Next Article in Journal
Pre-Trained Surrogate Model for Fracture Propagation Based on LSTM with Integrated Attention Mechanism
Previous Article in Journal
Real-Time Joint Fault Detection and Diagnosis of Hexapod Robot Based on Improved Random Forest
 
 
Font Type:
Arial Georgia Verdana
Font Size:
Aa Aa Aa
Line Spacing:
Column Width:
Background:
Article

Transient Overvoltage Assessment and Influencing Factors Analysis of the Hybrid Grid-Following and Grid-Forming System

Key Laboratory of Power System Intelligent Dispatch and Control of Ministry of Education, Shandong University, Jinan 250061, China
*
Author to whom correspondence should be addressed.
Processes 2025, 13(9), 2763; https://doi.org/10.3390/pr13092763
Submission received: 31 July 2025 / Revised: 26 August 2025 / Accepted: 27 August 2025 / Published: 28 August 2025
(This article belongs to the Section Energy Systems)

Abstract

With the large-scale integration of renewable energy devices into the power grid, the voltage stability of the renewable energy base is becoming increasingly weak, and the problem of transient overvoltage is becoming increasingly severe. Grid-forming (GFM) converters can provide strong voltage support. When GFM converters are paralleled with grid-following (GFL) converters, they can effectively reduce transient overvoltage. However, hybrid systems involve many parameters and exhibit complex dynamics, making assessment of transient overvoltage difficult. To address this, this paper first uses Thevenin’s theorem to reduce the renewable transmission system to an equivalent model. Next, the voltage assessment of the hybrid system is analyzed across the pre-fault, mid-fault, and post-fault stages of a short-circuit fault. Then, based on the characteristics of a phase-locked loop (PLL), this paper innovatively derives an assessment method for transient overvoltage at the common coupling point (PCC) under different PLL stability conditions. Additionally, the influence of GFL converter parameters, GFM converter parameters, the GFM capacity ratio on transient overvoltage, and the external system reactance are analyzed. Finally, the proposed evaluation method and factor analysis are validated through electromechanical transient simulation using the simulation software STEPS v2.2.0.

1. Introduction

1.1. Background and Motivation

Driven by global energy transition strategies, many countries are accelerating the deployment of power systems dominated by renewable sources such as wind and solar. The rapid increase in renewable energy capacity has profoundly altered the power system dynamics [1,2]. Traditionally, the power grid relies on synchronous generators (SGs) to provide steady voltage support, whereas the large-scale renewable energy base must rely on power electronic converters to support voltage. Converter dynamics depend on their control modes, which can be divided into two main categories: grid-following (GFL) converters [3,4,5] and grid-forming (GFM) converters [6,7,8]. These two converters exhibit distinct dynamics, and their interaction makes the hybrid GFL and GFM system characteristics more complicated.
The complex control dynamics of power electronic converters presents critical challenges to power system security and stability. During fault conditions, the control strategies of different converters have varying responses [9]. While GFL converters maintain grid synchronization through a phase-locked loop (PLL), GFM converters exhibit autonomous voltage source characteristics. The parameters of the hybrid system are numerous and the control characteristics are coupled, resulting in complex voltage transient processes when encountering faults [10]. Therefore, the transient voltage assessment and influencing factors analysis of the hybrid system face severe challenges.

1.2. Literature Review and Research Gap

To address these issues, many studies have been conducted. Regarding hybrid GFL and GFM system analysis, ref. [11] utilized the phase plane method and phasor diagram method to analyze the transient stability of hybrid systems. Ref. [12] focuses on small-disturbance stability, demonstrating that strategically deploying GFM converters in large-scale renewable systems can strengthen the grid and mitigate PLL-related instability risks. Most of the current work, as in [13,14], focuses on studying the stability of PLLs when a GFL converter is used alone. The mechanism of transient overvoltage when GFL and GFM converters are connected in parallel is not clear. In terms of transient overvoltage assessment, ref. [15] proposed a transient voltage stability assessment method that takes into account topological changes by utilizing deep transfer learning and parameter fine-tuning. Ref. [16] proposed a method for effectively calculating overvoltage that only requires the equivalent parameters of the AC system and the operating parameters of the DC system. Ref. [17] starts with the mechanism of transient overvoltage and introduces a method based on generalized short-circuit ratio for overvoltage (gSCR-TOV) to quantify the risk of overvoltage. The mechanisms and influencing factors of transient overvoltage under typical faults such as commutation failure and DC blocking are discussed in Refs. [18,19], and corresponding suppression strategies are proposed. On the influence of factors, ref. [20] analyzed the influence of the key parameters of PLL on the transient characteristics of GFL converters, finding that reducing the integral coefficient of the PLL can enhance the transient stability. Ref. [21] proved the influence of reactive power loops on the transient stability of GFM converters, constructing a stability criterion based on the Lyapunov function. Ref. [22] verified through experimental comparison that standalone inverters have better stability and provide overall better power quality than grid-tied inverters. Ref. [23] demonstrated through experiments that implementing both storage components (i.e., battery and supercapacitor) enhances the voltage in the presence of rapid fluctuations in the renewable station.
At present, research mainly focuses on analysis of transient overvoltage in conventional GFL systems. The current research has not deeply considered the characteristics of the converter and the stability of the PLL, and there is a lack of research on the assessment and influencing factors analysis of transient overvoltage in hybrid GFL and GFM systems.

1.3. Contributions

The contributions of this paper are as follows:
(1)
Based on the characteristics of the renewable energy station, this paper simplifies and makes assumptions for large-scale renewable energy transmission systems, GFL converters, and GFM converters, and it proposes a simplified model of a hybrid GFL and GFM converters station.
(2)
Using phasor diagrams and circuit theorem, we propose a transient overvoltage assessment method applicable to different PLL stability conditions.
(3)
We analyze the influencing mechanisms of the converter parameters, the capacity ratio of GFL and GFM converters, and the external system on overvoltage, and we propose measures to reduce overvoltage for each of them.

1.4. Paper Organization

Section 1 introduces the research background, literature review, and contributions of this paper. Section 2.1 and Section 2.2 introduce the modeling methods for hybrid systems, including converter control modes and system simplification assumptions. Section 2.3 presents the transient overvoltage assessment procedure for different PLL stability conditions across the pre-fault, mid-fault, and post-fault stages. Section 2.4 analyzes the influencing mechanisms of different factors on overvoltage. Section 3 validates the theoretical findings and proposed methods through simulations. Section 4 summarizes the research conclusions and suggests directions for future work.

