Abstract
(1) Background: The replacement of petroleum-based plastics with sustainable biopolymer films is crucial for global food preservation. Biopolymers like zein and pectin offer biodegradable and compostable alternatives but often require functionalization. This study develops and characterizes a novel antioxidant film by incorporating silver microparticles (AgMp) derived from the valorization of an agricultural waste product: pecan nutshell extract. (2) Methods: AgMp were synthesized via green reduction method using the extract. These bioactive microparticles were subsequently incorporated into a zein/pectin polymeric solution using the solvent-casting technique. The particles and the active films were characterized using FTIR, SEM, and antioxidant assays (ABTS, DPPH, and FRAP). (3) Results: The extract and AgMp exhibited a potent antioxidant activity (100% inhibition for ABTS/DPPH). SEM analysis confirmed the scale of 0.545–1.033 µm, classifying the material as microparticles. The final films retained a dose-dependent antioxidant activity (66.78% for ABTS and 53.67% for DPPH). (4) Conclusions: This work validates that pecan nutshell extract as an effective green reducing and capping agent. The resulting film possesses significant antioxidant activity, offering a promising alternative for active food packaging applications, such as bioactive pads or inserts.
1. Introduction
Food preservation is a critical pillar of the modern food industry, with packaging playing a key role in safeguarding quality and extending shelf life [1]. However, the widespread reliance on traditional plastic packaging has created significant environmental implications. These single-use materials contribute heavily to soil and ocean pollution, driving concerns over resource depletion and climate change [2]. The environmental burden of these materials spans their entire lifecycle, from manufacturing to ultimate disposal [3]. To mitigate these impacts, recent trends have shifted toward sustainable solutions, particularly active packaging systems derived from renewable resources [4].
This movement focuses on developing environmentally friendly packaging based on biopolymers [4,5]. Biopolymer films, defined as independent structural matrices applied directly to food or used as primary packaging, offer a biodegradable and compostable alternative [6]. Among the promising biopolymer combinations are zein and pectin. Zein, the main storage protein in corn, is generally recognized as safe (GRAS) by the FDA for use in food Packaging. It is widely utilized due to its distinctive film-forming characteristics, including hydrophobicity, heat sealing capability and non-toxicity [7,8,9,10,11,12,13,14,15]. Conversely, pectin, a highly available polysaccharide, is often used to enhance the hydrophilic properties of composite films, primarily inhibiting moisture loss and lipid migration [16,17,18,19,20,21,22,23].
While biodegradable films offer environmental benefits, they often lack the necessary functional properties to actively protect food against oxidative degradation. This limitation has driven the development of active packaging systems, which incorporate functional ingredients to release or absorb substances and prolong food quality [24,25]. A highly sustainable approach to enhancing film functionality is the utilization of agro-industrial byproducts, a concept known as valorization [26]. Pecan nutshell, an abundant waste product, is notably rich in natural phenolic compounds, which possess significant antioxidant capacity [26,27]. These polyphenols can be strategically utilized as natural reducing and stabilizing agents in the synthesis of functional metal particles [28,29,30,31,32,33].
Conventionally, silver particles are synthesized using physical and chemical methods, such as chemical reduction, electrochemical techniques, and photochemical reduction [34,35]. However, these protocols often require the use of toxic reduced agents (sodium borohydride or hydrazine) and organic solvents, which pose environmental risks and limit their application in food contacts materials due to potential toxicity [35,36,37]. Consequently, the plant extract-assisted green synthesis approach represents an advanced and eco-friendly technology for obtaining metal particles [30,38,39,40]. Silver particles are of particular interest due to their well-documented antimicrobial properties [41,42,43]. Crucially, when synthesized using botanical extracts, the resulting particles are often capped by the phenolic compounds from the extract, thereby imparting intrinsic antioxidant activity to the final material [27]. By integrating these antioxidant-enhanced particles into a biopolymer matrix, it is possible to fabricate novel active films that simultaneously address waste valorization and food quality preservation.
Despite the clear potential of this approach, there is a distinct gap in the literature regarding the comprehensive preparation and characterization of zein/pectin composite films containing particles synthesized via pecan nutshell extract, specifically focusing on the retention and performance of the intrinsic antioxidant capacity. Therefore, the objective of this work was to develop and characterize a novel active film made of zein and pectin that incorporates silver microparticles produced through the green synthesis method using an aqueous extract of pecan nutshell. The study specifically evaluates the films antioxidant activity for potential application in active food packaging.
2. Materials and Methods
2.1. Materials
The materials and chemical compounds used in this study were zein, pectin, glycerol, ethanol (96%), silver nitrate (AgNO3), 2,2′-azino-bis(3-ethylbenzothiazoline-6-sulfonic acid) (ABTS), 2,2-diphenyl-1-picrylhydrazyl (DPPH), 6-hydroxy-2,5,7,8-tetramethylchroman-2-carboxylic acid (Trolox), potassium persulfate (K2S2O8), iron (III) chloride hexahydrate (FeCl3 6H2O), 2,4,6-Tris(2-pyridyl)-s-triazine (TPTZ), and sodium acetate (C2H3NaO2). The reagents and chemical compounds were obtained from Sigma Aldrich (St. Louis, MO, USA). Pecan nuts (Carya illinoinensis) were purchased from local market. The nuts were thoroughly washed, oven-dried, and hand-peeled. The nutshells were then finely ground using a blender for preparation of the aqueous extract.
2.2. Green Synthesis of AgMp
2.2.1. Preparation of Aqueous Extract
The extraction was performed following the optimized conditions previously reported by Garcia-Larez [26]. Briefly, 1 g of pulverized pecan nutshell (Carya illinoinensis) was dispersed in 50 mL of deionized water. Subsequently, the sample was treated by ultrasound in an ice bath at 50% amplitude for 25 min using a probe sonicator (Sonifier® S-450D, 20 kHz, 400 W, Branson Ultrasounds TM, Danbury, CT, USA). The resulting solution was then centrifuged at 7500 rpm at 4 °C for 15 min. The supernatant was carefully removed and stored in an amber jar, where it was refrigerated until use. The liquid extract was used directly for the synthesis to ensure the stability of the bioactive compounds, maintaining a constant biomass-to-solvent ratio of 1:50.
2.2.2. Synthesis of AgMp
The synthesis was performed following the methodology described by Rodriguez-Féliz [33] with specific modifications based on the optimized conditions for silver particles established by Garcia-Larez et al., (unpublished data). Briefly, a 1:1 (v/v) solution of the aqueous extract and 0.3 M AgNO3 was prepared. This solution was agitated in darkness for 4 h. Following the reaction, three washing cycles were performed by centrifugation at 10,000 rpm at 20 °C for 15 min, discarding the supernatant after each wash. Finally, the resulting particles paste was subjected to an ultrasound bath for 1 h and then dried in a conventional oven at 48 °C for 24 h.
2.3. Characterization of AgMp
Following the methodologies previously reported by Rodríguez [33], the morphological and structural characterization of the obtained microparticles was performed. FT-IR and SEM analyses were performed on the microparticles obtained. The AgMp were analyzed by Fourier-Transform Infrared Spectroscopy (FT-IR) equipped with an Attenuated Total Reflectance (ATR) accessory (Frontier, Perkin Elmer Spectrum 2000, Waltham, MA, USA). The morphology was observer using Scanning Electron Microscopy (SEM) (JEOL JSM-5410 LV, Ltd., Tokio, Japan). Particle size analysis was performed on the SEM images using ImageJ software v.1.53.
2.4. Determination of the Antioxidant Activity of AgMp
The antioxidant activity of the synthesized AgMp was comprehensively determined by quantifying total phenolic compounds and utilizing ABTS, DPPH and FRAP assays.
2.4.1. Quantification of Total Phenols
The procedure was conducted in accordance with the methodology of Acuña-Pacheco [44], utilizing the Folin–Ciocalteu reagent. A standard was prepared using Gallic acid. The absorbance was measured at 760 nm using a microplate reader. Results were reported as micrograms of gallic acid equivalents per gram of sample (μg EAG/g PS).
2.4.2. Quantification of Total Flavonoids
The procedure was conducted in accordance with the methodology of Acuña-Pacheco [44] using an aluminum chloride (AlCl3) solution. A standard curve was prepared using quercetin. The absorbance was measured at 510 nm using a microplate reader. Results were reported as micromoles of quercetin equivalents per gram of sample (μM EQC/g PS).
