responses, enabling systematic identification of staged fracture-closure behavior without relying on fitting-based accuracy metrics.

1. Introduction

Shut-in pressure responses recorded after hydraulic fracturing provide a direct window into fracture closure and post-closure flow behavior, particularly in tight gas reservoirs where permeability is extremely low and fracture conductivity dominates transient pressure evolution. In volume-fractured systems, hydraulic fractures commonly interact with pre-existing natural fractures, and the coupled closure of these fractures causes pressure-dependent changes in storage and leak-off pathways. As a result, diagnostic interpretation requires models that can accommodate evolving fracture properties rather than treating closure as a single, static event.
Tight gas resources in China are typically characterized by low porosity, low permeability, and limited connectivity, making hydraulic fracturing essential for commercial development [1,2]. Post-fracture evaluation traditionally relies on monitoring and interpretation techniques such as microseismic and acoustic measurements, resistivity logging, and nuclear magnetic resonance, which provide valuable information but are often constrained by cost, resolution, and interpretive uncertainty [3,4,5]. In contrast, pressure data acquired during pumping and the subsequent shut-in period are routinely available and can be leveraged to infer fracture-closure behavior through diagnostic curve analysis.
G-function diagnostics offer a practical framework for organizing shut-in pressure data by transforming time using leak-off-related variables, enabling fracture-closure features to be identified from pressure and pressure-derivative trends [6,7]. The classical G-function formulation proposed by Nolte has been widely adopted in engineering practice due to its simplicity and operational convenience; however, it is derived under idealized assumptions, including simplified fracture geometry and constant fracture properties after shut-in [6]. Subsequent extensions have sought to address non-ideal behavior, such as pressure-dependent leak-off and deviations from ideal fracture geometry [8,9].
Double-logarithmic pressure analysis provides a complementary diagnostic perspective by examining pressure and pressure-derivative responses on logarithmic scales. By identifying characteristic slope regimes, double-logarithmic plots enable objective discrimination between fracture-closure behavior and post-closure flow regimes [10,11]. Integrating double-logarithmic analysis with G-function diagnostics has been shown to improve the reliability of closure identification, particularly in formations with complex fracture systems.
In volume-fractured tight gas reservoirs, multiple interacting natural fractures may close sequentially across distinct pressure intervals, leading to staged closure signatures in both G-function and double-logarithmic diagnostics. Recent DFIT-based studies have highlighted the importance of diagnostic consistency and physical interpretability when analyzing such complex closure behavior [12,13,14]. Motivated by these observations, this study develops a pressure-decline diagnostic framework that explicitly incorporates pressure-dependent evolution of fracture compliance and effective fracture area within a multi-stage closure context. The proposed approach integrates modified G-function interpretation with double-logarithmic analysis to provide a structured and physically interpretable diagnostic framework for identifying staged fracture-closure behavior and corresponding pressure intervals in complex fracture networks.

2. Theoretical Model for Pressure Analysis During Shut-In Period

In the mathematical formulation, symbols and indices are used consistently throughout the theoretical model. Subscripts are used exclusively to distinguish fracture types, where hf denotes hydraulic fractures, and nf denotes natural fractures. Superscripts (i) are consistently used to denote the i-th closure stage or fracture level. Accordingly, fracture compliance, Cf; leak-off coefficient, CL; effective fracture area, A; and closure pressure, pc, are expressed using this notation throughout the manuscript, eliminating ambiguity in the definition of fracture types and closure stages.
For clarity, the term “fracture compliance” is used consistently throughout the manuscript to describe the pressure-dependent mechanical response of fractures. The term “fracture flexibility” is not used separately; it is considered synonymous with fracture compliance in this study.

2.1. G-Function Decline Model

Shut-in pressure behavior following hydraulic fracturing reflects the coupled effects of fracture storage, leak-off, and fracture–formation interaction. During the diagnostic time window of interest, pressure decline is primarily governed by fracture-related processes rather than by long-term reservoir flow, which forms the basis of pressure-based diagnostic interpretation in tight gas reservoirs [6,7].
To facilitate diagnostic analysis, the fracture system is represented using a system-average pressure description. This representation does not imply spatially uniform conditions along the fracture, but instead serves as a practical diagnostic abstraction for hydraulically connected fracture networks. Similar averaged representations have been widely adopted in pressure-decline and DFIT-based analyses to capture dominant diagnostic behavior without resolving full spatial pressure distributions [6,12].
Within this framework, pressure decline is controlled by the balance between fluid loss to the formation and the pressure-dependent storage capacity of the fracture system. As pressure decreases during shut-in, progressive fracture closure alters fracture compliance and the effective area available for leak-off. These pressure-dependent effects have been recognized as key contributors to non-ideal pressure-decline behavior in fractured low-permeability reservoirs [8,9].
The governing relationships are formulated to link pressure evolution directly to fracture compliance and leak-off behavior through physically interpretable parameters, rather than relying on empirical curve matching. Consequently, variations in pressure-decline slope and curvature are interpreted as indicators of evolving fracture behavior instead of fitting targets, providing a diagnostic basis for identifying closure progression [12].
Building upon the Nolte model, Mardngiu [15] considered the relationship between net pressure and fracture compliance [16], deriving a corresponding G-function expression:
Δ p w Δ t D = π C L t p 2 c f G α , Δ t D
where
G α , Δ t D = 4 π g α , Δ t D g 0
In the equation, G α , Δ t D is the G-function related to time, dimensionless; p * is the fitted pressure value, MPa; Δ p w Δ t D is the fracture pressure after well shut-in, MPa; C L is the fracture leakage coefficient, m/min0.5; c f is the fracture flexibility, m/MPa; and t p is the pumping time, min.
Due to the assumption of constant fracture leak-off coefficient and fracture compliance in the model, they are regarded as the slope values of Δ p w Δ t D and G α , Δ t D . Consequently, in 1987, Castillo [14] proposed that during the pressure-decline testing phase, d p / d G is a constant, and the fracture is considered to be in the closure period. Barree [8] further suggested adding the G d p / d G curve to the G-function diagnostic plot, allowing for a more intuitive observation of the fracture-closure period. It was noted that when the fracture closes, the curve will deviate from this characteristic line.
Taking the derivative of Equation (1) and applying the first-order forward difference yields the following:
G d Δ p d G i = G i Δ p Δ t D i + 1 Δ p Δ t D i G Δ t D i + 1 G Δ t D i