2. Materials and Methods

2.1. Converter Control Mode

Figure 1 illustrates the control mode structure of the GFL converter. The PLL tracks the phase of the voltage U1θ1 at the common coupling point (PCC) and outputs θPLL. The current control loops yield the active and reactive currents Id and Iq, respectively. The GFL converter can be represented as an equivalent current source [24]; the magnitude ITerminal and the phase angle j of its terminal-injected current are calculated according to Equation (1):
I Terminal = I d 2 + I q 2 φ = arctan I q I d
In Figure 1, U1,d and U1,q are the d-axis and q-axis components of the voltage tracked by the PLL, respectively; kp and ki denote the proportional and integral gains of the PLL, respectively; ωg, ωPLL, and ωb are the per-unit values of the nominal grid angular frequency, the PLL output angular frequency, and the base angular frequency, respectively; P*GFL and PGFL represent the commanded and actual active power values of the GFL converter, respectively; Q*GFL and QGFL are the commanded and actual reactive power values, respectively; Id,ref and Iq,ref are the reference values of the active and reactive currents, respectively; and PI denotes a proportional–integral control block.
The most widely adopted control mode for GFM converters is the virtual synchronous generator (VSG) control, which emulates the operational characteristics of a synchronous machine and provides inertia and damping features [25]. The control modes of GFM converters also include droop control, power synchronization control, virtual oscillator control, and matching control. However, due to their identical external characteristics, this paper only analyzes the VSG-controlled converter. The VSG control structure is shown in Figure 2. Because the inner voltage and current loops respond very quickly, they can be regarded as ideal. Consequently, the external characteristic of the GFM converter is equivalent to a controlled voltage source [26].
In Figure 2, P*GFM and PGFM are the commanded and actual active power values for the GFM converter, respectively; J is the inertia constant; D is the damping coefficient; ωGFM is the angular frequency output by the active power loop; Q*GFM and QGFM are the commanded and actual reactive power values, respectively; Kq is the reactive power droop coefficient; Uref is the nominal voltage magnitude; UM,ref is the reference voltage magnitude; UM,dq and IM,dq denote the dq-frame output voltage and current of the GFM converter, respectively; and UGFM and δM are the magnitude and phase angle of the GFM converter’s output voltage, respectively.

2.2. Hybrid GFL and GFM System

Due to differences in terrain conditions, the topology of renewable energy transmission systems exhibits significant diversity. Different landforms, such as mountains, deserts, and coasts, directly affect the layout of power transmission corridors, resulting in different topological structures such as long chains, radiating patterns, or mixed networks. Figure 3 represents the structural diagram of a typical renewable energy transmission system.
Assuming that the system includes m stations, the stations are connected to the grid and collected through transmission lines. The impedance influence of external station i can be ignored, and only the system topology part should be considered. The resistance value in the system is relatively small and can also be ignored.
Thevenin’s theorem applies to networks that only contain linear elements and satisfy the superposition principle. It requires that the network can contain independent sources internally, but the network itself must be linear and time-invariant. The advantage of Thevenin’s equivalence lies in the fact that when analyzing an external system, only two components need to be faced, greatly simplifying the circuit and reducing its complexity, which can significantly improve design efficiency. Obviously, the external transmission system in this paper can be simplified as a Thevenin equivalent circuit. Therefore, through equivalence, the external Thevenin reactance of station i is Xi, and the power source is Ugrid.
Based on the analysis in Section 2.1, the GFL and GFM converters can be represented by an equivalent current source ITerminal∠(φ+θPLL) and an equivalent voltage source UGFMδM, respectively. Therefore, we can equate station i in Figure 3 and Figure 4. The GFL and GFM converters are connected in parallel at the PCC and then collected via transmission lines before being fed into the main grid. To date, the majority of studies on hybrid GFL and GFM systems have adopted this model.
In Figure 4, Udc is the DC voltage, while Rf1, Lf1, Rf2, and Lf2 are the filtering resistance and capacitance of GFL and GFM converters, respectively. The base capacity of the system is Sbase. The capacity of the GFL converters is SGFL, and their output current magnitude is IL = ITerminal(SGFL/Sbase). The capacity of the GFM converters is SGFM, and its internal reactance is XGFM. When calculated to the system capacity, XM = XGFM (Sbase/SGFM). The outgoing transmission-line reactance is XLine. The external system’s Thevenin reactance is Xi. The total reactance of the line Xg = (XL + Xi), and the grid voltage is Ugrid∠0°.
The hybrid system involves numerous parameters and complex control dynamics. To simplify the analysis, the following assumptions are made:
(1)
A three-phase short-circuit fault occurred in the transmission line outside the station. Assuming that the voltage at the PCC drops below the low-voltage ride-through (LVRT) threshold. Both GFL and GFM converters switch to LVRT mode during the fault and enter LVRT recovery mode after fault clearance. Due to the fact that the control strategy change process belongs to the electromagnetic transient process, it can be ignored when studying the overvoltage at the electromechanical transient scale.
(2)
To ensure rapid response, the current control loop bandwidth of GFL converters typically ranges from tens to hundreds of hertz. Conversely, the PLL bandwidth is usually set between a few and several tens of hertz to suppress harmonics and noise. Because the current-loop bandwidth is several times that of the PLL, when studying the characteristics of the PLL, the current loop regulation process can be ignored, and it is considered that the current loop has reached a steady state, that is, Id = Id,ref, Iq = Iq,ref.
(3)
The GFM converters are assumed to have a high overcurrent capability, ensuring that UGFM remains essentially constant. Moreover, their large inertia constant keeps the power angle δM almost unchanged during faults. It can be considered that the δM during the fault period is equal to the steady value δM0 before the fault.

2.3. Transient Overvoltage Analysis and Assessment of Hybrid GFL and GFM System

2.3.1. Pre-Fault

By representing the GFL converter as a current source and the GFM converter as a voltage source, their nonlinear characteristics are effectively linearized. Consequently, the superposition theorem can be used to first analyze each component’s individual influence and then to assess their combined coupling effect.
Before the fault occurs, the system is in a steady state. As shown in Figure 4, according to the circuit superposition theorem, the voltage at the PCC is the sum of various power components at the station, as expressed below:
U 1 θ 1 = U L ( φ + θ PLL + 90 ° ) + U M δ M + U g 0 °
where UL, UM, and Ug are the amplitudes of the voltage phasors generated by the GFL converter, the GFM converter, and the power grid at the PCC, respectively. Their values are UL = XMXgIL/(XM + Xg), UM = XgUGFM/(XM + Xg), and Ug = XMUgrid/(XM + Xg).
The phasor diagram of the system during steady state before the fault can be derived from Equation (2) and is shown in Figure 5, where dGFL and qGFL represent the d-axis and q-axis of the GFL converter, respectively, with the directions of Id > 0 and Iq > 0 defined as the positive directions of the d-axis and q-axis. It can be deduced from the dq transformation that, under the GFL converter output condition, Id > 0, Iq < 0, and j < 0.
Based on the phasor relationship shown in Figure 5, the phase angle and amplitude of the voltage at the PCC can be derived as expressed in Equations (3) and (4):
θ 1 = arctan [ U L sin ( φ + θ PLL + 90 ° ) + U M sin δ M U g + U M cos δ M + U L cos ( φ + θ PLL + 90 ° ) ]
U 1 = U L cos ( φ + θ PLL + 90 ° θ 1 ) + U M cos ( δ M θ 1 ) + U g cos θ 1
Equation (2) is derived solely from the circuit superposition theorem, while Equations (3) and (4) are obtained from Equation (2) through phasor analysis. Therefore, they are still applicable during the transient processes both during and after the fault clearance. However, it should be noted that, in different transient processes, some variables in Equations (3) and (4) will continuously change, but they may not be directly obtained. To evaluate transient overvoltage and explore the influence of various parameters, the transient variation processes of each quantity are analyzed below.