2.4.3. ABTS Radical Inhibition
The technique was executed following the methodology of Garcia-Larez [26]. The ABTS radical cation solution was prepared and mixed with potassium persulfate (K2S2O8) and incubating in the dark at room temperature for 12–16 h. The solution was diluted with ethanol until the absorbance reached 0.70 ± 0.02 at 734 nm. Different concentrations of the AgMp solution were then added to the ABTS radical solution. The percentage of inhibition was calculated, and results were expressed as a percentage and as μM TE/g.
2.4.4. DPPH Radical Inhibition
The technique was executed following the methodology of Garcia-Larez [26]. The DPPH solution was prepared in methanol. Different concentration of the AgMp solution were reacted with the DPPH solution in the dark. The inhibition capacity was determined by measuring the decrease in absorbance at 515 nm using a microplate reader. Results were expressed as percentage and μM TE/g.
2.4.5. Ferric Reducing Capacity (FRAP)
The technique was executed following the methodology of Garcia-Larez [26]. The FRAP reagent was prepared 10:1:1 (v/v/v) sodium acetate buffer, TPTZ, and iron (III) chloride. The reaction between the AgMp solution and the FRAP reagent was monitored. Absorbance was measured at 638 nm and results were expressed as μM TE/g.
2.5. Preparation of Zein/Pectin Film with AgMp
For the films without microparticles, Zein 10% (w/v), Pectin 4% (w/v) and Glycerol 5% (w/v) were dissolved in 65% ethanol (w/v). For the films incorporating particles, the required amount of AgMp was first dispersed in water by ultrasonic treatment for 45 min at 50% amplitude in an ice bath. Subsequently, the ethanol was added and stirred until homogenized for 20 min. The 10% (w/v) Zein 10%, 4% (w/v) pectin, and 5% (w/v) glycerol were then added, and the mixture was stirred for 30 min. All preparation steps involving the microparticle solution were carried out under dark conditions to prevent oxidation and maintain the stability of the bioactive compounds. The concentrations of microparticles evaluated were 1%, 0.5%, 0.25% and 0% (w/v). The films were elaborated using the casting technique and dried at 45 °C for 24 h in a conventional oven (Yamato Scientific Co., Ltd. ADP310C, Tokyo, Japan).
2.6. Characterization of Zein/Pectin Films with AgMp
2.6.1. Film Color
Film color was measured using the CIE L*a*b* system, following the methodology of Acuña-Pacheco [44]. A HunterLab spectrophotometer was used.
2.6.2. Film Thickness
Film thickness measurements were performed using a manual micrometer (C112XBS, Mitutoyo Corp., Kawasaki, Japan) with a precision of 0.001 nm following the methodology of Acuña-Pacheco [44]. Measurements were taken at ten random locations on each film sample, and the average value was reported.
2.6.3. Fourier Transform Infrared (FT-IR)
The structure integrity of the films was analyzed using a spectrometer equipped with an ATR accessory, following the procedure described by Acuña-Pacheco [44].
2.6.4. Scanning Electron Microscopy (SEM)
The surface morphology of the films was observed using a Scanning Electron Microscopy according to the methodology of Acuña-Pacheco [44].
2.6.5. Thermal Analysis by Scanning Calorimetry (DSC) and Thermogravimetric Analysis (TGA)
Thermal properties of the composite films were analyzed using a STA 6000 simultaneous thermal analyzer (Perkin Elmer, Shelton, CT, USA) following the methodology of Acuña-Pacheco [44]. The thermal determinations were performed under a nitrogen atmosphere to prevent oxidative degradation. The samples were heated from 30 °C to 600 °C using a 10 °C/min heating ramp.
2.7. Determination of the Antioxidant Activity of Zein/Pectin Films with AgMp
The antioxidant activity of the films was determined by direct contact assays, based on the methodology of Acuña-Pacheco [44], with specific modifications to adapt the liquid assay to film samples.
2.7.1. ABTS Radical Inhibition
The ABTS radical test was performed with modifications. Approximately 120 mg of the film sample was cut and placed in contact with 25 mL of the ABTS radical solution for 30 min in the dark. The absorbance was read on a UV-vis spectrophotometer (Caru 60) at 734 nm. The values were reported as radical inhibition (%).
2.7.2. DPPH Inhibition
The DPPH radical was performed with modifications. Approximately 120 mg of the film sample was cut and placed in contact with 25 mL of the DPPH radical solution for 30 min in the dark. The absorbance was read on a UV-vis spectrophotometer (Cary 60) at 515 nm. The values were reported as radical inhibition (%).
2.7.3. Ferric Reducing Capacity (FRAP)
The FRAP test was executed following the methodology of Acuña et al. (2024) [44]. For the reaction, approximately 120 mg of the film was placed in contact with 25 mL of the FRAP reagent for 30 min. Absorbance reading was measured on a UV-vis spectrophotometer (Cary 60) at 638 nm. Results were expressed as μM TE/g.
2.8. Statistical Analysis
An experimental design was employed to assess the antioxidant activity of AgMp, utilizing a completely random two-factor approach. The factors considered were the samples used and the concentrations evaluated. In the case of the films, a completely random experimental design was implemented, incorporating various treatments with different microparticle concentrations. To determine significant differences between treatments, a Tukey multiple comparison test and a t-student test were conducted with a 95% confidence level (p < 0.05). For the remaining analyses, a general linear model was applied using analysis of variance (ANOVA) at a significance level of p < 0.05. The reported results include the mean value along with the corresponding standard deviation (mean ± SD).
3. Results
3.1. Green Synthesis of AgMp
The synthesis of silver particles from pecan nutshell aqueous extract is illustrated in Figure 1, which shows the preparation and the resulting material. The synthesis reaction was performed by mixing the pecan nutshell extract with 0.3 M silver nitrate (AgNO3) in a 1:1 ratio (v/v), maintaining constant agitation in darkness for 4 h. During the process, the original light brown color of the pecan extracts progressively shifted to a dark brown color in the final silver particle solution. This noticeable color change is attributed to the successful reduction of silver ions (Ag+) to elemental silver (Ag0) by reducing molecules present in the extract [33]. This optical phenomenon is characteristic of the excitation of Surface Plasmon Resonance (SPR) in silver particles, which typically exhibit an absorption band in the visible range depending on particle size and aggregation state [45,46]. This study supports the premise that plant extracts possess the inherent capability to reduce metal salts, facilitating both the formation and the stabilization of the microparticles through the addition of biomolecules to the synthesis solution.
Figure 1.
Obtaining the pecan nutshell aqueous extract (Carya illinoinensis) by ultrasound and the silver particles by green synthesis.
3.2. Characterization of AgMp
3.2.1. Fourier Transform Infrared Spectroscopy (FTIR)
The FTIR analysis was conducted to identify the functional groups responsible for the reduction of silver ions and the subsequent stabilization of the synthesized silver particles. Figure 2 presents a comparative spectral analysis of the raw pecan nutshell extract, the pure silver nitrate (AgNO3), and the obtained silver particles. The spectrum of the raw extract reveals a complex composition rich in phenolic compounds. A broad and intense absorption band centered at 3280 cm−1 is attributed to the O-H stretching vibrations, confirming the presence of hydroxyl-rich compounds such as polyphenols and carbohydrates. A strong band at 1633 cm−1 corresponds to the C=C aromatic ring stretching and conjugated carbonyl groups (C=O), characteristic of the phenolic structure and lignin. Additionally, a band at 571 cm−1 is associated with aromatic ring deformations typical of the biomass matrix. The AgNO3 infrared spectrum exhibits characteristic peaks at 1300 cm−1 and 793 cm−1, which corresponds to the stretching and bending vibrations of the nitrate ion (NO3−) and Ag-O interactions, respectively.
Figure 2.
FT-IR spectrum of synthesized silver particles, silver nitrate (AgNO3) and pecan nutshell aqueous extract (Carya illinoinensis).
The AgMp spectrum displays a complex profile with distinct new bands. The broadband observed at 3312 cm−1 is characteristic of the stretching vibrations of hydroxyl (-OH) groups and amine (-NH) groups. The presence of this band in the particles suggests the involvement of phenols and alcohols with free OH groups in the reduction and stabilization process. In the C-H stretching region, distinct bands appeared at 3006, 2921, and 2852 cm−1. The peaks at 2921 and 2852 cm−1 correspond to the C-H stretching vibrations of aliphatic chains, likely from lipids or protein side chains associated with the particle surface. The preservation of these bands confirms that particle surface. The preservation of these bands confirms that organic compounds from the extract from a shell around the particles.
