Abstract
Deep coalbed methane (CBM) reservoirs are characterized by high hydrocarbon content and are considered an important strategic resource. Due to their inherently low permeability and porosity, horizontal well drilling is commonly employed to enhance production, with the length of the horizontal section playing a critical role in determining CBM output. However, during extended horizontal drilling, wellbore instability frequently occurs as a result of drilling fluid invasion into the coal formation, posing significant safety challenges. This instability is primarily caused by the physical intrusion of drilling fluids and their interactions with the coal seam, which alter the mechanical integrity of the formation. To address these challenges, interpenetrating and semi-interpenetrating network (IPN/s-IPN) hydrogels have gained attention due to their superior physicochemical properties. This material offers enhanced sealing and support performance across fracture widths ranging from micrometers to millimeters, making it especially suited for plugging applications in deep CBM reservoirs. A self-degradable interpenetrating double-network hydrogel particle plugging agent (SSG) was developed in this study, using polyacrylamide (PAM) as the primary network and an ionic polymer as the secondary network. The SSG demonstrated excellent thermal stability, remaining intact for at least 40 h in simulated formation water at 120 °C with a degradation rate as high as 90.8%, thereby minimizing potential damage to the reservoir. After thermal aging at 120 °C, the SSG maintained strong plugging performance and favorable viscoelastic properties. A drilling fluid containing 2% SSG achieved an invasion depth of only 2.85 cm in an 80–100 mesh sand bed. The linear viscoelastic region (LVR) ranged from 0.1% to 0.98%, and the elastic modulus reached 2100 Pa, indicating robust mechanical support and deformation resistance.
1. Introduction
With the continuous advancement of deep coalbed methane (CBM) development, wellbore instability has emerged as a critical technical challenge, particularly during horizontal drilling in complex geological formations [,]. In deep coal seams, the presence of microfractures and weakly cemented coal–gangue interbeds significantly increases the risk of wellbore collapse. Such instability frequently manifests during drilling operations, leading to decreased penetration rates, extended drilling cycles, increased operational costs and most notably, irreversible damage to the reservoir. As development continues to move toward deeper, more technically demanding targets, ensuring both drilling safety and reservoir integrity has become a top priority []. In turn, this has made the selection and optimization of plugging materials a vital component of efficient and sustainable CBM exploitation.
To date, considerable efforts have been made by researchers and engineers to develop effective plugging materials tailored for deep CBM wells []. To address the challenges of frequent fluid losses and inadequate sealing performance in the eastern margin of the Ordos Basin, a multiphase plugging system was designed, consisting of cellulose fibers and carbonate particles []. This system enhanced the adaptability of the plugging layer to various fracture geometries. However, field applications revealed that the structural integrity of the plugging layer deteriorates under elevated temperatures, and a high volume of residual material remained in the formation after flowback, increasing the risk of reservoir impairment [].
Similarly, Keerthana et al. [] investigated the performance of conventional bentonite-based slurries and modified polyacrylamide-based polymer plugging slurries during horizontal drilling in the high-salinity formations of the Shanxi–Shaanxi region. Their findings indicated that these conventional systems exhibited poor shear resistance and unstable pressure-bearing capacity, making them unsuitable for long sealing intervals and dynamic fracture conditions that require high adaptability and mechanical compliance. In another study, Fang et al. [] proposed a pre-crosslinked, high-strength gel material composed of polyacrylamide (PAM) as the base polymer, N,N′-methylenebisacrylamide (MBAA) as the crosslinking agent, and silica-based microgel particles with tunable crosslinking density and particle size to enhance plugging performance. This approach achieved effective bridging and pressure-bearing support in micron-scale fractures. Nonetheless, the single-network structure of the gel was inherently limited in its ability to accommodate shear deformation, and the sealing layer lacked sufficient adaptability under stress fluctuations, highlighting the need for more responsive material systems.
To address the issue of formation damage caused by residual plugging materials, researchers have also explored environmentally responsive plugging technologies. Notably, Xu et al. [] developed a self-degradable polylactic acid (PLA)-based plugging agent (SDPF), which exhibited excellent hydrolysis sensitivity under high-temperature conditions. This material could effectively degrade in situ, removing filter cake residues and preserving the reservoir’s pore network. While promising, the PLA-based plugging agent’s structural strength relied primarily on linear polyester chains, limiting its pressure-bearing capacity and rendering it more suitable for temporary applications rather than the long-term stable plugging of deep, high-stress fractures []. To improve post-treatment control, additional work has focused on modulating hydrolysis-sensitive functional groups and adjusting network architecture to achieve responsive [,,], controllable degradation behavior under harsh downhole conditions, including high salinity and elevated temperature.
