Abstract
Traffic-related air pollution significantly affects air quality. Many cities have introduced low emission zones (LEZs) to restrict urban transport. Nitrogen dioxide (NO2) is a dangerous pollutant associated with adverse health effects, such as respiratory diseases, cancer, and death. This research aimed to evaluate the impact of implementing an LEZ during an informative period in which no fines were imposed on vehicles. The methodology consisted of several phases. Firstly, the legal levels to guarantee compliance with air quality standards of the Directive 2008/50/EC were studied. Secondly, this study analyzed the temperature and wind speed patterns of the city under investigation. Finally, an in-depth statistical study evaluated the impact of the LEZ at each air quality monitoring station throughout the municipality. The case study focused on Seville, Spain, using data from 2022, 2023, and the first quarter of 2024, the latter corresponding to the reporting period without fines. The results reveal a wide dispersion and periodicity in NO2 concentrations at the monitoring stations. Seville complied with NO2 air quality regulations before the implementation of the LEZ, with similar seasonal patterns observed. A low overall impact was observed in the first three months after implementation. This methodology can be used universally.
1. Introduction
LEZs [1] are designated areas in cities where access for certain polluting vehicles is restricted or deterred to improve air quality, reducing traffic-related emissions and the associated health impacts [2].
The global problem of air pollution, together with the remarkable correlation between different pathologies and environmental factors, is emerging as a critical issue [3]. The World Health Organization (WHO) reports that in 2019, air pollution in urban areas was responsible for approximately 4.2 million premature deaths worldwide. In 2024 [4], almost the whole world’s population (99%) was exposed to levels of air pollution that put them at increased risk of diseases such as heart disease, stroke, and chronic obstructive pulmonary disease, among many others.
Urban traffic produces pollutants that worsen air quality (AQ). Several authors [5,6] confirm the direct link between the exposure of citizens to nitrogen oxides (NOx), especially NO2, and the incidence of respiratory diseases such as asthma, pneumonia, cancer, Parkinson’s, and Alzheimer’s disease in older people [7]. This situation highlights the urgency of addressing air pollution as a global public health imperative and formulating effective policies and strategies to mitigate its adverse effects on population health [8].
Several studies have analyzed the effects of traffic reduction [9,10], including NO2 emissions, during COVID-19 confinement. Air quality improvements caused by LEZs have favorable results. Klauber et al. affirm that children exposed to cleaner air in the womb and in their first year of life require less medication for at least five years [11]. Moreno et al.’s research shows that increasing the perimeters of LEZs, specifically in Paris, can prevent numerous deaths and high rates of asthma [12]. The overall improvement in AQ [13] and reduction in traffic-related illnesses in cities has been demonstrated [14,15].
The implementation of LEZs has social and economic impacts [16]. Improved air quality reduces mortality rates and lowers healthcare costs [12]. Meanwhile, the implementation of an LEZ generates greater social inequalities from the point of view of the purchase of non-polluting vehicles. Citizens with lower incomes have greater difficulties than those with higher incomes [17].
Environmental sustainability and climate change have become global priorities, encouraging governments, organizations, and civil society to seek innovative and effective solutions. In this context, the European Union has adopted ambitious directives [18,19,20,21] to promote a reduction in greenhouse gas emissions and the improvement of air quality. These directives focus on implementing policies and strategies that align local efforts with the objectives of the 2030 Agenda [22].
The European regulations have been transposed into Spanish law. The principles of environmental protection outlined in Regulation 2018/1999 of the European Parliament [23], alongside the National Integrated Energy and Climate Plan 2021–2030 [24] and the Decarbonization Strategy until 2050 [25], form the foundation of the Climate Change and Energy Transition Law 7/2021 [26]. This law underpins the establishment of traffic regulations aimed at improving air quality. Within this framework, Royal Decree 1052/2022 has been enacted to regulate LEZs in Spain [27].
Royal Decree 1052/2022, which regulates LEZs, mandates their implementation in island territories and municipalities with a population of over 50,000 inhabitants to improve AQ. Data from the Spanish National Statistics Institute [28] indicate that as of 1 January 2023, there were 139 cities with populations above this threshold. However, by 31 January 2024, only 13 cities [29] had implemented LEZs.
As NO2 is one of the pollutants associated with traffic [6,30], emissions were investigated in the following three scenarios: years 2022 and 2023, before the full operation of LEZs, and the first three months of 2024, when LEZs had been implemented but without penalties (1 January–31 March 2024). These are current and initial data regarding the implementation of LEZs, which is a limitation of this research.
The research methodology aimed to provide a comprehensive analysis of the development and impact of the implementation of LEZs during the information period without fines. The methodology was divided into three main parts. The first section addressed the primary aim by analyzing compliance with the legal levels of NO2 pollution in the city. The second section focused on the analysis of seasonal patterns of temperature and wind speed. The last section, related to the secondary aim, assessed the effectiveness of LEZs in reducing NO2 emissions. This methodology consisted of performing a comparative statistical analysis, which served as a reference to assess the effectiveness of the measures adopted before the beginning of the LEZ enforcement period.
The average spatial distribution of NO2 in the Iberian Peninsula indicates that the cities with the highest concentrations thereof are Madrid and Barcelona, followed by other important cities, although with lower concentrations. These include Valencia, Seville, Granada, Bilbao, and Gijón [31].
Seville (Andalusia, Spain) was used as a case study. It corresponds to the fourth largest municipality in Spain, which has recently implemented an LEZ in the ‘SmartCity-Sevilla’ project.
After this introduction, this research will be developed with a bibliographical review related to the pollutant NO2 and its legal limits and previous experiences of LEZs in Europe and Spain, followed by the materials and methods used for the analysis, the application to the case of the city of Seville, the presentation of the results and discussion, and, finally, the conclusions and future lines of research.
2. Background
This section presents some of the experiences in Europe of using LEZs to reduce pollutant levels and improve urban air quality, focusing on NO2 as one of the pollutants responsible for different types of diseases. Next, the exposure limits for the pollutant NO2 in Spain, which are the same as in Europe, are presented. Then, some examples of Spanish cities that have implemented LEZs are examined. Finally, Seville is presented as a case study, as the authors are not aware of any research on the LEZ in the city, which has been in operation since 1st January 2024.
2.1. The Pollutant NO2
The pollutant NO2 is related to urban traffic. NO2 causes respiratory diseases such as asthma and respiratory symptoms [32], cancer [32,33,34,35], and even cardiovascular death [36,37,38]. Cardiovascular disease (CVD) is the leading cause of death globally. According to the WHO, CVD was responsible for more than 30% of global deaths in 2018 [39]. Being aware of this problem, the European Union has actively legislated directives to control the levels of this pollutant, specifically in Directive 2008/50/EC [21], which establishes the limit values for NO2. Moreover, in Spain, this Directive has been transposed into Law 34/2007 [40] and a Royal Decree [41], which implements it in the field of air quality. It establishes three types of threshold values for NO2: the hourly limit value (HLV), the annual limit value (ALV), and the warning threshold value (WTV).
2.2. LEZs in Europe
LEZs have been introduced in several European cities to improve air quality (AQ) by reducing pollutants that affect health and are related to urban traffic pollutants. These pollutants include PM2.5, PM10, NOx, O3, and SO2 [41,42,43]. These zones restrict or prevent access to highly polluting vehicles. In addition to the access rules of the municipality, which generally allow access to residents living within the LEZ, other criteria relating to vehicle pollution are considered based on the Euro 1–7 access rules [44,45,46,47].