2.3.2. Mid-Fault

As shown in Figure 3, when a short-circuit fault occurs in a certain part of the system, the Thevenin impedance changes to Xi and the voltage drops to Ugrid. At the same time, Xg becomes Xg = (XL + Xi), and the unit enters LVRT. At this time, the voltage Ug = XMUgrid/(XM + Xg). From Equation (3), it can be seen that θ increases. Due to the fact that θPLL is a state variable and cannot undergo sudden changes, at this point θ1 > θPLL, the relationship between the phasors is shown in Figure 6.
The existence of a PLL balance point during faults is conditional [27]. Under low-voltage conditions, the PLL may not accurately track the phase of the power grid, posing a risk of instability. Therefore, the following will determine whether the PLL can maintain stability during the fault period:
The tracking target of the PLL is θPLL = θ1. When this equation holds during the fault period, it can be considered that the PLL has a balance point and can maintain stability. Firstly, we can assume that the PLL remains stable during the fault, which means θ1 = θPLL; substituting this into Equation (4) and simplifying it yields
sin θ PLL ( U g + U M cos δ M ) cos θ PLL U M sin δ M = cos θ PLL U L cos ( θ PLL + φ ) + sin θ PLL U L sin ( θ PLL + φ )
Using the identity cosφ = cosθPLLcos(θPLL + φ) + sinθPLLsin(θPLL + φ) and collecting the terms containing UL, we obtain
( U g + U M cos δ M ) sin θ PLL U M sin δ M cos θ PLL = U L cos φ
Equation (6) is of the form Asinx − Bcosx = C. By introducing the magnitude R and phase φ, it can be rewritten as follows:
R = ( U g + U M cos δ M ) 2 + ( U M sin δ M ) 2 ϕ = arctan ( U M sin δ M U g + U M cos δ M )
The equation simplifies to
R sin ( θ PLL ϕ ) = U L cos φ
To make Equation (8) solvable, the following condition must be satisfied:
sin ( θ PLL ϕ ) = U L cos φ R 1
U L cos φ U g 2 + 2 U g U M cos δ M + U M 2
By substituting Ug, UM, and UL into Equation (10), the condition for the PLL to maintain stability is simplified as follows:
I d , ref ( U grid X g ) 2 + 2 U grid U GFM cos δ M X M X g + ( U GFM X M ) 2
The satisfaction of Equation (11) divides into two cases: (a) Satisfied: the PLL reaches a stable state; (b) Unsatisfied: the PLL loses stability. As Equations (3) and (4) show, the transient overvoltage magnitude U1 can only be obtained after θPLL is known. Therefore, θPLL is solved below according to whether the PLL remains stable.
(1)
When the PLL is Stable:
As shown in Figure 6, there is a difference between θPLL and θ1 at the moment of fault. When the PLL can remain stable, as the PLL tracks θ1, the difference between the two gradually decreases. It can be considered that there is θPLL = θ1 before the fault is cleared. At this time, the phasor diagram is shown in Figure 7.
When Equation (11) is satisfied, the PLL remains stable, and the solution of Equation (8) is
θ PLL = ϕ + arcsin ( U L cos φ R ) + 2 k × 180 ° ( k Z )
or
θ PLL = ϕ arcsin ( U L cos φ R ) + ( 2 k + 1 ) × 180 ° ( k Z )
During the fault, the PLL is stable and satisfies 0° < θ < 90° and 0° < φ < δM = δM0 < 90°. We can derive −90° < (θPLL − φ) < 90°. Therefore, k = 0, and Equation (13) can be discarded. Substituting φ into Equation (12) yields
θ PLL = arctan ( U M sin δ M 0 U g + U M cos δ M 0 ) + arcsin ( U L cos φ U g 2 + 2 U g U M cos δ M 0 + U M 2 )
(2)
When the PLL is Unstable:
In the PLL diagram of Figure 1, the input voltage U1d1 is transformed by inverse dq to output U1,q, and then the wPLL is obtained. Finally, the phase angle qPLL is obtained through the integration process.
As can be seen from the PLL control block diagram in Figure 1,
θ · PLL = k p U 1 , q + k i U 1 , q
By decomposing Equation (2) into d-axis and q-axis components, U1,q can be obtained:
U 1 , q = I d , ref X M X g X M + X g U GFM sin ( δ M θ PLL ) X g X M + X g U grid sin θ PLL X M X M + X g
Substitute UM, Ug, and Equation (16) into Equation (15) to obtain
θ · · PLL = k P ( U M cos ( θ PLL δ M ) θ · PLL + U g cos θ PLL θ · PLL ) + k i ( I d X M X g X M + X g U M sin ( θ PLL δ M ) U g sin θ PLL )
When the balance point does not exist, the phase of the PLL approximately exhibits a power-function-level monotonic change and diverges. According to the assumption analysis in the previous section, the bandwidth of the PLL is generally between a few hertz and several tens of hertz. Therefore, the phase angle qPLL output by the PLL does not change significantly in a short period of time. Therefore, in Equation (17), the θPLL can be replaced by its initial value θPLL0 before the fault. The current loop regulation speed is fast, and it can be considered as Id = Id,ref. Therefore, a differential equation with variable coefficients can be transformed into a second-order linear differential equation with constant coefficients. Simplifying Equation (17) into Equations (18) and (19), we can obtain
θ · · PLL + C 1 θ · PLL = C 2
C 1 = k P ( U M cos ( θ PLL 0 δ M 0 ) + U g cos θ PLL 0 ) C 2 = k i ( I d , ref X M X g X M + X g U M sin ( θ PLL 0 δ M 0 ) U g sin θ PLL 0 )
By substituting the initial values and derivative initial values, we can obtain:
K 1 = θ PLL 0 C 2 / C 1 θ · PLL 0 C 1 K 2 = C 2 / C 1 θ · PLL 0 C 1
The complete solution of Equation (18) is:
θ PLL ( t ) = K 1 + K 2 e C 1 t + C 2 C 1 t
Assuming that θPLL > θ1 before the fault is cleared, the phasor diagram is shown in Figure 8.

2.3.3. Post-Fault

After the fault is cleared, the grid voltage support is restored. When the GFL converter enters LVRT recovery mode, the output Iq is still greater than the steady-state value, which has a significant supporting effect on the voltage and causes transient overvoltage. Figure 9 shows the phasor diagram at the moment of fault clearance when the PLL is stable.
At the moment of fault clearance, Ug returns to Ug. According to Equation (3), θ1 decreases instantly, while θPLL cannot suddenly change. This causes PLL deviation and results in inaccurate output current of the GFL converter, which may worsen or alleviate transient overvoltage [15]. Let θ = θPLLθ1, −180° ≤ θ ≤ 180°. At the moment of fault clearance, Equation (4) shows the relationship between the voltage support effect of the GFL converter and θ.
When the PLL is stable, θ > 0 during the fault clearance period is beneficial for alleviating overvoltage. When the PLL is unstable, it may lead to −2φ − 180° < θ < 0, further worsening overvoltage. Therefore, when evaluating overvoltage, it is necessary to correct the PLL deviation. The transient overvoltage assessment process, taking into account PLL stability and deviation, is shown in Figure 10.

