The Effects of Bedding and Holes on the Mechanical and Microfracture Behavior of Layered Limestone Based on the CZM Method
Abstract
1. Introduction
2. Construction of the Numerical Calculation Model Based on the CZM Method
2.1. Numerical Modelling Process
2.2. Parameter Calibration and Numerical Simulation Scheme
3. Numerical Calculation Results
3.1. Stress and Crack Evolution Process of Layered Limestone Under Different Conditions
3.2. Effect of the Bedding and Hole on Peak Stress
3.3. Effect of the Bedding and Hole on the Failure Pattern
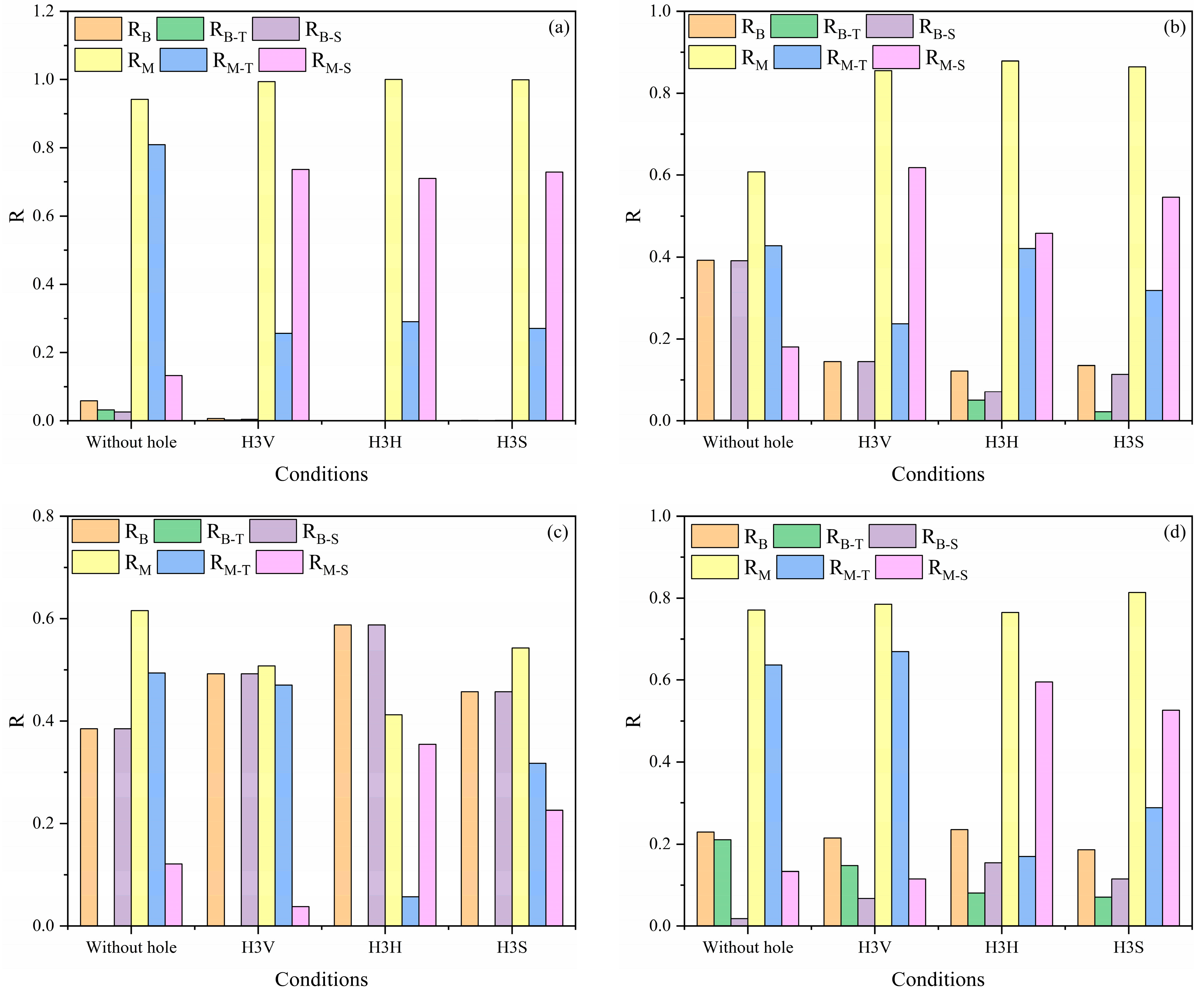
3.4. Effect of the Bedding and Hole on Microfracture Behaviour
4. Conclusions
Author Contributions
Funding
Data Availability Statement
Conflicts of Interest
References
- Liu, M.; Luo, X.; Bi, R.; Zhou, J.; Du, K. Impacts of bedding angle and cementation type of bedding planes on mechanical behavior of thin-layer structured bedded rocks under uniaxial compression. Geomech. Energy Envir. 2023, 35, 100473. [Google Scholar] [CrossRef]
- Shi, X.; Jing, J.; Yin, Q.; Zhao, Z.; Han, G.; Gao, Y. Investigation on physical and mechanical properties of bedded sandstone after high-temperature exposure. Bull. Eng. Geol. Environ. 2020, 79, 2591–2606. [Google Scholar] [CrossRef]
- Yang, R.; Zhou, Y.; Ma, D. Failure mechanism and acoustic emission precursors of coal samples considering bedding effect under triaxial unloading condition. Geofluids 2022, 2022, 8083443. [Google Scholar] [CrossRef]
- Mashhadiali, N.; Molaei, F. Theoretical and experimental investigation of a shear failure model for anisotropic rocks using direct shear test. Int. J. Rock Mech. Min. 2023, 170, 105561. [Google Scholar] [CrossRef]
- Yin, P.; Yang, S.; Gao, F.; Tian, W. Experiment and DEM simulation study on mechanical behaviors of shale under triaxial cyclic loading and unloading conditions. Geomech. Geophys. Geo-Energ. Geo-Resour. 2023, 9, 10. [Google Scholar] [CrossRef]
- Li, H.; Zhu, K.; Chen, Y.; Chen, B.; Zeng, B.; Zhang, Z. Formulation and implementation of elastoplastic constitutive model for carbonaceous slate. Bull. Eng. Geol. Environ. 2023, 82, 93. [Google Scholar] [CrossRef]
- Zhang, Q.; Yao, B.; Fan, X.; Li, Y.; Fantuzzi, N.; Ma, T.; Chen, Y.; Zeng, F.; Li, X.; Wang, L. A failure criterion for shale considering the anisotropy and hydration based on the shear slide failure model. Int. J. Min. Sci. Technol. 2023, 33, 447–462. [Google Scholar] [CrossRef]
- Liu, H.; Jing, H.; Yin, Q.; Meng, Y.; Zhu, G. Effect of bedding plane on mechanical properties, failure mode, and crack evolution characteristic of bedded rock-like specimen. Theor. Appl. Fract. Mech. 2023, 123, 103681. [Google Scholar] [CrossRef]
- Luo, P.; Li, D.; Ma, J.; Zhou, A.; Zhang, C. Experimental investigation on mechanical properties and deformation mechanism of soft-hard interbedded rock-like material based on digital image correlation. J. Mater. Res. Technol. 2023, 24, 1922–1938. [Google Scholar] [CrossRef]