A crucial feature of the spectrum is the appearance of the band at 1746 cm−1, which is attributed to the stretching vibration of carbonyl groups (C=O). Literature suggests that carbonyl groups, potentially from flavanones, terpenoids, or carboxylic acids (-COOH) found in the extract, function as capping ligands. These groups can adsorb onto the surface of the metal particles through interaction via π-electrons or direct binding, thereby preventing aggregation and maintaining stability in the aqueous phase [47]. The prominent band observed at 1604 cm−1 corresponds to the Amide I vibration (C=O stretch) and N-H banding found in proteins. As reported in previous studies on Carya illinoinensis extracts, the 1612–1612 cm−1 range is characteristic of amines and amides present in proteins, indicating that proteins play a dual role in the biosynthesis and stability of the metallic particles by acting as capping agents [48].
The band at 1454 cm−1 is associated with C-O-H groups vibrations or C-H banding. Furthermore, the multiple intense bands observed between 1147, 1092, and 1027 cm−1 correspond to the C-O stretching vibrations of phenols and polyphenols present in the nutshell extract. The presence of these functional groups on the particle surface supports the mechanism where polyphenols participate in the reduction in Ag+ ions while simultaneously forming a stabilization coating. The persistent presence of these functional groups (especially O-H) confirms the active role of the pecan nutshell phenolics in the reduction process on the microparticle surface, which is essential for conferring the desired antioxidant activity to the micromaterial [33].
3.2.2. Scanning Electron Microscopy (SEM)
SEM analysis was performed to examine the morphology and size characteristics of the dried silver microparticles (Figure 3). Figure 3A shows the particle surface at 5000X magnification. The micrographs revealed that the particles were highly agglomerated, forming large clusters. Quantitative analysis of clearly discernible particles using ImageJ software estimated the size range to be between 0.545–1.033 µm. Based on these values, the material falls within the sub-micrometric to micrometric range. Therefore, the claim of a predominating nano-sized fraction has been corrected, and the material is designated as AgMp in this study.
Figure 3.
Scanning electron microscopy images of silver particles at 5000X (A), elemental analysis by EDS (B,C).
The observed agglomeration is attributed to the high precursor concentration used (0.3 M) and the drying process, which likely promoted the coalescence of the capped particles via hydrogen bonding interactions. Figure 3B,C show the elemental analysis, confirmed a high content of Carbon (C) and Oxygen (O) on the particle surface. This elemental composition directly corresponds to the phenolic compounds and carbohydrates from the pecan nutshell extract that remained adhered to the silver material. These adhered phenolic compounds are expected to provide the desired antioxidant activity.
3.3. Determination of the Antioxidant Activity of AgMp
Table 1 provides the content of total phenolic compounds and total flavonoids in both the synthesized AgMp and the raw aqueous extract of pecan nutshell. The total phenolic content was found to be 42.82 ± 6.80 μM GAE/g in the AgMp and 138.98 ± 2.50 μM GAE/g in the raw extract. The reduction in phenolic content in the AgMp compared to the extract is expected, as a significant portion of the original compounds are consumed during the reduction in the silver ions. Our results coincide with those obtained in previous studies, where the pecan nutshell aqueous extract showed remarkable antioxidant activity [26]. These values are comparable to, or slightly lower than, those reported in the literature for similar extracts. For instance, Flores [49] determined phenolic concentrations in pecan nutshells (Wichita and Western varieties) yielding values of 170.36 mg GAE/g and 145.44 mg GAE/g, respectively. The high initial concentration in the raw extract confirms its robustness as a reducing agent. Similarly, the total flavonoid content was determined to be 4.38 ± 0.54 µM QE/g in the AgMp and 22.10 ± 2.95 µM QE/g in the extract. These findings confirm that a substantial portion of the key antioxidant groups (phenols and flavonoids) were successfully incorporated onto the silver material surface.
Table 1.
Total phenol and total flavonoids concentration in the silver microparticles and pecan nutshell extract.
The antioxidant activity capacity of the AgMp was determined using three complementary assays: ABTS, DPPH, and FRAP, to establish a broad profile of their mechanisms of action. Five concentrations of the AgMp (500–25,000 µg/mL) and the raw pecan extract were evaluated, along with the commercial antioxidant standards (Tertiary Butylhydroquinone (TBHQ)) [50]. The particles were suspended in the distilled water using ultrasonic treatment (50% amplitude, 30 min in an ice bath) prior to analysis.
The ABTS assay (Figure 4) showed that the AgMp and the extract both achieved 100% inhibition of the ABTS radical at the highest concentrations (25,000 and 15,000 µg/mL). Even at the 500 µg/mL concentration, AgMp exhibited a significant 79.84% inhibition. Trolox (93.26%), and TBHQ (92.60%) all showed high activity. At the lower concentration, the AgMp maintained superior activity compared to TBHQ, highlighting its strength in the electron transfer mechanism characteristic of the ABTS assay.
Figure 4.
Determination of ABTS and DPPH radical inhibition of silver microparticles, walnut extract, Trolox and TBHQ. Error bars indicate standard deviation, bars with equal letters do not represent statistical differences (Tukey’s HSD test, p > 0.05).
Similarly, for the DPPH assay (Figure 4), both the AgMp and the extract reached 100% inhibition at 25,000 and 15,000 µg/mL. At 500 µg/mL, AgMp achieved 79.20% inhibition, while the extract maintained 93.33% inhibition. Although the extract maintained higher activity than the AgMp as the concentration decreased, the overall performance of the commercial standards Trolox and TBHQ across both ABTS and DPPH tests.
The FRAP assay (Table 2), expressed as µM TE/g, measured the materials reducing capacity. Trolox served as the internal standard for this assay and thus exhibited the highest reduced capacity (826,555 ± 190.80). The AgMp (1800.45 ± 82.00), the extract (1882.78.78 ± 129.60), and TBHQ (2521.74 ± 55.80) showed lower, yet significant, reduced capacities. The high inherent antioxidant activity of the AgMp is directly attributed to the presence of bioactive compounds, such as ferulic acid and thymol [27], which adhere to the particle surface and donate electrons and hydrogen atoms to neutralize free radicals [51]. The ABTS and DPPH results indicate that the microparticles primarily inhibit radicals through both electron transfer (SET) and hydrogen atom transfer (HAT) mechanisms.
Table 2.
Determination of the antioxidant capacity of silver microparticles, walnut shell extract, Trolox and TBHQ expressed in Trolox equivalents (μMET/g PS) per gram dry sample obtained from ABTS, DPPH and FRAP analyses.
3.4. Preparation of Zein/Pectin Film with AgMp
The films were elaborated using the casting method with varying concentrations of AgMp (0%, 0.25%, 0.5% and 1%). Figure 5 shows the visual appearance of the films. The control film presents a yellowish hue. In contrast, the incorporation of silver particles drastically altered the optical properties, resulting in predominant dark brown color attributed to the surface plasmon resonance of silver and the oxidized phenolic compounds. Critically, a qualitative assessment of the handling properties revealed significant pragmatic limitations. Visually, the 1% formulation showed non-homogeneously dispersed particles, appearing as macroscopic aggregates that likely act as stress concentration points.
Figure 5.
Surface morphology of films of zein (12%), pectin (4%), glycerol (5%) and various concentrations of particles. (A) 1% AgMp, (B) 0.5% AgMp, (C) 0.25% AgMp and (D) 0% AgMp.
3.5. Characterization of Zein/Pectin Films with AgMp
3.5.1. Film Color and Thickness
The visual properties of packaging are critical for consumer acceptance [52], and the incorporation of AgMp significantly altered the films coloration (Figure 5). Analysis of the CIE L*a*b* parameters (Table 3) revealed a dose-dependent effect on color intensity: the L* (lightness) values decreased consistently with increasing AgMp concentration, leading to visibly darker, opaque films. While this darkness confirms the presence of silver, it represents a limitation for applications where product visibility is required. Concurrently, the a* values (redness) increased upon AgMp addition, reflecting the influence of the dispersed particles. However, the control film (0% AgMp) exhibited the highest b* (yellowness) confirming the characteristic pale yellow hue inherent to the zein protein component of the blend.