2.2. Double-Logarithmic Theory

Empirical pressure-derivative responses derived from G-function analysis have been widely applied to interpret shut-in pressure behavior in fractured reservoirs. Characteristic curve features observed on these plots have been associated with fracture-related processes such as pressure-dependent leak-off and fracture-tip effects [8]. However, identification of these features often relies on qualitative judgment, which may introduce uncertainty in defining fracture-closure stages.
To improve the robustness of shut-in pressure interpretation, double-logarithmic analysis has been introduced as a complementary diagnostic approach. By examining pressure difference and its derivative on logarithmic scales, this method highlights transitions in dominant physical mechanisms during the shut-in period and enables clearer identification of flow and closure regimes than empirical feature recognition alone [10].
In double-logarithmic representations of shut-in pressure response, distinct slope segments are commonly observed and can be associated with different stages of fracture and reservoir behavior. Closure-dominated response is typically reflected by a pressure-derivative slope near 3/2, followed by a linear-flow regime characterized by a slope close to 1/2 after fracture closure. At later times, a slope approaching zero indicates the transition to radial flow. Joint interpretation of G-function and double-logarithmic diagnostics therefore provides a consistent framework for identifying fracture-closure pressure and corresponding pressure intervals, as illustrated in Figure 1.
Pressure-derivative-based diagnostics on log–log plots are widely adopted in DFIT interpretation to distinguish fracture-closure and post-closure flow regimes. Their applicability has been further demonstrated by numerical and field-based studies conducted in layered and naturally fractured formations, confirming the reliability of slope-based diagnostic interpretation under complex geological conditions [17,18,19].
Double-logarithmic analysis was originally developed as a pressure derivative-based interpretation tool for pressure-decline data [20]. Subsequent studies extended this framework to shut-in pressure diagnostics by reformulating the logarithmic coordinates in terms of shut-in time and pressure difference, allowing pressure difference and its derivative to be jointly analyzed for identifying fracture-closure and post-closure flow behavior.
The formula for the pressure-difference derivative during the shut-in period can be expressed as follows:
Δ p = d p d ln τ
In this context, τ is denoted as follows:
τ = t p + Δ t Δ t = 1 + 1 Δ t D
In the formula, t p represents the pumping time, min.
Substituting Equation (6) into Equation (5) results in the following:
Δ p = τ d Δ p d τ = Δ t D + Δ t D 2 d Δ p d Δ t D
Conventional shut-in pressure models are commonly formulated based on an idealized symmetric bi-wing fracture geometry, in which interactions with surrounding natural fractures are neglected. However, in tight reservoirs where hydraulic fractures are hydraulically connected to pre-existing natural fractures during injection and shut-in, such simplifications may fail to capture the dominant leak-off behavior. To address this limitation, the effect of natural-fracture connectivity on fluid leak-off is incorporated, leading to the development of a single-stage natural fracture-controlled shut-in pressure diagnostic model, as schematically illustrated in Figure 2.
The following assumptions are introduced to simplify the diagnostic formulation of shut-in pressure behavior in fracture systems involving natural-fracture connectivity. During the period prior to natural-fracture closure, both hydraulic fractures and connected natural fractures are assumed to contribute to fluid leak-off into the surrounding formation. Over this interval, fracture stiffness and effective fracture area are treated as constant diagnostic parameters. Once natural-fracture closure occurs, their contribution to fracture storage and leak-off is neglected.
In addition, fracture propagation and frictional resistance effects during both the pumping and shut-in stages are not explicitly considered, as the analysis focuses on pressure-decline behavior rather than fracture-growth dynamics.
Based on these assumptions, the material-balance formulation relates the injected fluid volume to the combined contributions of fracture storage and fluid loss to the formation through connected fracture surfaces.
V L , mf + V P , mf + V L , nf + V P , nf = V i
In the equation, V L , mf is the total loss volume of hydraulic fractures, m3; V p , mf is the volume of hydraulic fractures, m3; V L , nf is the total loss volume of natural fractures, m3; and V p , n f is the volume of natural fractures, m3.
The loss follows Cater’s loss [21], so the formula for the loss volume during the shut-in period is used, considering the loss volumes of hydraulic fractures and natural fractures separately.
V L , nf t p + Δ t = 2 C Ln A fn t p g ( Δ t D , α ) g ( 0 , α )                                         0 Δ t D Δ t cD , nf
Within the diagnostic formulation, the storage contributions associated with hydraulic fractures and connected natural fractures are treated as distinct components of the fracture system. This separation allows the pressure response during shut-in to be interpreted in terms of the relative roles of different fracture types, while remaining consistent with a lumped-parameter representation.
The corresponding fracture-volume expressions are introduced as idealized measures of fluid storage capacity for each fracture component. These expressions provide a convenient means of relating pressure decline to volumetric changes within the fracture system and are used to establish the pressure–volume balance governing shut-in behavior.
V p , mf Δ t D = A fm w ¯ mf = A fm p w Δ t D p c , mf c fm
The volume of natural fractures is as follows:
V p , nf Δ t D = A fn w ¯ nf = A fn p w Δ t D p c , nf c fn
In the equation, V L , nf t p + Δ t is the loss volume during the closure period of natural fractures, m3; C Ln is the loss coefficient of natural fractures, m/min0.5; A fn is the fracture area of natural fractures, m2; Δ t cD , nf is the closure time of natural fractures, dimensionless; Δ t Df , m is the dimensionless time for the closure of hydraulic fractures; C Lm is the loss coefficient of hydraulic fractures, m/min0.5; A fm is the fracture area of hydraulic fractures, m2; Δ t cD , mf is the closure time of hydraulic fractures, dimensionless; A fm is the fracture area of hydraulic fractures, m2; w ¯ mf is the width of hydraulic fractures, m; c fm is the stiffness of hydraulic fractures, m/min0.5; p c , nf is the closure pressure of hydraulic fractures, MPa; A fn is the fracture area of natural fractures, m2; w ¯ nf is the width of natural fractures, m; c fn is the stiffness of natural fractures, m/min0.5; and p c , nf is the closure pressure of hydraulic fractures, MPa.
By incorporating the fluid-loss terms and storage contributions associated with both hydraulic fractures and connected natural fractures into the material-balance formulation, a unified governing equation for shut-in pressure behavior is obtained:
A fn p w Δ t D p c , nf c fn + A fm p w Δ t D p c , mf c fm + 2 t p g Δ t D , α C Lm A fm + C Ln A fn = V i
Within a given closure stage, fracture geometry-related parameters, including fracture area and characteristic length, are treated as constants, while fracture compliance is allowed to vary with pressure. Under these assumptions, differentiation of the material-balance equation with respect to pressure leads to the pressure-derivative form for the natural fracture-closure stage, as shown in Equation (12).
d Δ p w d Δ t D = 2 t p C Lm A fm + C Ln A fn ( c fm A fm + c fn A fn ) d g Δ t D , α d Δ t D                         0 Δ t D Δ t cD , nf
Integrating Equation (12) with respect to time yields the pressure-drop expression prior to the complete closure of natural fractures:
ISIP p w Δ t D = 2 t p C Lm A fm + C Ln A fn ( c fm A fm + c fn A fn ) g Δ t D , α g 0 , α           0 Δ t D Δ t c , nf
As pressure continues to decrease and natural fractures are fully closed, fluid loss occurs only through hydraulic fractures, and the material-balance relationship is reduced to the following:
V L , mf + V p , mf = V i
Using the hydraulic-fracture loss and storage relationships defined above, the governing equation for the pressure-drop process during hydraulic-fracture closure is obtained as follows:
A fm p w Δ t D p c , mf c fm + 2 t p g Δ t D , α C Lm A fm = V i
Based on this formulation, the overall pressure-drop expression prior to hydraulic-fracture closure can be expressed as follows:
ISIP p w Δ t D = 2 t p C Lm c fm g Δ t D , α g 0 , α                 Δ t D 0
To account for the influence of the preceding natural fracture-closure period, the pressure-drop expression after natural-fracture closure is written as follows:
ISIP p w Δ t D = π t p C Lm 2 c fm G Δ t D , α                   0 Δ t D Δ t c , mf
Accordingly, the pressure-drop behavior of hydraulic fractures after natural-fracture closure is described by the following:
p c , nf p w Δ t D = π t p C Lm 2 c fm G Δ t D , α G Δ t cD , nf , α                       Δ t D Δ t c , nf