2.4. Analysis of Overvoltage’s Influencing Factors

From the analysis in the previous section, it can be seen that the parameters and characteristics of GFL and GFM converters have a significant influence on transient overvoltage. Therefore, this section explores the specific effects of each factor and proposes measures to reduce transient overvoltage.

2.4.1. The Parameters of Converters

(1)
The GFL Converters:
After the fault is cleared, the reactive current Iq output by GFL converters cannot quickly retract, resulting in reactive surplus, which is the fundamental cause of transient overvoltage. The amplitude and retraction speed of Iq are directly related to the magnitude and duration of overvoltage. Therefore, analysis will be conducted from two perspectives: reducing the amplitude of Iq, and accelerating the speed of Iq retraction.
The amplitude of Iq depends on the control parameters during LVRT, as shown in Equation (22):
I q , ref = k 1 ( U in U 1 ) + k 2 I q , 0 + I q , set
where k1, k2, and k3 are all reactive current coefficients; Uin is the threshold value for LVRT; Iq,0 is the initial value of reactive current; and Iq,set is the set value of reactive current.
Reducing both the reactive current coefficient and the initial set values can reduce Iq. However, a low Iq means that the voltage support capability of the GFL converter is also low, which is not conducive to the voltage recovery and may lead to unit disconnection [28]. Taking wind units as an example, according to the technical regulations, when a short-circuit fault occurs and the voltage is between 20% and 90% of the nominal voltage, the reactive current per unit provided by the unit should satisfy Equation (23). Therefore, the amplitude of Iq needs to be comprehensively considered in conjunction with the voltage support capability during the fault period and the transient overvoltage level.
I q , ref 1.5 × ( 0.9 U g )
The retraction speed of Iq depends on the parameters during the LVRT recovery mode. The Tq determines the time required for the reactive current to retract to normal levels. Therefore, reducing Tq can increase the rate of change in Iq, thereby shortening the duration of transient overvoltage. However, rapid changes in Iq may cause voltage oscillations, affecting the normal operation. Therefore, when setting parameters, it is necessary to comprehensively consider transient overvoltage and the stability of the converter.
(2)
The GFM Converters:
In actual operation, the GFM converters may experience overcurrent, affecting UGFM and its voltage support capability. Therefore, the next step is to explore the influence of overload current on UGFM.
Common technical specification requires the GFM converter to operate for at least 2 s under 2 times the overload current. Currently, mainstream GFM converters can achieve 10 s of operation under 3 times the overload current. When the current exceeds the threshold, it will switch to the current-limiting control mode, and the UGFM will not be able to remain constant, resulting in significant changes in voltage support capability. The current overload parameter of GFM converters is commonly represented by Imax. During fault periods, when Imax is not limited, the output current is Im. When the current limit is Imax (Imax < Im), the internal potential can no longer be maintained at UGFM, but at (Imax/Im)UGFM. When Imax < Im, as Imax increases, the GFM converter can be regarded as a voltage source with an internal potential approaching UGFM. When ImaxIm, the converter can be considered to be an ideal voltage source. The control modes are shown in Figure 11.
During the fault period, the GFM converter has two modes (current-limiting and non-current-limiting), which depend on the parameter Imax. Raising the Imax of the GFM converter strengthens its voltage support during faults and alleviates post-fault overvoltage. However, as Imax increases, the costs also rise. Therefore, in actual configuration, it is necessary to consider both the voltage support benefits and economic investment.

2.4.2. The Capacity Ratio of GFL and GFM Converters

As the capacity of GFM converters increases, they can provide stronger voltage support and reduce transient overvoltage. Therefore, the following will calculate the capacity ratios of GFL and GFM converters that can meet the transient overvoltage constraints.
Assuming that the voltage safety threshold at the PCC is Usafe, the total capacity of the system is nSbase, the capacity of the GFL converters is SGFL, and the capacity of the GFM converters is SGFM. Substituting SGFL + SGFM = nSbase, IL = ITerminal(SGFL/Sbase) and XM = XGFM(Sbase/SGFM) into Equation (4), we can assess the transient overvoltage that takes into account the capacity ratio of GFL and GFM converters.
The capacity ratio of GFM converters is assumed to be η. The cost of GFM converters is relatively high, so it is necessary to minimize η while meeting the requirements of transient overvoltage. Therefore, the following analysis shows the minimum value of η when the most severe metallic short-circuit fault occurs; that is, Ug = 0. At this capacity ratio, when other short-circuit faults occur, the PCC voltage can meet the requirements of transient overvoltage.
When Ug = 0, it can be considered that GFM converters only output reactive current Iq and the amplitude of Iq reaches its maximum: Iq,ref = ITerminal = Iq,max, Id,ref = 0, φ ≈ −90°. From Equation (11), it is evident that the PLL can maintain stability. Then, we substitute Ug = 0 into Equation (14) to obtain the pre-fault-clearance θPLL = θ1 = δM. According to the cosine theorem, we can derive
U 1 = U g 2 + ( U M + U L ) 2 + 2 U g ( U M + U L ) cos δ M
Since 0° ≤ δM ≤ 90° and 0 ≤ cosδM ≤ 1, then there is:
U 1 U g + U M + U L
By substituting Ug, UM, UL, SGFL + SGFM = nSbase, and their respective quantities into Equation (4), we can obtain the capacity ratio of GFM converters under voltage transient constraints, as follows:
η 1 = X GFM ( n X g I q , max + U grid U safe ) n X g ( U safe + X GFM I q , max U GFM )
In addition to transient overvoltage constraints, renewable energy units should also meet the constraint of not disconnecting from the grid after encountering short-circuit faults. When the fault occurs, Ugrid = 0, Xi = 0, and the GFL converter has no voltage support capability (UL = 0). The minimum voltage at the PCC for renewable energy units that are not disconnected from the grid is Umin. Substituting each quantity into Equations (3) and (4), it can be calculated that the minimum capacity ratio of GFM converter h2 is
η 2 = X GFM U min n X L ( U GFM U min )
Taking into account the transient overvoltage constraint and the constraint of the unit not disconnecting from the grid, the capacity ratio of GFM converters of station i should be ηi. Meanwhile, the ratio of GFL converters is (1–ηi).
η i = max ( η 1 , η 2 )

