Abstract
This paper addresses the robust control problem for under-actuated mechanical systems subject to uncertainties. The key challenge lies in achieving precise control with insufficient degrees of freedom while maintaining robustness against system uncertainties. We propose a novel control framework that characterizes bounded, time-varying uncertainties through fuzzy set theory, leading to a fuzzy dynamical system formulation. The main contributions are threefold: (1) the development of a deterministic robust controller that eschews traditional IF-THEN rules while guaranteeing system stability through a Lyapunov–Minimax analysis; (2) the formulation of a performance optimization scheme that minimizes both fuzzy system average performance and control costs, with proven existence and uniqueness of the analytical solution; and (3) the establishment of stability conditions using the Lyapunov theory for time-varying systems with bounded uncertainties. The theoretical framework is validated through both numerical simulations and experimental implementation on a linear motor-driven inverted pendulum system. The experimental results demonstrate significant performance improvements over conventional approaches: the optimal robust controller achieves 34.89% and 29.20% reductions in cart position and pendulum angle errors, respectively, from the initial conditions. A comparative analysis with traditional PD control shows a reduction in steady-state errors from 0.00318 m to 0.00057 m for the cart position and from 0.01117 rad to 0.00055 rad for the pendulum angle, validating the effectiveness of the proposed methodology.
1. Introduction
In the field of automation and robotics, the method of actuation in mechanical systems has a significant impact on their performance and application scope. The fully actuated systems often lead to high energy consumption and increased system complexity [1]. On the one hand, over-actuated systems enhance system flexibility by providing redundant control but are more complex in design and implementation [2]. In contrast, under-actuated systems reduce system complexity due to fewer actuators, offering significant advantages in energy efficiency, mass reduction, smaller size, and cost-effectiveness. This makes them particularly suitable for applications with strict energy and cost constraints [3,4,5].
While under-actuated mechanical systems have superior characteristics, their limited actuators mean control inputs can only manage part of the dynamics, leaving the rest as the system’s internal dynamics. The internal dynamics are complex, featuring strong coupling between subsystems. Algorithms must manage both directly controlled dynamics (active degrees of freedom) and indirectly control internal dynamics (passive degrees of freedom) through appropriate techniques based on subsystem coupling [6,7]. For example, in a cart–pole system, the control algorithm needs to simultaneously stabilize the inverted pendulum and achieve trajectory-tracking control of the cart under a single horizontal control force. Additionally, quantifying dynamic coupling between active and passive degrees of freedom in the subsystem states in under-actuated systems is challenging, especially for high-speed motions. This presents new opportunities and challenges for control theory.
In recent decades, extensive research has been dedicated to nonlinear control methods for under-actuated mechanical systems in the field of academia. Lee et al. [8] developed an innovative nonlinear self-tuning position control algorithm for the ball-and-beam system incorporating velocity estimation. Their approach uniquely estimates ball velocity through ball position rather than system parameters, combining this with a self-tuning mechanism for balance control. This parameter-independent design demonstrates robust performance under parametric uncertainties. Building on this concept, Kim et al. [9] tackled the positioning problem using observer–controller zero-pole cancellation techniques. Their parameter-independent observer design not only reduced system costs but also enabled precise observation of both ball and DC motor velocities and accelerations, achieving accurate positioning without exact system model information. Recent advances in sliding mode control have shown promising results for under-actuated systems. Adhikary et al. [10] proposed an integral backstepping sliding mode approach that effectively combined backstepping feedback control law with sliding mode surfaces. Their method demonstrated immunity to both matched and unmatched uncertainties through backstepping, while maintaining robust performance through the sliding mode control. Extending this work, Mendoza-Avila et al. [11] developed a continuous higher-order sliding mode controller based on the integral sliding mode and super-twisting algorithms, achieving enhanced control precision for arbitrary relative degree systems. In the domain of intelligent control, Maraslidis et al. [12] designed a fuzzy logic controller for an under-actuated cart–double pendulum system. Their comparative analysis against the linear quadratic regulator (LQR) demonstrated superior performance across various initial conditions. Further advances in real-time control were made in [13], where researchers developed an algorithm generating feedback-stabilized trajectory trees for the swing-up and stabilization of cart–double pendulum systems. This approach uniquely determines state sets near nominal trajectories, ensuring constraint-satisfied motion to the upright equilibrium through feedback control. Neural network-based approaches have also shown significant potential. Research in [14] addressed systems with uncertain parameters, environmental disturbances, and input saturation through a combined neural network and adaptive control framework. This integration enabled the effective estimation of unknown uncertain terms and approximation errors, achieving an impressive tracking performance for both motion targets and spiral trajectories while maintaining a robust uncertainty approximation.