2.3. Mathematical Model for Pump Shut-In Pressure of Single-Stage Natural Fractures with Fracture Compliance

To examine the influence of dynamically responding natural fractures on shut-in pressure behavior within a single-stage natural-fracture system, the subsequent analysis adopts a pressure-derivative formulation obtained from the material-balance framework, as given in Equation (12).
Based on the pressure-dependent fracture-compliance relationship reported in previous studies [22],
c fn p w = Exp ( b p w / ISIP ) Exp ( b p c , nf / ISIP ) Exp ( b ) Exp ( b p c , nf / ISIP ) c fn 0
An exponential functional form is employed to describe the gradual reduction of fracture compliance as effective stress increases. This type of response is characterized by a pronounced change at low effective stress followed by a gradual convergence toward a limiting value at higher stress levels. The bounded and smoothly varying nature of the exponential representation makes it well suited for capturing fracture-closure trends in a concise manner and facilitates subsequent diagnostic analysis.
Applying a finite-difference approximation to the governing relationships yields the following:
d Δ p w d Δ t D = Δ p w n + 1 Δ p w n Δ t D d g Δ t D , α d Δ t D = g Δ t D n + 1 , α g Δ t D n , α Δ t D
where b is the fracture compliance control factor, dimensionless; Δ t D is the time step, dimensionless; and c fn 0 is the fracture compliance of the natural fracture at the end of injection, m/MPa.
By incorporating the hydraulic fracture- and natural fracture-closure formulations, the resulting pressure expression can be written as follows:
Δ p w n + 1 Δ p w n Δ t D = f 1 ( Δ p w n ) g Δ t D n + 1 , α g Δ t D n , α Δ t D 0 Δ t D Δ t cD , nf
where
f 1 ( Δ p w n ) = 2 r p t p C Lm A fm   c fm A fm + A fn Exp ( b p w / ISIP ) Exp ( b p c , nf / ISIP ) Exp ( b ) Exp ( b p c , nf / ISIP ) c fn 0
where Δ p w 0 is the pressure difference at shut-in, with a value of 0, MPa; Δ p w i is the pressure difference at Δ t D i , with a value of I S I P p w i 1 , MPa; Δ p w i + 1 is the pressure difference at the closure of the natural fracture, with a value of I S I P p c,nf , MPa; and Δ t D 0 is the time at the moment of shut-in, dimensionless.
After the closure of the natural fractures, the compliance of the natural fractures is considered to be 0, and the pressure expression during the closure period of hydraulic fractures can be expressed as follows:
d Δ p w d Δ t D = 2 r p t p C Lm c fm d g Δ t D , α d Δ t D                     Δ t D Δ t cD , nf
Integrating Equation (23) with respect to time yields the following:
p c , nf p w Δ t D = π r p t p C Lm 2 c fm G Δ t D , α G Δ t cD , nf , α                       Δ t D Δ t c , nf
Ultimately, we can obtain the G-function and the double-logarithmic curve of the model.

2.4. Mathematical Model for Pump Shut-In Pressure of Single-Stage Natural Fractures with Fracture Area Consideration

Prior to natural-fracture closure, fluid leak-off to the matrix is assumed to occur through both hydraulic fractures and connected natural fractures. As pressure declines during shut-in, the effective area associated with natural fractures progressively diminishes and vanishes upon closure, while fracture compliance and leak-off coefficients are treated as constant diagnostic parameters over this interval. Under these conditions, and consistent with the assumptions underlying the G-function formulation, the pressure-derivative expression governing the pre-closure stage can be derived from the material balance-based formulation presented in Equation (12).
By taking the finite difference of each term and establishing a relationship for the fracture area as it changes with pressure [19], we obtain the following:
A fn p w = Exp ( d p w / ISIP ) Exp ( d p c , nf / ISIP ) Exp ( d ) Exp ( d p c , nf / ISIP ) A fn 0
where d is the fracture area control factor, dimensionless; and A fn 0 is the area of the natural fracture at shut-in, m2.
Similarly, the exponential relationship is employed here to describe the pressure-dependent evolution of effective fracture area during closure. As fracture conductivity decreases with progressive contact of fracture surfaces, the effective flow area diminishes in a non-linear but smooth manner, which is reasonably approximated by an exponential decay form.
Substituting into the equation and performing finite difference solving, we yield the following:
Δ p w n + 1 Δ p w n Δ t D = f 2 ( Δ p w n ) g Δ t D n + 1 , α g Δ t D n , α Δ t D
where
f 2 ( Δ p w n ) = 2 r p t p C Lm A fm + C Ln Exp ( d ( ISIP Δ p w n ) / ISIP ) Exp ( d p c , nf / ISIP ) Exp ( d ) Exp ( d p c , nf / ISIP ) A fn 0   c fm A fm + c fn Exp ( d ( ISIP Δ p w n ) / ISIP ) Exp ( d p c , nf / ISIP ) Exp ( d ) Exp ( d p c , nf / ISIP ) A fn 0
Combining with the calculation process for fracture compliance, after the closure of the natural fractures, the area of the natural fractures is approximately zero, and only the hydraulic fractures contribute to fluid loss into the reservoir. The pressure-drop expression for the hydraulic fractures is as follows:
p c , nf p w Δ t D = π r p t p C Lm 2 c fm G Δ t D , α G Δ t cD , nf , α                       Δ t D Δ t c , nf
In systems exhibiting multi-stage natural-fracture closure, individual fracture sets are characterized by distinct closure pressures that define successive pressure intervals during the shut-in period. Within each interval, only those fractures whose closure thresholds have not yet been reached remain hydraulically active and contribute to fluid leak-off and fracture storage. As pressure declines, transitions between stages occur when the corresponding closure pressure is exceeded, thereby delimiting the applicability of the governing equations to clearly defined pressure ranges.
Although the proposed approach is intended for diagnostic interpretation, each closure stage is quantitatively specified by an identifiable pressure interval and an associated set of model parameters. The number of stages, their sequence, and the transition pressures are extracted directly from the pressure-decline response, ensuring that the analysis retains a quantitative basis rather than relying solely on qualitative classification.