Currently, more than 300 European municipalities have implemented LEZs that restrict traffic in certain areas, with a notable presence mainly in Italy [48] and Germany [49]. Italy leads with 170 cities applying these zones, followed by Germany with 78, the UK with 17, the Netherlands with 14, and France with 8. The LEZs and zero-emission vehicle zones (ZVCEs) in Europe can be found on the website of Sadler Consultants Europe GmbH [29].
Previous studies in European cities have shown the effects of implementing LEZs. A study on NO2 exposure among children aged 8–9 years in Central London found that although there were small improvements in air quality with the LEZ, there were improvements in children’s health [29]. Other studies in German cities, including Stuttgart, Hamburg, Berlin, and Cologne, have analyzed the impact of LEZs in relation to traffic restrictions [32]. Air quality has been improved, mainly shown in the reduction in circulatory diseases and chronic lower respiratory diseases.
The website Urban Access Regulations in Europe of Sadler Consultants Europe [29] provides basic information on the restrictions for each country and city, delineating the LEZs.
2.3. LEZs in Spain
In Spain, there is mandatory legislation [27] for LEZs, and their implementation has been obligatory from 1st January 2023.
Many cities have not complied with this obligation and do not have an active LEZ. Considering cities with more than 50,000 inhabitants, according to the Official Census of 1 January 2023, only 12 of the possible 143 cities had active LEZs on 1 January 2024 [29]. This represents 8.63% of the possible cities.
Several studies have focused on larger cities, such as Madrid and Barcelona. For instance, studies have analyzed the effectiveness of air pollution reduction [50] and the reduction in NO2 in Madrid Central [51]. The level of public acceptance in Madrid Central has also been analyzed using criteria related to socioeconomic conditions, demographics, personal attitudes, travel-related variables, and mobility in the LEZ [52]. Meanwhile, the CALIOPE urban model [46] has been used to study the effects of Barcelona’s LEZ implemented in 2017. Like Madrid Central, the public acceptance of the LEZ has been analyzed [53]. Other authors have reported that NO2 is the pollutant that is most reduced at the street level in Barcelona because of the reduction in urban traffic [43].
No research on LEZs has been conducted in Seville, despite it being the fourth largest municipality in Spain, with 684,164 inhabitants as of 1 January 2024 [28].
2.4. Seville Case Study: ‘Cartuja Norte’ and ‘Cartuja Sur’ LEZs
Seville is a city located in southern Spain (Andalusia) and has a Mediterranean climate with hot, dry summers and mild, wet winters. Summer temperatures often exceed 35 °C (95° F), while winter temperatures range from 10 °C to 20 °C (50° F to 68° F). Most rainfall occurs between October and April, with the city enjoying over 2900 h of sunshine annually. According to the Spanish State Meteorological Agency, it has the following geographical location: an altitude of 11 m, a latitude of 37°23′10″ N, and a longitude of 5°59′33″ W [43]. Seville has an area of 142.44 Km2 [54].
According to the Urban Mobility Plan (UMP) [54], Seville City Council has LEZs called ‘Cartuja Norte’ and ‘Cartuja Sur’. The UMP is the official document setting out, among other aspects, the number and size of LEZs. In the case of Seville, the two LEZs have been established as permanent LEZs. Figure 1 shows the layout of the two LEZs.
Figure 1.
(a) LEZ “Cartuja Norte”; (b) LEZ “Cartuja Sur”.
These LEZs are part of the eCity-Sevilla Project [55], which aims to develop a science and technology park that promotes the sustainable development of the city of Seville in line with the Sustainable Development Goals of the 2030 Agenda [22]. These LEZs are in the peripheric zone of Seville on the world exposition ‘Expo 92’ site, and are of approximately 200 hectares in size. Business, commercial, and university activities are carried out. The main restriction is the prohibition of combustion road traffic, mainly particular cars, with access on working days from 07:00 to 19:00.
3. Materials and Methods
The materials used in this research correspond to measurements obtained from control and monitoring stations in Spain. This network is part of the European Air Quality Network. Specifically, data on NO2 concentrations were obtained from stations in the municipality of Seville. The database was obtained from open sources that depend on the Regional Government of Andalusia, which is responsible for air quality monitoring throughout Andalusia.
The methodology used in this research consisted of a double database analysis. It included 185,142,358 data corresponding to the concentrations of the pollutant NO2 at the 7 existing stations in Seville during the study period. The database is available in the Supplementary Materials. Firstly, the limit values of the NO2 pollutant for Seville and their compliance were assessed according to the maximum values indicated in the Directive 2008/50/EC. All values obtained at the stations were used for this.
Secondly, the effects of the LEZs in Seville were analyzed. For this purpose, a comparative study of the behavior of the concentrations at the 7 traffic stations indicated in Table 1 was carried out. The analysis was performed monthly during the working days when traffic caused the highest NO2 concentrations in 2022, 2023 (before the LEZs started operating), and the first quarter of 2024, corresponding to the information period of the LEZs before they were fully operational. This comparison was made individually for each monitoring station and with the overall data for the city.
Table 1.
Air quality traffic station measurements in the city of Seville.
Table 1 shows the name, ministry code, junta code, and UTM coordinates of the traffic stations that measure various pollutants in Seville, including NO2, the pollutant under research.
3.1. Study Period
The LEZs were implemented in Seville in January 2024. This research covered 2022, 2023, and the first three months of 2024, from 1 January to 30 March. During these first three months of 2024, the LEZs were in operation in an informative period and without any fines.
3.2. AQ Measuring Stations
According to the European Environmental Agency, ‘The index called air quality is calculated hourly for more than 3500 air quality monitoring stations across Europe, using a combination of up-to-date data reported by EEA member countries’. The updated IAQ data collected at European Network stations are available on the European Network website [18].
Regarding the infrastructure needed to monitor and control the LEZs, in addition to the appropriate signage in each country, which, in the case of Spain, is defined by Royal Decree 1052/2022 [27], such actions improve AQ [56,57,58,59]. The Spanish AQ Observation Network [60] provides historical and real-time data from more than 600 fixed stations for monitoring air quality.
The Air Monitoring Network of the Regional Government of Andalusia provides official AQ data. It consists of more than 90 air quality monitoring stations in the 8 provinces of Andalusia [61]. The AQ in each of the main municipalities is known from this network. This section provides the Keyhole Markup Language file to locate any of the stations in the Andalusian network [62].
Regarding this case study, ‘Torneo’ Station is located next to the LEZs. This station monitors the main traffic-related pollutants: PM2.5, PM10, NO2, SO2, and O3. Figure 2 shows the topographic positioning of the seven measuring traffic stations in the city of Seville.
Figure 2.
Location of air quality traffic station measurements in the city of Seville.
3.3. Statistical Methodology
First, a statistical descriptive study was carried out to analyze compliance with the legislation on annual, hourly, and alert thresholds in the municipality of Seville. Then, we checked if the data followed a normal distribution using the Shapiro–Wilk normality test to carry out the statistical study of NO2 concentrations [63]. The data collected showed a strong asymmetry to the right, with a higher concentration of low NO2 levels compared with the high observations or punctual peaks in the measurements.
An ANOVA could not be performed to check whether the means were the same or different due to the lack of data normality; hence, the median parameter was used to compare the concentrations in the different months. This comparison enabled us to generate a reference framework before the establishment of the LEZs. The data recorded on weekdays were selected to avoid distortions caused by holidays when road traffic is lower. As such, the different months could be compared under equal conditions.
3.4. Meteorological Conditions
Meteorological conditions are an important factor to consider when evaluating LEZs. Some authors have investigated the influence of wind and temperature, investigating temporal patterns and their effect on NO2 in cities. Studies showed that higher NO2 concentrations are generally associated with weaker wind speeds [64].
