Abstract
Methane–hydrogen–air mixtures present a viable alternative to conventional fuels, reducing CO2 emissions while maintaining high energy density. This study numerically investigates their combustion characteristics in millimeter-scale reactors, focusing on flame stabilisation and combustion dynamics in confined spaces. A species transport model with volumetric reactions incorporated a detailed kinetic mechanism with 16 species and 41 reactions. The simulations employed a laminar flow model, second-order upwind discretisation, and SIMPLE algorithm for pressure–velocity coupling. The key parameters analysed include equivalence ratio, hydrogen volume fraction, inlet velocity, and gas pressure and their impact on fuel conversion efficiency and heat release was evaluated. The results indicate that hydrogen enrichment enhances flame stability and combustion efficiency, with optimal performance over 40% hydrogen content. Additionally, increased outlet pressure raises flame temperature by 15%, while larger reactor diameters reduce heat losses, improving combustion efficiency by 20%. Emissions of CO decrease significantly at higher hydrogen fractions, demonstrating the potential for cleaner combustion. These findings support the integration of methane–hydrogen mixtures into sustainable energy systems, providing insights for designing efficient, low-emission micro-combustors.
1. Introduction
The combustion of fuel gas mixtures containing hydrogen in small-scale devices is of great interest as a way to optimise the use of fossil fuels, make them more efficient, reduce greenhouse gas emissions, and promote sustainability and energy transition challenges [1,2]. The mixtures of fuel gases containing hydrogen have been carried out in large-scale systems; several companies worldwide are incorporating considerable amounts of hydrogen, usually around 20%, into their natural gas pipelines, which is a challenge for the devices that consume it, requiring, in many cases, redesigns in the dimensions of the burners and changes in the materials with which they are built and the geometries that optimise the combustion of these mixtures [3,4]. In many cases, traditional burners cannot maintain the combustion of the gaseous mixture owing to the requirement for high pressures, which increases the complexity of the operation [5].
As more efficient devices, micro-combustors may function throughout a spectrum of system pressures [2]. However, studies on the micro-combustion of natural gas–hydrogen mixtures are scarce and often do not contemplate environmental variables such as low pressures and oxygen deficiency conditions. Anstrom and Collier [6] conducted a methane mixed combustion with different concentrations of hydrogen below 20% study, testing the effect on the variation in the caloric value of the flame and the emission of not-burned methane. They established that the system with fuel mixtures operates stably under normal operative conditions in traditional fossil fuel-powered vehicles. Fugitive methane emissions are lower than when operating on natural gas, probably because hydrogen promotes rapid and complete combustion of methane by providing an abundance of hydroxyl ions. However, the study does not contemplate systematic variations in the geometry of the device, nor does it determine the effect on the flue gases, especially regarding how CO production is affected.
Micro-combustion also has some aspects that must be considered seriously. The reduction of the channel dimension modifies conditions to achieve stable combustion. Studies carried out in shorter-scale systems via numerical simulation show that a low H2 content of 20% flame dynamics is significantly modified [7], evidencing that the amount of hydrogen affects the fluid stability of the gaseous system and the thermochemical properties that emerge from it. Additionally, the large surface-to-volume ratio can act as a heat sink into the reactor, although it can represent higher heat flux values from/to the combustion gases. Still, the energy liberated during fuel combustion can be efficiently dissipated through the combustor walls. The temperature gradients at the reactor wall can disturb the kinetic reaction, affecting its operation. A sudden temperature loss can lead to flame quenching and endanger combustion stability. Then, since the micro-combustor walls play the role of heat sinks, it is possible that the activation energy of the reaction will not be sufficient to continue with the chain reaction [7,8,9].
Computational fluid dynamics is a powerful tool for understanding the micro-combustion process of methane/hydrogen mixtures, especially when experimental analysis methods do not bring enough specific information. Numerical simulations are essential to design and optimise micro-combustion devices. Still, when the fluid is immersed in a reaction, like combustion, the reaction mechanism limits obtaining good results in the simulation process. If the simulation accurately describes the reaction, the results are far from actual behaviour. Jiaqiang et al. [10] determine an entire mechanism of methane combustion, which includes 320 steps with their respective activation energies and preexponential factors that reproduce the kinetic; however, when implemented in a reactive flux simulation, the computation time is raised. Therefore, many researchers take a semi-detailed mechanism reaction that, in many cases, produces results in good agreement with experimental measurements; usually, 20 to 60 reaction steps are enough to carry out simulations with acceptable results with reduced simulation times [11]. For instance, Zhang et al. [12] use a 29-step mechanism to simulate the behaviour of a laminar burning, comparing twelve different mechanisms; the results show that most mechanisms could reasonably predict the experimental laminar burning velocity (LBV) for stoichiometric and fuel-lean mixtures and mixtures with diluent ratios higher than 70%. Mendiara et al. [13] use a set of mechanisms with 65, 22, and 18 chemical species and reproduce the experimental behaviour of a methane flame in a model of the combustor; they used these results to show that it is not necessary to use a hole mechanism to obtain good reproducibility concerning experimental data.
This study replicates and analyses this type of combustion at micro-scale levels, considering different methane–hydrogen–air mixtures and the effect of the wall reactor conditions (e.g., heat losses), inlet velocity, and pressure outlet conditions on reaction performance. The microchannel reactive flow of methane–hydrogen–air mixtures under laminar flow conditions was studied using numerical simulations. A homogenous mechanism was used to analyse the chemical reaction inside the channel by solving the species transport model, including volumetric reactions. The results showed micro-combustion reactor conditions that produced a flame stabiliser with high flame stability while lowering nitrogen oxides, carbon monoxide, and partially oxidised hydrocarbons. This study introduces several innovative aspects compared to the existing research on methane–hydrogen combustion. Unlike most studies on large-scale or industrial combustion systems, this work investigates millimetre-scale combustion, providing new insights into flame stabilisation mechanisms in confined spaces. This is particularly significant for developing micro-combustors for portable power generation and high-efficiency energy systems. Additionally, the research conducts a detailed numerical assessment of critical parameters, such as equivalence ratio, hydrogen volume fraction, inlet velocity, and gas pressure, to optimise the combustion conditions in small reactors. While previous studies primarily explore methane–hydrogen combustion at macro scales, this work refines the design of micro-combustion reactors through precise numerical analysis, contributing to advancements in micro-energy systems.
The following sections present the fundamental transport equations for mass, momentum, energy, species transport, and reaction processes. The simulation methodology, geometry, and procedure parameters will be stated, followed by presentation of the results and their respective analyses being performed.