Table 3.
Color and thickness of zein/pectin films without and with different contents of silver microparticle (AgMp).
Regarding structural integrity, film thickness was precisely measured (Table 3). The films exhibited an average thickness of approximately 250 µm, this value is higher than typical commercial packaging films (50–100 µm) [53]. Although films containing AgMp showed a statistically significant difference in the thickness when compared exclusively to the film control. No significant differences were observed among the films formulated with varying concentrations of AgMp. This excessive thickness contributes directly to the mechanical rigidity and brittleness observed in the active formulations, suggesting that optimization of the processing technique is required for future applications.
3.5.2. Fourier Transform Infrared (FT-IR)
The FTIR spectra of the neat film components and the final composite films were analyzed to evaluate the incorporation of the filler into the matrix (Figure 6). The spectra of the composite films confirmed the presence of the protein component (Zein) through the characteristic amide bands: Amide I (peaks at 1600 cm−1 to 1700 cm−1), Amide II (peaks at 1500 cm−1 to 1550 cm−1), and Amide A (peaks at 3100 cm−1 to 3500 cm−1) [7,12]. A broad band corresponding to the O-H bond stretching was observed around 3283 cm−1 to 3287 cm−1. Slight variations in intensity were noted, with the 0.25% and 0.5% films exhibiting broader bands compared to the control. Similarly, the bands corresponding to C-H stretching (2849–2929 cm−1) remained present across all formulations.
Figure 6.
FT-IR spectrum of (A) materials used for the manufacture of the films and (B) zein/pectin films with different percentages of silver microparticles.
Regarding the interaction mechanism, the shifts observed in the O-H and Amide bands upon AgMp addition were minor. This suggests that the interaction between the AgMp phenolic capping layer and the Zein/pectin chains is primarily driven by physical entrapment and intermolecular hydrogen bonding rather than strong covalent coupling. These results indicate that the filler is physically embedded within the polymeric network without drastically altering the chemical structure of the matrix backbone.
3.5.3. Scanning Electron Microscopy (SEM)
Surface morphology analysis (Figure 7) revealed intrinsic structural challenges in active films. Macroscopically, films with lower AgMp concentrations (0.25% and 0.5%) appeared more uniform to the naked eye compared to the 1% formulation. However, microscopic analysis via SEM clarified that this was only a visual impression. The micrographs confirm that structural heterogeneity and phase separation exist across all formulations, regardless of the particle concentration. The presence of white aggregates indicates that the AgMp were not effectively dispersed within the solution. This lack of homogeneity is attributed to two factors: first, the micrometric aggregates formed during synthesis are difficult to break down and distribute evenly. The incompatibility between the hydrophobic zein and the hydrophilic pectin creates a competitive environment that prevents the homogeneous integration of the filler. Consequently, the particles remain trapped as physical discontinuities rather than forming a cohesive composite.
Figure 7.
SEM micrographs of the surface of zein and pectin films with (A,B) 1% AgMp, (C,D) 0.5% AgMp, (E,F) 0.25% AgMp and (G,H) 0% AgMp.
3.5.4. Thermal Analysis by Scanning Calorimetry (DSC) and Thermogravimetric Analysis (TGA)
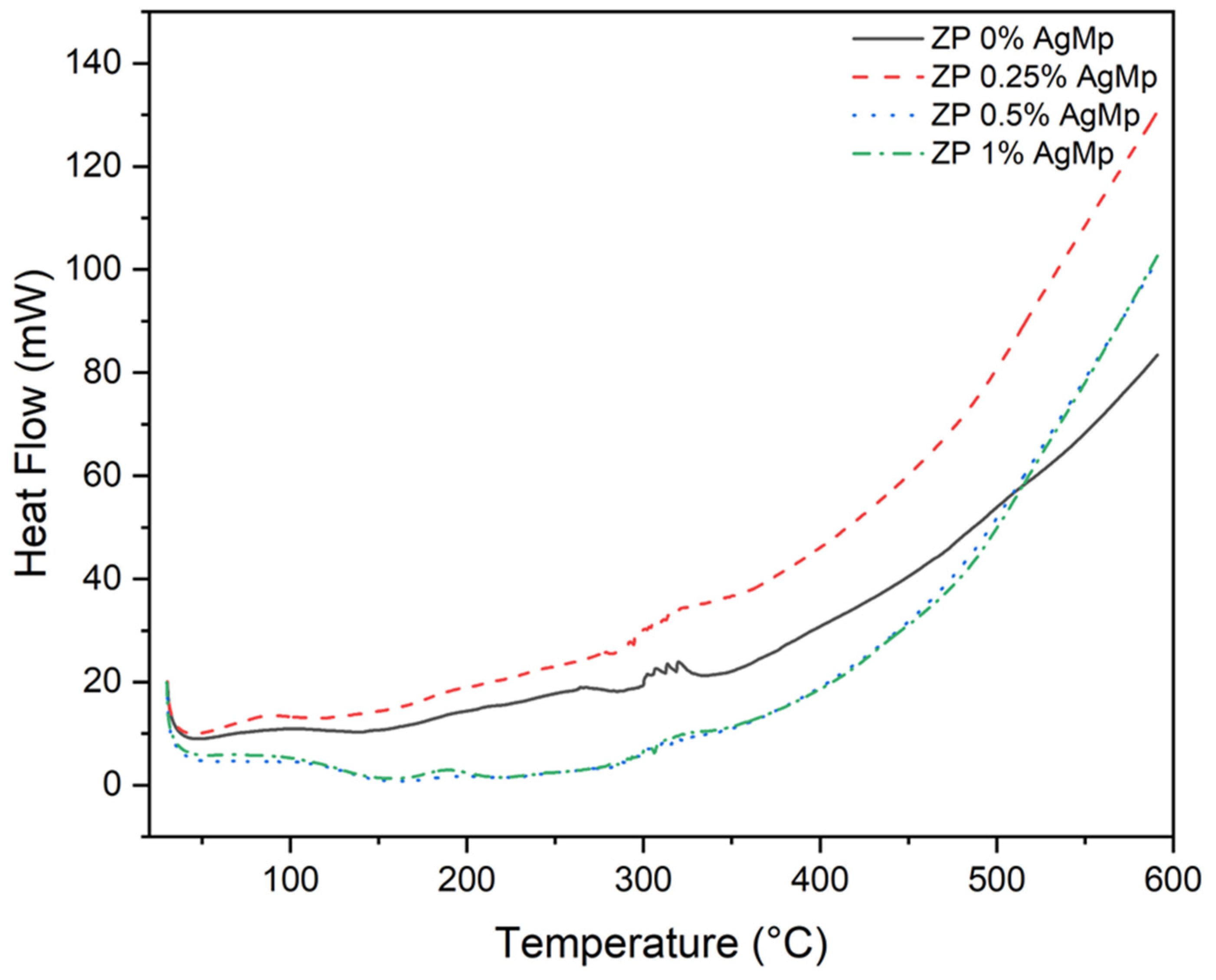
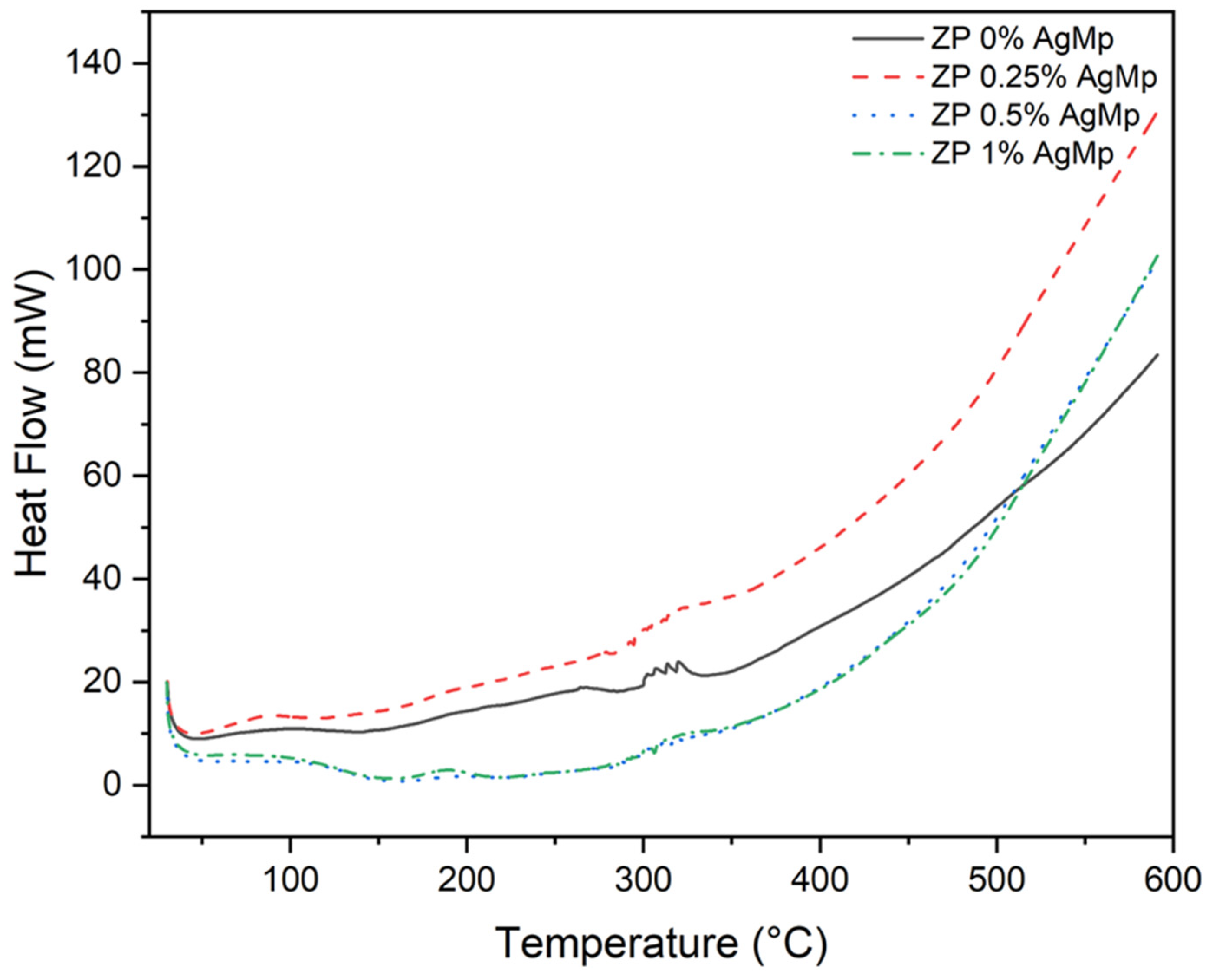
The thermal stability and phase transitions of the films were analyzed using DSC and TGA. The DSC thermograms (Figure 8) displayed a prominent, broad endothermic peak in all film formulations, spanning from approximately 60 °C and 150 °C. This thermal event is characteristic of the dehydration process (evaporation of bound water) and the volatilization of low molecular weight compounds. Although the glass transition temperature (Tg) is a critical parameter, it was not detectable in these thermograms as the strong endothermic signal of moisture evaporation masked the baseline shift associated with the glass transition, a phenomenon commonly observed in hydrophilic biopolymer matrices. The curves did not show significant shifts in peak position upon the addition of AgMp, suggesting thermal compatibility within the polymer matrix. The absence of distinct melting peaks can confirm the amorphous nature of the Zein/Pectin—AgMp blend.
Figure 8.
DSC thermograms of zein and pectin films with 1% AgMp, 0.5% AgMp, 0.25% AgMp, and 0% AgMp.
The TGA and its derivates DTG curves provided detailed insight into the thermal degradation kinetics (Figure 9). The degradation profile of the control film was characterized by distinct mass loss stages. A first mass loss event occurred around 76.88 °C, corresponding to the evaporation of free and bound water. A second stage appeared at 217.37 °C, representing the maximal decomposition rate (depolymerization) of the zein/pectin backbone. Regarding the effect of the filler, the films with AgMp exhibited a degradation profile similar to the control, indicating that the inclusion of the particles did not significantly alter the thermal decomposition temperatures of the matrix. However, a higher residual mass was observed at 600 °C for the films containing AgMp compared to the control. This increase is directly attributed to the inorganic nature of the silver-containing microparticles, which are non-combustible at this temperature and remain as residue after the complete thermal decomposition of the biopolymer matrix.