NO2 concentrations are higher on hotter days (>32 °C) than on milder days (26 °C–32 °C) and decrease at moderate temperatures [65]. However, NO2 concentrations increase with increasing temperature at a 1000 hPa level [66].
Several authors have found a strong correlation between satellite-derived NO2 data and ground-based measurements [65,67,68]. They used the Tropospheric Monitoring Instrument (TROPOMI) on board the Sentinel-5 Precursor Satellite (Sentinel-5P), both developed and built by the European Space Agency.
In our research, these satellite data were used to observe annual trends in meteorological conditions. Temperature and wind speed were measured with high correlation via results compared with ERAS-5 data [69]. Data for the years 2022, 2023, and 2024 were obtained from the ERA5-Land Daily Aggregated database [70] and processed via the different scripts in the Google Earth Engine Code Editor (GEEGE) to evaluate the temperature [69] and wind patterns.
Temperature data were obtained from the ERA5-Land Daily Aggregated–ECMWF Climate Reanalysis database, which is openly available via the Google Earth Engine. These data come from a climate Reanalysis that combines several data sources, including satellites, weather stations, and numerical weather models. The data correspond to the “temperature_2m” band, which is the air temperature at 2 m above the surface of land, sea, or inland water. The temperature at 2 m was calculated via interpolation between the lowest model level and the surface, considering the atmospheric conditions. The same database was also used for wind speed, for which the combination of the bands “u_component_of_wind_10m” and “v_component_of_wind_10m” was used. The JavaScript V8 programming to obtain the temperature and wind speed data can be found in Supplementary Materials Files S1 and S2.
The limitation of our research is that we did not apply other weather conditions. We used the two most influential weather conditions in the city.
3.5. Software Tools
The GEECE was used to process satellite images, as carried out by C. Morilla et al. [68]. This platform allows access to a wide catalog of satellite data via Java Script programming. These data are open source for research.
The SPSS 29.0.0.0 and Statgraphics Centurion 19 software were used for the statistical analysis. Both software programs allow for information processing to determine the statistical behavior.
4. Results and Discussion
4.1. Legal Threshold Analysis
This section includes the HLV (hourly level value), ALV (annual level value), and WTV (warning threshold value), which were observed at the measurement stations in the city of Seville to verify regulatory compliance. Table 2 includes the observed and compliance measures of these legal values in µg/m3 for the city of Seville. The maximum hourly value of the extreme concentration level of the pollutant in each month was recorded to verify compliance with the HLV. The 200 µg/m3 threshold was not exceeded in any of the years of this research. The value of the maximum daily concentration for 3 consecutive hours in the control zone was recorded to verify compliance with the WTV. In the case of Spain, the maximum was 400 µg/m3.
Table 2.
Observed and compliance values of HLV, ALV, and WTV in µg/m3 for the city of Seville. Legal values are in parentheses.
The average NO2 concentration values were calculated in the years 2022 and 2023. None of them exceeded the threshold of 40 µg/m3. The year 2024 was not considered because of the short time period (3 months). In relation to the WTV, the value presented in Table 2 corresponds to the maximum concentration level observed in the year.
The city of Seville complies with RD 1052/2022, which regulates low emission zones [26], since none of the observed values exceeded the thresholds established for this regulation. This aspect is important for the compliance of the future LEZs in Seville because following the scientific evidence and implementing low emission zones has not been a priority, despite being mandatory as per the European regulation [20].
4.2. Meteorological Conditions During the Study Research
The patterns corresponding to two meteorological variables, temperature and wind speed, will be analyzed in the following sections. This research was carried out for the period of study stated.
4.2.1. Temperature Patterns
According to the data gleaned from the ERA5-Land Daily Aggregated–ECMWF Climate Reanalysis, obtained via custom programming in the Google Earth Engine, Figure 3 reveals a characteristic pattern for the city. In Winter (January–March), all three curves began at relatively low values (approximately 5–10 °C) without dipping into extreme temperatures. Temperatures gradually increased in spring (April–May), reaching approximately 20–25 °C. The three series followed similar fluctuations during this interval. The highest values of the year occurred in summer (June–August), often exceeding 30 °C. This was the warmest period, in line with the city’s characteristic hot summers. Temperatures dropped noticeably in autumn (September–November), settling at approximately 20 °C or below as the season progressed. The curves fell below 15 °C in the transition to winter (December) at the end of the period, marking the close of the annual cycle.
Figure 3.
Temperature during the study period.
Temperature variations remained remarkably similar across 2022, 2023, and the first quarter of 2024, both at their highest and lowest points. This reaffirms Seville’s typical climate: scorching summers, mild springs and autumns, and a cool winter that never becomes too extreme.
Focusing on the first-quarter data for 2022, 2023, and 2024, as shown in Figure 4, a slight upward trend in temperatures was observed as the weeks progressed toward late March, indicating the transition from winter to spring. All three series showed mild winter conditions, with a few isolated peaks.
Figure 4.
Temperature assessment in the first quarter of the years 2022, 2023, and 2024.
In summary, the three series indicated a relatively mild winter (no extremes), with a gradual increase in temperature toward the end of March. There were some minor differences in the intensity and frequency of the peaks, but none suggested a markedly different pattern from the others. Therefore, it can be concluded that the overall behavior remained broadly similar over the three years.
4.2.2. Wind Speed Patterns
Comparing the full years 2022 and 2023 and the first quarter of 2024, as depicted in Figure 5, the results for 2022 show a range from 0 to almost 7 m/s, with some strong peaks in the first half of the period (days ~6 and ~50) and a very noticeable maximum toward the end (day ~350). In 2023, relatively spaced ups and downs were observed, with peaks at approximately 5-6 m/s (e.g., near day 70 and around day 265). The first half did not show such extreme values as in 2022. Finally, there were early peaks (days ~10 to ~80) in the first quarter of 2024, reaching values of up to 5–6 m/s.
Figure 5.
Wind speed in the study period.
Overall, there was no clear trend from one year to the next (neither a sustained rise nor a sustained fall in average speed). Each year showed variations and peaks at different times, reflecting the high natural variability in the wind across the three seasons.
Assessing the air speed for January, February, and March in 2022, 2023, and 2024, as depicted in Figure 6, the three years exhibited a pattern of continuous variability (with ups and downs) within similar ranges (approximately 1–5 m/s), occasionally hitting peaks near 5–6 m/s. None of the three showed a prolonged phase of steady winds. Instead, each exhibited fluctuations over the 90-day period. Moreover, although their linear trends diverged (positive in 2023 and negative in 2022 and 2024), they all displayed the characteristic alternation between windier days and calmer intervals during the first quarter.
Figure 6.
Wind speed assessment in the first quarter of the years 2022, 2023, and 2024.
4.3. Evaluation of Seasonal Patterns
Figure 3 shows that the temperature had a similar seasonal pattern in the period under study. In winter, there were low temperatures at the beginning, and milder temperatures coincided with the beginning of spring. The range of minimum temperatures was between 6.86 and 7.90 °C, and the maximum temperatures were between 9.91 and 18.85 °C. In spring, temperatures were milder and ranged between 9.91 and 31.5 °C. In summer, temperatures ranged from 31.5 °C to 35.05 °C. Finally, in autumn, temperatures ranged from 35.05 to 7.71 °C. Therefore, the summer and spring patterns showed an increasing trend, and the autumn and winter patterns showed a decreasing trend.
Figure 5 demonstrates that the wind speed had a similar seasonal pattern in the period under study. In winter, there were higher wind speeds at the beginning, and milder wind speeds coincided with the beginning of spring. The maximum wind speeds were between 5.76 and 6.19 m/s. In spring, the wind speeds were milder and ranged between 6.19 and 5.35 m/s. In summer, the wind speed ranged from 5.35 to 3.68 m/s. Finally, in autumn, the wind speed ranged from 3.68 to 6.19 m/s °C. Therefore, summer and spring patterns exhibited a decreasing trend, and the autumn and winter patterns exhibited an increasing trend.
