Numerical Simulation of Sedimentation Behavior of Densely Arranged Particles in a Vertical Pipe Using Coupled SPH-DEM
Abstract
1. Introduction
2. Methodology
2.1. SPH-DEM Coupling Framework
2.1.1. SPH Fluid Governing Equations
2.1.2. DEM Contact Algorithms
2.1.3. Fluid–Particle Two-Way Coupling Mechanism
2.2. Time Integration Scheme
3. Results and Discussion
3.1. Benchmark Example Test
3.2. Sedimentation and Dispersion Characteristics of Particles
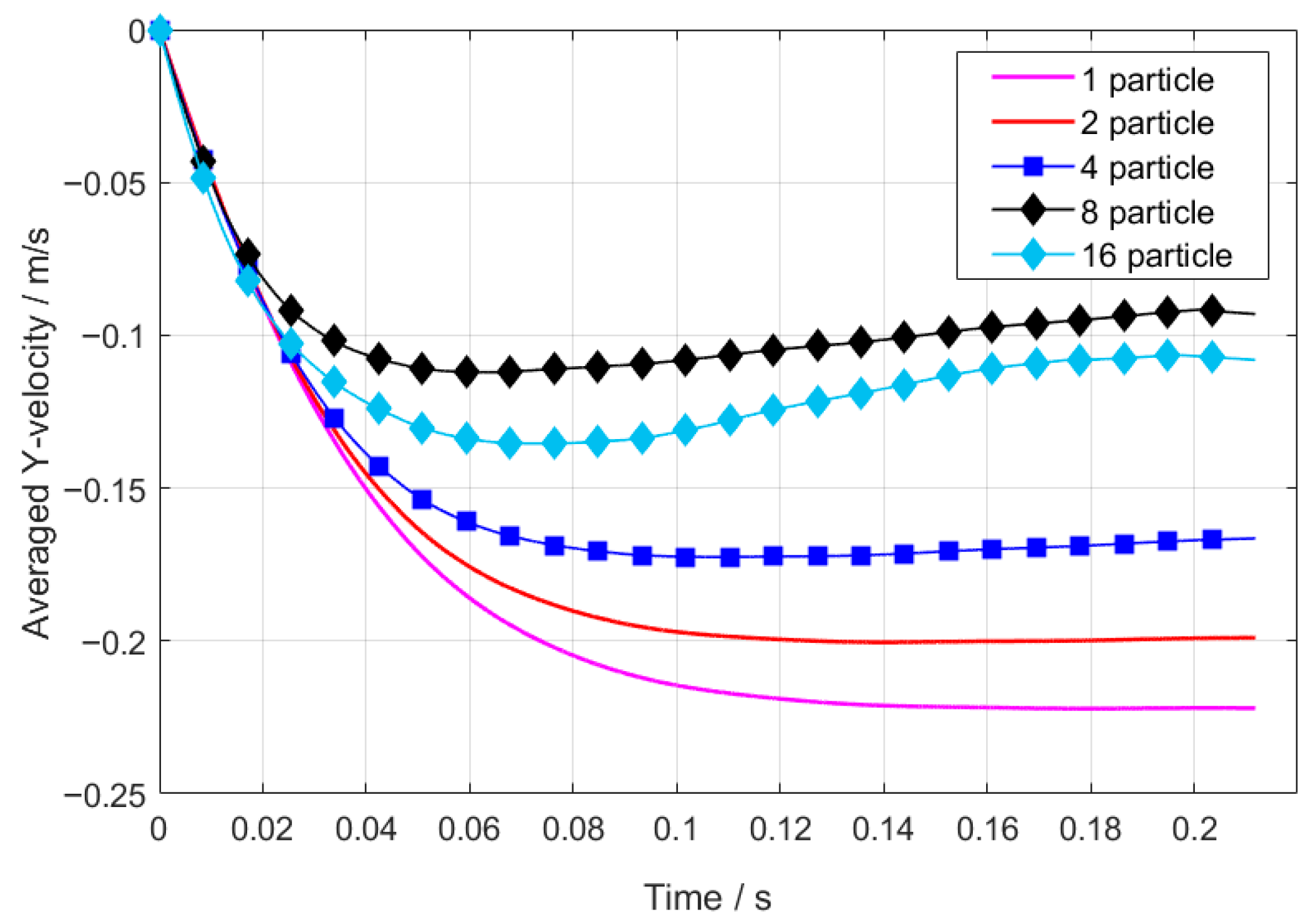
3.2.1. Effect of Particle Number
3.2.2. Effect of Packing Pattern
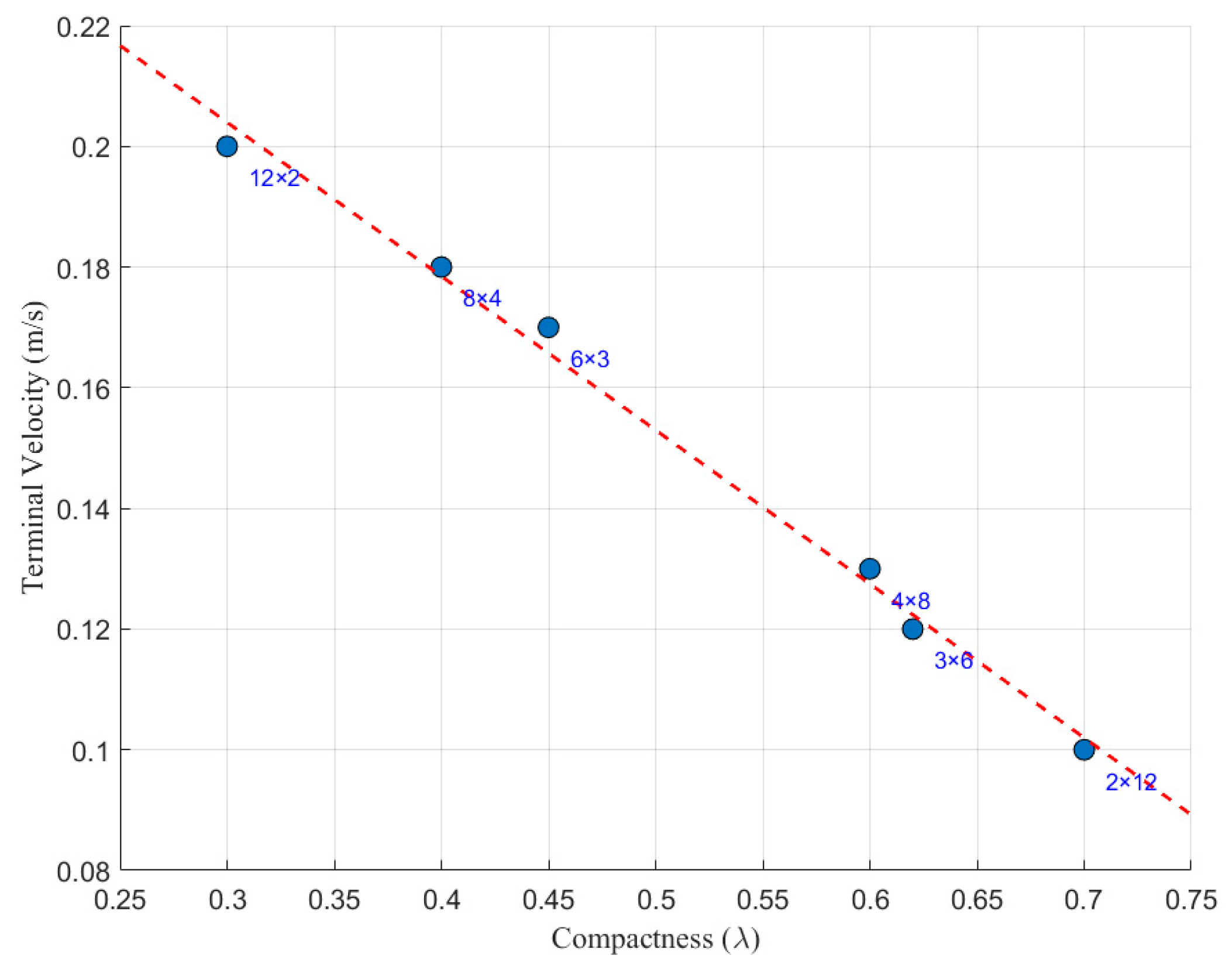
3.2.3. Effect of Row and Column Number
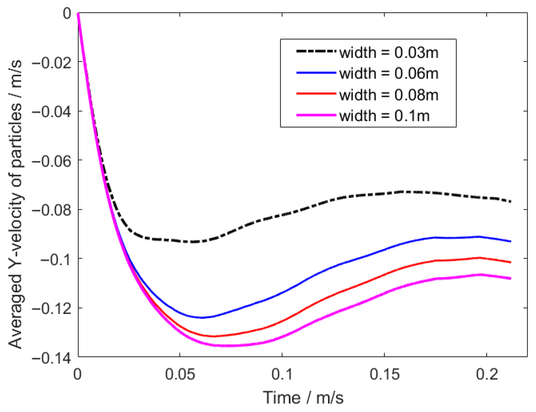
3.2.4. Effect of Fluid Boundary
3.3. Simplifying Assumptions and Physical Limitations
4. Conclusions
Author Contributions
Funding
Data Availability Statement
Conflicts of Interest
References
- Ge, Y.; Huang, W.; Li, X.; Yao, J.; Yang, Q.; Zhang, C.; Kong, X.; Zhou, N. Numerical investigation on oil leakage and migration from the accidental hole of tank wall in oil terminal of pipeline transportation system. J. Pipeline Sci. Eng. 2024, 4, 100175. [Google Scholar] [CrossRef]
- Pal, S.; Kottam, R.R.; Lambert, M.F.; Hanmaiahgari, P.R. Estimation of deposit thickness in single-phase liquid flow pipeline using finite volume modelling. J. Pipeline Sci. Eng. 2024, 4, 100145. [Google Scholar] [CrossRef]
- Cartagena-Pérez, D.F.; Alzate-Espinosa, G.A.; Arbelaez-Londoño, A. Conceptual evolution and practice of sand management. J. Pet. Sci. Eng. 2022, 210, 110022. [Google Scholar] [CrossRef]
- Yu, R.; Dong, X.; Li, Z.; Fan, M. A coupled SPH–DEM model for erosion process of solid surface by abrasive water-jet impact. Comput. Part. Mech. 2023, 10, 1093–1112. [Google Scholar] [CrossRef]