From a materials science perspective, interpenetrating and semi-interpenetrating network (IPN/semi-IPN) hydrogels offer a compelling alternative due to their superior mechanical and chemical properties [,]. By combining rigid backbone structures—such as those found in polysaccharides like chitosan or synthetic polymers like polyvinyl alcohol (PVA)—with flexible polymer chains such as polyacrylamide (PAM), semi-interpenetrating polymer network (semi-IPN) hydrogels can form dense and stable force-chain networks capable of withstanding complex downhole stresses []. This synergistic architecture enhances both mechanical strength and deformability, making such hydrogels suitable as high-performance plugging agents in demanding subsurface environments. This architecture enables excellent deformation adaptability and structural integrity, allowing for the effective support and sealing of fractures across a wide range of aperture sizes, from micrometers to millimeters. As such, IPN-based materials are particularly well-suited to meet the demanding requirements of long horizontal section drilling in deep CBM reservoirs.
Building on this approach, Liu et al. [] proposed a degradable semi-IPN plugging agent constructed from a dual network of sodium alginate (SA) and xanthan gum (XG). This system offered a unique balance of mechanical toughness and degradability, ensuring both temporary sealing capacity and subsequent removal to preserve reservoir permeability. This study highlights the feasibility of dual-function plugging agents capable of both forming robust seals and undergoing controlled degradation under specific environmental triggers.
The present study aims to further advance plugging technology for deep CBM applications by designing a thermally responsive, self-degradable interpenetrating network (IPN) hydrogel particle plugging agent. The material architecture integrates polyacrylamide (PAM) as the primary network, known for its strong cohesive properties and chemical stability, and an ionic polymer as the secondary network, selected for its environmental responsiveness and degradability. The resulting interpenetrating double-network gel, referred to as SSG, is engineered to meet the dual demands of high-strength, stable plugging during drilling and controlled degradation during flowback or production phases. This research not only addresses the critical challenge of coupling high-efficiency sealing with low-residue, post-plugging cleanup but also provides a promising pathway for the development of next-generation smart plugging materials tailored to the geomechanical and geochemical complexities of deep coalbed methane reservoirs. By systematically investigating the structure–property–performance relationships of the semi-IPN gel under simulated downhole conditions, this study seeks to provide a technical foundation for scalable field deployment and contribute to safer, cleaner, and more efficient CBM production.
2. Experimental Section
2.1. Materials
Acrylamide (AM, analytical grade, ≥99%, CAS No. 79-06-1) was purchased from Aladdin Biochemical Technology Co., Ltd., Shanghai, China. The ionic high-molecular-weight polymer used in this study was chitosan (analytical grade, degree of deacetylation ≥85%, average molecular weight 200,000–300,000 Da, CAS No. 9012-76-4), also obtained from Aladdin Biochemical Technology Co., Ltd., Shanghai, China.
The crosslinking agent used was N,N′-methylenebisacrylamide (MBA, analytical grade, ≥99%, CAS No. 110-26-9), and the initiator was ammonium persulfate (APS, analytical grade, ≥98%, CAS No. 7727-54-0); both reagents were supplied by Sinopharm Chemical Reagent Co., Ltd., Shanghai, China.
The buffer solution was 0.01 M phosphate-buffered saline (PBS, pH 7.4), prepared using disodium hydrogen phosphate (Na2HPO4) and potassium dihydrogen phosphate (KH2PO4), all of analytical grade and purchased from Sinopharm Chemical Reagent Co., Ltd., Shanghai, China. All aqueous solutions were prepared using distilled water produced in the laboratory.
2.2. Fabrication of Self-Degradable Interpenetrating Double-Network Gel (SSG)
To synthesize the self-degradable plugging agent (SSG), 5.00 g of acrylamide (AM), 1.50 g of chitosan (ionic high-molecular-weight polymer, degree of deacetylation ≥85%), and 2.00 g of bentonite were added to 100 mL of deionized water under magnetic stirring at room temperature until fully dispersed. The pH of the solution was adjusted to 7.4 using 10 mL of 0.01 M (prepared from Na2HPO4 and KH2PO4).
After homogenization, 0.10 g of N,N′-methylenebisacrylamide (MBA, as the crosslinking agent) and 0.05 g of ammonium persulfate (APS, as the initiator) dissolved in 5 mL of deionized water were sequentially added to the reaction system. The mixture was then heated gradually to 60 °C and maintained at this temperature for 4 h to complete the polymerization and form the semi-interpenetrating polymer network hydrogel.
Upon completion of the reaction, the gel was cooled to room temperature, dried at 50 °C to constant weight, and then mechanically crushed into particles. The resulting material was designated as SSG.