We compared the frequencies of both variables in the first quarters of 2022, 2023, and 2024 to better comprehend these similar seasonal patterns in wind speed and temperature. We used the non-parametric Kruskal–Wallis test to evaluate the behavior of the medians. Table 3 includes the test statistics and p-values obtained.
Table 3.
Comparison between the medians of temperature and wind speed from the first quarter of 2022, 2023, and 2024 in the city of Seville. Source (ERA5-Land Daily Aggregated database).
Table 3 shows that no statistically significant differences in behavior and periodicity were detected in the temperature or wind speed in the first quarters of 2022, 2023, and 2024.
4.4. Global Statical Analysis
In this section, a statistical study of the period of the months under study between the years 2022 and 2024 will be carried out. Descriptive parameters were collected, including the mean, standard deviation, and median of the polluting values, as well as the maximum values and the asymmetry showing the distribution.
First, a large disparity was observed in the NO2 concentration throughout the year in all seasons. For example, Figure 7 shows the distribution of the measurements registered at Torneo Station. The pollutant concentration peaks (above 60 µg/m3) were recorded at this station, especially in winter.
Figure 7.
NO2 measurements registered at Torneo Station (2022) in µg/m3.
The summarized statistical information on the NO2 levels registered at all the measuring stations in Seville is collected in Table 4. In 2022, the NO2 level had a maximum of 135 µg/m3, a measurement recorded on January 31st at 22h at Station 4. Meanwhile, in 2023, the maximum was recorded on 28 September at 22h at Station 4, with 161 µg/m3. Both measurements were registered at the same station of Ranilla at nighttime.
Table 4.
Descriptive statistical information (Mean, Median, Standard deviation, and Maximum values in µg/m3) registered in all 7 measuring stations in the city of Seville. Skewness values are also included, showing the high right asymmetry of the data.
The levels showed a clear daily and biannual periodicity corresponding with the night/daytime, and due to the effect of the summer holiday season in July and August. In this period, the concentration of NO2 was 26% lower on average, dropping the mean from 22.1 µg/m3 to 16.3 µg/m3.
The median concentrations were used to compare the months of 2022, 2023, and 2024 due to the lack of data normality. Lower median concentration values were observed in January, February, and March 2023 compared with the levels corresponding to those months in 2022. February stands out, with a decrease of 7 µg/m3 (from 28 to 21 µg/m3). Although a decrease was recorded in March, it was not statistically significant, as it did not pass the MW statistical test.
The pollutant concentration did not follow a clear pattern in the following months of 2023, with stability, decreases, and increases in the median values. This was notable in months such as April (with an increase from 14 to 17 µg/m3), September (with an increase from 13.75 to 17 µg/m3), and November and December (with median increases of 3 µg/m3 in relation to the values recorded in the corresponding months of the previous year). Moreover, all these increases were of statistical significance, since the p-value of the MW contrast was lower than the 5% significance level.
Considering the three months of the informative period (January–March 2024), higher values were observed in January and lower values were observed in February and March at all the stations studied. Concentrations varied between 16 and 21 µg/m3.
4.5. Statistical Analysis for Separate Stations
In this section, the medians collected during the months under study at each station will be compared. This will allow us to verify the effects that the establishment of the first measures of the low emission zones had on the city of Seville. The San Jerónimo station only recorded measurements during the first months of 2022 and the last months of 2023, due to sensor problems. This meant that comparisons with the months of the different periods could not be made for this station.
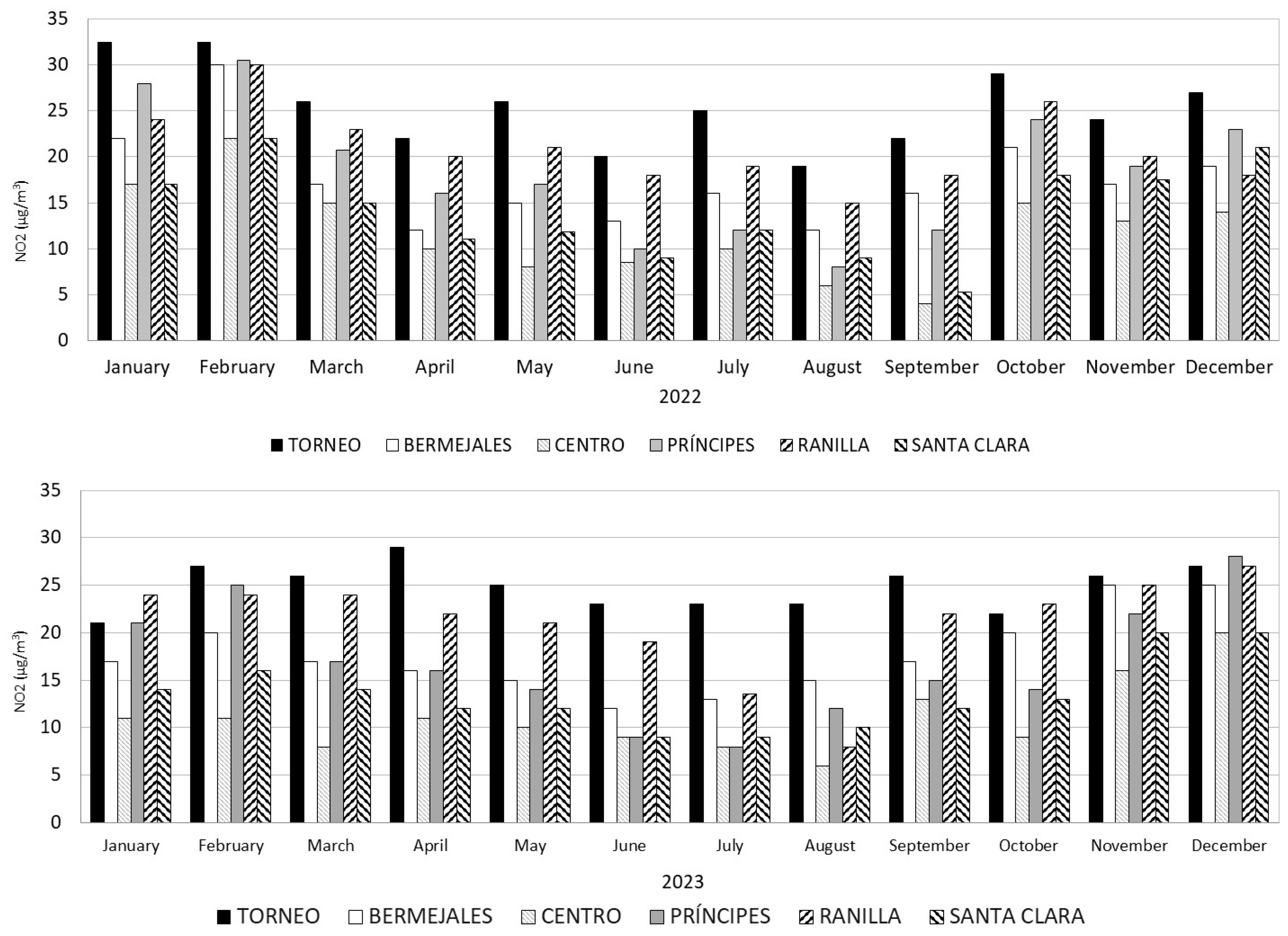
Figure 8 shows the median levels of the NO2 pollutant recorded at all the stations of the network in Seville in the years 2022 and 2023 in each month in µg/m3.