Figure 9.
Thermogravimetric analysis of Zein/Pectin AgMp films (0%, 0.25%, 0.5%, and 1%). Mass loss thermogram (TGA) and derivative thermogram (DTG).
3.6. Determination of the Antioxidant Activity of Zein/Pectin Films with AgMp
The functional performance of the active films was evaluated via the ABTS, DPPH, and FRAP assays. The ABTS assay (Figure 10) showed that the radical inhibition capacity was 49.48% for the 0% AgMp film, increasing progressively to a maximum of 66.78% for the 1% AgMp film. Similarly, the DPPH inhibition (Figure 10) increased from 37.40% (0% AgMp film) to 53.67% (1% AgMp film). While the antioxidant activity of the films is lower compared to the free extract, this is an expected physical phenomenon known as the matrix effect. The cross-linked zein/pectin network acts as a physical barrier that restricts the rapid diffusion of the antioxidant compounds and steric hindrance limits the interaction between the immobilized active agent’s hindrance limits the interaction between the immobilized active agents and the free radicals in the solution. Consequently, although the absolute inhibition values are reduced, the clear dose-dependent increase confirms that the AgMp successfully retained their antioxidant functionality after the film-forming process, effectively imparting active properties to the packaging material.
Figure 10.
Determination of ABTS and DPPH radical inhibition of zein and pectin films with 1%, 0.5%, 0.25% and 0% silver particles. Error bars indicate standard deviation, bars with equal letters do not represent statistical differences (Tukey’s HSD test, p > 0.05).
In a study [54], CS films containing 1% AgMp showed an inhibition percentage close to 70% for DPPH and 60% for ABTS. In this case, greater activity against the DPPH radical was observed; this difference may be due to the nature of the microparticles, which are derived from Catharanthus roseus extracts. The FRAP assay results (Table 4), expressed as µM TE/g, showed no statically significant differences (p > 0.05) among the different film formulations. The films exhibited antioxidant capacity, utilizing both the electron transfer (ABTS) and hydrogen atom transfer (DPPH) mechanisms, with the electron transfer mechanism (ABTS) estimated to be the predominant route of action. The films with 1% AgMp indicating gradual water loss. At 190 °C and 224 °C presented a distinct doublet, or a shoulder separated from the main.
Table 4.
Determination of the antioxidant capacity of zein and pectin films with 1%, 0.5%, 0.25% and 0% silver microparticles expressed in Trolox equivalents (μMET/g PS) per gram dry sample obtained from ABTS, DPPH and FRAP analyses.
4. Discussion
The development of the Zein/Pectin AgMp active film focused on the valorization of pecan nutshell extract for the green synthesis of antioxidant fillers. Unlike conventional nanotechnology studies that aim for monodispersity, our findings demonstrate that the use of high precursor concentration (0.3 M) favors the formation of silver microparticles and aggregates in the range of 0.5–1.0 µm. While this micrometric size deviates from the nano definition initially sought, the synthesized material successfully retained the bioactive profile of the extract, serving as a functional antioxidant reservoir. The larger size range provides an advantage in terms of food safety and potential regulatory acceptance [55].
The synthesis mechanism was confirmed by the spectroscopic and morphological analyses. As observed in the FTIR results, the disappearance of the sharp nitrate precursor signal (1300 cm−1) and the concurrent red shifts in the phenolic (O-H) and carbonyl (C=O) bands confirmed that the biomolecules from the extract not only reduced the silver ions but also formed an organic capping layer over the particles. The organic coating is crucial, as it provides the chemical basis for the antioxidant activity observed in the material.
Regarding the functional performance, the synthesized AgMp demonstrated distinct radical scavenging capabilities. However, a critical analysis of the active films reveals that the incorporation of these particles into the zein/pectin matrix presents trade-offs. The antioxidant assays showed that the film possessed significant activity, yet the values were lower compared to the free extract. This reduction is not necessarily a loss of efficacy but a consequence of the matrix effect and diffusion limitations. The dense, cross-linked zein/pectin network acts as a physical barrier that restricts the mobility of the antioxidant agents and limits their interaction with the free radicals in solutions. Nevertheless, the dose-dependent increase in inhibition confirms that the scavenging potential was successfully transferred to the solid state.