2.3. Characterization
In order to determine SSG as the target product, FTIR characterization for SSG was carried out. The SSG powder was thoroughly mixed with spectroscopic-grade potassium bromide (KBr) at a mass ratio of 1:100, and a transparent pellet was prepared using a manual hydraulic press. After thoroughly mixing SSG with potassium bromide and preparing the slide, infrared light scanning was performed. The scanning range was 4000–400 cm−1 and the resolution was 4 cm−1. To analyze the thermal stability of SSG, TGA was carried out. Approximately 5.0 mg of dried and ground SSG sample was placed in a standard Al2O3 crucible. The measurement was carried out under a nitrogen atmosphere (flow rate: 50 mL/min) with the temperature ramped from room temperature to 800 °C at a constant heating rate of 10 K/min.
2.4. Evaluation of Gel Properties of SSG
- (1)
- Swelling Behavior
To evaluate the swelling capacity of the SSG gel, 1.00 g of dried SSG sample was immersed in excess deionized water at room temperature. At predetermined time intervals—every 2 h within the first 16 h and subsequently every 8 h up to a total immersion time of 24 h—the swollen gel was removed, gently blotted with filter paper to remove surface moisture, and weighed. The swelling ratio was calculated based on the weight gain of the gel relative to its initial dry weight, thereby establishing the relationship between the swelling ratio and immersion time.
- (2)
- Viscoelastic Properties
- ①
- Linear Viscoelastic Region (LVR) Determination
To assess the viscoelastic characteristics of water-swollen SSG, 1 g of dried gel was placed in an aging cell filled with distilled water and subjected to hot rolling at 120 °C for 16 h. After aging, excess surface water was removed, and the sample was subjected to strain sweep testing using a HAAKE rheometer. The test was performed at a fixed frequency of 10 Hz with a strain range from 0.01% to 1000% to determine the LVR.
- ②
- Frequency Sweep
Following the identification of the linear viscoelastic region (LVR), frequency sweep tests were conducted using a Thermo Scientific™ HAAKE™ MARS 60 rheometer (Thermo Fisher Scientific, Waltham, MA, USA) equipped with P35 parallel-plate geometry. The tests were conducted at constant strain within the LVR range and a controlled temperature of 25 °C. The angular frequency varied from 0.1 Hz to 100 Hz, and the storage modulus (G′) and loss modulus (G″) were recorded as functions of frequency to evaluate the dynamic mechanical behavior of the gel.
- (3)
- Mechanical Properties
- ①
- Compressive Strength
Cylindrical specimens (1 cm in height × 25 mm in diameter) were prepared by polymerizing the gel precursor solution in polytetrafluoroethylene (PTFE) molds with an inner diameter of 25 mm. After gelation and drying, the cylindrical gels were demolded and trimmed to a uniform height of 1 cm using a precision cutter.
Compressive tests were conducted using a microcomputer-controlled universal testing machine (Model WDW-50E, Jinan Wintop Testing Machine Co., Ltd., Jinan, China) at a constant loading rate of 10 mm/min. A total of three specimens were tested, and the average maximum compressive strength was reported.
- ②
- Tensile Strength
Tensile testing of the gel was conducted in accordance with ASTM D412 [] (Die C). Dumbbell-shaped specimens with a gauge length of 33 mm and a width of 6 mm were prepared from the fully polymerized gel using a standardized cutting die. The specimens were air-dried at room temperature to remove residual moisture prior to testing. Tensile measurements were performed using a universal testing machine at a constant loading rate of 10 mm/min. The yield strength was calculated as the average of three replicate measurements.
- (4)
- Thermal Degradability
To investigate the thermal degradation behavior of the SSG gel, 1 g of the material was placed in an aging cell and subjected to aging at 120 °C. Samples were retrieved at intervals of 16, 40, 64, 88, 112, and 136 h. After the gel samples were removed from the degradation medium at each scheduled time point, surface water was gently blotted using filter paper to eliminate unbound moisture. The specimens were then immediately weighed using an analytical balance (accuracy: 0.001 g) to obtain the residual mass (Wt). The swelling ratio at each time point was calculated as SRt = Wt/W0, where W0 is the initial dry weight of the gel. The degradation ratio was subsequently determined by analyzing the decline in the swelling ratio over time, providing insight into the gel’s structural stability and degradation kinetics under simulated downhole conditions.
- (5)
- Impact of SSG on Drilling Fluid Performance
- ①
- Rheological Property Modification
To evaluate the influence of SSG on the rheological behavior of drilling fluids, SSG particles (100–200 mesh) were added to a 2% base slurry at varying concentrations of 0%, 0.5%, 1%, 2%, and 3% by weight. The mixtures were subjected to thermal aging at 120 °C for 16 h to simulate downhole conditions. After aging, standard rheological parameters—including apparent viscosity (AV), plastic viscosity (PV), yield point (YP), and initial and final gel strengths—were measured to evaluate the effects of SSG addition on the rheological behavior of the drilling fluid.