- Cho, J.; Kim, H.; Jeon, S.; Min, K. Deformation and strength anisotropy of Asan gneiss, Boryeong shale, and Yeoncheon schist. Int. J. Rock Mech. Min. 2012, 50, 158–169. [Google Scholar] [CrossRef]
- Luo, P.; Li, D.; Zhou, A.; Ma, J.; Zhu, Q.; Jiang, J. Influence of bedding plane on the tensile properties and crack propagation of soft and hard laminated rock-like under Brazilian test. Theor. Appl. Fract. Mech. 2023, 127, 104087. [Google Scholar] [CrossRef]
- Lv, H.; Peng, K.; Shang, X.; Wang, Y.; Liu, Z. Experimental research on the mechanical and acoustic emission properties of layered sandstone during tensile failure. Theor. Appl. Fract. Mech. 2022, 118, 103225. [Google Scholar] [CrossRef]
- Cheng, J.; Wan, Z.; Zhang, Y.; Li, W.; Peng, S.; Zhang, P. Experimental study on anisotropic strength and deformation behavior of a coal measure shale under room dried and water saturated conditions. Shock Vib. 2015, 2015, 290293. [Google Scholar] [CrossRef]
- Meng, Y.; Jing, H.; Liu, X.; Yin, Q. Effects of initial unloading level on the mechanical, micro failure and energy evolution characteristics of stratified rock mass under triaxial unloading confining pressure. Theor. Appl. Fract. Mech. 2023, 128, 104161. [Google Scholar] [CrossRef]
- Song, Z.; Zhang, J.; Zhao, S.; Wu, S.; Sun, X.; Dong, X.; Zhang, Y. Brittleness of layer sandstone under triaxial loading and unloading. J. Cent. South Univ. 2023, 30, 2234–2251. [Google Scholar] [CrossRef]
- Yang, S.; Yin, P.; Li, B.; Yang, D. Behavior of transversely isotropic shale observed in triaxial tests and Brazilian disc tests. Int. J. Rock Mech. Min. 2020, 133, 104435. [Google Scholar] [CrossRef]
- Huang, D.; Li, B.; Ma, W.; Cen, D.; Song, Y. Effects of bedding planes on fracture behavior of sandstone under semi-circular bending test. Theor. Appl. Fract. Mech. 2020, 108, 102625. [Google Scholar] [CrossRef]
- Meng, Y.; Jing, H.; Zhou, Z.; Zhang, L.; Sun, S. Experimental investigation on the mixed-mode fracture behavior of rock-like material with bedding plane. Theor. Appl. Fract. Mech. 2022, 117, 103159. [Google Scholar] [CrossRef]
- Suo, Y.; Chen, Z.; Rahman, S.S.; Song, H. Experimental and numerical investigation of the effect of bedding layer orientation on fracture toughness of shale rocks. Rock Mech. Rock Eng. 2020, 53, 3625–3635. [Google Scholar] [CrossRef]
- Yin, Q.; Wu, S.; Meng, Y.; Wu, J.; Zhang, Q.; Jing, H. Experimental and numerical investigation on mode I fracture properties of bedded rocks. Theor. Appl. Fract. Mech. 2023, 124, 103807. [Google Scholar] [CrossRef]
- Kong, L.; Xie, H.; Gao, C.; Li, C. Experimental and theoretical research on the anisotropic deformation and energy evolution characteristics of shale under uniaxial cyclic loading and unloading. Int. J. Geomech. 2022, 22, 04022208. [Google Scholar] [CrossRef]
- Xie, Y.; Hou, M.Z.; Li, C. Anisotropic characteristics of acoustic emission and the corresponding multifractal spectrum during progressive failure of shale under cyclic loading. Int. J. Rock Mech. Min. 2023, 165, 105364. [Google Scholar] [CrossRef]