2.4.3. The Influence of External System

Here, 1/Xg denotes the external voltage support strength of station i; the larger 1/Xg is, the stronger the grid’s support to the station. The grid component of the voltage at the PCC is Ug = XMUgrid/(XM + Xg), As the grid’s support gradually weakens, the station’s transient voltage characteristics become increasingly dominated by the GFL and GFM converters. For station i, Xg is determined by the outgoing transmission-line reactance XLine and the external system’s Thevenin reactance Xi. The roles of these two components are analyzed separately below.
(1)
XLine:
A larger external transmission-line reactance XLine of hybrid GFL and GFM station i leads to a larger Xg and, thus, reduces the grid’s voltage support strength, weakening the coupling between the station and the grid. Moreover, a higher XLine causes a larger power-angle difference across the line, severely affecting the system’s synchronizing stability. The most effective way to reduce XLine is to shorten the distance between the station and the grid. However, when long transmission lines are unavoidable—to maximize wind and solar resource utilization—XLine can still be lowered by decreasing the line’s reactance per unit length, employing bundled conductors, or using expanded-diameter conductors.
(2)
Xi:
The system topology and the capacity of GFM converters both influence the external Thevenin reactance Xi of station i. The influence of GFM capacity has been analyzed in Section 2.4.2, so this section focuses solely on the influence of system topology. Common topologies for renewable energy transmission systems include radial and long-chain configurations, as illustrated in the following Figure 12:
In a radial transmission system, stations are closely connected, with short electrical distances. This results in lower external Thevenin impedance compared to a long-chain system, providing stronger grid support. Conversely, in a long-chain system where stations are connected one after another, the longer electrical distance to the main grid leads to higher Thevenin impedance and weaker voltage support. Faults at the end of a long chain can lead to weak voltage support and potential unit disconnection. However, geographical factors limit the application of radial topology to open plains and renewable-energy-rich areas, while long-chain topology suits narrow terrain.
In conclusion, according to Equation (4), when the PLL is stable, the maximum external system reactance that ensures that the voltage at the PCC is lower than Usafe can be calculated. However, the PLL stability analysis of the hybrid system in Equation (11) shows that, as Xg increases, the PLL of the internal GFL converters becomes increasingly prone to instability. As discussed in Section 2.3.3, once the PLL loses stability, a PLL deviation within −2φ − 180° < θ < 0 can further worsen transient overvoltage. Therefore, in practical station construction, the line reactance should be chosen even smaller than the value obtained from the above equation to account for PLL stability constraints.

3. Results

To verify the correctness of the theoretical analysis mentioned above, an example for the electromechanical simulation was constructed based on STEPS v2.2.0 [29], as shown in Figure 4. The parameters of the station and converters are shown in Table 1. At 1 s, a three-phase short-circuit fault is set, with Xg = 0.5 and Ugrid = 0.33. The fault is cleared after 0.2 s.

3.1. Transient Overvoltage Assessment Under Different PLL Stability

(1)
Verification of Assessment Method when the PLL is Stable:
The basic parameters satisfy Equation (11), and the PLL is stable. Calculate θPLL using Equation (14) and obtain Figure 13a. According to Equation (3), at the instant the fault occurs, θ1 jumps abruptly. However, θPLL is a state variable that cannot change instantaneously. It gradually tracks θ1, and once θPLL converges to θ1, the two angles settle at the assessed value, thereby validating Equation (14).
Using the method described in Section 2.3.3 to evaluate transient overvoltage, substitute various quantities into Equation (11) at other times to directly calculate the voltage, and obtain the voltage assessment value in Figure 13c. At every instant, the assessed voltages match the simulated values closely, confirming the accuracy of the assessment method.
Meanwhile, in order to further verify the correctness of the voltage assessment method, we compared it with the voltage assessment method in [19]. The reactive power at the PCC is shown in Figure 13b. The short-circuit capacity Sc at the PCC is 300 MVA. According to [19], the voltage based on reactive power and short-circuit capacity can be obtained as follows:
U 1 = 1 + Δ Q S c
As shown in Figure 13c, the result of the comparative assessment matches the value obtained by the proposed voltage assessment method, confirming the accuracy of the latter. However, in hybrid renewable systems, the post-fault reactive power change at the PCC cannot be predetermined. Therefore, the comparative assessment is applicable only to simulation studies and cannot account for PLL instability effects. The assessment method presented here allows planners to assess the transient overvoltage level under different PLL stability conditions during the planning stage, offering broader applicability.
(2)
Verification of Assessment Method when the PLL is Unstable:
Let Id,ref = 0.85 and SGFM = 2.0 MW, so that Equation (11) is not satisfied and the PLL is unstable. At this point, the simulation values and assessed values are shown in Figure 14.
From Figure 14a, it can be seen that the phase angle shows a divergent and increasing trend when the PLL is unstable, and there is a deviation between the simulation value and the assessed value. The reasons may include the following: (1) The full-order model of the PLL is simplified to a second-order model, ignoring the influence of other control links. (2) Assuming that the coefficients of the second-order differential equation are constants, the influence of phase changes on the equation is ignored, but the above deviation is relatively small and does not affect the assessment of transient overvoltage. As shown in Figure 14b, the assessed value is essentially equal to the simulation value, which verifies the correctness of the voltage assessment method when the PLL is unstable.