2. Materials and Methods
The phenomena present in reacting flows are studied with equations that combine all the types of transports (i.e., mass, momentum, energy) involved and allow us to account for the reactions inside the flow by solving them with numerical methods [14]. Its application can describe how the fluids act under different operational conditions and react under certain environmental modifications. This kind of analysis is performed through computational fluid dynamics (CFD) and, more specifically, using the finite volume method through the CFD commercial software Ansys Fluent 2023 R1. This approach is one of CFD’s most versatile discretisation techniques. It is based on the definition of the control volume for the analytical formulation of fluid dynamics [15].
Equations (1)–(4) present the steady-state principles of mass, linear momentum, energy, and species transport expressed in the tensorial form.
where indicates the velocity components, is the density, the enthalpy, the temperature, is the pressure, is the stress tensor which describes the advective momentum transport, is the Cartesian coordinates, is an enthalpy flux source, the species net production rate, is the flux diffusion of species, and is the species mass fraction. On the previously stated expressions, the sub-index, , and take the values of 1, 2, and 3 [15,16]. Equations (1) and (2) are numerically solved to describe the flow development, attaining the conservation of mass and momentum. Meanwhile, Equations (3) and (4) are used to describe the conservation of energy and the transport of species within this flow. Table 1 presents the conditions for the numerical simulation of the reaction flow inside the microchannel implemented in Ansys Fluent 2023 R1.
Table 1.
Parameters applied for setting up the numerical simulation of the reaction flow inside the microchannel.
The numerical simulations were conducted using a double-precision solver with 10 parallel processes on a local machine. The laminar viscous model was selected given that the Reynolds numbers are low for the flow conditions, and the energy equation was activated to account for heat transfer effects. The SIMPLE algorithm was used for pressure-velocity coupling, with second-order upwind discretisation for improved accuracy. Initial conditions were set using standard initialisation from the inlet, with a patched fluid zone temperature of 2000 K. The reacting flow was modelled using the species transport approach with volumetric reactions, employing a kinetic mechanism consisting of 16 species and 41 reactions. The gas mixture properties were defined using the ideal gas law for density, mixing law for specific heat, and mass-weighted formulations for thermal conductivity and viscosity, while species-specific heat was determined through piecewise polynomials.
The presence of reactions inside the fluid flow will also introduce several factors that will show variations in the flow transport properties: density, viscosity, and thermal conductivity, as well as the specific heat and other properties of the species inside the reactive flow and the mixture. Some parameters will be established as constant for the species (i.e., thermal conductivity and viscosity); others will be defined as temperature-dependent polynomials (i.e., the specific heat). Meanwhile, the thermal conductivity and viscosity of the mix are accounted for by the amount of each species in the mixture using a mass-weighted approach and the specific heat by the mixing law. In contrast, the mix density is evaluated using the ideal gas model as a function of the pressure inside the channel. Table 2 summarises the property models used for the reacting flows studied with Ansys Fluent 2023 R1 in this work.
Table 2.
Models for studying the reacting flow of methane–hydrogen–air mixtures.
A wide variety of methane combustion mechanisms have been reported in the literature, including hydrogen as one of the intermediate molecular and radical species. Of the different mechanisms, some can be found with around 300 intermediate reactions, and others are simplified with four reactions. The more stages there are, the more details are possible to evidence the combustion process. Still, when implementing them in simulations such as the present one, it becomes unwieldy because the computation times are very long; therefore, we try to implement a mechanism that has enough detail but allows obtaining accurate results in reasonable times. One of the most used is the one used in the present work, which has been reported in previous works. Niklas et al. [17] used different mechanisms from the literature to conduct methane combustion studies, determining that 41 reactions allow obtaining results that adequately reproduce the experimental observables. This type of mechanism evaluation is not new, as shown in a study from 1977 by Olson et al. [18], who evaluated different mechanisms and found that the one that contains more species and reactions is not necessarily the one that best fits a computer simulation.
In the present work, the software CHEMKIN 2023 R1 [14] was used to import 16 species and 41 reactions’ skeletal oxidation mechanisms into Ansys Fluent [19]. The reaction mechanism starts with methane reacting with oxygen; these reactions produce a set of intermediate radical species like CH3*, O2*, O*, H*, OH*, and other species that are very reactive and are produced and consumed very fast. Still, they are the clue point to model the flame behaviour of intermediate chemical species, including radicals, which are presented in Appendix A. The main intermediate reactions involving hydrogen are highlighted in it, and it can be observed that the preexponential factor in them is usually more significant than in the other reactions. Additionally, it is observed that many of them occur without an associated activation energy, which indicates that they are processes that occur with great speed. Therefore, they are not the limiting stages, but it suggests that if the initial conditions for them to happen are not present, the reaction is delayed, extinguished, or occurs through paths that lead to unburned fuel, soot, or the production of carbon monoxide. This mechanism is crucial because it allows both fuels, methane and hydrogen, to be considered, which is necessary to model the flame generated when the ignition process occurs appropriately. The mechanism used has been used in the studies by Gautham et al. [20], Qing et al. [21], and Yin et al. [22], among others, which have presented results that reasonably fit the experimental results in various experimental and simulation conditions, therefore we consider that it is an appropriate mechanism to carry out the present study since it has been widely tested, involves hydrogen as a fundamental species in the development of products, and allows obtaining results in short times.
The boundary conditions defined in this work are presented in Figure 1. At the input, uniform velocity and temperature are employed. At the same time, the molar fractions of CH4, O2, and H2 are specified based on the air-to-fuel equivalence ratio and volume fraction (R) (i.e., percentage of hydrogen in the mixture). Axis symmetry boundary conditions are imposed at the centre line, and no diffusion or convective flux exists across the symmetry plane. The no-slip boundary condition and no-species flux conditions are used at the wall. A set of pressures is provided at the combustor outlet (see Table 3). Lastly, the heat losses from the outer wall of the combustor to the ambient are defined by a heat loss coefficient, as observed in Figure 1, where the convective heat transfer heat coefficient varies, as presented in Table 3. Values for all these parameters are reported in Table 3 and used to analyse their relevance to the overall reaction. The combustor wall is made of stainless steel ( = 16.6 W/m·K, = 515 J/kg·K and = 7900 kg/m3). The same table also reports the channel height and pressure outlet variation. A homogeneous constant inlet temperature of 300 K is defined for the gas mixture. Finally, the combustion process was ignited by imposing an initial temperature of 2000 K on the entire computational area.
Figure 1.