- ②
- Plugging Performance Evaluation
The sealing performance of SSG-enhanced drilling fluids was assessed using 2% base slurry containing different SSG concentrations. Samples were aged at 120 °C and tested for their ability to seal an 80–100 mesh sand bed. The penetration depth before and after aging was recorded, serving as an indicator of the plugging effectiveness of the SSG material under high-temperature conditions.
3. Results and Discussion
3.1. FT-IR Spectroscopy
The Fourier transform infrared (FTIR) spectrum of SSG is shown in Figure 1. The absorption peak at 2930 cm−1 corresponds to the stretching vibration of –CH2– groups, while the peak at 587 cm−1 is attributed to the bending vibration of O–H bonds [,]. The strong absorption band at 1665.34 cm−1 is assigned to the C=O stretching vibration of amide I, and the broad peak at 3369 cm−1 corresponds to the N–H stretching vibration of amide A—both indicating the successful polymerization of acrylamide into polyacrylamide (PAM).

Figure 1.
FTIR spectra of the prepared SSG.
Additionally, the peak at 1046 cm−1 is associated with the C–O–C stretching vibration, which is characteristic of glycosidic bonds in chitosan. The absorption band at 1456 cm−1 is attributed to the C–N stretching of amide II. Furthermore, the peak at 1120 cm−1 corresponds to the asymmetric stretching of Si–O–Si groups from bentonite, confirming a successful incorporation of inorganic filler.
Taken together, these characteristic absorption bands confirm the successful synthesis of the interpenetrating gel network, involving covalently crosslinked PAM chains and physically entangled chitosan structures within the bentonite-supported matrix [].
3.2. TGA
The thermogravimetric analysis (TGA) and differential thermogravimetric (DTG) curves of SSG are presented in Figure 2. The thermal decomposition of SSG proceeds in three distinct stages.

Figure 2.
TGA spectra of the prepared SSG.
The first stage (60 °C to 230 °C) corresponds to a weight loss of approximately 11.80%, which is mainly attributed to the evaporation of physically adsorbed and crystallized water from the gel matrix [].
The second stage occurs between 230 °C and 330 °C, resulting in a 17.4% mass loss. This stage exhibits two clear DTG peaks within the range of 250–400 °C, indicating a two-step degradation process. The first DTG peak (~275 °C) is associated with the breakdown of thermally labile side groups—such as protonated amine and hydroxyl groups—originating from the ionic polymer (e.g., chitosan). The second DTG peak (~325 °C) corresponds to the partial scission of glycosidic linkages and the onset of backbone cleavage in the physically crosslinked secondary network.
The third stage, beginning above 330 °C, accounts for the largest mass loss (28.0%) and is attributed to the thermal degradation of the primary network backbone formed by covalently crosslinked polyacrylamide. Beyond 500 °C, the system undergoes near-complete degradation.
These results indicate that the significant thermal decomposition of SSG begins above 230 °C, and the two-step degradation behavior in the intermediate region further confirms the coexistence of chemically and physically crosslinked networks. This thermal profile demonstrates the excellent stability of SSG under high-temperature conditions representative of deep coalbed methane reservoirs [].
3.3. Gel Properties of SSG
3.3.1. Evaluation of Swelling Performance of SSG
The effect of immersion time in deionized water on the mass of the SSG gel is shown in Figure 3, while the corresponding morphological changes are illustrated in Figure 4. As shown in Figure 3, the SSG gel exhibits a rapid initial swelling rate, which gradually slows over time, with the curve approaching a plateau. After 24 h, the SSG gel exhibits a swelling ratio of 3.67 times its original mass, reflecting a high water uptake capacity. This degree of swelling ensures that the gel particles can sufficiently expand to bridge and seal pore throats and fractures within the formation. More importantly, the particle size of SSG can be tailored prior to application to match the aperture of target fractures—typically ranging from tens to several hundreds of micrometers in low-permeability reservoirs [].

Figure 3.
Water absorption and swelling properties of SSG at room temperature.

Figure 4.
The appearance changes in SSG gel during the water absorption and expansion process at room temperature.
3.3.2. Viscoelastic Evaluation of SSG
The strain sweep results of SSG after aging at 120 °C for 16 h are shown in Figure 5. As illustrated, the linear viscoelastic region (LVR) of SSG is determined to be in the range of 0.1% to 0.98% strain. Within this range, both the storage modulus (G′) and loss modulus (G″) remain relatively stable, indicating elastic gel-like behavior [,]. Beyond the crossover point of the strain sweep curves, a transition from an elastic gel state to a fluid-like sol state is observed.