- Zhang, J.; Du, R.; Chen, Y.; Huang, Z. Experimental investigation of the mechanical properties and energy evolution of layered phyllite under uniaxial multilevel cyclic loading. Rock Mech. Rock Eng. 2023, 56, 4153–4168. [Google Scholar] [CrossRef]
- Yang, W.; Li, G.; Ranjith, P.G.; Fang, L. An Experimental Study of Mechanical Behavior of Brittle Rock-Like Specimens with Multi-Non-Persistent Joints Under Uniaxial Compression and Damage Analysis. Int. J. Damage Mech. 2019, 28, 1490–1522. [Google Scholar] [CrossRef]
- Huang, C.; Yang, W.; Duan, K.; Fang, L.; Wang, L.; Bo, C. Mechanical Behaviors of the Brittle Rock-Like Specimens with Multi-Non-Persistent Joints Under Uniaxial Compression. Constr. Build. Mater. 2019, 220, 426–443. [Google Scholar] [CrossRef]
- Yang, W.; Bo, C.; Chen, X.; Huang, C.; Li, G. Time-Dependent Behavior of Rock-Like Specimen Containing Multiple Discontinuous Joints Under Uniaxial Step-Loading Compression. Int. J. Damage Mech. 2021, 30, 872–898. [Google Scholar] [CrossRef]
- Wang, H.; Li, H.; Tang, L.; Li, J.; Ren, X. Fracturing Behavior of Brittle Solids Containing 3D Internal Crack of Different Depths Under Ultrasonic Fracturing. Int. J. Min. Sci. Techno. 2022, 32, 1245–1257. [Google Scholar] [CrossRef]
- Zhao, Z.; Shou, Y.; Zhou, X. Microscopic Cracking Behaviors of Rocks Under Uniaxial Compression with Microscopic Multiphase Heterogeneity by Deep Learning. Int. J. Min. Sci. Technol. 2023, 33, 411–422. [Google Scholar] [CrossRef]
- Wang, Y.; Yang, H.; Han, J.; Zhu, C. Effect of rock bridge length on fracture and damage modelling in granite containing hole and fissures under cyclic uniaxial increasing-amplitude decreasing-frequency (CUIADF) loads. Int. J. Fatigue 2022, 158, 106741. [Google Scholar] [CrossRef]
- Zhu, Q.; Li, D.; Han, Z.; Xiao, P.; Li, B. Failure characteristics of brittle rock containing two rectangular holes under uniaxial compression and coupled static-dynamic loads. Acta Geotech. 2022, 17, 131–152. [Google Scholar] [CrossRef]
- Yang, S.; Yang, Z.; Jing, H.; Xu, T. Fracture evolution mechanism of hollow sandstone under conventional triaxial compression by X-ray micro-CT observations and three-dimensional numerical simulations. Int. J. Solids Struct. 2020, 190, 156–180. [Google Scholar] [CrossRef]
- Zhao, R.; Tao, M.; Zhao, H.; Cao, W.; Li, X.; Wang, S. Dynamics fracture characteristics of cylindrically-bored granodiorite rocks under different hole size and initial stress state. Theor. Appl. Fract. Mech. 2020, 109, 102702. [Google Scholar] [CrossRef]
- Chen, S.; Xia, Z.; Feng, F.; Yin, D. Numerical study on strength and failure characteristics of rock samples with different hole defects. Bul. Eng. Geol. Environ. 2021, 80, 1523–1540. [Google Scholar] [CrossRef]
- Feng, F.; Chen, S.; Li, D.; Huang, W.; Peng, K.; Zang, C. Excavation unloading-induced fracturing of hard rock containing different shapes of central holes affected by unloading rates and in situ stresses. Energy Sci. Eng. 2020, 8, 4–27. [Google Scholar] [CrossRef]