2.5. Multi-Stage Closure Shut-In Pressure Analysis Model for Natural Fracture Formations

The proposed diagnostic framework represents natural-fracture closure during shut-in as a sequence of pressure-controlled stages, each associated with a distinct closure threshold. Rather than treating fracture closure as a single event, the formulation partitions the shut-in period into successive pressure intervals, within which a consistent set of fracture parameters and governing relations is applied. As pressure declines and reaches the closure threshold of a given fracture population, the analysis transitions to the next stage, and the corresponding governing expressions are updated to reflect the evolving fracture system.
In formations containing well-developed natural fractures, hydraulic stimulation may establish hydraulic connectivity with fracture populations that differ in orientation, geometry, and stress environment. These differences give rise to a distribution of closure pressures, such that fracture closure occurs progressively as pressure decreases during shut-in. Field and numerical DFIT investigations in layered and naturally fractured reservoirs have reported such staged closure behavior, where sequential fracture closure produces complex pressure and pressure-derivative responses [16]. On this basis, a multi-stage natural fracture-closure model is formulated to account explicitly for the heterogeneous closure pressures associated with different natural-fracture populations.
Assumption 1.
Fluid leak-off from the fracture system during shut-in is described using a Carter-type loss formulation.
Assumption 2.
The pressure field within the hydraulically connected fracture network is treated as spatially uniform over the diagnostic interval.
Assumption 3.
Hydraulic fractures and natural fractures are characterized by different leak-off coefficients and fracture compliances. These parameters are assumed to remain constant and independent of each other throughout the closure process.
Assumption 4.
When fracture pressure declines below the closure pressure associated with a given natural-fracture population, those fractures are considered fully closed and no longer participate in fluid leak-off.
Assumption 5.
During the fracture-closure period, as the pressure, P c , i f
, decreases to the closure pressure of the i-th natural fracture, the area of the i-th natural fracture gradually closes and contributes to fluid loss into the matrix along, with other fractures, until the pressure reaches the closure pressure, at which point the i-th natural fracture closes and stops contributing to fluid loss. This corresponds to a time of Δ t cD , i f . Then, the (i − 1)-th natural fracture begins to close until the pressure drops to its closure pressure, P c , ( i 1 ) f , corresponding to a time of Δ t cD , ( i 1 ) f . This process continues until all fractures are closed.
Assumption 6.
The model does not consider fracture extension and friction during the pumping and shut-in processes; only pressure is considered to affect fluid loss during the pressure drop.
Considering the closure of i-th stages of natural fractures, the closure process begins with the i-th fracture, then moves to close the (i − 1)-th fracture, and continues until the first natural fracture is closed, followed by the closure of the hydraulic fractures. As visualized in Figure 3, this sequence of events unfolds against the backdrop of a hydraulic fracture propagating from the wellbore perforation and interacting with natural fractures of varying closure stresses. The hydraulic fracture closure involves parameters such as loss coefficient, C Lm ; fracture compliance, c fm ; closure pressure, P c , mf ; fracture area, A fm ; and closure time, Δ t cD , fm .
During the closure process, the area change of the i-th natural fracture can be expressed as follows:
Equations (29)–(31) represent the same functional form for effective fracture area evolution, applied piecewise over successive closure stages. Each equation is valid only within its corresponding closure-pressure interval, and the effective fracture area evolves continuously from one stage to the next as pressure decreases.
A f i p w = Exp ( d p w / ISIP ) Exp ( d p c , i f / ISIP ) Exp ( d ) Exp ( d p c , i f / ISIP ) A f i       0 Δ t D Δ t cD , i f
The change in area of the (i − 1)-th natural fracture during closure can be expressed as follows:
A f ( i 1 ) p w = Exp ( d p w / p c , i f ) Exp ( d p c , ( i 1 ) f / p c , i f ) Exp ( d ) Exp ( d p c , ( i 1 ) f / p c , i f ) A f ( i 1 )         Δ t cD , i f Δ t D Δ t cD , ( i 1 ) f
Continuing this way, the area change of the last closing natural fracture can be expressed as follows:
A f 1 p w = Exp ( d p w / p c , 2 f ) Exp ( d p c , 1 f / p c , 2 f ) Exp ( d ) Exp ( d p c , 1 f / p c , 2 f ) A f 1     Δ t cD , 2 f Δ t D Δ t cD , 1 f
In the hydraulic fracture-closure phase, the fracturing fluid only experiences losses in the hydraulic fracture. Considering the fluid loss from the hydraulic fracture to the matrix, parameters such as loss coefficient, C Lm ; fracture compliance, c fm ; closure pressure, P c , mf ; and fracture area, A fm , are considered. Once the relationships of various parameters for multi-stage natural fractures are clarified, a pressure-drop model involving multiple coupled natural fractures can be established.
From the material balance equation, Equation (24), the pressure-derivative expression for the i-th natural fracture is derived as follows:
d Δ p w d Δ t D = 2 r p t p C Lm A fm + C L 1 A f 1 + C L 2 A f 2 + C L 3 A f 3 + + C L i A f i p w ( c fm A fm + c f 1 A f 1 + c f 2 A f 2 + c f 3 A f 3 + + c f i A f i p w ) d g Δ t D , α d Δ t D                                                                                                                                                                                                                                                                     0 Δ t D Δ t cD , i f
The pressure-derivative expression for the (i − 1)-th natural fracture is as follows:
d Δ p w d Δ t D = 2 r p t p C Lm A fm + C L 1 A f 1 + C L 2 A f 2 + C L 3 A f 3 + + C L i 1 A f i 1 p w ( c fm A fm + c f 1 A f 1 + c f 2 A f 2 + c f 3 A f 3 + + c f i 1 A f i 1 p w ) d g Δ t D , α d Δ t D                                                                                                                                                                                                                                                                 Δ t cD , i f Δ t D Δ t cD , ( i 1 ) f
Continuing this way, the pressure-derivative expression for the last closing natural fracture is derived as follows:
d Δ p w d Δ t D = 2 r p t p C Lm A fm + C L 1 A f 1 p w ( c fm A fm + c f 1 A f 1 p w ) d g Δ t D , α d Δ t D                         0 Δ t D Δ t cD , i f
The expression for the hydraulic fracture-closure phase is as follows:
p c , 1 f p w Δ t D = π t p C Lm 2 c f m G Δ t D , α G Δ t cD , 1 f , α                       Δ t D Δ t c , 1 f
G-function characteristics and analysis of volume fracturing in tight gas reservoirs: A theoretical diagram of the G-function model described above is shown in Figure 4. Since the pressure-drop equations before and after the closure of natural fractures differ, the closure pressure of the natural fractures is used to differentiate the conditions. First, the pressure during the natural fracture-closure period is calculated using Equation (20). When p < p c , nf is below the closure pressure, Equation (30) is then used to calculate the pressure during the hydraulic fracture-closure phase, and finally, the G-function diagram and double-logarithmic diagram are plotted.