Figure 5.
The strain law of SSG after aging at 120 °C for 16 h, ω = 2π rad/s.
The frequency sweep results of SSG after aging at 120 °C for 16 h are shown in Figure 6, with measurements conducted at a constant temperature of 25 °C. Based on the previously identified linear viscoelastic region, a strain of 0.5% was selected for the test. As shown in Figure 6, under this condition, the storage modulus (G′) is consistently greater than the loss modulus (G″), indicating that SSG remains in a solid-like gel state. The maximum G′ value reaches 2100 Pa, demonstrating that SSG retains excellent gel elasticity even after prolonged thermal aging. This suggests that the material can provide effective sealing and pressure-bearing performance under the high-temperature conditions typical of deep coal seams.

Figure 6.
Frequency scan of SSG after aging at 120 °C for 16 h.
3.3.3. Evaluation of Mechanical Properties of SSG
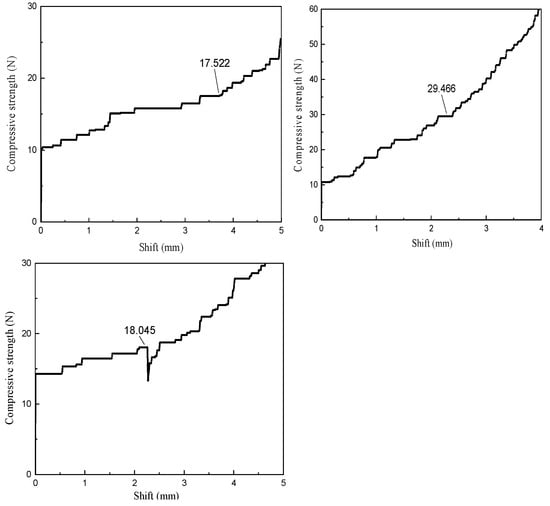
The compressive test results of SSG are presented in Figure 7. As shown, during compression, the force–displacement relationship exhibits an approximately linear increase when SSG is within the elastic deformation range. Upon reaching the elastic limit, the deformation exceeds the elastic threshold and SSG enters the plastic deformation stage, where the force–displacement curve transitions to an approximately exponential growth pattern. In some cases, a sudden drop followed by renewed exponential growth may occur due to internal structural failure and re-compaction. Based on three replicate tests, the average pressure at the elastic limit of SSG was determined to be 21.7 N.

Figure 7.
The compressive strength test results of SSG.
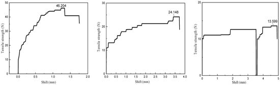
The tensile test results of SSG are shown in Figure 8. As illustrated, the force–displacement relationship during tensile testing differs markedly from that observed in compression. Within the elastic deformation range, the force increases approximately logarithmically with displacement. Upon reaching the elastic limit, the deformation exceeds the elastic threshold and SSG begins to fracture, causing a sudden drop in the force–displacement curve []. Based on three repeated tests, the average tensile force at the elastic limit was determined to be 28.0 N.

Figure 8.
The tensile test results of SSG.
3.3.4. Degradability Evaluation of SSG
The degradation behavior of SSG in simulated formation water at 120 °C is presented in Figure 9. As shown, after 16 h of immersion, SSG exhibits excellent water absorption with a swelling ratio of 10.53, effectively meeting the plugging requirements for the wellbore. The gel maintains structural integrity and stable morphology for up to 40 h. Beyond this point, a marked decrease in mass is observed, indicating the onset of degradation. By 136 h, the residual mass of the gel falls below 9.2% of its initial swollen mass, corresponding to a degradation ratio of 90.8%, which reflects near-complete breakdown of the gel matrix.

Figure 9.
Evaluation of the degradation performance of SSG.
Degradation was quantified by periodically removing the gel from the test solution, blotting off surface water with filter paper, and weighing the residual mass (Wt). The degradation ratio was calculated as Dt = 1 − Wt/W0, where W0 is the initial dry mass after full swelling.
The degradation mechanism is primarily attributed to the thermally accelerated hydrolysis of labile bonds within the polymer network, including the cleavage of glycosidic linkages from the ionic high-molecular polymer (e.g., chitosan) and the scission of amide groups in the acrylamide backbone. These hydrolytic processes are further enhanced under high-temperature, aqueous conditions, leading to fragmentation and solubilization of the gel structure [].
These results demonstrate that SSG exhibits dual functionality, involving excellent thermal stability and plugging performance during the drilling phase and rapid self-degradation under reservoir-mimicking conditions after a controllable delay. This behavior enables effective temporary sealing while minimizing long-term damage to the coalbed methane formation after drilling operations [].