Schematic diagram of the micro-combustor tube.
Table 3.
Boundary and simulating conditions for sensitivity analysis inside the micro-millimetre channel.
Turkeli-Ramadan et al.’s [23] mesh sensitivity analysis was used as a reference in this work to perform the mesh independence study to ensure the grid resolution did not influence the numerical results. Six different meshes were tested (i.e., Mesh 1: 15,000, Mesh 2: 17,500, Mesh 3: 57,000, Mesh 4: 72,000, Mesh 5: 120,000, and Mesh 6: 204,000 elements), evaluating the outlet average temperature of gases and the molar fraction of CO2 as parameters of reference. Figure 2 presents the mesh independence study results, assessing the two parameters selected. The results show that as the mesh is refined, the variation in both parameters becomes negligible, suggesting that further mesh refinement would not significantly alter the results. The average variation between the parameters evaluated for each mesh was 3.29% and 1.61% for the temperature and the CO2 molar fraction, respectively. In this regard, the mesh selected to ensure accuracy while minimising computational cost and following the work of Turkeli-Ramadan et al. [23] was Mesh 3, which was composed by 75 grids × 600 grids (Fluid zone) and 20 grids × 600 grids (Solid zone) for a total of 57,000 elements.
Figure 2.
Mesh independence study.
Validation of the Model
The validation of two-dimensional modelling is verified by comparing the adiabatic flame temperature and species concentrations with the results reported by Betchel [24]. Although the present two-dimensional model does not match the experimental setup reported in [24], their results are for a one-dimensional flame geometry with a stoichiometric methane–air mixture of a stoichiometric, premixed laminar methane–air flame at atmospheric pressure. Figure 3 shows the distribution of species and temperature profiles at the channel centre line for the case of an inlet temperature and velocity of 300 K and 0.3 m/s, respectively. In this case, an air/fuel equivalence ratio of 1.0 is assumed with no hydrogen addition to the mixture (i.e., the hydrogen to methane ratio R is 0); an adiabatic wall is also assumed (i.e., no heat loss to the ambient). The micro-combustor studied has a 3 mm diameter and 12 mm length, and results are shown over the first 4 mm from the inlet since the combustion occurred over a very short distance from the inlet.
Figure 3.
Temperature (a) and species molar concentration (b,c) for stoichiometric methane–air flame. = 300 K; = 0.3 m/s; = 100 kPa; = 20 W/m2K; = 3 mm; = 0%. Validation data obtained from [24].
The numerical approach correlates well with the experimental data, allowing us to forecast the rapid rise observed at the combustor’s inlet. However, Turkeli-Ramadan et al. [19] observed that the experimental temperatures are slightly lower than those predicted with numerical modelling at distances more than 3 mm from the start of the temperature rise. This behaviour is due to lateral heat losses in the experiment that were not considered in the computer model (i.e., an adiabatic boundary condition was used for the side walls). Regarding the prediction for the species’ behaviour inside the micro-combustor, a reasonable agreement between the numerical model and experiments is observed for CH4 and O2, it even being possible to depict the maximum mole fraction and the location for H2 and CO. However, some discrepancies in the mole fractions for H2O are observed in a region just beyond where the temperature profile changes slope (i.e., between approximately 0.8 mm and 2.5 mm from the inlet). Figure 3 shows that the kinetic model adequately represents the behaviour of methane combustion. It is worth mentioning that the species that involve H do not appear in significant concentrations at the reactor outlet and, although their production can be followed, they are immediately consumed since the activation energy is zero in the reactions that consume H the rate of consumption is so high that they cannot remain in time. Still, they are essential to start the reaction since they reproduce species, temperatures, and concentrations of the products in agreement with previous reports.
Figure 4 presents the temperature, velocity, CH4 mass fraction, and heat of reaction contour plots for a stoichiometric methane–air flame at an incoming flow velocity of 0.3 m/s and initial reactant temperature of 300 K, obtained employing the reaction mechanisms presented in Appendix A. The predicted behaviour of flame temperature, velocity, methane, and heat of reaction profiles follows the results from peers [19]. Additionally, Table 4 presents the error metrics variation for CFD simulation variables compared with data from Betchel [24], showing acceptable error magnitudes for these numerical approaches and the simplified mechanism used. The trim error levels for temperature and species mole fraction alongside the centre line of the reactor show that the reaction mechanisms can be applied to predict laminar methane–air flame characteristics at atmospheric pressure. The rapid temperature rise obtained from numerical modelling matches the experimental data well. However, Figure 3 also shows that beyond 3 mm from the onset of the temperature increase, the experimentally measured temperatures are slightly lower than those predicted by numerical modelling. This discrepancy is likely due to the lateral heat losses inherent in the experiment, which are absent in the numerical model because of the adiabatic boundary condition applied to the side walls. In addition to the accuracy of the solution, the computational cost also needs consideration in any numerical-based work. As reported by Turkeli-Ramadan et al. [23], the reaction mechanism that predicts a sufficiently accurate solution in the shortest amount of time is selected in this work (see Appendix A).
Figure 4.
Contours of the stoichiometric methane–air combustion for (a) temperature, (b) velocity, (c) methane, and (d) heat of reaction. = 300 K; = 0.3 m/s; = 100 kPa; = 20 W/m2K; = 3 mm; = 0%.
Table 4.
Error metrics variation for CFD simulations compared with data from [24].
3. Results and Discussion
This section presents the results obtained for the numerical simulation of methane–hydrogen–air mixtures and the impact of variables, which are divided into two sections. First, it presents the effect of chemical variables such as the equivalence ratio (air/fuel ratio) and volume fraction (percentage of hydrogen in the mixture) on the fuel conversion and heat released during the reaction. Then, the effect of the physical variables, such as the inlet mixture velocity, reactor diameter, and gas pressure, on fuel conversion, temperature, and heat flux is presented.
3.1. Chemical Effects
The equivalence ratio plays a critical role in determining the completeness of the reaction. At the same time, the hydrogen content influences combustion kinetics and thermal performance due to its high reactivity and carbon-free composition. Studying those variables allows evaluating their impact on combustion efficiency, intermediate species formation, and the total energy released. This provides insights into comprehending the behaviour of fuel mixtures in micro-scale conditions for cleaner and more efficient combustion processes.