- Tian, W.; Yang, S.; Huang, Y. Discrete element modeling on crack evolution behavior of sandstone containing two oval flaws under uniaxial compression. Arab. J. Geosci. 2020, 13, 418. [Google Scholar] [CrossRef]
- Wu, H.; Zhao, G.; Liang, W. Mechanical properties and fracture characteristics of pre-holed rocks subjected to uniaxial loading: A comparative analysis of five hole shapes. Theor. Appl. Fract. Mech. 2020, 105, 102433. [Google Scholar] [CrossRef]
- Chen, M.; Zhang, Y.; Zhang, G.; Zhou, G.; Wang, Z. Discrete element study on mechanical response and pressure relief effect of rock containing variable hole. Theor. Appl. Fract. Mech. 2023, 127, 103976. [Google Scholar] [CrossRef]
- Huang, Y.; Yang, S.; Tian, W. Cracking process of a granite specimen that contains multiple pre-existing holes under uniaxial compression. Fatigue Fract. Eng. Mater. Struct. 2019, 42, 1341–1356. [Google Scholar] [CrossRef]
- Huang, Y.; Yang, S.; Tian, W.; Wu, S. Experimental investigation on the mechanical properties of thermally damaged granite specimens containing pre-existing holes. Fatigue Fract. Eng. Mater. Struct. 2023, 46, 1443–1454. [Google Scholar] [CrossRef]
- Ma, W.; Chen, Y.; Yi, W.; Guo, S. Investigation on crack evolution behaviors and mechanism on rock-like specimen with two circular-holes under compression. Theor. Appl. Fract. Mech. 2022, 118, 103222. [Google Scholar] [CrossRef]
- Li, S.; Lin, H.; Cao, R.; Wang, Y.; Zhao, Y. Mechanical behavior of rock-like specimen containing hole-joint combined flaw under uniaxial loading: Findings from DIC and AE monitoring. J. Mater. Res. Technol. 2023, 26, 3426–3449. [Google Scholar] [CrossRef]
- Liu, P.; Xie, X.; Liu, Q.; Deng, P.; Huang, X.; Bo, Y. Influence of the oval hole on rock mechanical mechanism under uniaxial and biaxial compression: Insights from the combined finite-discrete element method. Eur. J. Environ. Civ. Eng. 2023, 27, 3324–3342. [Google Scholar] [CrossRef]
- Tan, L.; Zhou, Z.; Cai, X.; Rui, Y. Analysis of mechanical behaviour and fracture interaction of multi-hole rock mass with DIC measurement. Measurement 2022, 191, 110794. [Google Scholar] [CrossRef]
- Wang, M.; Lu, Z.; Zhao, Y.; Wan, W. Peak strength, coalescence and failure processes of rock-like materials containing preexisting joints and circular holes under uniaxial compression: Experimental and numerical study. Theor. Appl. Fract. Mech. 2023, 125, 103898. [Google Scholar] [CrossRef]
- Zhao, Z.; Jing, H.; Shi, X.; Han, G. Experimental and numerical study on mechanical and fracture behavior of rock-like specimens containing pre-existing holes flaws. Eur. J. Environ. Civ. Eng. 2022, 26, 299–319. [Google Scholar] [CrossRef]
- Meng, Y.; Jing, H.; Liu, X.; Yin, Q.; Wei, X. Experimental and numerical investigation on the effects of bedding plane properties on the mechanical and acoustic emission characteristics of sandy mudstone. Eng. Fract. Mech. 2021, 245, 107582. [Google Scholar] [CrossRef]