3.3.5. Influence of SSG on Rheological Properties of Drilling Fluid
The impact of SSG on the rheological properties of drilling fluid is summarized in Table 1. As shown, the viscosity of the drilling fluid increases with the concentration of SSG. When the SSG concentration reaches up to 1%, the viscosity of the drilling fluid increases slightly, and the fluid still maintains excellent rheological performance. However, when the SSG concentration exceeds 1%, the viscosity increases significantly, resulting in a noticeable improvement in the carrying capacity [].
- (6)
- Evaluation of plugging performance of SSG

Table 1.
The influence of SSG on the rheological properties of the drilling fluid.
The effect of different concentrations of SSG on the penetration depth into an 80–100 mesh sand bed is presented in Table 2 and Figure 10. As shown in Table 2, the penetration depth of the drilling fluid decreases significantly with increasing SSG concentration. When the SSG concentration reaches 2%, the penetration depth is reduced to 2.85 cm, demonstrating excellent plugging performance. Therefore, the optimal concentration of the plugging agent is determined to be 2%.

Table 2.
Sand bed plugging experiment with different concentrations of SSG added to a 2% base slurry.

Figure 10.
Sand bed block experiment of SSG: (a) 0.5% SSG; (b) 1% SSG; (c) 2% SSG; (d) 3% SSG.
4. Conclusions
- (1)
- A self-degradable temporary plugging agent (SSG) was successfully developed for deep coalbed methane (CBM) reservoirs through the construction of a semi-interpenetrating polymer network gel composed of acrylamide and ionic polymers. The synthesis strategy combined free radical polymerization with structural crosslinking, enabling precise control over the gel’s functional responsiveness under reservoir conditions.
- (2)
- The SSG gel exhibited a favorable balance between migration and expansion. Its moderate swelling behavior in deionized water ensures good injectability and transportability within formation pathways, while its thermal stability in simulated formation water at 120 °C enables it to function effectively during the drilling window. The onset of degradation after 40 h, with a degradation ratio exceeding 90% at 136 h, supports its self-removal capability, thereby minimizing long-term damage to the reservoir.
- (3)
- Mechanical testing confirmed that SSG possesses sufficient compressive and tensile strength to withstand downhole stresses, and rheological analysis demonstrated that the gel maintains good viscoelasticity after thermal aging. Its structural resilience ensures physical stability within microfractures, and the shallow penetration into the sand bed validates its effective plugging performance with minimal fluid invasion.
- (4)
- The multifunctional design of SSG—integrating controlled swelling, mechanical integrity, and programmed degradation—offers a promising solution to temporary plugging challenges in deep CBM drilling. This system advances the concept of intelligent plugging agents by aligning operational effectiveness with post-drilling formation protection, paving the way for safer and more efficient exploitation of unconventional gas reservoirs.
Author Contributions
Conceptualization, B.W. and J.L.; methodology, J.L. and Y.L.; software, validation, Z.Z.; formal analysis, J.J.; investigation, Z.H.; resources, B.W. and K.R.; data curation, Z.Z. and Y.L.; writing—original draft preparation, Z.H.; writing—review and editing, J.J.; visualization, Z.H. and K.L.; supervision, J.L. and J.J.; project administration, K.R.; funding acquisition, K.L. All authors have read and agreed to the published version of the manuscript.
Funding
This research was funded by the National Natural Science Foundation of China (NSFC), Joint Funds program (Grant No. U22B6004), and the NSFC Science Center Project (Grant No. 52288101). The APC was funded by the National Natural Science Foundation of China.
Data Availability Statement
The original contributions presented in this study are included in the article. Further inquiries can be directed to the corresponding author.
Acknowledgments
We are grateful for the support from the Joint Funds of the National Natural Science Foundation of China (no. U22B6004) and the National Natural Science Foundation Science Center Project (no. 52288101).
Conflicts of Interest
Authors Yiting Liu, Zhengyang Zhao, Jin Lin and Bo Wang are employed by the company Natural Gas Research Institute of Shaanxi Yanchang Petroleum (Group) Co., Ltd. Xi’an, Shaanxi, 710065, China. All the authors declare that the research was conducted in the absence of any commercial or financial relationships that could be construed as a potential conflict of interest. The funders had no role in the design of the study; in the collection, analyses, or interpretation of data; in the writing of the manuscript, or in the decision to publish the results.