3.1.1. Effects of Hydrogen Concentration
The effect of H2 concentration in the fuel mixture positively impacts the overall reaction, as H2 has a higher heat of reaction than methane, approximately three times more [25]. Figure 5a presents the maximum temperature on the central line of the reactor and the heat of the reaction of the gas mixture, conducted at 100 kPa and a velocity of 0.3 m/s, with a diameter of 3 mm and an equivalent ratio equal to one. At low mixture concentrations, when the hydrogen to methane ratio R is below 0.4 (40%), the temperature and heat of the reaction increase almost linearly. However, differentiation occurs in both variables as R increases to 0.9 (90%). At the same time, the temperature continues to rise with a lower rate of increase; the heat of the reaction reaches its maximum at R = 0.4 and decreases as the hydrogen content increases. This behaviour is likely due to the decrease in the fuel density as the hydrogen content increases.
Figure 5.
Effect of CH4-H2 concentration on (a) the temperature and heat of reaction at the centre line, (b) H2 fraction conversion and O2 fraction consumed, and (c) CO2 and CO mole fractions at the outlet.
It can be seen from Figure 5a that temperature has two regimes: one in which the steep slope indicates that a small amount of H2 efficiently transfers thermal energy to the gaseous mass, presenting temperature increases (0 < R < 0.4), and another regime (R ≥ 0.4) in which the amount of hydrogen is such that it considerably affects the mass of gas per unit volume, limiting the transfer of the energy gained by the mass and increasing the temperature with less pronouncement on the slope of the graph. Concerning the heat of reaction, the maximum heat of reaction obtained corresponds to the change of slope in the behaviour of the temperature in the centre line, indicating that from this value the gaseous mass emits less energy due to its low density and is significantly affected by the hydrogen content and by the higher temperature reached in the reaction zone. Hydrogen conversion is reported in Figure 5b as a fraction, showing that the conversion of H2 increases when the ratio R rises. As R runs from 0.1 to 0.9, the conversion is increased from 0.82 to 1.0; conversion in all R ranges is high, as kinetic parameters are predicted for semi-reactions involving hydrogen species. This is correlated with the oxygen consumption presented in the figure. Finally, Figure 4c presents the effect of H2 addition to a CH4-based mixture. As expected, the decrease in CO2 with increasing H2 highlights the shift from carbon-based to hydrogen-based combustion. Additionally, the simultaneous reduction of CO suggests improved combustion efficiency and higher oxidation rates with added H2.
The above observations are supported by the results presented in Figure 6a,c,e,g,i, which display the temperature contours in which increases in the amount of H2 produce increases in the temperature in the combustion chamber. This behaviour is consistent with the higher combustion heat of hydrogen. Finally, Figure 6b,d,f,h,j present the amount of CO produced in the combustion chamber as a function of hydrogen content R, where it is observed that the addition of hydrogen to fuel decreases the monoxide production and the slight amount produced is consumed in the first part of the reactor. It also reveals that hydrogen consumption occurs almost immediately at the reactor inlet as the amount of hydrogen increases; this is consistent with the speed of the hydrogen reaction.
Figure 6.
Contours of temperature (a,c,e,g,i) and CO mole fraction (b,d,f,h,j) for several hydrogen volume ratios. = 300 K; = 0.3 m/s; = 100 kPa; = 20 W/m2K; = 3 mm.
3.1.2. Effects of Equivalence Ratio
To observe the impact of excess and insufficient oxygen in the combustion of methane–hydrogen–air mixtures, this section aims to present results of CO2 and CO mole fractions at the outlet of the micro-combustor when the equivalence ratio varies between 0.4 and 1.4, like a measurement of the completeness of combustion. A reduced oxygen concentration decreases the rate of the chemical reaction in the oxidation phase. Furthermore, insufficient oxygen during combustion limits the methane and hydrogen conversion, resulting in carbon monoxide in exhaust emissions. In this regard, the results for the reacting flow of equivalence ratios behind the stoichiometric coefficient present higher CO concentrations at the flue gases exiting the micro-combustor. The CO mole fraction in cases without hydrogen (R = 0%) or with hydrogen (R = 50%) does not vary considerably, as observed in Figure 7a. However, the increase in oxygen content in the air leads to faster burn rates and increases combustibility, improving the micro-combustor thermal efficiency and reducing CO emissions. Additionally, it is observed that the amount of CO2 decreases because after the air/fuel ratio is more significant than unity, the amount of fuel at the input decreases proportionally, therefore less fuel input means lower CO2 emissions. Finally, although the trend in the emissions profiles remains almost similar regardless of the amount of hydrogen (verifying the direct dependence of these on the amount of oxygen), the maximum temperature at the centre line is higher over a wide range of equivalence ratios for the methane–hydrogen–air mixtures, as observed in Figure 7b. Therefore, adding hydrogen can improve combustion at lower oxygen conditions, but this is not necessarily true for oxygen excess.
Figure 7.
Equivalence ratio impact on (a) CO2 and CO mole fractions at the outlet and (b) the temperature at the centre line.
Figure 8a,c,e,g present the temperature contours when defects and excess air are present in the methane combustion. In contrast, Figure 8b,d,f,h show the effect of adding hydrogen to the fuel mixture on the same variable. Figure 7a,c plot the temperature contours when there is a defect of oxygen; temperatures are lower compared with Figure 8e, where stoichiometric conditions are presented. These results are taken as a baseline to determine the effect of hydrogen in the fuel mixture. In this regard, Figure 8a,b, with the same oxygen defect, are notorious for having higher temperatures; therefore, hydrogen is beneficial for combustion in these complex conditions. At stoichiometric conditions and in an excess of air (see Figure 8e,g for methane combustion and Figure 8f,h for methane–hydrogen mixtures), it shows an effect favourable to the temperature distribution.
Figure 8.
Contours of temperature for different equivalence ratios with = 0 (a,c,e,g) and = 50% (b,d,f,h). = 300 K; = 0.3 m/s; = 100 kPa; = 20 W/m2K; = 3 mm.
3.2. Physical Effects
This section presents results regarding the effect of several physical variables in the micro-combustion of methane/hydrogen mixtures, including the inlet velocity, reactor diameter, and outlet gas pressure, on fuel conversion, temperature distribution, and heat flux during combustion. These variables influence the flow dynamics, residence time, and reaction rates within the reactor, ultimately affecting the overall combustion performance.
3.2.1. Effects of Wall on Heat Loss
This section discusses heat loss via the outside wall only via convection. The influence of the convective heat transfer coefficient, , on the combustion parameters is compared. The convective heat flux transfer loss is presented in Equation (5) as (see Figure 1):
where and are the exterior wall and ambient temperatures, respectively. The external convective heat transfer coefficient varied according to the values reported in Table 3. Figure 9a presents results for the impact of the exterior heat loss coefficient and hydrogen addition to the mixture (i.e., R = 0 and 50%) on the combustion behaviour inside the micro combustor.