- Abbas, A.H.; Abd Alsaheb, R.A.; Abdullah, J.K. Comparative study of natural chemical for enhanced oil recovery: Focus on extraction and adsorption at quartz sand surface. Petroleum 2023, 9, 83–93. [Google Scholar] [CrossRef]
- Dong, X.; Zhang, Q.; Liu, Y.; Liu, X. Improved mesh-free SPH approach for loose top coal caving modeling. Particuology 2024, 95, 1–27. [Google Scholar] [CrossRef]
- Osorno, M.; Schirwon, M.; Kijanski, N.; Sivanesapillai, R.; Steeb, H.; Göddeke, D. A cross-platform, high-performance SPH toolkit for image-based flow simulations on the pore scale of porous media. Comput. Phys. Commun. 2021, 267, 108059. [Google Scholar] [CrossRef]
- Li, C.; Wang, C.; Zhang, S.; Qiu, S.; Qin, H. Pore-scale flow simulation in anisotropic porous material via fluid-structure coupling. Graph. Models 2018, 95, 14–26. [Google Scholar] [CrossRef]
- Ren, Y.; Lin, P.; Zhang, C.; Hu, X. An efficient correction method in Riemann SPH for the simulation of general free surface flows. Comput. Methods Appl. Mech. Eng. 2023, 417, 116460. [Google Scholar] [CrossRef]
- Zhang, F.; Yang, P.; Liu, M. An improved continuum surface tension model in SPH for simulating free-surface flows and heat transfer problems. J. Comput. Phys. 2023, 490, 112322. [Google Scholar] [CrossRef]
- Liu, K.; Liu, Y.; Li, S.; Chen, H.; Chen, S.; Arikawa, T.; Shi, Y. Coupling SPH with a mesh-based Eulerian approach for simulation of incompressible free-surface flows. Appl. Ocean Res. 2023, 138, 103673. [Google Scholar] [CrossRef]
- Li, S.; Schwarz, M.P.; Feng, Y.; Witt, P.; Sun, C. A CFD study of particle-bubble collision efficiency in froth flotation. Miner. Eng. 2019, 141, 105855. [Google Scholar] [CrossRef]
- Li, Y.; Zhang, J.; Fan, L.S. Numerical simulation of gas-liquid-solid fluidization systems using a combined CFD-VOF-DPM method: Bubble wake behavior. Chem. Eng. Sci. 1999, 54, 5101–5107. [Google Scholar] [CrossRef]