3.2. Verification of the Influence of Converter Parameters

(1)
The influence of GFL Converter Parameters:
In the example, by changing the reactive current coefficient to alter the output Iq, the PCC voltage at different Iq values is simulated, as shown in Figure 15. It should be noted that, for the convenience of analysis, the following Iq only represents the amplitude of the reactive current output of the GFM, and it does not focus on its direction.
As Iq increases, the voltage support capability of the GFL converter improves, and the PCC voltage increases before fault clearance. The transient overvoltage after fault clearance also increases accordingly. The voltage magnitude is proportional to the Iq, consistent with theoretical analysis.
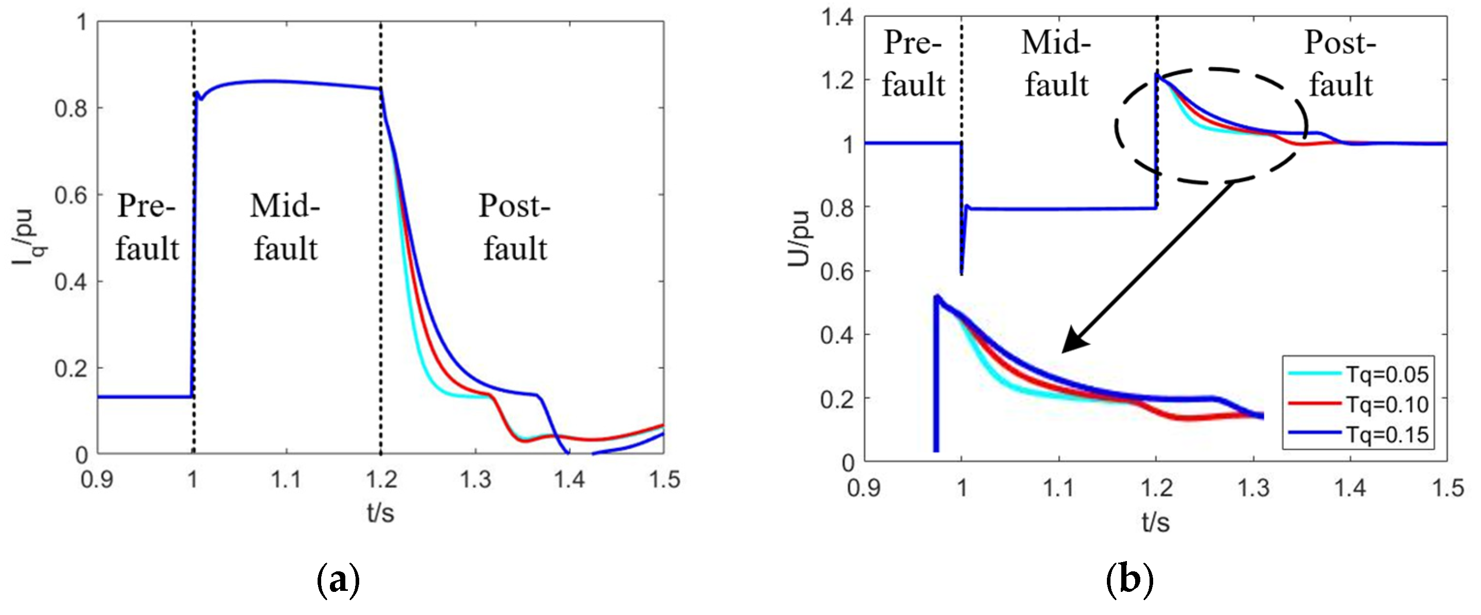
By changing Tq, Figure 16 was simulated. From Figure 16a, it can be seen that as Tq decreases, the duration of Iq retraction becomes significantly shorter and the current retraction speed increases. Therefore, from Figure 16b, it can be seen that the reduction in Tq can significantly shorten the duration of transient overvoltage, which is also consistent with the theoretical analysis results.
(2)
The Influence of GFM Converter Parameters:
When the current overload multiple is not limited in the example, the maximum output current Im is 3.5 pu. By changing Imax, Figure 17 was obtained. When Imax < 3.5 pu, the GFM converter is in current-limiting mode. Increasing Imax can improve its voltage support capability and suppress transient overvoltage. However, when Imax > 3.5 pu, the GFM converter is in an unrestricted current mode, and its voltage support capacity reaches its maximum value, no longer changing with the increase in Imax. The simulation results are consistent with the theoretical analysis.

3.3. Influence of the Capacity Ratio of GFL and GFM Converters

By changing the capacity ratio of SGFL and SGFM while keeping the total capacity nSbase constant, the voltage at the PCC under different GFM converter capacity ratios can be obtained, as shown in Figure 18. As hi increases, the PCC voltage at the moment of the fault significantly increases, and the transient overvoltage significantly decreases, consistent with theoretical analysis.
Taking the maximum output reactive current Iq,max as 1.2 pu, the basic parameters remain unchanged. Substituting each quantity into Equations (26)–(28), we can calculate that the capacity ratio of the GFM converters should be more than 14.4%. We constructed a hybrid station example with hi = 14.4%. When the short-circuit fault occurs and Ugrid = 0, the simulated voltage at the PCC is as shown in Figure 19. The transient overvoltage is 1.17 pu, which is lower than 1.3 pu, verifying the correctness of Equation (28).

3.4. Verification of the Influence of External Systems

Because Xg = XLine + Xi, XLine and Xi are equivalent to Xg in the system simulation. By changing the size of the parameter Xg, the influence of the length and topology of the transmission line outside station i can be reflected. In order to investigate only the influence of external reactance, it is assumed that a three-phase short-circuit fault occurs at the PCC with a grounding reactance of 0.5, and that the other parameter conditions are the same as in Table 1. By changing the parameter Xg, Figure 20 can be obtained through simulation.
As can be clearly seen from the above figure, with the increase in Xg, the voltage support capacity of the power grid for the station is significantly weakened. As Xg increases, the specific changes in the terminal voltage are as follows: during the fault period, the voltage support provided by the power grid decreases, and the terminal voltage drops significantly; after the fault is cleared, the transient overvoltage at the PCC significantly increases.
The above simulation results are consistent with the theoretical analysis, further verifying the influence of the external topology parameter Xg on the terminal voltage in Section 2.4.3. Based on theoretical analysis and practical simulation, strengthening the connection between the station and the power grid is an effective means to ensure voltage stability.

4. Conclusions

This paper proposes a transient overvoltage assessment method for hybrid GFL and GFM systems, and it analyzes the influence of different factors on transient overvoltage. The conclusions were verified through electromechanical transient simulation. The main conclusions drawn are as follows:
  • Simplify the complex transmission system based on Thevenin’s theorem and the control characteristics of the converter, and obtain the hybrid GFL and GFM converter station model. This can reflect system characteristics while reducing complexity.
  • Based on simplified models and assumptions, a transient overvoltage assessment method for the PCC in hybrid stations with different PLL stability is proposed using circuit theorems and phasor diagrams.
  • In terms of converter parameters, changing the reactive current coefficient and time constant of the GFL converters can reduce the magnitude and duration of overvoltage, respectively. The influence of the current overload multiple of GFM converters on overvoltage depends on its current-limiting mode.
  • In terms of system parameters, we derived a formula for the capacity ratio of GFL and GFM converters under the constraints of unit non-disconnection and transient overvoltage, which can be used to guide the planning and operation of hybrid stations. Increasing external system reactance will weaken the connection between the station and the system and worsen the transient overvoltage of the PCC.
The proposed transient overvoltage assessment method can be used to quantitatively evaluate the overvoltage level of hybrid GFL and GFM systems, and to guide the parameter configuration and capacity ratio. In terms of limitations, the transient overvoltage assessment method proposed in this paper may not be applicable when the scale of the external transmission system is too large. In addition, further research is needed to investigate the effects of other GFM control models and electromagnetic transient parameters on overvoltage in the future.

Author Contributions

Conceptualization, X.L. and J.C.; methodology, X.L. and C.L.; software, X.L.; validation, X.L. and J.C.; formal analysis, J.C.; investigation, X.L.; resources, C.L.; data curation, C.L.; writing—original draft preparation, X.L.; writing—review and editing, J.C.; visualization, X.L.; supervision, C.L.; project administration, X.L.; funding acquisition, C.L. All authors have read and agreed to the published version of the manuscript.

Funding

This work was supported by the Science and Technology Project of the State Grid Corporation of China [Project Title: “Study on the Design Theory and Stability Analysis Method of the Extremely High Penetration Renewable Power Generation Integrated Power Systems (5100-202355385A-2-3-XG)”].

Data Availability Statement

The original contributions presented in this study are included in the article. Further inquiries can be directed to the corresponding author.

Conflicts of Interest

The authors declare no conflict of interest.