Figure 8.
NO2 medians registered at all the stations in each month of years 2022 and 2023 in µg/m3.
First, the periodicity detected in the previous section was verified, with a decrease in the NO2 concentration level in the summer months in relation to the rest of the year. Likewise, the Torneo and Ranilla Stations showed higher concentrations of pollutants, standing out in almost all months. This difference was more pronounced in the summer months, with levels of approximately 20 and 25 µg/m3. This difference was more pronounced at Torneo Station, which is very close to the established low emission zone of Cartuja.
Meanwhile, the Centro and Santa Clara Stations showed the lowest NO2 levels, which were more continuous over time, at approximately 10–15 µg/m3. In the summer months of 2023, with a much lower concentration of road traffic in Seville, Torneo Station recorded practically doubled pollutant levels in relation to the rest of the measurement stations.
Comparing the years 2022 and 2023, the median levels were very similar, although several decreases and increases in specific months were detected. Higher values were observed, in general, in November and December 2023 (greater than 15 µg/m3 in all stations) and January and February 2022 (reaching peaks of up to 30 µg/m3).
To compare the levels of pollutants between the years 2022 and 2023, the medians of each month were compared using the Mann–Whitney test to determine whether the differences detected were statistically significant. If the p-value was less than 0.05, the null hypothesis of similar distributions and, hence, equal medians, was rejected.
Table 5 displays the number of months of the year 2023 for which differences (increases or decreases) were detected. There were months with statistically significant increases and decreases in the NO2 level at all stations, regardless of the location or proximity to the low emission zone of Cartuja. The increase in the level of pollution was higher and statistically significant for 4 months of 2023 at the closest Torneo Station.
Table 5.
Number of months in 2023 in which differences in NO2 concentrations were detected with respect to 2022, both increases and decreases, detailing the number of months that are statistically significant in each of the two cases.
To check the behaviors of the stations during the different months of the year, Table 6 shows the number of stations in which an increase or decrease in pollutant levels was recorded in 2023 in relation to 2022, as well as whether this difference was statistically significant. In January, February, July, and October 2023, no station recorded an increase in the median NO2 concentrations. Moreover, most of the stations exhibited decreased levels in these months. The month of February 2023 stands out, where a statistically significant decrease also occurred at the six measurement stations.
Table 6.
Number of stations in each month of 2023 with decreased or increased levels of NO2 in relation to the months of 2022. San Jerónimo station is not considered due to the lack of data.
On the contrary, in April, September, November, and December, no stations reported a decrease in levels, and quite a few months showed an increase with statistical significance. September and December 2023, where most stations reported an increase in NO2 levels, also showed statistically significant differences.
Therefore, a behavior with a downward trend in levels was detected in the first months of 2023 in relation to their counterparts in 2022. In addition, an increase in the last months of 2023 was detected.
Likewise, a time series of the median pollutant concentration was carried out to verify the trend in the levels at each station. The NO2 medians registered at all the stations of the city of Seville in each month (2022, 2023, and 2024) are attached in Figure 9. Annual periodicity was especially observed in Príncipe, Santa Clara, Bermejales, and Centro Stations. NO2 levels were higher in Torneo (approximately 25–35 µg/m3), while the Centro and Santa Clara Stations showed lower values (approximately 10–20 µg/m3).
Figure 9.
NO2 medians registered at all the stations in each month of years 2022, 2023, and 2024 in µg/m3.
Observing the time series, a significant decrease was not shown in the years of this study, which reaffirms what was indicated in Table 6. The first three months of 2024 (dashed line) correspond to the LEZ reporting period. Comparing this period with the previous months of 2022 and 2023, no favorable impact was detected in any station, even in the closest to the LEZs—Torneo Station.
San Jerónimo Station was excluded from this analysis, as it did not have representative data on NO2 concentrations.
4.6. Statistical Analysis for Assessing Medians of First Quarters of Years 2022, 2023, and 2024
Finally, we compared the medians of the first 3 months using the Kruskal–Wallis test to identify significant differences and obtain a better understanding of the distribution dynamics of the pollutant levels in the study period. The results are displayed in Table 7.
Table 7.
Median values of NO2 and Kruskal–Wallis test statistics and p-values to compare the medians of the first quarter of the year.
In general, we observed differences in all the stations under study, with different behaviors in relation to the median value. First, we observed a reduction in the median NO2 values in each quarter at the Príncipes, Ranilla, and Torneo Stations. Furthermore, these differences were statistically significant (p-value < 0.01). In the case of Santa Clara Station, the decrease in the pollutant level was only observed in the first quarters of 2022 and 2023; the median was stable in 2024. This difference from the first two years was also statistically significant.
In the case of Torneo Station, which is the closest to the low emission zone, the restriction of access to the zone may have positively influenced the levels of pollutants associated with urban traffic recorded at the station. This reduction only affected the comparison of the first quarters of 2022, 2023, and 2024, in line with the conclusions of [50,65], who also detected a reduction in Madrid Central. However, the reduction observed in our study did not extend to the rest of the months of the year, demonstrating a high heterogeneity, with increases and decreases, in the NO2 levels.
Further research over a longer period of time, with an extended period of fines included, will be necessary to verify whether the effectiveness of the introduction of the LEZs is maintained and increases over time.
5. Conclusions
Based on the analysis of the results, the most relevant conclusions obtained in this research are detailed as follows:
- In 2022, 2023, and the first three months of 2024, none of the stations exceeded the annual, daily, or alert thresholds set by law, which are 200 µg/m3 in one hour, 40 µg/m3 on average over the year, and 400 µg/m3 for three consecutive hours in the municipality of Seville;
- Regarding the behaviors of wind speed and temperature, similar patterns were observed in the years 2022, 2023, and 2024, as well as in the first quarters of these years;
- Periodicities were observed, which coincided with the summer holiday periods. The NO2 concentrations were 26% lower in the summer months (average: 16.3 compared with 22.1);
- Comparing the years 2022 and 2023, before the implementation of the LEZs Cartuja Norte and Cartuja Sur, higher median values were observed in November and December 2023 (greater than 15 µg/m3 at all stations) and January and February 2022 (reaching peaks of up to 30 µg/m3);
- Comparing the months in 2022 and 2023, no statistically significant reductions in the NO2 pollutant concentration were observed at the monitoring stations in the city of Seville. An increase was detected in several months;
- The above data for the three months of 2024 show that there was no impact on the reduction in NO2 pollutant levels in the city of Seville during the information phase of the previous LEZs;
- Therefore, to date, the Cartuja Norte and Cartuja Sur LEZs do not appear to have improved NO2 concentrations at all air quality monitoring stations in the city of Seville during the reporting period;
- This method was applied in the initial period of operation of the LEZs in Seville. Nevertheless, it is universal, allowing this study to be carried out in any city with air quality measurement stations.
Future researchers should analyze the impact of LEZs in relation to the concentrations of NO2 and other urban pollutants, such as O3 and PM10.
Supplementary Materials
The following supporting information can be downloaded at: https://www.mdpi.com/article/10.3390/pr13030645/s1. Supplementary File S1: Script for satellite temperature data, Supplementary File S2: Script for satellite wind speed data, and Supplementary File S3: NO2 data for the years 2022, 2023, and the first quarter of 2024.