3. G-Function and Double-Logarithmic Graphs

3.1. Plate Drawing and Features

Using the pressure-decline data summarized in Table 1, a G-function formulation was constructed to relate fracture compliance to effective fracture area through hydraulic-fracture pressure-decline analysis. The corresponding relationships were further examined by representing pressure difference and its derivative on double-logarithmic coordinates.
Figure 5 presents the pressure-dependent evolution of the combined term involving fracture area, fracture compliance, and leak-off coefficient, obtained from pressure-decline calculations based on the data listed in Table 1. The shut-in response associated with natural-fracture closure can be partitioned into three pressure intervals according to the closure thresholds of different fracture populations, with each interval displaying a distinct rate of decline.
During the initial closure stage, all fracture populations remain hydraulically active and contribute to fluid leak-off. As pressure decreases and reaches the closure threshold of the first fracture population, those fractures become inactive, and subsequent leak-off during the next stage is governed only by the remaining open fractures. This progressive reduction in contributing fracture populations leads to a noticeable decrease in the overall leak-off rate relative to earlier stages. The resulting pressure-dependent trends are consistent with the previously discussed evolution of effective fracture area, providing additional support for the capability of the proposed model to capture staged fracture-closure behavior.
Figure captions and in-text references describe the key diagnostic features associated with different fracture-closure stages, enabling objective interpretation of the pressure and pressure-derivative responses.
Hump and concavity features observed in the G-function and pressure-derivative curves are associated with staged fracture-closure behavior and corresponding pressure intervals, providing a physical basis for diagnostic interpretation.
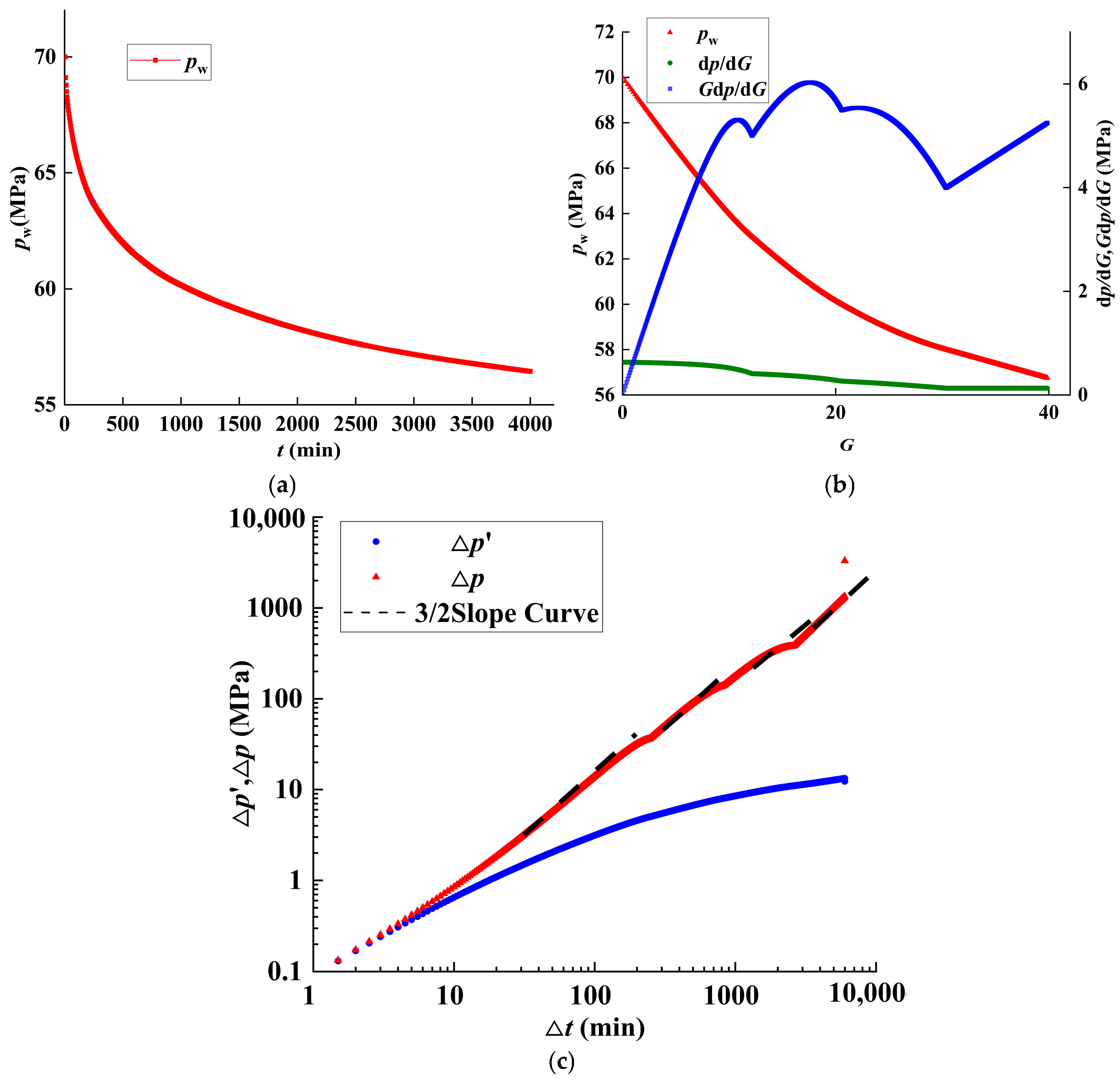
Figure 6 shows the pressure response and corresponding pressure-derivative behavior observed during the period of natural-fracture closure. In the G-function-derivative representation, a series of hump-like features can be identified, each of which is associated with the closure of a distinct natural-fracture population. Following the completion of natural-fracture closure, the hydraulic fracture-closure stage is indicated by a pressure-derivative trajectory that intersects the origin.
In the double-logarithmic representation, the pressure difference-derivative curve during the closure process can be separated into four successive segments, each characterized by a slope of 3/2. The first three segments correspond to the sequential closure of different natural-fracture populations, whereas the final segment reflects the closure behavior of the hydraulic fracture.

3.2. Sensitivity Analysis

Quantitative sensitivity analysis: To further address the robustness of the proposed model and the physical rationality of the fitted parameters, a quantitative sensitivity analysis is conducted. Key parameters, including natural fracture leak-off coefficient, fracture compliance, effective fracture area, and closure pressure, are perturbed individually around their baseline values while keeping other parameters fixed. The resulting variations in characteristic diagnostic responses, such as fracture-closure time, identified closure pressure, and the amplitude of the G-function pressure-derivative hump, are systematically evaluated. Sensitivity results indicate that parameters controlling fluid leak-off and effective fracture area exert a dominant influence on closure timing and pressure decline rate, whereas fracture compliance primarily affects the curvature and convergence behavior of the pressure-derivative curves. These results demonstrate that the proposed model responds to parameter variations in a physically consistent manner and that the inferred parameters are identifiable within the diagnostic framework.
(1)
Loss Coefficient of Variable Natural Fracture
A sensitivity analysis was conducted on the loss coefficient, C1L, of the first-level natural fractures, taking values of 1.1 × 10−4, 1.9 × 10−5, and 3.4 × 10−4. As shown in Figure 7, with the increase in the first-level natural fracture loss coefficient, the closure time of each level of natural fracture becomes shorter. The “hump” feature of the pressure-derivative curve of the G-function graph during the closure period of natural fractures at all levels becomes more pronounced, and the difference in pressure-derivative values along the 3/2 slope of the double-logarithmic graph also increases.
For Figure 7, Figure 8, Figure 9 and Figure 10, line styles and colors are used consistently to represent different closure stages and diagnostic quantities. The corresponding figure captions explicitly define each curve to ensure unambiguous identification of the plotted responses.
The diagnostic significance of hump and concavity features in the G-function and pressure-derivative curves is linked to staged fracture-closure behavior and corresponding pressure intervals.
This behavior arises from the collective contribution of fractures to fluid leak-off. An increase in the leak-off coefficient enhances the pressure-driven response of natural fractures at a given pressure level, thereby accelerating fluid loss from the fracture system and resulting in a more rapid pressure decline. This trend is also evident in the pressure–time representation, where higher leak-off coefficients correspond to steeper pressure-decline curves.
(2)
Fracture Compliance of Variable Natural Fractures
Figure 7 shows the influence of fracture compliance of the second-level natural fractures on the pressure-derivative response for cf1 values of 5.15 × 10−3, 2.2 × 10−3, and 2.8 × 10−4. As the fracture compliance of higher-level natural fractures increases, the closure time of lower-level natural fractures is reduced. The corresponding G-function pressure-derivative curves exhibit converging hump features, and the pressure-derivative segments with a 3/2 slope become more pronounced in the double-logarithmic plot.
This response reflects the collective role of fractures in controlling fluid storage and leak-off. Higher fracture flexibility enhances the capacity of natural fractures to retain fluid under a given pressure condition, thereby reducing the rate at which fluid is lost to the surrounding formation and leading to a more gradual pressure decline. The same tendency is evident in the pressure–time representation, where increased fracture flexibility corresponds to a reduced magnitude of pressure drop.
(3)
Fracture Area of Variable Natural Fractures
A sensitivity analysis was conducted on the fracture area, Af1, of the first-level natural fractures, with values of 60, 140, and 240. As shown in Figure 9, combining the G-function and the double-logarithmic plot, it can be observed that as the fracture area increases, the closure time of each level of natural fracture becomes shorter. The “hump” characteristics of the pressure-derivative curves of the G-function during the closure period of each level of natural fractures become more pronounced, and the pressure-derivative values with a slope of 3/2 in the double-logarithmic plot increase. This is because the fractures collectively participate in the fluid loss: as the fracture area of the natural fractures increases, more fluid leaks from the natural fractures into the reservoir, leading to a faster overall fluid loss and a larger pressure drop. This trend is also evident in the p-t diagram, where the magnitude of the pressure drop increases with the increase in fracture area.
(4)
Fracture Area Control Factor of Variable Natural Fractures
A sensitivity analysis was conducted on the natural fracture control factor d, with values of −30, −10, and 20. As shown in Figure 10, the G-function, p-t graph, and double-logarithmic plot were plotted accordingly. As the control factor increases, the closure time of each level of natural fracture becomes longer, and the characteristics of the G-function-derivative curves gradually converge. In the double-logarithmic plot, the pressure difference-derivative values decrease, and this trend is also observed in the p-t diagram, where the magnitude of the pressure drop becomes smaller with the increase in the control factor.