References
- Palmer, I.; Moschovidis, Z.; Cameron, J. Coal Failure and Consequences for Coalbed Methane Wells. In Proceedings of the SPE Annual Technical Conference and Exhibition, Dallas, TX, USA, 9–12 October 2005. [Google Scholar]
- Li, S.; Qin, Y.; Tang, D.; Shen, J.; Wang, J.; Chen, S. A comprehensive review of deep coalbed methane and recent developments in China. Int. J. Coal Geol. 2023, 279, 104369. [Google Scholar] [CrossRef]
- Guo, W.; Deng, S.; Sun, Y. Recent advances on shale oil and gas exploration and development technologies. Adv. Geo-Energy Res. 2024, 11, 81–87. [Google Scholar] [CrossRef]
- Han, J.; Xu, J.; Sun, J.; Lv, K.; Ren, K.; Jin, J.; Li, H.; Long, Y.; Wu, Y. Study on Wellbore Instability Mechanism and High-Performance Water-Based Drilling Fluid for Deep Coal Reservoir. Processes 2025, 13, 1262. [Google Scholar] [CrossRef]
- Bi, R.; Guo, M.; Wang, S.; Zhang, Y.; Si, X.; Chen, X.; Zhang, L. Theories, Techniques and Materials for Sealing Coalbed Methane Extraction Boreholes in Underground Mines: A Review. Processes 2024, 12, 2022. [Google Scholar] [CrossRef]
- Li, C.; Sun, L.; Zhao, Z.; Zhang, J.; Li, Y.; Meng, Y.; Wang, L. A Method for Evaluating Coalbed Methane Reservoir Productivity Considering Drilling Fluid Damage. Energies 2024, 17, 1686. [Google Scholar] [CrossRef]
- Keerthana, S.; Arnepalli, D.N. Arnepalli, Hydraulic performance of polymer-modified bentonites for development of modern geosynthetic clay liners: A review. Int. J. Geosynth. Ground Eng. 2022, 8, 24. [Google Scholar] [CrossRef]
- Fang, J.; Zhang, X.; Li, L.; Zhang, J.; Shi, X.; Hu, G. Research progress of high-temperature resistant functional gel materials and their application in oil and gas drilling. Gels 2022, 9, 34. [Google Scholar] [CrossRef]
- Xu, H.; Zhang, L.; Wang, J.; Jiang, H. Evaluation of Self-Degradation and Plugging Performance of Temperature-Controlled Degradable Polymer Temporary Plugging Agent. Polymers 2023, 15, 3732. [Google Scholar] [CrossRef]
- Jin, J.; Sun, J.; Lv, K.; Hou, Q.; Guo, X.; Liu, K.; Deng, Y.; Song, L. Catalytic pyrolysis of oil shale using tailored Cu@zeolite catalyst and molecular dynamic simulation. Energy 2023, 278, 127858. [Google Scholar] [CrossRef]
- Song, K.H.; Highley, C.B.; Rouff, A.; Burdick, J.A. Complex 3D—Printed microchannels within cell-degradable hydrogels. Adv. Funct. Mater. 2018, 28, 1801331. [Google Scholar] [CrossRef]
- Martens, P.; Holland, T.; Anseth, K.S. Synthesis and characterization of degradable hydrogels formed from acrylate modified poly(vinyl alcohol) macromers. Polymer 2002, 43, 6093–6100. [Google Scholar] [CrossRef]
- Fadl, A.M.; Abdou, M.I.; Moustafa, H.Y.; Ahmed, A.E.-S.I.; Anter, E.-S.; Ahmed, H.E.-S. A New Comparative Evaluation for the Rheological and Filtration Properties of Water-Based Drilling Fluids Utilizing Sodium Salt of Linear and Cross-Linked Acrylate Polymer Hydrogels. Arab. J. Sci. Eng. 2021, 46, 6989–7017. [Google Scholar] [CrossRef]
- Dragan, E.S.; Perju, M.M.; Dinu, M.V. Preparation and characterization of IPN composite hydrogels based on polyacrylamide and chitosan and their interaction with ionic dyes. Carbohydr. Polym. 2012, 88, 270–281. [Google Scholar] [CrossRef]
- Sahiner, M.; Sagbas, S.; Bitlisli, B.O. p(AAm/TA)-Based IPN hydrogel films with antimicrobial and antioxidant properties for biomedical applications. J. Appl. Polym. Sci. 2015, 132, 41876. [Google Scholar] [CrossRef]
- Zhang, Q.; Wang, W.; Zhu, M.; Zhang, Y.; Wang, Q.; Sun, H.; She, J. Mechanical Strength Degradation in Deep Coal Seams Due to Drilling Fluid Invasion. Processes 2025, 13, 1222. [Google Scholar] [CrossRef]
- Liu, P.; Wang, M.; Fu, Y.; Du, J.; Chen, X.; Liu, J.; Huang, C.; Lou, F.; Li, C.; Wang, G. Preparation and performance of an environmental-friendly degradable semi-interpenetrating network temporary plugging agent for acidification. Pet. Sci. Technol. 2025, 43, 508–534. [Google Scholar] [CrossRef]
- ASTM D412; Standard Test Methods for Vulcanized Rubber and Thermoplastic Elastomers—Tension. ASTM International: West Conshohocken, PA, USA, 2021.