Author Contributions
Conceptualization, A.P.-F. and A.C.N.; methodology, A.P.-F., A.S.A. and J.-R.L.-R.; software, A.P.-F., A.S.A. and M.R.-P.; validation, A.P.-F., A.S.A. and M.O.-M.; formal analysis, A.P.-F., A.S.A. and A.C.N.; investigation, A.P.-F., A.S.A., J.-R.L.-R. and M.R.-P.; resources, A.P.-F., M.O.-M. and M.R.-P.; data curation, A.P.-F., A.S.A. and J.-R.L.-R.; writing—original draft preparation, A.P.-F., J.-R.L.-R. and A.S.A.; writing—review and editing, A.P.-F., A.C.N. and M.R.-P.; visualization, A.P.-F., M.O.-M. and M.R.-P.; supervision, A.P.-F. and A.S.A.; project administration, A.P.-F. and A.S.A.; funding acquisition, A.P.-F., A.C.N., J.-R.L.-R., M.O.-M. and M.R.-P. All authors have read and agreed to the published version of the manuscript.
Funding
This research received no external funding.
Data Availability Statement
The data presented in this study are available at Junta de Andalucía. Available online: https://ws041.juntadeandalucia.es/pentaho/api/repos/%3Apublic%3ACalidad_Aire%3ACalidad_Aire.wcdf/generatedContent (accessed on 18 July 2024), and Google Earth Engine Data. Available online: https://developers.google.com/earth-engine/datasets/catalog/ECMWF_ERA5_LAND_DAILY_AGGR (accessed on 22 February 2025).
Acknowledgments
All authors acknowledge the help received by the research groups ESTIO FQM243, TEP-022, and TEP-955 from the PAIDI. All authors acknowledge Google Earth Engine for free access to databases.
Conflicts of Interest
The authors declare that there are no conflicts of interest regarding the publication of this paper.
References
- Browne, M.; Allen, J.; Anderson, S. Low Emission Zones: The Likely Effects on the Freight Transport Sector. Int. J. Logist. Res. Appl. 2005, 8, 269–281. [Google Scholar] [CrossRef]
- Pestel, N.; Wozny, F. Health effects of Low Emission Zones: Evidence from German hospitals. J. Environ. Econ. Manag. 2021, 109, 102512. [Google Scholar] [CrossRef]
- Prüss-Ustün, A.; Wolf, J.; Corvalán, C.; Neville, T.; Bos, R.; Neira, M. Diseases Due to Unhealthy Environments: An Updated Estimate of the Global Burden of Disease Attributable to Environmental Determinants of Health. J. Public Health 2017, 39, 464–475. [Google Scholar] [CrossRef]
- Word Health Organization. The Global Health Observatory of WHO. Available online: https://www.who.int/data/gho/data/themes/air-pollution (accessed on 22 April 2024).
- Huangfu, P.; Atkinson, R. Long-Term Exposure to NO2 and O3 and All-Cause and Respiratory Mortality: A Systematic Review and Meta-Analysis. Environ. Int. 2020, 144, 105998. [Google Scholar] [CrossRef]
- Khan, M. A Review of Traffic-Related Air Pollution. Int. J. Eng. Work. 2021, 8, 175–179. [Google Scholar] [CrossRef]
- Tham, R.; Schikowski, T. The Role of Traffic-Related Air Pollution on Neurodegenerative Diseases in Older People: An Epidemiological Perspective. J. Alzheimer’s Dis. 2021, 79, 949–959. [Google Scholar] [CrossRef] [PubMed]
- Huang, Y.; Lei, C.; Liu, C.H.; Perez, P.; Forehead, H.; Kong, S.; Zhou, J.L. A Review of Strategies for Mitigating Roadside Air Pollution in Urban Street Canyons. Environ. Pollut. 2021, 280, 116971. [Google Scholar] [CrossRef] [PubMed]
- Rossi, R.; Ceccato, R.; Gastaldi, M. Effect of Road Traffic on Air Pollution. Experimental Evidence from Covid-19 Lockdown. Sustainability 2020, 12, 8984. [Google Scholar] [CrossRef]
- Singh, D.; Dahiya, M.; Nanda, C. Geospatial View of Air Pollution and Health Risk Over North Indian Region in COVID-19 Scenario. J. Indian Soc. Remote Sens. 2022, 50, 1145–1162. [Google Scholar] [CrossRef]
- Klauber, H.; Holub, F.; Koch, N.; Pestel, N.; Ritter, N.; Rohlf, A. Killing Prescriptions Softly: Low Emission Zones and Child Health from Birth to School. SSRN Electron. J. 2021. IZA Discussion Paper No. 14376. Available online: https://ssrn.com/abstract=3851052 (accessed on 22 April 2024). [CrossRef]
- Moreno, E.; Schwarz, L.; Host, S.; Chanel, O.; Benmarhnia, T. Correction to: The Environmental Justice Implications of the Paris Low Emission Zone: A Health and Economic Impact Assessment. Air Qual. Atmos. Health 2022, 15, 2171–2184. [Google Scholar] [CrossRef]
- Bao, R.; Zhang, A. Does Lockdown Reduce Air Pollution? Evidence from 44 Cities in Northern China. Sci. Total Environ. 2020, 731, 139052. [Google Scholar] [CrossRef] [PubMed]
- Kerimray, A.; Baimatova, N.; Ibragimova, O.P.; Bukenov, B.; Kenessov, B.; Plotitsyn, P.; Karaca, F. Assessing Air Quality Changes in Large Cities during COVID-19 Lockdowns: The Impacts of Traffic-Free Urban Conditions in Almaty, Kazakhstan. Sci. Total Environ. 2020, 730, 139179. [Google Scholar] [CrossRef] [PubMed]
- Heydari, S.; Asgharian, M.; Kelly, F.J.; Goel, R. Potential Health Benefits of Eliminating Traffic Emissions in Urban Areas. PLoS ONE 2022, 17, e0264803. [Google Scholar] [CrossRef] [PubMed]
- Seo, J.H.; Kim, J.S.; Yang, J.; Yun, H.; Roh, M.; Kim, J.W.; Yu, S.; Jeong, N.N.; Jeon, H.W.; Choi, J.S.; et al. Changes in Air Quality during the COVID-19 Pandemic and Associated Health Benefits in Korea. Appl. Sci. 2020, 10, 8720. [Google Scholar] [CrossRef]
- De Vrij, E.; Vanoutrive, T. ‘No-One Visits Me Anymore’: Low Emission Zones and Social Exclusion via Sustainable Transport Policy. J. Environ. Policy Plan. 2022, 24, 640–652. [Google Scholar] [CrossRef]
- European Environment Agency European Air Quality Index. Available online: https://airindex.eea.europa.eu/AQI/index.html (accessed on 27 February 2023).
- The European Parliament; The Council of the European Union. Directive (EU) 2015/1480. of 28 August 2015 amending several annexes to Directives 2004/107/EC and 2008/50/EC of the European Parliament and of the Council laying down the rules concerning reference methods, data validation and location of sampling points for the assessment of ambient air quality (Text with EEA relevance). Off. J. Eur. Union 2015, L 226, 4–11. [Google Scholar]
- The European Parliament; The Council of the European Union. Directive 2004/107/EC of the European Parliament and of the Council of 15 December 2004 relating to arsenic, cadmium, mercury, nickel and polycyclic aromatic hydrocarbons in ambient air. Off. J. Eur. Union 2004, L 23, 3–16. [Google Scholar]
- The European Parliament; The Council of the European Union. Directive 2008/50/EC of the European Parliament and of the Council of 21 May 2008 on ambient air quality and cleaner air for Europe. Off. J. Eur. Union 2008, L 152, 1–44. [Google Scholar]
- United Nations 2030 Agenda. Available online: https://www.un.org/sustainabledevelopment/ (accessed on 25 May 2020).