Despite these functional achievements, this study recognizes significant pragmatic limitations in the physical and mechanical properties of the developed materials. The SEM analysis highlighted that the AgMp tend to form large agglomerates within the polymer matrix, likely due to the drying process and the high solid load. These aggregates act as physical discontinuities, which, combined with the substantial film thickness (~250 µm), resulted in materials with high rigidity and brittleness. This mechanical behavior contrasts with the flexibility required for primary food packaging films [56]. In fact, the films were too fragile to undergo standard tensile strength testing, fracturing under the grip pressure of the texture analyzer. Consequently, this mechanical behavior indicates that the material, in its current form, fails to meet the basic mechanical requirements for flexible primary food packaging.
Additionally, the optical characteristics were drastically altered; the dark brown coloration imparted by the silver particles significantly reduced transparency. While this barrier to light can protect photosensitive foods, the opacity may negatively impact consumer acceptance where product visibility is desired [52]. Thermal analysis (DSC/TGA) indicated that the AgMp are thermally compatible with the matrix, as no drastic destabilization of the polymer backbone was observed. While the Zein/Pectin–AgMp films demonstrate promising antioxidant activity derived from agro-industrial waste, their current mechanical fragility and excessive thickness limit their application as flexible standalone packaging. Instead, these materials show greater potential for niche applications, such as active pads inner coatings, or rigid inserts where flexibility is not the primary requirement. Future research must prioritize the optimization of the plasticizer ratio and casting parameters to reduce thickness and improve the dispersion of the microparticles to enhance mechanical integrity.
5. Conclusions
The present study demonstrates the feasibility of valorizing pecan nutshell extract for the green synthesis of Silver Microparticles (AgMp) and their subsequent incorporation into a Zein/Pectin matrix. The synthesis protocol, utilizing a high precursor concentration, resulted in the formation of capped microparticles and aggregates (0.5–1.0 µm) rather than monodispersed particles. The incorporation of AgMp into the biopolymer matrix successfully imparted radical scavenging activity to the films, confirming the transfer of bioactive properties from the waste-derived extract to the solid material. However, this study also identified critical pragmatic limitations. The resulting films exhibited high thickness, low transparency, and significant brittleness due to the presence of large aggregates and the rigid nature of the formulation. Therefore, the material is currently unsuitable for flexible packaging and is instead proposed for use as rigid inserts or active pads. Future research should focus on optimizing the plasticizer content and dispersion techniques to reduce particle agglomeration and film thickness, thereby improving mechanical integrity for broader industrial applications. Finally, migration and toxicity studies are required to ensure consumer safety in food contact scenarios.
Author Contributions
Conceptualization, F.R.-F. and M.d.J.M.-V.; methodology, M.d.J.M.-V., J.A.T.-H. and I.E.Q.-R.; software, C.G.B.-U.; validation, F.R.-F. and C.G.B.-U.; formal analysis, K.H.O.-V.; investigation, F.R.-F. and A.Z.G.-V.; resources, A.Z.G.-V.; data curation, K.H.O.-V. and M.d.J.M.-V.; writing—original draft preparation, C.G.B.-U.; writing—review and editing, K.H.O.-V. and M.d.J.M.-V.; visualization, M.Á.R.-G.; supervision, I.E.Q.-R.; project administration, I.E.Q.-R. and F.R.-F.; funding acquisition, F.R.-F. All authors have read and agreed to the published version of the manuscript.
Funding
This research received no external funding.
Data Availability Statement
The original contributions presented in this study are included in the article. Further inquiries can be directed to the corresponding author.
Acknowledgments
The authors are grateful to the University of Sonora for their support. Karla Hazel Ozuna-Valencia, thanks SECIHTI (Secretaría de Ciencia, Humanidades, Tecnología e Innovación) for the scholarship granted.
Conflicts of Interest
The authors declare no conflicts of interest.
References
- Huang, K.; Wang, Y. Advances in Bio-Based Smart Food Packaging for Enhanced Food Safety. Trends Food Sci. Technol. 2025, 159, 104960. [Google Scholar] [CrossRef]
- Gaspar, M.C.; Leocádio, J.; Mendes, C.V.T.; Cardeira, M.; Fernández, N.; Matias, A.; Carvalho, M.G.V.S.; Braga, M.E.M. Biodegradable Film Production from Agroforestry and Fishery Residues with Active Compounds. Food Packag. Shelf Life 2021, 28, 100661. [Google Scholar] [CrossRef]
- Sheibani, S.; Jafarzadeh, S.; Qazanfarzadeh, Z.; Osadee Wijekoon, M.M.J.; Mohd Rozalli, N.H.; Mohammadi Nafchi, A. Sustainable Strategies for Using Natural Extracts in Smart Food Packaging. Int. J. Biol. Macromol. 2024, 267, 131537. [Google Scholar] [CrossRef] [PubMed]
- Sourav, C.; Sasidharan, A.; Mohan, C.O.; Sabu, S.; Sunooj, K.V. Prospects of Biodegradable Packaging in the Seafood Industry: A Review. Asian Fish. Sci. 2025, 38, 50–65. [Google Scholar] [CrossRef]
- Lin, J.; Jaiswal, A.K.; Jaiswal, S. A Critical Review of Consumer Perception and Environmental Impacts of Bioplastics in Sustainable Food Packaging. Sustainability 2025, 17, 1358. [Google Scholar] [CrossRef]
- Ozuna-Valencia, K.H.; Moreno-Vásquez, M.J.; Graciano-Verdugo, A.Z.; Rodríguez-Félix, F.; Robles-García, M.Á.; Barreras-Urbina, C.G.; Quintero-Reyes, I.E.; Cornejo-Ramírez, Y.I.; Tapia-Hernández, J.A. The Application of Organic and Inorganic Nanoparticles Incorporated in Edible Coatings and Their Effect on the Physicochemical and Microbiological Properties of Seafood. Processes 2024, 12, 1889. [Google Scholar] [CrossRef]
- Mouzakitis, C.K.; Sereti, V.; Matsakidou, A.; Kotsiou, K.; Biliaderis, C.G.; Lazaridou, A. Physicochemical Properties of Zein-Based Edible Films and Coatings for Extending Wheat Bread Shelf Life. Food Hydrocoll. 2022, 132, 107856. [Google Scholar] [CrossRef]
- Lan, X.; Zhang, X.; Wang, L.; Wang, H.; Hu, Z.; Ju, X.; Yuan, Y. A Review of Food Preservation Based on Zein: The Perspective from Application Types of Coating and Film. Food Chem. 2023, 424, 136403. [Google Scholar] [CrossRef]
- Jiang, L.; Liu, F.; Wang, F.; Zhang, H.; Kang, M. Development and Characterization of Zein-Based Active Packaging Films Containing Catechin Loaded β-Cyclodextrin Metal-Organic Frameworks. Food Packag. Shelf Life 2022, 31, 100810. [Google Scholar] [CrossRef]