- Huang, Z.; Legendre, D.; Guiraud, P. Effect of interface contamination on particle-bubble collision. Chem. Eng. Sci. 2012, 68, 1–18. [Google Scholar] [CrossRef]
- Dong, X.; Hao, G.; Yu, R. Two-dimensional smoothed particle hydrodynamics (SPH) simulation of multiphase melting flows and associated interface behavior. Eng. Appl. Comput. Fluid Mech. 2022, 16, 588–629. [Google Scholar] [CrossRef]
- Dong, X.; Hao, G.; Liu, Y. Efficient mesh-free modeling of liquid droplet impact on elastic surfaces. Eng. Comput. 2023, 39, 3441–3471. [Google Scholar] [CrossRef]
- Sun, Z.; Yan, X.; Wang, L.; Li, X.; Wang, A.; Zhang, H. Numerical prediction of particle slip velocity in turbulence by CFD-DEM simulation. Particuology 2023, 80, 170–179. [Google Scholar] [CrossRef]
- Sun, Z.; Yan, X.; Wang, L.; Li, X.; Wang, A.; Zhang, H. SPHydro: Promoting smoothed particle hydrodynamics method toward extensive applications in ocean engineering. Phys. Fluids 2023, 35, 017166. [Google Scholar] [CrossRef]
- Bao, T.; Hu, J.; Huang, C.; Yu, Y. Smoothed particle hydrodynamics with κ-ε closure for simulating wall-bounded turbulent flows at medium and high Reynolds numbers. Phys. Fluids 2023, 35, 085114. [Google Scholar] [CrossRef]
- He, Y.; Bayly, A.E.; Hassanpour, A.; Muller, F.; Wu, K.; Yang, D. A GPU-based coupled SPH-DEM method for particle-fluid flow with free surfaces. Powder Technol. 2018, 338, 548–562. [Google Scholar] [CrossRef]
- Xiong, H.; Hao, M.; Zhao, D.; Qiu, Y.; Chen, X. Study of the dynamics of water-enriched debris flow and its impact on slit-type barriers by a modified SPH–DEM coupling approach. Acta Geotech. 2024, 19, 1019–1045. [Google Scholar] [CrossRef]
- Zou, L.; Sun, J.Z.; Sun, Z.; Yu, Z.B.; Bin Zhao, H. Study of two free-falling spheres interaction by coupled SPH–DEM method. Eur. J. Mech.-B/Fluids 2022, 92, 49–64. [Google Scholar] [CrossRef]