- Meng, Y.; Jing, H.; Liu, X.; Yin, Q.; Zhang, L.; Liu, H. Experimental and numerical investigation on the effect of bedding plane properties on fracture behaviour of sandy mudstone. Theor. Appl. Fract. Mech. 2021, 114, 102989. [Google Scholar] [CrossRef]
- Meng, Y.; Jing, H.; Sun, S.; Chen, M.; Huang, K. Experimental and numerical studies on the anisotropic mechanical characteristics of rock-like material with bedding planes and voids. Rock Mech. Rock Eng. 2022, 55, 7171–7189. [Google Scholar] [CrossRef]
- Meng, Y.; Jing, H.; Yuan, L.; Zhang, L. Numerical investigation on the effect of bedding plane properties on mode I fracture characteristics of mudstone with FEM-CZM method. Bull. Eng. Geol. Environ. 2022, 81, 3. [Google Scholar] [CrossRef]



















| Parameter | Value |
|---|---|
| Density, ρ/kg·m−3 | 3000 |
| Elastic modulus, E/GPa | 80 |
| Poisson’s ratio, μ | 0.23 |
| Parameter | Value |
|---|---|
| Normal stiffness, Enn/MPa·mm−1 | 7000 |
| Shear stiffness, Ess/MPa·mm−1 | 5000 |
| Tensile strength, Nmax/MPa | 11 |
| Shear strength, Smax/MPa | 15 |
| Displacement at failure/mm | 0.2 |
| Parameter | Value |
|---|---|
| Normal stiffness, Enn/MPa·mm−1 | 3000 |
| Shear stiffness, Ess/MPa·mm−1 | 2000 |
| Tensile strength, Nmax/MPa | 6 |
| Shear strength, Smax/MPa | 12 |
| Displacement at failure/mm | 0.1 |
Disclaimer/Publisher’s Note: The statements, opinions and data contained in all publications are solely those of the individual author(s) and contributor(s) and not of MDPI and/or the editor(s). MDPI and/or the editor(s) disclaim responsibility for any injury to people or property resulting from any ideas, methods, instructions or products referred to in the content. |
© 2025 by the authors. Licensee MDPI, Basel, Switzerland. This article is an open access article distributed under the terms and conditions of the Creative Commons Attribution (CC BY) license (https://creativecommons.org/licenses/by/4.0/).
Share and Cite
Wang, X.; Gao, L.; Xu, X.; Lin, F. The Effects of Bedding and Holes on the Mechanical and Microfracture Behavior of Layered Limestone Based on the CZM Method. Processes 2025, 13, 1223. https://doi.org/10.3390/pr13041223
Wang X, Gao L, Xu X, Lin F. The Effects of Bedding and Holes on the Mechanical and Microfracture Behavior of Layered Limestone Based on the CZM Method. Processes. 2025; 13(4):1223. https://doi.org/10.3390/pr13041223
Chicago/Turabian StyleWang, Xiaofei, Linghong Gao, Xiangxi Xu, and Fei Lin. 2025. "The Effects of Bedding and Holes on the Mechanical and Microfracture Behavior of Layered Limestone Based on the CZM Method" Processes 13, no. 4: 1223. https://doi.org/10.3390/pr13041223
APA StyleWang, X., Gao, L., Xu, X., & Lin, F. (2025). The Effects of Bedding and Holes on the Mechanical and Microfracture Behavior of Layered Limestone Based on the CZM Method. Processes, 13(4), 1223. https://doi.org/10.3390/pr13041223