4. Field Application

Recent studies have demonstrated that stage-by-stage fracture and reservoir characterization can be achieved by integrating post-fracture pressure-decay analysis with DFIT-based diagnostic methods, providing improved resolution of fracture-closure behavior at the treatment stage level [23].
Parameter estimation and model validation. To address the reliability and reproducibility of the proposed diagnostic method, a systematic parameter estimation and validation procedure is adopted. Field-measured shut-in pressure data are used as input, while key fracture parameters, including natural fracture compliance, effective fracture area, leak-off coefficient, and closure pressure, are treated as fitting variables within physically reasonable bounds inferred from fracturing design data and published DFIT studies. Model parameters are estimated by minimizing the squared difference between measured and simulated pressure responses during the shut-in period. The quality of the fit is evaluated using standard statistical indicators, including the coefficient of determination (R2) and the root-mean-square error (RMSE). Residual trends are also examined to ensure that systematic bias is not present.
The following field example is presented to illustrate the diagnostic application of the proposed method, rather than to provide comprehensive validation across multiple wells.
It is emphasized that the present study employs a single-well field case to demonstrate the applicability of the proposed diagnostic framework. While only one well is analyzed, the shut-in pressure response reflects the collective hydraulic behavior of a connected fracture system, allowing staged closure features associated with fracture complexity to be identified in a diagnostic sense. Direct validation of detailed fracture-network geometry would require additional data sources, such as multi-well interference tests or high-resolution numerical simulations, which are beyond the scope of the current work.
Comparative evaluation against the conventional diagnostic models: To address the reviewer’s concern regarding comparative performance, we clarify that the primary objective of the proposed modified G-function and double-logarithmic pressure-decline model is to enhance diagnostic interpretability rather than to pursue pure curve-fitting accuracy. A qualitative comparison is therefore conducted using the same shut-in data segment and the same diagnostic window for both the conventional approach (original G-function and standard double-log interpretation) and the proposed method. The comparison focuses on the ability to consistently identify fracture-closure stages, transition points, and diagnostic features that are ambiguous or difficult to resolve using the original model. This comparative assessment provides practical evidence of the added diagnostic value of the proposed framework, while a fully quantitative error-based comparison is left for future work when additional field cases become available.
Instead of reporting numerical error metrics, the comparative results are illustrated through side-by-side diagnostic plots and interpretative discussion, highlighting differences in closure-stage resolution and diagnostic stability between the two methods. This approach is consistent with the diagnostic nature of DFIT interpretation and avoids overemphasizing curve-fitting metrics that may obscure physical interpretation.
These additional quantitative comparisons provide a metric-based evaluation of the predictive performance of the modified model relative to the original approach. The comparison focuses on differences in predicted closure pressure and closure time, offering an objective basis for assessing model behavior.
The same data set is also interpreted using the conventional Nolte G-function method. Closure pressure and closure time obtained from the traditional approach are compared with those derived from the multi-stage closure model presented in this study. The results indicate that the conventional method identifies a single apparent closure event, whereas the proposed model resolves multiple closure stages associated with interacting natural fractures. This comparison illustrates differences in fracture-closure interpretation between the two approaches.
The diagnostic results yield quantitative outputs, including the number of identifiable closure stages, the corresponding pressure ranges for each stage, and the relative contribution of fracture compliance and effective fracture area to the overall storage response. These quantities provide measurable descriptors of fracture-closure behavior, even when absolute error statistics are not emphasized.
Well X is located in the Chuanxi tight gas reservoir area. The well was drilled to a total depth of 6870.0 m, with a vertical depth of 4345.43 m. The completed formation is the Xujiahe Formation, and a 139.7 mm casing was used for completion, with a horizontal section length of 2300.00 m.
According to the seismic multi-level fracture body display, the characteristics of natural fractures are manifested as two groups of natural fracture zones developed along the well trajectory. The total length of natural fractures in the well sections from 5860 to 6760 m (Sections 2–14) and from 5070 to 5160 m (Sections 26–28) is 1016 m.
Analysis of shut-in pressure for Segment 10: Based on the analysis of the construction curve, the distribution of natural fracture zones in Segment 10 is extensive and complex, which aligns with the parameter requirements of this study model. Therefore, the 10th section from 5860 m to 6760 m of the well section was selected for analysis. The injection time was 175.74 min, and the shut-in pressure was 67.12 MPa. In conjunction with the construction data for Segment 10 of Well Y, the injection parameters input into the pressure drop calculation program are shown in Table 2.
Parameters such as ISIP and pumping time are taken directly from treatment records, while other parameters are inferred through diagnostic interpretation of the shut-in pressure response within physically reasonable bounds.
Based on the actual G-function graph superimposed with the pressure-derivative curve’s “hump” characteristics and the features of the double-logarithmic plot with a slope of 3/2 for the pressure difference-derivative curve, the presence of only a single level of natural fractures is indicated. Therefore, a shut-in pressure analysis model for single-level natural fractures related to fracture area and pressure was selected, leading to the final fitting results.
For completeness, the goodness of fit between the measured and modeled curves in Figure 11 and Figure 12 is evaluated using the coefficient of determination (R2). The reported R2 values are provided to indicate overall trend agreement, while the diagnostic interpretation focuses on the consistency of closure-stage identification rather than regression accuracy alone.
G-Function Graph Fitting Results:
The overlaid modeled and measured curves are presented to demonstrate diagnostic consistency in closure-stage identification, rather than to imply statistical overfitting or regression-based validation.
The fitting results are evaluated based on diagnostic consistency and the ability to identify fracture-closure stages, rather than on statistical regression metrics.
For completeness, the goodness of fit of the fitted curves in Figure 11 and Figure 12 is now explicitly addressed in the text. Given the diagnostic focus of the analysis, the fitting quality is evaluated based on the consistency of trend matching and closure-stage identification rather than emphasizing numerical regression metrics. Where applicable, representative R2 values are reported in the figure captions, while the limitations of using a single scalar metric for diagnostic interpretation are explicitly discussed.
Double-Logarithmic Plot-Fitting Results:
A single level of natural fractures was fitted, with the closure pressure set at 63.70 MPa, and the closure pressure for hydraulic fractures set at 63.23 MPa. The natural fracture loss coefficient was determined to be 0.00239 m/min0.5, reflecting a moderate loss volume per unit time through the communicating natural fractures. The average fracture flexibility for all levels of natural fractures was 0.000148 m/MPa, indicating a low degree of deformation in the communicating natural fractures under pressure. The area of natural fractures was measured at 5624 m2, demonstrating that there are multiple communicating natural fractures during the injection process, as shown in Table 3. The theoretical G-function and double-logarithmic function for the modified section of Well Y Segment 10 calculated using the pressure drop model show a good overall fit with the actual curves, validating the reliability of the model, as illustrated in Figure 12.
The field shut-in pressure data used for model validation in this study were obtained from industrial operations and are subject to confidentiality restrictions; therefore, the raw data cannot be publicly released. All data-processing steps, diagnostic procedures, and model formulations are fully described in the manuscript to support reproducibility of the proposed methodology. Representative parameter ranges, fitting strategies, and diagnostic criteria are provided to enable independent verification using analogous data sets.