- Sun, J.Z.; Zou, L.; Govender, N.; Martínez-Estévez, I.; Crespo, A.J.; Sun, Z.; Domínguez, J.M. A resolved SPH-DEM coupling method for analysing the interaction of polyhedral granular materials with fluid. Ocean Eng. 2023, 287, 115938. [Google Scholar] [CrossRef]
- Peng, C.; Zhan, L.; Wu, W.; Zhang, B. A fully resolved SPH-DEM method for heterogeneous suspensions with arbitrary particle shape. Powder Technol. 2021, 387, 509–526. [Google Scholar] [CrossRef]
- Robinson, M.; Ramaioli, M.; Luding, S. Fluid–particle flow simulations using two-way-coupled mesoscale SPH–DEM and validation. Int. J. Multiph. Flow 2014, 59, 121–134. [Google Scholar] [CrossRef]
- Tang, Y.; Jiang, Q.; Zhou, C. A Lagrangian-based SPH-DEM model for fluid–solid interaction with free surface flow in two dimensions. Appl. Math. Model. 2018, 62, 436–460. [Google Scholar] [CrossRef]
- Yu, R.; Hao, G.; Yang, W.; Li, Z. An unresolved SPH-DEM model for simulation of ductile and brittle surface erosion by abrasive water-jet (AWJ) impact. Sci. Rep. 2024, 14, 26115. [Google Scholar] [CrossRef]
- Yang, Z.; Lian, X.; Savari, C.; Barigou, M. Evaluating the effectiveness of CFD-DEM and SPH-DEM for complex pipe flow simulations with and without particles. Chem. Eng. Sci. 2024, 288, 119788. [Google Scholar] [CrossRef]
- Zhou, Q.; Xu, W.J.; Dong, X.Y. SPH-DEM coupling method based on GPU and its application to the landslide tsunami. Part I: Method and validation. Acta Geotech. 2022, 17, 2121–2137. [Google Scholar] [CrossRef]
- Sun, J.Z.; Zou, L.; Govender, N.; Sun, Z.; Yu, Z.B.; Jin, G. Coupling SPH-DEM method for simulating the dynamic response of breakwater structures under severe free surface flow. Powder Technol. 2024, 441, 119805. [Google Scholar] [CrossRef]