Figure 9.
Exterior heat loss coefficient effect over the maximum heat of reaction (a), the temperature at the centre line (b), and CO2 mole fraction at the outlet (c) for stoichiometric methane–hydrogen–air mixtures. = 300 K; = 0.3 m/s; = 100 kPa; = 3 mm.
The behaviour of both kinds of fuel is different. In comparison, the methane reaction decreases the maximum heat of reaction from 18 to 12 W when the exterior heat loss coefficient changes from 10 to 60 W/m2K; for the same heat loss coefficient range, the 50% hydrogen mixture is almost constant (see Figure 9a). Therefore, the wall considerably affects the heat in reactions of methane, but in hydrogen mixtures, the effect is lower. As observed, as the heat loss increases in only methane–air mixtures and the maximum heat of the reaction tends to go down, as does the maximum temperature inside the combustor (see Figure 9b). However, in the case of methane–hydrogen–air mixtures with a volume ratio of 50%, both the maximum heat of reaction and the maximum temperature tend to maintain stability for the entire range of heat losses analysed, showing a significant increase in the activation energy of the reaction due to the presence of hydrogen in the mixture. Finally, Figure 9c shows that, in both cases (without and with hydrogen addition), the CO2 mole fraction at the outlet increases as the heat loss increases; however, the value of this species decreases with the presence of hydrogen due to a lower amount of methane in the fuel mixture.
Figure 10 portrays the temperature and CO2 mole fraction contours for two methane-to-hydrogen values and the limit convective heat loss coefficients presented in Figure 9. Adding hydrogen raises the overall flame temperature, as observed in Figure 10a,c,e,g. It extends the combustion zone, improving thermal performance under low and high heat losses (see Figure 10e,g), mainly due to its higher flame speed and reactivity. Similarly, a reduction in CO2 emissions is observed in Figure 10b,d,f,h, as the presence of hydrogen in the mixture favours the displacing of methane and enhances combustion efficiency. This leads to cleaner combustion, with less carbon dioxide produced despite the improved reaction and temperature fields. Finally, including hydrogen (50%) in the methane mixture significantly improves combustion performance by increasing the heat of reaction, raising flame temperatures, and stabilising combustion under high heat losses.
Figure 10.
Contours of temperature (a,c,e,g) and CO2 mole fraction (b,d,f,h) for different external heat losses and hydrogen-to-methane volume ratios; = 300 K; = 0.3 m/s; = 100 kPa; = 3 mm.
3.2.2. Effects of Inlet Velocity
The incoming flow velocity is between 0.1 and 0.7 m/s, with the inlet temperature and the heat loss coefficient kept constant at 300 K and 20 W/m2K, respectively, for stochiometric methane–hydrogen mixtures. It is expected that a higher mass flow rate inside the combustor tends to move the flame and cool down the combustion gases, reducing their temperature. As observed in the previous case, hydrogen in the fuel–oxidant mixture increases the reaction’s energy, positively impacting the temperature of combustion gases and the maximum heat of reaction (see Figure 11a). That behaviour can be verified for methane–air cases (i.e., R = 0%), where Figure 11b portrays that the maximum temperature at the combustion centre line decreases as the input velocity increases for values above the burning velocity of stoichiometric methane–air mixtures (i.e., 0.3 m/s [26]). Similar behaviour can be observed in the case of methane–hydrogen–air mixtures (i.e., R = 50%); however, the maximum temperature of the mixture is higher than only methane–air mixtures. However, as the inlet velocity approaches the burning velocity, the temperature reduces and the amount of hydrogen in the mix is indistinct. Finally, the CO2 mole fraction at the outlet is again lower in the presence of more hydrogen due to the displacement of the fossil fuel in the mixture (see Figure 11c). As there is an increase in the inflow velocity of gases, there is a slight decrease in the concentration of carbon dioxide for both types of fuels (without and with hydrogen), which indicates that incomplete combustion occurs, decreasing the efficiency of the reaction.
Figure 11.
Gas velocity inlet effect over the maximum heat of reaction (a), the temperature at the centre line (b), and CO2 mole fraction at the outlet (c) for stoichiometric methane–hydrogen–air mixtures. = 300 K; = 100 kPa; = 20 W/m2K; = 3 mm.
Figure 12 presents the results for the contours of heat of reaction, temperature, and CO2 mole fraction for different inlet velocities and hydrogen-to-methane volume ratios. These results demonstrate the combined effect of inlet velocity and hydrogen addition on the combustion characteristics, highlighting their role in fuel conversion, temperature distribution, and emissions. As observed, increasing the velocity shifts the combustion zone downstream and reduces the peak temperatures (Figure 12a,c,e,g) due to convective effects. Conversely, higher velocities elongate the flame and distribute CO2 formation over a longer reactor length (see Figure 12b,d,f,h). Regarding the effect of hydrogen addition, its addition intensifies the reaction and distributes it more uniformly. Additionally, the CO2 production decreases significantly with hydrogen addition (see Figure 12f,h), reflecting the reduced carbon content in the flue gases. Finally, adding H2 improves flame stabilisation, particularly at higher velocities, as observed in Figure 12e,g, by compensating for hydrogen’s shorter ignition delay.
Figure 12.
Contours of temperature (a,c,e,g) and CO2 mole fraction (b,d,f,h) for different inlet velocities and hydrogen-to-methane volume ratios. = 300 K; = 100 kPa; = 20 W/m2K; = 3 mm.
As observed in Figure 11b, a peak in temperature is obtained for both fuels (i.e., methane and a 50% methane to hydrogen mixture) for an inlet velocity equal to the burning velocity of stoichiometric methane–air mixtures. However, there might be subtle variations in the flow patterns due to changes in the combustion process and resulting heat release. In this regard, it can be seen that increasing the hydrogen-to-methane ratio (from 0 to 50%) generally results in higher temperatures within the microreactor. This is likely due to the higher heat release associated with hydrogen combustion than with methane combustion (as observed in previous results).