- The European Parliament; The Council of the European Union. Regulation (EU) 2018/1999 on the Governance of the Energy Union and Climate Action. Off. J. Eur. Union 2018, L 328, 1–77. [Google Scholar]
- Ministerio para la Transición Ecológica y Reto Demográfico de España. Plan Nacional Integrado de Energía y Clima 2021–2030; Ministerio para la Transición Ecológica y Reto Demográfico de España: Madrid, Spain, 2021. Available online: https://www.miteco.gob.es/es/energia/estrategia-normativa/pniec-23-30.html (accessed on 10 January 2023).
- Ministerio para la Transición Ecológica y Reto Demográfico de España. Estrategia de Descarbonización a Largo Plazo 2050; Ministerio para la Transición Ecológica y Reto Demográfico de España: Madrid, Spain, 2020. Available online: https://www.miteco.gob.es/es/ministerio/marco-estrategico-energia-clima.html (accessed on 26 September 2023).
- Ley 7/2021, de Cambio Climático y Transición Energética. 2021, pp. 1–46. Available online: https://www.boe.es/eli/es/l/2021/05/20/7 (accessed on 15 January 2024).
- Decreto 1052/2022, Por El Que Se Regulan Las Zonas de Bajas Emisiones; Madrid, 2022. pp. 1–20. Available online: https://www.boe.es/boe/dias/2022/12/28/pdfs/BOE-A-2022-22689.pdf (accessed on 12 February 2023).
- Instituto Nacional de Estadística. Available online: https://www.ine.es/ (accessed on 1 February 2024).
- Sadler Consultants Europe GmbH Urban Access Regulations in Europe. Available online: https://urbanaccessregulations.eu/ (accessed on 10 January 2024).
- Ref, C.; Reda Abdel-Zaher, A.-A.; Samir Mahmoud, R. World Journal of Advanced Research and Reviews Impact of Traffic Densities on Indoor Air Quality. World J. Adv. Res. Rev. 2019, 25, 66–72. [Google Scholar] [CrossRef]
- Petetin, H.; Guevara, M.; Compernolle, S.; Bowdalo, D.; Bretonnière, P.A.; Enciso, S.; Jorba, O.; Lopez, F.; Soret, A.; García-Pando, C.P. Potential of TROPOMI for Understanding Spatio-Temporal Variations in Surface NO2 and Their Dependencies upon Land Use over the Iberian Peninsula. Atmos Chem. Phys. 2023, 23, 3905–3935. [Google Scholar] [CrossRef]
- Studnicka, M.; Hackl, E.; Pischinger, J.; Fangmeyer, C.; Haschke, N.; Kühr, J.; Urbanek, R.; Neumann, M.; Frischer, T. Traffic-Related NO2 and the Prevalence of Asthma and Respiratory Symptoms in Seven Year Olds. Eur. Respir. J. 1997, 10, 2275–2278. [Google Scholar] [CrossRef]
- He, M.Z.; Kinney, P.L.; Li, T.; Chen, C.; Sun, Q.; Ban, J.; Wang, J.; Liu, S.; Goldsmith, J.; Kioumourtzoglou, M.A. Short- and Intermediate-Term Exposure to NO2 and Mortality: A Multi-County Analysis in China. Environ. Pollut. 2020, 261, 114165. [Google Scholar] [CrossRef] [PubMed]
- Zúñiga, J.; Tarajia, M.; Herrera, V.; Urriola, W.; Gómez, B.; Motta, J. Assessment of the Possible Association of Air Pollutants PM10, O3, NO2 with an Increase in Cardiovascular, Respiratory, and Diabetes Mortality in Panama City: A 2003 to 2013 Data Analysis. Medicine 2016, 95, e2464. [Google Scholar] [CrossRef] [PubMed]
- Jaganathan, S.; Bont, J.; Dahlquist, M.; Persson, Å.; Stafoggia, M.; Ljungman, P. Ambient air pollution and cardiovascular diseases: An umbrella review of systematic reviews and meta-analyses. J. Intern. Med. 2021, 291, 779–800. [Google Scholar] [CrossRef]
- Fischer, P.H.; Marra, M.; Ameling, C.B.; Hoek, G.; Beelen, R.; De Hoogh, K.; Breugelmans, O.; Kruize, H.; Janssen, N.A.H.; Houthuijs, D. Air Pollution and Mortality in Seven Million Adults: The Dutch Environmental Longitudinal Study (DUELS). Environ. Health Perspect. 2015, 123, 697–704. [Google Scholar] [CrossRef] [PubMed]
- Pan, W.C.; Yeh, S.Y.; Wu, C.D.; Huang, Y.T.; Chen, Y.C.; Chen, C.J.; Yang, H.I. Association between Traffic Count and Cardiovascular Mortality: A Prospective Cohort Study in Taiwan. J. Epidemiol. 2021, 31, 343–349. [Google Scholar] [CrossRef] [PubMed]
- Raaschou-Nielsen, O.; Andersen, Z.J.; Jensen, S.S.; Ketzel, M.; Sørensen, M.; Hansen, J.; Loft, S.; Tjønneland, A.; Overvad, K. Traffic Air Pollution and Mortality from Cardiovascular Disease and All Causes: A Danish Cohort Study. Environ. Health 2012, 11, 60. [Google Scholar] [CrossRef] [PubMed]
- WHO. Noncommunicable Diseases Country Profiles 2018; WHO: Geneva, Switzerland, 2018. [Google Scholar]
- Jefatura del Estado. Law 34/2007, of 15 November, on Air Quality and Atmospheric Protection; Jefatura del Estado: Madrid, Spain, 2007; Available online: https://www.boe.es/eli/es/l/2007/11/15/34/con (accessed on 30 April 2022).
- Ministerio de la Presidencia y Relaciones con las Cortes y Memoria Democrática. Royal Decree 34/2023; Ministerio de la Presidencia y Relaciones con las Cortes y Memoria Democrática: Madrid, Spain, 2023. Available online: https://www.boe.es/eli/es/rd/2023/01/24/34 (accessed on 15 June 2024).
- Millán-Martínez, M.; Sánchez-Rodas, D.; Sánchez de la Campa, A.M.; Alastuey, A.; Querol, X.; de la Rosa, J.D. Source Contribution and Origin of PM10 and Arsenic in a Complex Industrial Region (Huelva, SW Spain). Environ. Pollut. 2021, 274, 116268. [Google Scholar] [CrossRef]
- Rodriguez-Rey, D.; Guevara, M.; Linares, M.P.; Casanovas, J.; Armengol, J.M.; Benavides, J.; Soret, A.; Jorba, O.; Tena, C.; García-Pando, C.P. To What Extent the Traffic Restriction Policies Applied in Barcelona City Can Improve Its Air Quality? Sci. Total Environ. 2022, 807, 150743. [Google Scholar] [CrossRef]
- Ma, L.; Graham, D.J.; Stettler, M.E.J. Has the Ultra Low Emission Zone in London Improved Air Quality? Environ. Res. Lett. 2021, 16, 124001. [Google Scholar] [CrossRef]
- Attia, M.; Alade, T.; Attia, S. The Influence of Passenger Car Banning Policies on Modal Shifts: Rotterdam’s Case Study. Sustainability 2023, 15, 7443. [Google Scholar] [CrossRef]
- Benavides, J.; Soret, A.; Guevara, M.; Pérez-García Pando, C.; Snyder, M.; Amato, F.; Querol, X.; Jorba, O. Potential Impact of a Low Emission Zone on Street-Level Air Quality in Barcelona City Using CALIOPE-Urban Model. In Springer Proceedings in Complexity: Air Pollution Modeling and Its Application XXVI; Mensink, C., Gong, W., Wanmin, A., Eds.; Springer: Cham, Switzerland, 2023; Volume 1, pp. 171–230. ISBN 978-3-030-22054-9. [Google Scholar] [CrossRef]
- European Parliament. Euro 7: Deal on New EU Rules to Reduce Road Transport Emissions; European Parliament: Strasbourg, France, 2023.