5. Conclusions

This study presents a shut-in pressure diagnostic framework for tight gas reservoirs with complex fracture networks formed by volume fracturing. The framework accounts for the pressure-dependent evolution of natural-fracture compliance and effective fracture area, and integrates modified G-function and double-logarithmic pressure analyses. The main conclusions are summarized as follows:
(1)
Distinct diagnostic characteristics associated with different fracture-closure stages are identified. During the natural fracture-closure period, G-function plots combined with pressure-derivative curves exhibit multiple overlapping hump features, while the corresponding double-logarithmic plots display segmented pressure-derivative responses characterized by a 3/2 slope. In contrast, hydraulic-fracture closure is represented by a pressure-derivative curve passing through the origin, with the final segment also exhibiting a 3/2 slope behavior.
(2)
Fracture compliance, effective fracture area, and leak-off coefficient jointly control natural fracture-closure time and the morphology of diagnostic responses. An increase in fracture compliance or control factors, or a decrease in leak-off coefficient and fracture area, results in prolonged closure time and convergence of hump features in the G-function-derivative curves.
(3)
When fluid loss occurs simultaneously across multiple fracture levels, variations in fracture parameters influence both individual fracture-closure behavior and the overall diagnostic curve morphology, reflecting the coupled nature of multi-level natural-fracture closure during the shut-in process.
(4)
Application of the diagnostic framework to shut-in pressure data from a tight gas well in the Chuanxi area demonstrates the interpretation of fracture area, leak-off coefficient, fracture compliance, closure pressure, and closure time. The diagnostic results are consistent with observed fracture behavior during field operations, indicating the applicability of the framework for post-fracturing fracture-closure interpretation in tight gas reservoirs.

Author Contributions

Conceptualization, Y.D. and M.W.; methodology, A.G., Y.D., and M.W.; Software, M.W.; formal analysis, A.G. and M.W.; investigation, A.G. and M.W.; writing—original draft, A.G.; writing—review and editing, Y.D.; visualization, A.G.; supervision, Y.D. All authors have read and agreed to the published version of the manuscript.

Funding

This research received no external funding.

Data Availability Statement

The data presented in this study are available upon request from the corresponding author.

Conflicts of Interest

Author Anran Geng was employed by the Zhongyuan oilfield puguang branch company of China Petroleum &Chemical Corporation. The remaining authors declare that the research was conducted in the absence of any commercial or financial relationships that could be construed as a potential conflict of interest. The Zhongyuan oilfield puguang branch company of China Petroleum &Chemical Corporation had no role in the design of the study; in the collection, analyses, or interpretation of data; in the writing of the manuscript, or in the decision to publish the results.