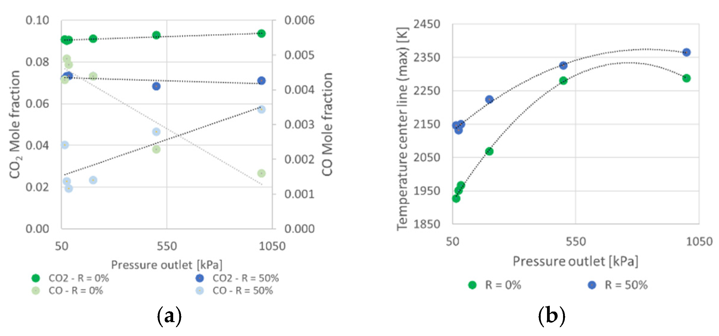
3.2.3. Effects of Outlet Pressure
This section analyses the outlet pressure’s effect on the combustion process. The computational model’s pressure at the micro-combustor outlet is modified for this. The outlet pressure varies between 75 kPa and 1000 kPa, as portrayed in Table 3. In this case, the results shown in Figure 13 are for stoichiometric conditions and an inlet velocity and temperature of 0.3 and 300 K, respectively.
Figure 13.
Pressure outlet impact on CO2 and CO mole fractions at the outlet (a) and the temperature at the centre line (b).
Fewer air molecules will be in the fuel/air mixture compared to at low pressures, resulting in lower CO2 and CO concentrations (see Figure 13a) and a more remarkable impact when the fuel is composed of methane–hydrogen mixtures (blue dark and light circles in Figure 13a). As the pressure rises, the amount of both components also tends to increase, being smaller in the case of CO2 with the presence of H2. On the other side, an increase in the activation energy of the reaction due to the presence of hydrogen in the mixture implies an increase in the maximum temperature of the gases. This trend is potentiated by the rise in pressure (see Figure 13).
Figure 14 presents the results for the temperature contour for some pressure outlets considered in this work. As the pressure outlet increases, the temperature values generally shift towards higher values. As observed in previous sections, the addition of hydrogen prompts the reaction. At higher pressures, the combustion equilibrium shifts towards a more complete product formation, increasing the energy density and flame temperature. Additionally, the increased pressure accelerates reaction rates and enhances heat release. Finally, the higher density at elevated pressures reduces convective heat loss. Those trends can be observed when comparing the results in Figure 14e,f to those in Figure 14a,b. Regarding the velocity profiles, it was observed that the inlet velocity dominates the overall velocity distribution in the reactor. Since the inlet conditions remain unchanged, the velocity fields show negligible variations despite combustion characteristics or outlet pressure changes; pressure outlet changes significantly impact the temperature and reaction rates. However, they do not disturb the velocity field, as the flow remains stable and is predominantly driven by the inlet conditions.
Figure 14.
Contours of temperature for different outlet pressures and hydrogen-to-methane volume ratios with = 0 (a,c,e) and = 50% (b,d,f). = 300 K; = 0.3 m/s; = 20 W/m2K; = 3 mm.
Figure 15 presents CO and CO2 formation contours during methane–hydrogen mixture combustion to analyse the effect of hydrogen content and pressure on the process. As observed in Figure 13a, combining hydrogen content and increasing pressure reinforces the effects on CO and CO2 formation during methane–hydrogen mixture combustion. Higher pressure typically enhances combustion efficiency by increasing reactant density, promoting faster chemical reactions and higher flame temperatures and improving the oxidation of intermediate species like CO (see Figure 15a,c,e) into CO2 (see Figure 15b,d,f). When hydrogen replaces part of the methane in the fuel mixture, less carbon is available for oxidation, directly reducing CO2 and CO emissions. The decrease in CO can also occur because hydrogen enhances the flame temperature and promotes complete combustion, driving the oxidation of CO (see Figure 15g,i,k to CO2 (see Figure 15h,j,l). Finally, higher pressure enhances CO oxidation, favouring complete combustion and reducing CO emissions. Additional CO2 formation increases slightly with pressure but is mitigated by the reduced carbon content from hydrogen addition.
Figure 15.
Contours of CO (a,c,e,g,i,k) and CO2 (b,d,f,h,j,l) mole fractions for different outlet pressures and hydrogen-to-methane volume ratios. = 300 K; = 0.3 m/s; = 20 W/m2K; = 3 mm.
3.2.4. Effects of Reactor Diameter
In macroscopic devices, the reactor diameter does not offer variations in a flame profile; however, in microscale dimensions, the diameter can play an important role, especially related to flame quenching, the maximum temperature, and heat flux. Figure 16a presents the effect of increasing the diameter from 1.0 to 6.0 mm, which increases the temperature from 1850 to 2200 °C for fuel without H2 and from 1950 to 2250 °C for fuel with H2. The behaviour observed in Figure 16a is coherent with that reported in the literature. As expected, increasing the reactor diameter affects the combustion dynamics by altering the reactants’ heat transfer and residence time in the combustion zone. Additionally, higher temperatures are sustained because the heat generated by combustion is retained longer within the reaction zone.
Figure 16.
Effects of reactor diameter on maximum temperature at the centre line (a) and carbon oxides (b).
That behaviour is confirmed in Figure 17a,c,e,g, where temperature contours are presented; it is possible to observe that as the diameter of the microreactor increases, the temperature rises because of reduced wall heat losses and longer residence times. Finally, like fuel without hydrogen, the fuel mixed with hydrogen presented elevated temperatures. Therefore, this behaviour probably decreased the quenching flame. Additionally, the velocity profiles are presented in Figure 17b,d,f,h, where a similar behaviour is observed compared with results for the effect of outlet pressure, since no significant changes in the velocity contours arise from varying the microreactor diameter more than the increase in the mass flow due to the increase in the cross-sectional area.
Figure 17.
Contours of temperature (a,c,e,g) and velocity magnitude (b,d,f,h) for different tube diameters and hydrogen-to-methane volume ratios. = 300 K; = 0.3 m/s; = 100 kPa; = 20 W/m2K.
Regarding carbon dioxide production, a slight decrease is observed when the diameter of the reactor is increased for methane combustion with and without hydrogen (see Figure 16b). The opposite effect is observed for carbon monoxide; it increases when the diameter is increased. These results show a considerable decrease in monoxide at small diameters, favouring the combustion reaction’s efficiency. In this regard, CO formation is susceptible to both flame temperature and residence time. In the case of the small-diameter reactor, the lower flame temperatures and shorter residence time hinder the complete oxidation of CO to CO2. As a result, CO concentrations increase due to incomplete combustion and quenching effects near the walls (see Figure 18a,c). However, adding hydrogen to the fuel mixture tends to reduce the CO formation (see Figure 18e,g), favouring the oxidation to CO2 (see Figure 18f,h). Finally, as the reactor diameter increases, the CO2 concentration increases due to improved combustion efficiency and complete oxidation, as observed in Figure 18b,d for no hydrogen addition; this significantly improves with the presence of hydrogen (see Figure 18f,h).