References

  1. Zhang, Z.; Hui, H.; Song, Y. Response Capacity Allocation of Air Conditioners for Peak-Valley Regulation Considering Interaction with Surrounding Microclimate. IEEE Trans. Smart Grid 2024, 16, 1155–1167. [Google Scholar] [CrossRef]
  2. Wang, K.; Wang, C.; Yao, W.; Zhang, Z.; Liu, C.; Dong, X.; Yang, M.; Wang, Y. Embedding P2P transaction into demand response exchange: A cooperative demand response management framework for IES. Appl. Energy 2024, 367, 123319. [Google Scholar] [CrossRef]
  3. Li, Y.; Gu, Y.; Green, T.C. Revisiting Grid-Forming and Grid-Following Inverters: A Duality Theory. IEEE Trans. Power Syst. 2022, 37, 4541–4554. [Google Scholar] [CrossRef]
  4. Huang, L.; Wu, C.; Zhou, D.; Blaabjerg, F. A Double-PLLs-Based Impedance Reshaping Method for Extending Stability Range of Grid-Following Inverter Under Weak Grid. IEEE Trans. Power Electron. 2022, 37, 4091–4104. [Google Scholar] [CrossRef]
  5. Zarei, S.F.; Mokhtari, H.; Ghasemi, M.A.; Peyghami, S.; Davari, P.; Blaabjerg, F. Control of Grid-Following Inverters Under Unbalanced Grid Conditions. IEEE Trans. Energy Convers. 2020, 35, 184–192. [Google Scholar] [CrossRef]
  6. Rosso, R.; Wang, X.; Liserre, M.; Lu, X.; Engelken, S. Grid-Forming Converters: Control Approaches, Grid-Synchronization, and Future Trends—A Review. IEEE Open J. Ind. Appl. 2021, 2, 93–109. [Google Scholar] [CrossRef]
  7. Dong, W.; Diao, H.; Xu, J.; Kang, J.; Lv, Z. Analysis and Parameters Design of Grid-Forming Converter for Enhancing the Stability of Photovoltaic Storage System Under Weak Grid. IEEE Access 2024, 12, 134273–134284. [Google Scholar] [CrossRef]
  8. Song, D.; Zheng, Z.; Ren, J.; Li, C.; Xie, Q. SMES Based Reconfigured Converter Architecture for DFIG to Enhance FRT and Grid Forming Capability. IEEE Trans. Appl. Supercond. 2024, 34, 5402605. [Google Scholar] [CrossRef]
  9. Sun, P.; Xu, H.; Yao, J.; Chi, Y.; Huang, S.; Cao, J. Dynamic Interaction Analysis and Damping Control Strategy of Hybrid System with Grid-Forming and Grid-Following Control Modes. IEEE Trans. Energy Convers. 2023, 38, 1639–1649. [Google Scholar] [CrossRef]
  10. Dai, T.; Xiao, X.; Xie, Q.; Ren, J.; Zheng, Z. Hybrid Grid-Forming and Grid-Following PMSG-SMES Architecture with Enhanced FRT Capability. IEEE Trans. Appl. Supercond. 2024, 34, 5402304. [Google Scholar] [CrossRef]
  11. Li, B.; Gu, T.; Fan, Q.; Xu, C.; Gao, J.; Zhang, H.; Feng, Q. Transient Stability Analysis of Power System with Grid-Forming Renewable Energy Generation Units. In Proceedings of the 2023 IEEE 6th International Conference on Information Systems and Computer Aided Education (ICISCAE), Dalian, China, 23–25 September 2023; pp. 1086–1092. [Google Scholar] [CrossRef]
  12. Yang, C.; Huang, L.; Xin, H.; Ju, P. Placing grid-forming converters to enhance small signal stability of PLL-integrated power systems. IEEE Trans. Power Syst. 2021, 36, 3563–3573. [Google Scholar] [CrossRef]
  13. Tu, C.; Gao, J.; Xiao, F.; Guo, Q.; Jiang, F. Stability Analysis of the Grid-Connected Inverter Considering the Asymmetric Positive-Feedback Loops Introduced by the PLL in Weak Grids. IEEE Trans. Ind. Electron. 2022, 69, 5793–5802. [Google Scholar] [CrossRef]
  14. Chen, F.; Zhao, L.; Harnefors, L.; Wang, X.; Kukkola, J.; Routimo, M. Enhanced Q-Axis Voltage-Integral Damping Control for Fast PLL-Synchronized Inverters in Weak Grids. IEEE Trans. Power Electron. 2024, 39, 424–435. [Google Scholar] [CrossRef]
  15. Li, Y.; Zhang, S.; Li, Y.; Cao, J.; Jia, S. PMU Measurements-Based Short-Term Voltage Stability Assessment of Power Systems via Deep Transfer Learning. IEEE Trans. Instrum. Meas. 2023, 72, 2526111. [Google Scholar] [CrossRef]
  16. Yin, C.; Li, F. Analytical Expression on Transient Overvoltage Peak Value of Converter Bus Caused by DC Faults. IEEE Trans. Power Syst. 2021, 36, 2741–2744. [Google Scholar] [CrossRef]
  17. Xin, H.; Liu, X.; Zheng, D.; Chen, D.; Zhou, Y.; Marshall, B. Risk Assessment of Post-Fault Temporary Overvoltage Using Generalized Short-Circuit Ratio. IEEE Trans. Power Syst. 2024, 39, 1837–1849. [Google Scholar] [CrossRef]
  18. Wessels, C.; Fuchs, F.W. High Voltage Ride Through with FACTS for DFIG-Based Wind Turbines. In Proceedings of the 2009 13th European Conference on Power Electronics and Applications (EPE), Barcelona, Spain, 8–10 September 2009; pp. 1–10. [Google Scholar]
  19. Yin, C.; Li, F. Reactive Power Control Strategy for Inhibiting Transient Overvoltage Caused by Commutation Failure. IEEE Trans. Power Syst. 2021, 36, 4764–4777. [Google Scholar] [CrossRef]
  20. Wu, H.; Wang, X.F. Design-Oriented Transient Stability Analysis of PLL-Synchronized Voltage-Source Converters. IEEE Trans. Power Electron. 2020, 35, 3573–3589. [Google Scholar] [CrossRef]
  21. Shuai, Z.K.; Shen, C.; Liu, X.; Li, Z.; Shen, Z.J. Transient Angle Stability of Virtual Synchronous Generators Using Lyapunov’s Direct Method. IEEE Trans. Smart Grid 2019, 10, 4648–4661. [Google Scholar] [CrossRef]
  22. Naderi, E.; Asrari, A. Experimental Validation oDf Grid-Tied and Standalone Inverters on a Lab-Scale Wind-PV Microgrid. In Proceedings of the 2021 IEEE International Power and Renewable Energy Conference (IPRECON), Kollam, India, 24–26 September 2021; pp. 1–6. [Google Scholar] [CrossRef]
  23. Naderi, E.; Bibek, K.C.; Ansari, M.; Asrari, A. Experimental Validation of a Hybrid Storage Framework to Cope with Fluctuating Power of Hybrid Renewable Energy-Based Systems. IEEE Trans. Energy Convers. 2021, 36, 1991–2001. [Google Scholar] [CrossRef]
  24. Taul, M.G.; Wang, X.; Davari, P.; Blaabjerg, F. An Overview of Assessment Methods for Synchronization Stability of Grid-Connected Converters Under Severe Symmetrical Grid Faults. IEEE Trans. Power Electron. 2019, 34, 9655–9670. [Google Scholar] [CrossRef]