- Zhang, S.; He, Z.; Xu, F.; Cheng, Y.; Waterhouse, G.I.N.; Sun-Waterhouse, D.; Wu, P. Enhancing the Performance of Konjac Glucomannan Films through Incorporating Zein–Pectin Nanoparticle-Stabilized Oregano Essential Oil Pickering Emulsions. Food Hydrocoll. 2022, 124, 107222. [Google Scholar] [CrossRef]
- Wu, H.; Tong, C.; Wu, C.; Pang, J. Production and Characterization of Composite Films with Zein Nanoparticles Based on the Complexity of Continuous Film Matrix. LWT 2022, 161, 113396. [Google Scholar] [CrossRef]
- Gaona-Sánchez, V.A.; Calderón-Domínguez, G.; Morales-Sánchez, E.; Moreno-Ruiz, L.A.; Terrés-Rojas, E.; Salgado-Cruz, M.d.l.P.; Escamilla-García, M.; Barrios-Francisco, R. Physicochemical and Superficial Characterization of a Bilayer Film of Zein and Pectin Obtained by Electrospraying. J. Appl. Polym. Sci. 2021, 138, 50045. [Google Scholar] [CrossRef]
- Huang, X.; Ge, X.; Zhou, L.; Wang, Y. Eugenol Embedded Zein and Poly(Lactic Acid) Film as Active Food Packaging: Formation, Characterization, and Antimicrobial Effects. Food Chem. 2022, 384, 132482. [Google Scholar] [CrossRef]
- Jiang, L.; Jia, F.; Han, Y.; Meng, X.; Xiao, Y.; Bai, S. Development and Characterization of Zein Edible Films Incorporated with Catechin/β-Cyclodextrin Inclusion Complex Nanoparticles. Carbohydr. Polym. 2021, 261, 117877. [Google Scholar] [CrossRef] [PubMed]
- Bueno, N.N.; Corradini, E.; de Souza, P.R.; Marques, V.D.S.; Radovanovic, E.; Muniz, E.C. Films Based on Mixtures of Zein, Chitosan, and PVA : Development with Perspectives for Food Packaging Application. Polym. Test. 2021, 101, 107279. [Google Scholar] [CrossRef]
- Ribeiro, A.C.B.; Cunha, A.P.; da Silva, L.M.R.; Mattos, A.L.A.; de Brito, E.S.; de Souza Filho, M.d.S.M.; de Azeredo, H.M.C.; Ricardo, N.M.P.S. From Mango By-Product to Food Packaging: Pectin-Phenolic Antioxidant Films from Mango Peels. Int. J. Biol. Macromol. 2021, 193, 1138–1150. [Google Scholar] [CrossRef]
- Shivangi, S.; Dorairaj, D.; Negi, P.S.; Shetty, N.P. Development and Characterisation of a Pectin-Based Edible Film That Contains Mulberry Leaf Extract and Its Bio-Active Components. Food Hydrocoll. 2021, 121, 107046. [Google Scholar] [CrossRef]
- Machado, B.R.; Facchi, S.P.; de Oliveira, A.C.; Nunes, C.S.; Souza, P.R.; Vilsinski, B.H.; Popat, K.C.; Kipper, M.J.; Muniz, E.C.; Martins, A.F. Bactericidal Pectin/Chitosan/Glycerol Films for Food Pack Coatings: A Critical Viewpoint. Int. J. Mol. Sci. 2020, 21, 8663. [Google Scholar] [CrossRef] [PubMed]
- Fan, Y.; Yang, J.; Duan, A.; Li, X. Pectin/Sodium Alginate/Xanthan Gum Edible Composite Films as the Fresh-Cut Package. Int. J. Biol. Macromol. 2021, 181, 1003–1009. [Google Scholar] [CrossRef]
- Li, S.; Wei, N.; Wei, J.; Fang, C.; Feng, T.; Liu, F.; Liu, X.; Wu, B. Curcumin and Silver Nanoparticles Loaded Antibacterial Multifunctional Pectin/Gelatin Films for Food Packaging Applications. Int. J. Biol. Macromol. 2024, 266, 107046. [Google Scholar] [CrossRef]
- Chen, Y.; Xu, L.; Wang, Y.; Chen, Z.; Zhang, M.; Chen, H. Characterization and Functional Properties of a Pectin/Tara Gum Based Edible Film with Ellagitannins from the Unripe Fruits of Rubus Chingii Hu. Food Chem. 2020, 325, 126964. [Google Scholar] [CrossRef]
- Li, S.; Fang, C.; Wei, N.; Wei, J.; Feng, T.; Liu, F.; Liu, X.; Wu, B. Antimicrobial, Antioxidative, and UV-Blocking Pectin/Gelatin Food Packaging Films Incorporated with Tannic Acid and Silver Nanoparticles for Strawberry Preservation. Int. J. Biol. Macromol. 2025, 308, 142445. [Google Scholar] [CrossRef]
- Tong, W.Y.; Ahmad Rafiee, A.R.; Leong, C.R.; Tan, W.N.; Dailin, D.J.; Almarhoon, Z.M.; Shelkh, M.; Nawaz, A.; Chuah, L.F. Development of Sodium Alginate-Pectin Biodegradable Active Food Packaging Film Containing Cinnamic Acid. Chemosphere 2023, 336, 139212. [Google Scholar] [CrossRef]
- Drago, E.; Franco, P.; Campardelli, R.; De Marco, I.; Perego, P. Zein Electrospun Fibers Purification and Vanillin Impregnation in a One-Step Supercritical Process to Produce Safe Active Packaging. Food Hydrocoll. 2022, 122, 107082. [Google Scholar] [CrossRef]
- Ahmed, M.W.; Haque, M.A.; Mohibbullah, M.; Khan, M.S.I.; Islam, M.A.; Mondal, M.H.T.; Ahmmed, R. A Review on Active Packaging for Quality and Safety of Foods: Current Trends, Applications, Prospects and Challenges. Food Packag. Shelf Life 2022, 33, 100913. [Google Scholar] [CrossRef]
- Garcia-Larez, F.L.; Esquer, J.; Guzmán, H.; Zepeda-Quintana, D.S.; Moreno-Vásquez, M.J.; Rodríguez-Félix, F.; Del-Toro-Sánchez, C.L.; López-Corona, B.E.; Tapia-Hernández, J.A. Effect of Ultrasound-Assisted Extraction (UAE) Parameters on the Recovery of Polyphenols from Pecan Nutshell Waste Biomass and Its Antioxidant Activity. Biomass Convers. Biorefinery 2025, 15, 10977–10995. [Google Scholar] [CrossRef]
- Dunford, N.T.; Gumus, Z.P.; Gur, C.S. Chemical Composition and Antioxidant Properties of Pecan Shell Water Extracts. Antioxidants 2022, 11, 1127. [Google Scholar] [CrossRef] [PubMed]
- Alao, I.I.; Oyekunle, I.P.; Iwuozor, K.O.; Emenike, E.C. Green Synthesis of Copper Nanoparticles and Investigation of Its Antimicrobial Properties. Adv. J. Chem. Sect. B Nat. Prod. Med. Chem. 2022, 4, 39–52. [Google Scholar] [CrossRef]
- Rónavári, A.; Igaz, N.; Adamecz, D.I.; Szerencsés, B.; Molnar, C.; Kónya, Z.; Pfeiffer, I.; Kiricsi, M. Green Silver and Gold Nanoparticles: Biological Synthesis Approaches and Potentials for Biomedical Applications. Molecules 2021, 26, 844. [Google Scholar] [CrossRef]
- Nieto-Maldonado, A.; Bustos-Guadarrama, S.; Espinoza-Gomez, H.; Flores-López, L.Z.; Ramirez-Acosta, K.; Alonso-Nuñez, G.; Cadena-Nava, R.D. Green Synthesis of Copper Nanoparticles Using Different Plant Extracts and Their Antibacterial Activity. J. Environ. Chem. Eng. 2022, 10, 107130. [Google Scholar] [CrossRef]
- Ahmadi, S.; Fazilati, M.; Nazem, H.; Mousavi, S.M. Green Synthesis of Magnetic Nanoparticles Using Satureja Hortensis Essential Oil toward Superior Antibacterial/Fungal and Anticancer Performance. Biomed. Res. Int. 2021, 2021, 8822645. [Google Scholar] [CrossRef]
- van Nhat, H.; Tan, L.P.; Thien, H.H.; Raes, K.; Le, T.T.; Pham, L.; Quoc, T. Green Synthesis of Silver Nanoparticles from Extract from Mentha aquatica Linn. Var. Crispa and Evaluation of Their Antibacterial and Antioxidant Activities. Herba Polonica 2023, 69, 37–46. [Google Scholar]
- Rodríguez-Félix, F.; López-Cota, A.G.; Moreno-Vásquez, M.J.; Graciano-Verdugo, A.Z.; Quintero-Reyes, I.E.; Del-Toro-Sánchez, C.L.; Tapia-Hernández, J.A. Sustainable-Green Synthesis of Silver Nanoparticles Using Safflower (Carthamus tinctorius L.) Waste Extract and Its Antibacterial Activity. Heliyon 2021, 7, e06923. [Google Scholar] [CrossRef]