Figure 18.
Contours of CO (a,c,e,g) and CO2 (b,d,f,h) mole fractions for different tube diameters and hydrogen-to-methane volume ratios. = 300 K; = 0.3 m/s; = 100 kPa; = 20 W/m2K.
4. Conclusions
This study advances the understanding of methane–hydrogen–air combustion in micro-combustors through two-dimensional numerical simulations, evaluating key parameters such as hydrogen enrichment, the air/fuel ratio, heat losses, inlet velocity, outlet pressure, and reactor geometry. The findings show that increasing the hydrogen content enhances flame temperatures, promotes complete oxidation, and reduces CO emissions, with peak heat release at 40% hydrogen. A leaner air/fuel ratio improves combustion efficiency, while excessive wall heat losses, smaller reactor diameters, and lower temperatures increase incomplete combustion. Additionally, higher outlet pressures elevate flame temperatures and CO2 production, while hydrogen enrichment proves beneficial under low-oxidant conditions, making it particularly relevant for high-altitude cities.
Various factors significantly influence the performance of methane–hydrogen combustion. Increasing the hydrogen concentration from 0 to 90% enhances flame temperatures by about 300 K and promotes complete oxidation, leading to higher CO2 formation and reduced CO emissions. The results show that maximum heat combustion reaches 40% of hydrogen. A leaner air/fuel ratio improves the combustion efficiency and minimises emissions, while excessive wall heat losses lower temperatures and reduce fuel conversion efficiency. Higher inlet velocities can shorten residence time, potentially limiting reaction completeness, though velocity distribution remains relatively unaffected by other parameters. Elevated outlet pressures increase the flame temperatures (by almost 15%) and CO2 production due to enhanced reaction rates and equilibrium shifts. Finally, larger microreactor diameters reduce heat losses, improving temperature profiles and combustion efficiency by about 20%, as based on CO2 and CO production. In contrast, smaller diameters lead to incomplete combustion and higher CO emissions due to more thermal dissipation. These effects underscore the importance of carefully analysing hydrogen enrichment, the air/fuel ratio, heat transfer, operating pressures, flow dynamics, and reactor geometry for efficient, low-emission combustion in microreactor systems. It was observed that the combustion of methane–hydrogen–air mixtures remains stable under the conditions studied, despite the significant changes in the exterior heat losses and pressure outlet. Additionally, CO and CO2 emissions were reduced by almost 20% as the amount of H2 in the fuel–air mixture was increased to 50%. The results concerning the combustion of air/fuel and pressure suggest that the addition of H2 is significant under conditions with low oxidant levels, which indicates that it is beneficial for cities located at a considerable altitude above sea level. This study shows that CFD is an essential tool for understanding combustion and heat loss mechanisms at micro-millimetre scales, where it may be challenging to physically measure the flow parameters inside the microreactor itself. However, the kinetic mechanisms used can represent the combustion of methane–hydrogen–air mixtures; more studies should be developed to ensure the accuracy of these results.
The results obtained in this study allow us to understand the operating conditions under which a microreactor must operate so that the flame is not extinguished. It allows the establishment of the maximum temperatures and those reached by the reaction chamber; the inlet flows and H2-CH4-air composition allow a microreactor to operate with the least possible variability. Therefore, this study allows obtaining essential elements necessary to decide on the construction characteristics of a microreactor, such as the type of material, its thickness, and the internal diameter of the reaction chamber, so that all the fuel is burned. An adequate temperature is maintained with a controlled heat transfer to the outside without extinguishing the flame or increasing the amount of unburnt fuel or incomplete combustion. Another relevant aspect is that it provides elements to decide how to inject the fuel into the chamber, the flow at which this should be performed, and the optimal operating pressure.
In particular, it is expected to design a reactor that transmits around 20 W/m2K, with a slight excess of air at the inlet and operating above ambient pressure. This is relevant, primarily if the reactor is intended to be used in cities above sea level, as it is evident that its operation at low pressures is inefficient. In other words, it provides elements to know that a microreactor should be designed based on the city’s height in which it will operate.
Finally, the models used to assess combustion quality, pollutant reduction, and heat transfer rely on physicochemical approximations. These assume, for example, that the reaction mechanism remains valid under all conditions, which may limit accuracy, particularly in extreme cases. As numerical approximations, the species and heat transport models have inherent limitations tied to the solution method, leading to results that are close to, but not identical to, experimental values. Additionally, the simulations assume uniform heat loss properties along all reactor walls, whereas, in reality, material wear can cause variations. However, since the same types of modelling and numerical errors are consistently present, they do not affect the observed trends, which are often more valuable than the absolute numerical results.
Author Contributions
Conceptualisation, C.N.-L.; Investigation C.N.-L. and N.G.-V.; Data curation, N.G.-V.; Formal analysis, C.N.-L. and W.S.-L.; Software, C.N.-L., W.S.-L., and N.G.-V.; Validation, C.N.-L. and W.S.-L.; Visualisation, C.N.-L. and W.S.-L.; and Writing—original draft, C.N.-L. and W.S.-L. All authors have read and agreed to the published version of the manuscript.
Funding
This research received no external funding.
Data Availability Statement
The dataset is available upon request from the authors.
Conflicts of Interest
The authors declare no conflicts of interest.
Appendix A

Figure A1.
Skeletal mechanism for methane–hydrogen–air mixture oxidation. Reaction mechanism rate coefficients in the form . Units are moles, seconds, Kelvins, and calories/mole.
Figure A1.
Skeletal mechanism for methane–hydrogen–air mixture oxidation. Reaction mechanism rate coefficients in the form . Units are moles, seconds, Kelvins, and calories/mole.