- Tomassetti, L.; Torre, M.; Tratzi, P.; Paolini, V.; Rizza, V.; Segreto, M.; Petracchini, F. Evaluation of Air Quality and Mobility Policies in 14 Large Italian Cities from 2006 to 2016. J. Environ. Sci. Health Part A Tox. Hazard. Subst. Environ. Eng. 2020, 55, 886–902. [Google Scholar] [CrossRef]
- Margaryan, S. Low Emission Zones and Population Health. J. Health Econ. 2021, 76, 102402. [Google Scholar] [CrossRef] [PubMed]
- Lebrusán, I.; Toutouh, J. Using Smart City Tools to Evaluate the Effectiveness of a Low Emissions Zone in Spain: Madrid Central. Smart Cities 2020, 3, 456–478. [Google Scholar] [CrossRef]
- Salas, R.; Perez-Villadoniga, M.J.; Prieto-Rodriguez, J.; Russo, A. Restricting Traffic into the City Centre: Has Madrid Central Been Effective to Reduce NO2 Levels? Available at SSRN 3495440 2019. [Google Scholar] [CrossRef]
- Tarriño-Ortiz, J.; Soria-Lara, J.A.; Gómez, J.; Vassallo, J.M. Public Acceptability of Low Emission Zones: The Case of “Madrid Central”. Sustainability 2021, 13, 3251. [Google Scholar] [CrossRef]
- Oltra, C.; Sala, R.; López-asensio, S.; Germán, S.; Boso, À. Individual-level Determinants of the Public Acceptance of Policy Measures to Improve Urban Air Quality: The Case of the Barcelona Low Emission Zone. Sustainability 2021, 13, 1168. [Google Scholar] [CrossRef]
- Ayuntamiento de Sevilla. Plan de Movilidad Urbana Sostenible 2030 Del Municipio de Sevilla; Diario del Pleno, en sesión extraordinaria celebrada el día 12/05/2021; Ayuntamiento de Sevilla: Sevilla, Spain, 2021. [Google Scholar]
- Ayuntamiento de Sevilla Statics of Seville; Ayuntamiento de Sevilla: Sevilla, Spain, 2018.
- Zhang, M.; Liu, X.; Ding, Y. Assessing the Influence of Urban Transportation Infrastructure Construction on Haze Pollution in China: A Case Study of Beijing-Tianjin-Hebei Region. Environ. Impact Assess. Rev. 2021, 87, 106547. [Google Scholar] [CrossRef]
- Rafael, S.; Correia, L.P.; Lopes, D.; Bandeira, J.; Coelho, M.C.; Andrade, M.; Borrego, C.; Miranda, A.I. Autonomous Vehicles Opportunities for Cities Air Quality. Sci. Total Environ. 2020, 712, 136546. [Google Scholar] [CrossRef] [PubMed]
- Kim, U.; Lee, J.; He, S.Y. Pedestrianization Impacts on Air Quality Perceptions and Environment Satisfaction: The Case of Regenerated Streets in Downtown Seoul. Int. J. Environ. Res. Public Health 2021, 18, 10225. [Google Scholar] [CrossRef]
- Guo, Y.; Zhang, Q.; Lai, K.K.; Zhang, Y.; Wang, S.; Zhang, W. The Impact of Urban Transportation Infrastructure on Air Quality. Sustainability 2020, 12, 5626. [Google Scholar] [CrossRef]
- Ministry for Ecological Transition and the Demographic Challenge. Spanish Air Quality Monitoring Network. 2024. Available online: https://www.miteco.gob.es/es/calidad-y-evaluacion-ambiental/temas/atmosfera-y-calidad-del-aire/calidad-del-aire/evaluacion-datos/redes.html (accessed on 1 April 2024).
- Andalusian Regional Government Council for Sustainability, E. and the B.E. Automatic Air Quality Network Location of Andalusia. 2024. Available online: https://www.juntadeandalucia.es/medioambiente/portal/landing-page-%C3%ADndice/-/asset_publisher/zX2ouZa4r1Rf/content/localizaci-c3-b3n-de-la-red-autom-c3-a1tica-de-calidad-del-aire/20151 (accessed on 4 May 2024).
- Andalusian Agency for Air Quality KMZ Map of the Automatic Network for the Monitoring of Air Quality. 2024. Available online: https://earth.google.com/web/@37.3935825,-5.9837897,5.88754433a,26221.83500335d,30.0003023y,0h,0t,0r/data=OgMKATA (accessed on 16 February 2024).
- Yap, B.W.; Sim, C.H. Comparisons of Various Types of Normality Tests. J. Stat. Comput. Simul. 2011, 81, 2141–2155. [Google Scholar] [CrossRef]
- Shen, Y.; Jiang, F.; Feng, S.; Zheng, Y.; Cai, Z.; Lyu, X. Impact of Weather and Emission Changes on NO2 Concentrations in China during 2014–2019. Environ. Pollut. 2021, 269, 116163. [Google Scholar] [CrossRef]
- Goldberg, D.L.; Anenberg, S.C.; Kerr, G.H.; Mohegh, A.; Lu, Z.; Streets, D.G. TROPOMI NO2 in the United States: A Detailed Look at the Annual Averages, Weekly Cycles, Effects of Temperature, and Correlation With Surface NO2 Concentrations. Earths Future 2021, 9, e2020EF001665. [Google Scholar] [CrossRef] [PubMed]
- Salas, R.; Perez-Villadoniga, M.J.; Prieto-Rodriguez, J.; Russo, A. Were Traffic Restrictions in Madrid Effective at Reducing NO2 Levels? Transp. Res. D Transp. Environ. 2021, 91, 102689. [Google Scholar] [CrossRef]
- Lamsal, L.N.; Martin, R.V.; van Donkelaar, A.; Steinbacher, M.; Celarier, E.A.; Bucsela, E.; Dunlea, E.J.; Pinto, J.P. Ground-Level Nitrogen Dioxide Concentrations Inferred from the Satellite-Borne Ozone Monitoring Instrument. J. Geophys. Res. Atmos. 2008, 113, 1–15. [Google Scholar] [CrossRef]
- Morillas, C.; Alvarez, S.; Pires, J.C.M.; Garcia, A.J.; Martinez, S. Impact of the Implementation of Madrid’s Low Emission Zone on NO2 Concentration Using Sentinel-5P/TROPOMI Data. Atmos Environ. 2024, 320, 120326. [Google Scholar] [CrossRef]
- Zhao, P.; He, Z. A First Evaluation of ERA5-Land Reanalysis Temperature Product Over the Chinese Qilian Mountains. Front. Earth Sci. 2022, 10, 907730. [Google Scholar] [CrossRef]
- Earth Engine Data Set ECMWF_ERA5_LAND_DAILY_AGGR. Available online: https://developers.google.com/earth-engine/datasets/catalog/ECMWF_ERA5_LAND_DAILY_AGGR (accessed on 25 December 2024).
Disclaimer/Publisher’s Note: The statements, opinions and data contained in all publications are solely those of the individual author(s) and contributor(s) and not of MDPI and/or the editor(s). MDPI and/or the editor(s) disclaim responsibility for any injury to people or property resulting from any ideas, methods, instructions or products referred to in the content. |
© 2025 by the authors. Licensee MDPI, Basel, Switzerland. This article is an open access article distributed under the terms and conditions of the Creative Commons Attribution (CC BY) license (https://creativecommons.org/licenses/by/4.0/).