- Jara, N.; Milán, N.S.; Rahman, A.; Mouheb, L.; Boffito, D.C.; Jeffryes, C.; Dahoumane, S.A. Photochemical Synthesis of Gold and Silver Nanoparticles-a Review. Molecules 2021, 26, 4585. [Google Scholar] [CrossRef]
- Nguyen, N.P.U.; Dang, N.T.; Doan, L.; Nguyen, T.T.H. Synthesis of Silver Nanoparticles: From Conventional to ‘Modern’ Methods—A Review. Processes 2023, 11, 2617. [Google Scholar] [CrossRef]
- Turdikulov, I.; Atakhanov, A.; Ergashev, D.; Mukhlisa, S.; A’zamkulov, S.; Sardor, O.; Maftuna, M.; Surayyo, F.; Gavharshod, R.; Thomas, S.; et al. Synthesis of Silver Nanoparticles: A Comprehensive Review. Chem. Rev. Lett. 2025, 8, 1155–1168. [Google Scholar] [CrossRef]
- Vishwanath, R.; Negi, B. Conventional and Green Methods of Synthesis of Silver Nanoparticles and Their Antimicrobial Properties. Curr. Res. Green Sustain. Chem. 2021, 4, 100205. [Google Scholar] [CrossRef]
- Salayová, A.; Bedlovičová, Z.; Daneu, N.; Baláž, M.; Lukáčová Bujňáková, Z.; Balážová, L.; Tkáčiková, L. Green Synthesis of Silver Nanoparticles with Antibacterial Activity Using Various Medicinal Plant Extracts: Morphology and Antibacterial Efficacy. Nanomaterials 2021, 11, 1005. [Google Scholar] [CrossRef] [PubMed]
- Singh, R.; Dutt, S.; Sharma, P.; Sundramoorthy, A.K.; Dubey, A.; Singh, A.; Arya, S. Future of Nanotechnology in Food Industry: Challenges in Processing, Packaging, and Food Safety. Glob. Chall. 2023, 7, 2200209. [Google Scholar] [CrossRef] [PubMed]
- Singh, A.; Gautam, P.K.; Verma, A.; Singh, V.; Shivapriya, P.M.; Shivalkar, S.; Sahoo, A.K.; Samanta, S.K. Green Synthesis of Metallic Nanoparticles as Effective Alternatives to Treat Antibiotics Resistant Bacterial Infections : A Review. Biotechnol. Rep. 2020, 25, e00427. [Google Scholar] [CrossRef]
- Mohanta, Y.K.; Nayak, D.; Mishra, A.K.; Chakrabartty, I.; Ray, M.K.; Mohanta, T.K.; Tayung, K.; Rajaganesh, R.; Vasanthakumaran, M.; Muthupandian, S.; et al. Green Synthesis of Endolichenic Fungi Functionalized Silver Nanoparticles: The Role in Antimicrobial, Anti-Cancer, and Mosquitocidal Activities. Int. J. Mol. Sci. 2022, 23, 10626. [Google Scholar] [CrossRef]
- Barabadi, H.; Jounaki, K.; Pishgahzadeh, E.; Morad, H.; Sadeghian-Abadi, S.; Vahidi, H.; Hussain, C.M. Antiviral Potential of Green-Synthesized Silver Nanoparticles. In Handbook of Microbial Nanotechnology; Academic Press: Cambridge, MA, USA, 2022; pp. 285–310. [Google Scholar] [CrossRef]
- Soliman, M.K.Y.; Abu-Elghait, M.; Salem, S.S.; Azab, M.S. Multifunctional Properties of Silver and Gold Nanoparticles Synthesis by Fusarium pseudonygamai. Biomass Convers. Biorefinery 2022, 14, 28253–28270. [Google Scholar] [CrossRef]
- Acuña-Pacheco, L.V.; Moreno-Robles, A.L.; Plascencia-Jatomea, M.; Del Toro-Sánchez, C.L.; Ayala-Zavala, J.F.; Tapia-Hernández, J.A.; Moreno-Vásquez, M.J.; Graciano-Verdugo, A.Z. The Preparation and Characterization of an Alginate—Chitosan-Active Bilayer Film Incorporated with Asparagus (Asparagus officinalis L.) Residue Extract. Coatings 2024, 14, 1232. [Google Scholar] [CrossRef]
- Singh, K.R.; Natarajan, A.; Pandey, S.S. Bioinspired Multifunctional Silver Nanoparticles for Optical Sensing. ACS Appl. Bio Mater. 2023, 11, 4549–4571. [Google Scholar] [CrossRef] [PubMed]
- Murugan, D.; Tintelott, M.; Narayanan, M.S.; Vu, X.T.; Kurkina, T.; Rodriguez-Emmenegger, C.; Schwaneberg, U.; Dostalek, J.; Ingebrandt, S.; Pachauri, V. Recent Advances in Grating Coupled Surface Plasmon Resonance Technology. Adv. Opt. Mater. 2024, 12, 2401862. [Google Scholar] [CrossRef]
- Neira-Vielma, A.A.; Meléndez-Ortiz, H.I.; García-López, J.I.; Sanchez-Valdes, S.; Cruz-Hernández, M.A.; Rodríguez-González, J.G.; Ramírez-Barrón, S.N. Green Synthesis of Silver Nanoparticles Using Pecan Nut (Carya illinoinensis) Shell Extracts and Evaluation of Their Antimicrobial Activity. Antibiotics 2022, 11, 1150. [Google Scholar] [CrossRef]
- Pasieczna-Patkowska, S.; Cichy, M.; Flieger, J. Application of Fourier Transform Infrared (FTIR) Spectroscopy in Characterization of Green Synthesized Nanoparticles. Molecules 2025, 30, 684. [Google Scholar] [CrossRef]
- Flores-Córdova, M.A.; Sánchez, E.; Muñoz-Márquez, E.; Ojeda-Barrios, D.L.; Soto-Parra, J.M.; Preciado-Rangel, P. Phytochemical Composition and Antioxidant Capacity in Mexican Pecan Nut. Emir. J. Food Agric. 2017, 29, 346–350. [Google Scholar] [CrossRef]
- Manessis, G.; Kalogianni, A.I.; Lazou, T.; Moschovas, M.; Bossis, I.; Gelasakis, A.I. Plant-Derived Natural Antioxidants in Meat and Meat Products. Antioxidants 2020, 9, 1215. [Google Scholar] [CrossRef]
- Bolat, E.; Sarıtaş, S.; Duman, H.; Eker, F.; Akdaşçi, E.; Karav, S.; Witkowska, A.M. Polyphenols: Secondary Metabolites with a Biological Impression. Nutrients 2024, 16, 2550. [Google Scholar] [CrossRef] [PubMed]
- Zhang, W.; Jiang, W. Antioxidant and Antibacterial Chitosan Film with Tea Polyphenols-Mediated Green Synthesis Silver Nanoparticle via a Novel One-Pot Method. Int. J. Biol. Macromol. 2020, 155, 1252–1261. [Google Scholar] [CrossRef]
- Guzman-Puyol, S.; Benítez, J.J.; Heredia-Guerrero, J.A. Transparency of Polymeric Food Packaging Materials. Food Res. Int. 2022, 161, 111792. [Google Scholar] [CrossRef] [PubMed]
- Zhuo, M.; Liu, C.; Wang, Q.; Wang, Z.; Wang, Y.; Yu, F.; Zhang, Y. Catharanthus Roseus Extract-Assisted Silver Nanoparticles Chitosan Films with High Antioxidant and Antimicrobial Properties for Fresh Food Preservation. Int. J. Biol. Macromol. 2025, 309, 142771. [Google Scholar] [CrossRef] [PubMed]
- Medici, S.; Peana, M.; Pelucelli, A.; Zoroddu, M.A. An Updated Overview on Metal Nanoparticles Toxicity. Semin. Cancer Biol. 2021, 76, 17–26. [Google Scholar] [CrossRef] [PubMed]
- Wang, Z.; Huang, J.; Yun, D.; Yong, H.; Liu, J. Antioxidant Packaging Films Developed Based on Chitosan Grafted with Different Catechins: Characterization and Application in Retarding Corn Oil Oxidation. Food Hydrocoll. 2022, 133, 107970. [Google Scholar] [CrossRef]
Disclaimer/Publisher’s Note: The statements, opinions and data contained in all publications are solely those of the individual author(s) and contributor(s) and not of MDPI and/or the editor(s). MDPI and/or the editor(s) disclaim responsibility for any injury to people or property resulting from any ideas, methods, instructions or products referred to in the content. |
© 2025 by the authors. Licensee MDPI, Basel, Switzerland. This article is an open access article distributed under the terms and conditions of the Creative Commons Attribution (CC BY) license.