- Jin, J.; Deng, Y.; Song, L.; Sun, J.; Lv, K.; Xu, J.; Ren, K.; He, Z.; You, Z. Nanozeolite Encapsulated Single-Atom Catalysts: Synergetic In-Situ Conversion of Oil Shale Using Supercritical CO2. SPE J. 2025, 1–12. [Google Scholar] [CrossRef]
- Buch, V. Molecular structure and OH-stretch spectra of liquid water surface. J. Phys. Chem. B 2005, 109, 17771–17774. [Google Scholar] [CrossRef]
- Yang, H.-B.; Jiang, H.-Z.; Xu, Z.; Zhang, X.; Wang, T.; Liu, H.-N.; Ma, X.; Zhu, J.-J.; Zhang, X.-F.; Kang, W.-L. Development and evaluation of organic/metal ion double crosslinking polymer gel for anti-CO2 gas channeling in high temperature and low permeability reservoirs. Pet. Sci. 2025, 22, 724–738. [Google Scholar] [CrossRef]
- Jin, J.; Sun, J.; Lv, K.; Guo, X.; Hou, Q.; Liu, J.; Wang, J.; Bai, Y.; Huang, X. Oxygen vacancy BiO2-x/Bi2WO6 synchronous coupling with Bi metal for phenol removal via visible and near-infrared light irradiation. J. Colloid Interface Sci. 2022, 605, 342–353. [Google Scholar] [CrossRef] [PubMed]
- Jin, J.; Lv, K.; Sun, J.; Zhang, J.; Hou, Q.; Guo, X.; Liu, K. Robust superhydrophobic TiO2@carbon nanotubes inhibitor with bombax structure for strengthening wellbore in water-based drilling fluid. J. Mol. Liq. 2023, 370, 120946. [Google Scholar] [CrossRef]
- Gang, W.; Honghai, F.; Jie, F.; Wanjun, L.; Yu, Y.; Xiangji, K.; Yingying, L.; Jitong, L.; Chenchao, L.; Haijun, Y. Performance and application of high-strength water-swellable material for reducing lost circulation under high temperature. J. Pet. Sci. Eng. 2020, 189, 106957. [Google Scholar] [CrossRef]
- Zare, Y.; Rhee, K.Y. Expression of normal stress difference and relaxation modulus for ternary nanocomposites containing biodegradable polymers and carbon nanotubes by storage and loss modulus data. Compos. Part B Eng. 2019, 158, 162–168. [Google Scholar] [CrossRef]
- Dike, H.N.; Chibueze, L.N.; Ipinsokan, S.; Adewumi, C.N.; Olabode, O.; Olaniyan, D.D.; Pius, I.E.; Oke, M.A. An Evaluation of the Rheological and Filtration Properties of Cow Bone Powder and Calcium Carbonate as Fluid-Loss Additives in Drilling Operations. Processes 2025, 13, 2205. [Google Scholar] [CrossRef]
- Zhao, H.; Hao, S.; Fu, Q.; Zhang, X.; Meng, L.; Xu, F.; Yang, J. Ultrafast fabrication of lignin-encapsulated silica nanoparticles reinforced conductive hydrogels with high elasticity and self-adhesion for strain sensors. Chem. Mater. 2022, 34, 5258–5272. [Google Scholar] [CrossRef]
- Permana, A.D.; Utomo, E.; Pratama, M.R.; Amir, M.N.; Anjani, Q.K.; Mardikasari, S.A.; Sumarheni, S.; Himawan, A.; Arjuna, A.; Usmanengsi, U.; et al. Bioadhesive-thermosensitive in situ vaginal gel of the gel flake-solid dispersion of itraconazole for enhanced antifungal activity in the treatment of vaginal candidiasis. ACS Appl. Mater. Interfaces 2021, 13, 18128–18141. [Google Scholar] [CrossRef] [PubMed]
Disclaimer/Publisher’s Note: The statements, opinions and data contained in all publications are solely those of the individual author(s) and contributor(s) and not of MDPI and/or the editor(s). MDPI and/or the editor(s) disclaim responsibility for any injury to people or property resulting from any ideas, methods, instructions or products referred to in the content. |
© 2025 by the authors. Licensee MDPI, Basel, Switzerland. This article is an open access article distributed under the terms and conditions of the Creative Commons Attribution (CC BY) license (https://creativecommons.org/licenses/by/4.0/).