  25. Zhang, J.; Wang, H.; Liu, G.; Tian, G.; Rivera, M.; Wheeler, P. Virtual Synchronous Generator Control Strategy of Grid-Forming Matrix Converter for Renewable Power Generation. IEEE Access 2024, 12, 106672–106684. [Google Scholar] [CrossRef]
  26. Sharma, D.; Sadeque, F.; Mirafzal, B. Synchronization of Inverters in Grid-Forming Mode. IEEE Access 2022, 10, 41341–41351. [Google Scholar] [CrossRef]
  27. Hu, Q.; Fu, L.J.; Ma, F.; Ji, F. Large Signal Synchronizing Instability of PLL-Based VSC Connected to Weak AC Grid. IEEE Trans. Power Syst. 2019, 34, 3220–3229. [Google Scholar] [CrossRef]
  28. Rather, Z.H.; Flynn, D. Impact of Voltage Dip Induced Delayed Active Power Recovery on Wind Integrated Power Systems. Control Eng. Pract. 2017, 61, 124–133. [Google Scholar] [CrossRef]
  29. Li, C.; Wu, Y.; Zhang, H.; Ye, H.; Liu, Y.; Liu, Y. STEPS: A Portable Dynamic Simulation Toolkit for Electrical Power System Studies. IEEE Trans. Power Syst. 2021, 36, 3216–3226. [Google Scholar] [CrossRef]
Figure 1. The control mode of the GFL converter.
Figure 1. The control mode of the GFL converter.
Processes 13 02763 g001
Figure 2. The control mode of the GFM converter.
Figure 2. The control mode of the GFM converter.
Processes 13 02763 g002
Figure 3. The model of the hybrid GFL and GFM system.
Figure 3. The model of the hybrid GFL and GFM system.
Processes 13 02763 g003
Figure 4. The simplified model of a hybrid GFL and GFM converters station.
Figure 4. The simplified model of a hybrid GFL and GFM converters station.
Processes 13 02763 g004
Figure 5. Pre-fault phasor diagram.
Figure 5. Pre-fault phasor diagram.
Processes 13 02763 g005
Figure 6. Phasor diagram at the instant of fault.
Figure 6. Phasor diagram at the instant of fault.
Processes 13 02763 g006
Figure 7. Phasor diagram at the instant before fault clearance under stable PLL.
Figure 7. Phasor diagram at the instant before fault clearance under stable PLL.
Processes 13 02763 g007
Figure 8. Phasor diagram at the instant before fault clearance when PLL is unstable.
Figure 8. Phasor diagram at the instant before fault clearance when PLL is unstable.
Processes 13 02763 g008
Figure 9. Phasor diagram at the instant before fault clearance when PLL is stable.
Figure 9. Phasor diagram at the instant before fault clearance when PLL is stable.
Processes 13 02763 g009
Figure 10. Transient overvoltage assessment process.
Figure 10. Transient overvoltage assessment process.
Processes 13 02763 g010
Figure 11. The control modes of the GFM converter at different Imax.
Figure 11. The control modes of the GFM converter at different Imax.
Processes 13 02763 g011
Figure 12. Radiant and long-chain transmission topologies: (a) radiant; (b) long-chain.
Figure 12. Radiant and long-chain transmission topologies: (a) radiant; (b) long-chain.
Processes 13 02763 g012
Figure 13. Comparison of quantities when PLL is stable: (a) θPLL; (b) reactive power; (c) voltage.
Figure 13. Comparison of quantities when PLL is stable: (a) θPLL; (b) reactive power; (c) voltage.
Processes 13 02763 g013
Figure 14. Comparison between simulated and assessed values when PLL is unstable: (a) angle; (b) voltage.
Figure 14. Comparison between simulated and assessed values when PLL is unstable: (a) angle; (b) voltage.
Processes 13 02763 g014
Figure 15. The influence of Iq.
Figure 15. The influence of Iq.
Processes 13 02763 g015
Figure 16. The influence of Tq: (a) Iq; (b) voltage.
Figure 16. The influence of Tq: (a) Iq; (b) voltage.
Processes 13 02763 g016
Figure 17. The influence of Imax.
Figure 17. The influence of Imax.
Processes 13 02763 g017
Figure 18. The influence of capacity ratio of GFM converters.
Figure 18. The influence of capacity ratio of GFM converters.
Processes 13 02763 g018
Figure 19. Verification of minimum capacity ratio of GFM converters.
Figure 19. Verification of minimum capacity ratio of GFM converters.
Processes 13 02763 g019
Figure 20. The influence of Xg.
Figure 20. The influence of Xg.
Processes 13 02763 g020
Table 1. The parameters of the station and converters.
Table 1. The parameters of the station and converters.
Station ParametersGFL ParametersGFM Parameters
ParameterValueParameterValueParameterValueParameterValueParameterValue
Sbase100 MVAP*GFL70 MWkp20P*GFM6 MWImax99.99
SGFL90 MVAQ*GFL12 MVarPrated2 MWQ*GFM1 MVarPrated2 MW
SGFM10 MVATq0.02 sUin0.9J30.0Uin0.9
XGFM0.1Tp0.02 s D5.0
Xg0.6ki40 Kq0.2
Disclaimer/Publisher’s Note: The statements, opinions and data contained in all publications are solely those of the individual author(s) and contributor(s) and not of MDPI and/or the editor(s). MDPI and/or the editor(s) disclaim responsibility for any injury to people or property resulting from any ideas, methods, instructions or products referred to in the content.

Share and Cite

MDPI and ACS Style

Liu, X.; Cao, J.; Li, C. Transient Overvoltage Assessment and Influencing Factors Analysis of the Hybrid Grid-Following and Grid-Forming System. Processes 2025, 13, 2763. https://doi.org/10.3390/pr13092763

AMA Style

Liu X, Cao J, Li C. Transient Overvoltage Assessment and Influencing Factors Analysis of the Hybrid Grid-Following and Grid-Forming System. Processes. 2025; 13(9):2763. https://doi.org/10.3390/pr13092763

Chicago/Turabian Style

Liu, Xindi, Jiawen Cao, and Changgang Li. 2025. "Transient Overvoltage Assessment and Influencing Factors Analysis of the Hybrid Grid-Following and Grid-Forming System" Processes 13, no. 9: 2763. https://doi.org/10.3390/pr13092763

APA Style

Liu, X., Cao, J., & Li, C. (2025). Transient Overvoltage Assessment and Influencing Factors Analysis of the Hybrid Grid-Following and Grid-Forming System. Processes, 13(9), 2763. https://doi.org/10.3390/pr13092763

Note that from the first issue of 2016, this journal uses article numbers instead of page numbers. See further details here.

Article Metrics

Back to TopTop