References
- Kang, Z.; Shi, Z.; Ye, J.; Tian, X.; Huang, Z.; Wang, H.; Wei, D.; Peng, Q.; Tu, T. A Review of Micro Power System and Micro Combustion: Present Situation, Techniques and Prospects. Energies 2023, 16, 3201. [Google Scholar] [CrossRef]
- Kaisare, N.S.; Vlachos, D.G. A review on microcombustion: Fundamentals, devices and applications. Prog. Energy Combust. Sci. 2012, 38, 321–359. [Google Scholar] [CrossRef]
- Mitu, M.; Razus, D.; Schroeder, V. Laminar Burning Velocities of Hydrogen-Blended Methane–Air and Natural Gas–Air Mixtures, Calculated from the Early Stage of p(t) Records in a Spherical Vessel. Energies 2021, 14, 7556. [Google Scholar] [CrossRef]
- Habib, R.; Yadollahi, B.; Saeed, A.; Doranehgard, M.H.; Karimi, N. On the Response of Ultralean Combustion of CH4/H2 Blends in a Porous Burner to Fluctuations in Fuel Flow-an Experimental Investigation. Energy Fuels 2021, 35, 8909–8921. [Google Scholar] [CrossRef]
- Glanville, P.; Fridlyand, A.; Sutherland, B.; Liszka, M.; Zhao, Y.; Bingham, L.; Jorgensen, K. Impact of Hydrogen/Natural Gas Blends on Partially Premixed Combustion Equipment: NOx Emission and Operational Performance. Energies 2022, 15, 1706. [Google Scholar] [CrossRef]
- Anstrom, J.R.; Collier, K. 8-Blended hydrogen–natural gas-fueled internal combustion engines and fueling infrastructure. In Compendium of Hydrogen Energy, Volume 3: Hydrogen Energy Conversion; Woodhead Publishing: Sawston, UK, 2016; pp. 219–232. [Google Scholar] [CrossRef]
- Casel, M.; Ghani, A. Analysis of the flame dynamics in methane/hydrogen fuel blends at elevated pressures. Proc. Combust. Inst. 2023, 39, 4631–4640. [Google Scholar] [CrossRef]
- Bucci, M.; Di Stazio, A.; Chauveau, C.; Dayma, G.; Legros, G.; Dagaut, P.; Chibbaro, S. Numerical and experimental analysis of combustion in microchannels with controlled temperature. Chem. Eng. Sci. X 2019, 4, 100034. [Google Scholar] [CrossRef]
- Pizza, G.; Frouzakis, C.E.; Mantzaras, J.; Tomboulides, A.G.; Boulouchos, K. Dynamics of premixed hydrogen/air flames in microchannels. Combust. Flame 2008, 152, 433–450. [Google Scholar] [CrossRef]
- E, J.; Mei, Y.; Feng, C.; Ding, J.; Cai, L.; Luo, B. A review of enhancing micro combustion to improve energy conversion performance in micro power system. Int. J. Hydrogen Energy 2022, 47, 22574–22601. [Google Scholar] [CrossRef]
- Lu, J.; Fu, Z.; Liu, J.; Pan, W. Influence of air distribution on combustion characteristics of a micro gas turbine fuelled by hydrogen-doped methane. Energy Rep. 2022, 8, 207–216. [Google Scholar] [CrossRef]
- Zhang, P.; Zsély, I.G.; Papp, M.; Nagy, T.; Turányi, T. Comparison of methane combustion mechanisms using laminar burning velocity measurements. Combust. Flame 2022, 238, 111867. [Google Scholar] [CrossRef]
- Mendiara, T.; Alzueta, M.U.; Millera, A.; Bilbao, R. An Augmented Reduced Mechanism for Methane Combustion. Energy Fuels 2004, 18, 619–627. [Google Scholar] [CrossRef]
- Rana, U.; Chakraborty, S.; Som, S. Thermodynamics of premixed combustion in a heat recirculating micro combustor. Energy 2014, 68, 510–518. [Google Scholar] [CrossRef]
- Poinsot, T.; Veynante, D. Theoretical and Numerical Combustion, 2nd ed.; R.T. Edwards: Flourtown, PA, USA, 2005. [Google Scholar]
- Versteeg, H.K.; Malalasekera, W. An Introduction to Computational Fluid Dynamics: The Finite Volume Method, 2nd ed.; Pearson Education: Harlow, UK, 2007. [Google Scholar]
- Zettervall, N.; Fureby, C.; Nilsson, E.J.K. Evaluation of Chemical Kinetic Mechanisms for Methane Combustion: A Review from a CFD Perspective. Fuels 2021, 2, 210–240. [Google Scholar] [CrossRef]
- Olson, D.B.; Gardiner, W.C., Jr. An evaluation of methane combustion mechanisms. J. Phys. Chem. 1977, 81, 2514–2519. [Google Scholar] [CrossRef]
- ANSYS, Inc. Ansys® Fluent, 2023 R1, User’s Guide. ANSYS, Inc.: Canonsburg, PA, USA, 2023. [Google Scholar]
- Krishnamoorthy, G.; Ditaranto, M. Predicting Chemical Flame Lengths and Lift-off Heights in Enclosed, Oxy-Methane Diffusion Flames at Varying O2/CO2 Oxidizer Dilution Ratios. J. Power Technol. 2018, 97, 370–377. [Google Scholar]
- Tang, Q.; Xu, J.; Pope, S.B. Probability density function calculations of local extinction and no production in piloted-jet turbulent methane/air flames. Proc. Combust. Inst. 2000, 28, 133–139. [Google Scholar] [CrossRef]
- Yin, L.; E, J.; Ding, J. Numerical Investigation of the Combustion Characteristics of GO2/GCH4 Splash Platelet Injector. J. Aerosp. Eng. 2022, 35, 04022052. [Google Scholar] [CrossRef]
- Turkeli-Ramadan, Z.; Sharma, R.N.; Raine, R.R. Two-dimensional simulation of premixed laminar flame at microscale. Chem. Eng. Sci. 2015, 138, 414–431. [Google Scholar] [CrossRef]
- Bechtel, J.H. Temperature measurements of the hydroxyl radical and molecular nitrogen in premixed, laminar flames by laser techniques. Appl. Opt. 1979, 18, 2100–2106. [Google Scholar] [CrossRef]
- Li, R.; Luo, Z.; Wang, T.; Cheng, F.; Lin, H.; Zhu, X. Effect of initial temperature and H2 addition on explosion characteristics of H2-poor/CH4/air mixtures. Energy 2020, 213, 118979. [Google Scholar] [CrossRef]
- Glassman, I.; Yetter, R.A. Combustion, 4th ed.; Academic Press: Cambridge, MA, USA, 2008. [Google Scholar] [CrossRef]
Disclaimer/Publisher’s Note: The statements, opinions and data contained in all publications are solely those of the individual author(s) and contributor(s) and not of MDPI and/or the editor(s). MDPI and/or the editor(s) disclaim responsibility for any injury to people or property resulting from any ideas, methods, instructions or products referred to in the content. |
© 2025 by the authors. Licensee MDPI, Basel, Switzerland. This article is an open access article distributed under the terms and conditions of the Creative Commons Attribution (CC BY) license (https://creativecommons.org/licenses/by/4.0/).

