- Tian, Y.; An, G.; Dong, X.; Chen, R.; Guo, Z.; Zheng, X.; Zhang, Q. An Unresolved SPH-DEM Coupling Framework for Bubble-Particle Interactions in Dense Multiphase Systems. Processes 2025, 13, 1291. [Google Scholar] [CrossRef]



























Disclaimer/Publisher’s Note: The statements, opinions and data contained in all publications are solely those of the individual author(s) and contributor(s) and not of MDPI and/or the editor(s). MDPI and/or the editor(s) disclaim responsibility for any injury to people or property resulting from any ideas, methods, instructions or products referred to in the content. |
© 2025 by the authors. Licensee MDPI, Basel, Switzerland. This article is an open access article distributed under the terms and conditions of the Creative Commons Attribution (CC BY) license (https://creativecommons.org/licenses/by/4.0/).
Share and Cite
Ji, P.; Wang, Z.; Du, W.; Pang, Z.; Guan, L.; Liu, Y.; Dong, X. Numerical Simulation of Sedimentation Behavior of Densely Arranged Particles in a Vertical Pipe Using Coupled SPH-DEM. Processes 2025, 13, 2911. https://doi.org/10.3390/pr13092911
Ji P, Wang Z, Du W, Pang Z, Guan L, Liu Y, Dong X. Numerical Simulation of Sedimentation Behavior of Densely Arranged Particles in a Vertical Pipe Using Coupled SPH-DEM. Processes. 2025; 13(9):2911. https://doi.org/10.3390/pr13092911
Chicago/Turabian StyleJi, Peng, Zhiyuan Wang, Weigang Du, Zhenli Pang, Liyong Guan, Yong Liu, and Xiangwei Dong. 2025. "Numerical Simulation of Sedimentation Behavior of Densely Arranged Particles in a Vertical Pipe Using Coupled SPH-DEM" Processes 13, no. 9: 2911. https://doi.org/10.3390/pr13092911
APA StyleJi, P., Wang, Z., Du, W., Pang, Z., Guan, L., Liu, Y., & Dong, X. (2025). Numerical Simulation of Sedimentation Behavior of Densely Arranged Particles in a Vertical Pipe Using Coupled SPH-DEM. Processes, 13(9), 2911. https://doi.org/10.3390/pr13092911