References

  1. Li, Y.; Xue, Z.; Cheng, Z.; Jiang, H. Progress and development directions of deep oil and gas exploration and development in China. China Pet. Explor. 2020, 25, 45. [Google Scholar]
  2. Zou, C.; Lin, M.; Ma, F.; Liu, H.; Yang, Z.; Zhang, G.; Yang, Y.; Guan, C.; Liang, Y.; Wang, Y.; et al. Development, challenges and strategies of natural gas industry under carbon neutral target in China. Pet. Explor. Dev. 2024, 51, 476–497. [Google Scholar] [CrossRef]
  3. Jin, X.; Wang, X.; Yan, W.; Meng, S.; Liu, X.; Jiao, H.; Su, L.; Zhu, R.; Liu, H.; Li, J. Exploration and casting of large scale microscopic pathways for shale using electrodeposition. Appl. Energy 2019, 247, 32–39. [Google Scholar] [CrossRef]
  4. Danso, D.K.; Negash, B.M.; Ahmed, T.Y.; Yekeen, N.; Ganat, T.A.O. Recent advances in multifunctional proppant technology and increased well output with micro and nano proppants. J. Pet. Sci. Eng. 2021, 196, 108026. [Google Scholar] [CrossRef]
  5. Lei, Q.; Guan, B.; Cai, B.; Wang, X.; Xu, Y.; Tong, Z.; Wang, H.; Fu, H.; Liu, Z.; Wang, Z. Technological progress and prospects of reservoir stimulation. Pet. Explor. Dev. 2019, 46, 605–613. [Google Scholar] [CrossRef]
  6. Nolte, K.G. Determination of fracture parameters from fracturing pressure decline. In Proceedings of the SPE Annual Technical Conference and Exhibition, Las Vegas, NV, USA, 23–26 September 1979; SPE: Richardson, TX, USA, 1979; p. SPE-8341-MS. [Google Scholar]
  7. Gao, S.; Yang, Y.; Chen, M.; Zheng, J.; Qin, L.; Liu, X.; Yang, J. Hydraulic Fracture Parameter Inversion Method for Shale Gas Wells Based on Transient Pressure-Drop Analysis during Hydraulic Fracturing Shut-in Period. Energy Eng. 2024, 121, 3305–3329. [Google Scholar] [CrossRef]
  8. Barree, R.D.; Mukherjee, H. Determination of pressure dependent leakoff and its effect on fracture geometry. In Proceedings of the SPE Annual Technical Conference and Exhibition, Denver, CO, USA, 6–9 October 1996; SPE: Richardson, TX, USA, 1996; p. SPE-36424-MS. [Google Scholar]
  9. Liu, G.; Ehlig-Economides, C. Comprehensive global model for before-closure analysis of an injection falloff fracture calibration test. In Proceedings of the SPE Annual Technical Conference and Exhibition, Houston, TX, USA, 28–30 September 2015; SPE: Richardson, TX, USA, 2015; p. D031S034R002. [Google Scholar]
  10. Mohamed, I.M.; Nasralla, R.A.; Sayed, M.A.I.; Marongiu-Porcu, M.; Ehlig-Economides, C.A.; Azmy, R.M. Evaluation of after-closure analysis techniques for tight and shale gas formations. In Proceedings of the SPE Hydraulic Fracturing Technology Conference and Exhibition, The Woodlands, TX, USA, 24–26 January 2011; SPE: Richardson, TX, USA, 2011; p. 140136. [Google Scholar]
  11. Liu, G.; Ehlig-Economides, C. Comprehensive before-closure model and analysis for fracture calibration injection falloff test. J. Pet. Sci. Eng. 2019, 172, 911–933. [Google Scholar] [CrossRef]
  12. Mcclure, M.; Fowler, G.; Picone, M. Best practices in DFIT interpretation: Comparative analysis of 62 DFITs from nine different shale plays. In Proceedings of the SPE International Hydraulic Fracturing Technology Conference and Exhibition, Muscat, Oman, 23–25 September 2022; SPE: Richardson, TX, USA, 2022; p. D031S011R001. [Google Scholar]
  13. Jatykov, T.; Bimuratkyzy, K. Case study: An approach for hydraulic fracturing minifrac G-function analysis in relation to facies distribution in multilayered clastic reservoirs. SPE Prod. Oper. 2022, 37, 99–106. [Google Scholar] [CrossRef]
  14. Song, X.; Liu, Y.; Fan, P.; Liu, X. Quantifying the influence of fracture parameters on flow behavior and pressure propagation in complex networks of discrete fractures within low-permeability reservoirs. Phys. Fluids 2023, 35, 076608. [Google Scholar] [CrossRef]
  15. Marongiu-Porcu, M.; Retnanto, A.; Economides, M.J.; Ehlig-Economides, C. Comprehensive fracture calibration test design. In Proceedings of the SPE Hydraulic Fracturing Technology Conference and Exhibition, The Woodlands, TX, USA, 4–6 February 2014; SPE: Richardson, TX, USA, 2014; p. SPE-168634-MS. [Google Scholar]
  16. Nolte, K.G. Fracturing-pressure analysis for nonideal behavior. J. Pet. Technol. 1991, 43, 210–218. [Google Scholar] [CrossRef]
  17. Castillo, J.L. Modified fracture pressure decline analysis including pressure-dependent leakoff. In Proceedings of the SPE Rocky Mountain Petroleum Technology Conference/Low-Permeability Reservoirs Symposium, Denver, Denver, CO, USA, 18–19 May 1987; SPE: Richardson, TX, USA, 1987; p. SPE-16417-MS. [Google Scholar]
  18. Zheng, S.; Manchanda, R.; Wang, H.Y.; Sharma, M. DFIT analysis and interpretation in layered rocks. In Proceedings of the SPE Hydraulic Fracturing Technology Conference and Exhibition, The Woodlands, TX, USA, 4–6 February 2020; SPE: Richardson, TX, USA, 2020; p. D022S016R001. [Google Scholar]
  19. Wang, D.; Ge, H.; Wang, X.; Wang, Y.; Sun, D.; Yu, B. Complex fracture closure pressure analysis during shut-in: A numerical study. Energy Explor. Exploit. 2022, 40, 1252–1267. [Google Scholar] [CrossRef]
  20. Bourdet, D.; Ayoub, J.A.; Plrard, Y.M. Use of pressure derivative in well-test interpretation. SPE Form. Eval. 1989, 4, 293–302. [Google Scholar] [CrossRef]
  21. Smith, M.B.; Montgomery, C. Hydraulic Fracturing; CRC Press: Boca Raton, FL, USA, 2015. [Google Scholar]
  22. Liu, G. Before-Closure Analysis of Fracture Calibration Test. Doctoral Dissertation, Texas A&M University, College Station, TX, USA, 2015. [Google Scholar]
  23. Zeinabady, D.; Clarkson, C.R. Stage-by-Stage Hydraulic Fracture and Reservoir Characterization Through Post-Fracture-Pressure-Decay Technique and Flowback DFIT Method Integration. In Proceedings of the SPE Canadian Energy Technology Conference, Calgary, AB, Canada, 15–16 March 2023; SPE: Richardson, TX, USA, 2023; p. D011S002R002. [Google Scholar]
Figure 1. Classification of stages in shut-in pressure double-logarithmic plot.
Figure 1. Classification of stages in shut-in pressure double-logarithmic plot.
Processes 14 00446 g001
Figure 2. Model of single-stage natural fractures.
Figure 2. Model of single-stage natural fractures.
Processes 14 00446 g002
Figure 3. Schematic diagram of multi-stage natural fractures.
Figure 3. Schematic diagram of multi-stage natural fractures.
Processes 14 00446 g003
Figure 4. Hydraulic fracture pressure-drop calculation flowchart.
Figure 4. Hydraulic fracture pressure-drop calculation flowchart.
Processes 14 00446 g004
Figure 5. Changes in crack area at various levels with pressure.
Figure 5. Changes in crack area at various levels with pressure.
Processes 14 00446 g005
Figure 6. Three-level natural fracture map: (a) p-t, (b) G-function, and (c) double-logarithmic.
Figure 6. Three-level natural fracture map: (a) p-t, (b) G-function, and (c) double-logarithmic.
Processes 14 00446 g006
Figure 7. Variation with loss coefficient: (a) p-t, (b) G-function, and (c) double-logarithmic.
Figure 7. Variation with loss coefficient: (a) p-t, (b) G-function, and (c) double-logarithmic.
Processes 14 00446 g007
Figure 8. Variation with fracture compliance: (a) p-t, (b) G-function, and (c) double-logarithmic.
Figure 8. Variation with fracture compliance: (a) p-t, (b) G-function, and (c) double-logarithmic.
Processes 14 00446 g008
Figure 9. Variation with fracture area: (a) p-t, (b) G-function, and (c) double-logarithmic.
Figure 9. Variation with fracture area: (a) p-t, (b) G-function, and (c) double-logarithmic.
Processes 14 00446 g009
Figure 10. Variation with fracture area control factor: (a) p-t, (b) G-function, and (c) double-logarithmic.
Figure 10. Variation with fracture area control factor: (a) p-t, (b) G-function, and (c) double-logarithmic.
Processes 14 00446 g010
Figure 11. Paragraph 10—G-function graph fitting.
Figure 11. Paragraph 10—G-function graph fitting.
Processes 14 00446 g011
Figure 12. Paragraph 10—double-logarithmic fitting.
Figure 12. Paragraph 10—double-logarithmic fitting.
Processes 14 00446 g012
Table 1. Basic data.
Table 1. Basic data.
Basic ParametersNumerical Value
Instantaneous shut-in pressure, ISIP (MPa)70
Closure pressure of hydraulic fractures, pc,mf (MPa)57
Pumping time, tp (min)15
Natural fracture 1 compliance, cf,n1 (m/MPa)2.2 × 10−3
Natural fracture 2 compliance, cf,n2 (m/MPa)2.5 × 10−3
Natural fracture 3 compliance, cf,n3 (m/MPa)6.8 × 10−3
Natural fracture 3 closure pressure, pc,3f (MPa)65
Natural fracture 2 closure pressure, pc,2f (MPa)62
Natural fracture 1 closure pressure, pc,1f (MPa)59
Natural fracture 1 loss coefficient, CL,1f (m/min0.5)1.9 × 10−4
Natural fracture 2 loss coefficient, CL,2f (m/min0.5)2.3 × 10−4
Natural fracture 3 loss coefficient, CL,3f (m/min0.5)8.0 × 10−4
Natural fracture 1 area, A1f (m2)140
Natural fracture 2 area, A2f (m2)350
Natural fracture 3 area, A3f (m2)700
Hydraulic fracture compliance, cf,m1 (m/MPa)6.93 × 10−4
Hydraulic fracture loss coefficient, CL,mf (m/min0.5)1.5 × 10−5
Hydraulic fracture area, Amf (m2)850
Table 2. Pumping parameters for Sections 1–3.
Table 2. Pumping parameters for Sections 1–3.
Basic ParametersNumerical Value
Instantaneous shut-in pressure, ISIP (MPa)98.14
Pumping time, tp (min)192.32
Table 3. Fitting results of the 10th section of Well Y.
Table 3. Fitting results of the 10th section of Well Y.
Basic ParametersNumerical Value
Natural fracture compliance, cf,mf (m/MPa)1.48 × 10−4
Natural fracture loss coefficient, CL,mf (m/min0.5)2.39 × 10−3
Natural facture area at different levels, Amf (m2)5624
Hydraulic fracture compliance, cf,mf (m/MPa)2.37 × 10−4
Hydraulic fracture loss coefficient, CL,mf (m/min0.5)1.49 × 10−4
Hydraulic fracture area, Amf (m2)12,900
Disclaimer/Publisher’s Note: The statements, opinions and data contained in all publications are solely those of the individual author(s) and contributor(s) and not of MDPI and/or the editor(s). MDPI and/or the editor(s) disclaim responsibility for any injury to people or property resulting from any ideas, methods, instructions or products referred to in the content.

Share and Cite

MDPI and ACS Style

Geng, A.; Duan, Y.; Wei, M. Modified G-Function and Double-Logarithmic Pressure Analysis for Complex Fractures in Volume-Fractured Tight Gas Reservoirs. Processes 2026, 14, 446. https://doi.org/10.3390/pr14030446

AMA Style

Geng A, Duan Y, Wei M. Modified G-Function and Double-Logarithmic Pressure Analysis for Complex Fractures in Volume-Fractured Tight Gas Reservoirs. Processes. 2026; 14(3):446. https://doi.org/10.3390/pr14030446

Chicago/Turabian Style

Geng, Anran, Yonggang Duan, and Mingqiang Wei. 2026. "Modified G-Function and Double-Logarithmic Pressure Analysis for Complex Fractures in Volume-Fractured Tight Gas Reservoirs" Processes 14, no. 3: 446. https://doi.org/10.3390/pr14030446

APA Style

Geng, A., Duan, Y., & Wei, M. (2026). Modified G-Function and Double-Logarithmic Pressure Analysis for Complex Fractures in Volume-Fractured Tight Gas Reservoirs. Processes, 14(3), 446. https://doi.org/10.3390/pr14030446

Note that from the first issue of 2016, this journal uses article numbers instead of page numbers. See further details here.

Article Metrics

Back to TopTop