Furthermore, reduced actuation in under-actuated systems increases their sensitivity to uncertainties like unknown model parameters, irregular disturbances, nonlinear friction, and measurement errors, impacting motion accuracy [15,16]. In modern control theory, creating accurate mathematical models of uncertainties is crucial for mitigating their impact on the controlled system and enhancing the control accuracy of under-actuated systems. Current control strategies for under-actuated systems mainly employ bounded and stochastic uncertainty models to describe the uncertainties mathematically [17,18,19,20,21,22]. However, bounded uncertainty models are based on the system performance of the controlled under-actuated system under the worst-case conditions, which prevents the controllers designed based on these models from achieving optimal performance for under-actuated systems. Stochastic uncertainty models view uncertainties as event frequency occurrences, yet are seen as loosely connected to real-world applications, complicating their use in practical engineering [23,24]. To address these challenges, recent years have seen an exploration into fuzzy uncertainty models and related theories that more accurately reflect uncertainties’ evolution in natural and engineering contexts. However, the current research has mainly centered on fully actuated systems, with few studies addressing under-actuated systems. Therefore, exploring fuzzy uncertainty models to describe under-actuated systems’ uncertainties and incorporating them into controller design are crucial for enhancing control accuracy. Simultaneously, accurate theoretical descriptions of uncertainty models are crucial for enhancing controller robustness.
Fuzzy control offers an effective solution for managing control issues in uncertain nonlinear under-actuated systems [25,26]. For fuzzy systems, there are model-based fuzzy control and heuristic (model-free) fuzzy control methods [27], with model-based methods typically being more popular, such as the Takagi–Sugeno type [28] or Mamdani type [29] based on IF-THEN rules. The limitations of traditional fuzzy control, including low control accuracy, inability for online corrections, and lack of learning and adaptation, have led researchers to propose improved methods like fuzzy PID composite control [30], adaptive fuzzy control [31], and fuzzy neural network control [32], drawing on successful strategies from other control techniques. However, these fuzzy control methods are generally used for fuzzy logic inference and not for describing uncertainties in the system dynamics model. The selection of control parameters is typically based on expert experience and manually chosen, with the selection criterion often being solely the completion of the control task. Using the sole criterion of completing the control task is likely to sacrifice the system’s performance requirements in other dimensions, such as transient performance, steady-state performance, and the control cost. This can lead to the system maintaining high control inputs while meeting control performance requirements, resulting in energy losses. Therefore, selecting optimal control parameters that balance transient and steady-state performance with the control cost, enabling under-actuated systems to transition from an initial to a desired state, is crucial in both theory and practice. It is also essential for the system’s orderly structure to evolve to a higher level.
Therefore, this paper proposes a fuzzy uncertainty optimal robust control theory for under-actuated mechanical systems with uncertainties, with the following main contributions:
- Considering fuzzy uncertainties and fuzzy performance, with the trajectory-tracking error defined as the design variable, a robust controller is proposed. Its stability is verified using the Lyapunov theory, ensuring a deterministic system response for the controlled system and guaranteeing uniformly ultimately bounded trajectory errors.
- Based on the fuzzy description of uncertainties, membership functions are used to represent the uncertainty bounds in the under-actuated system as degree information. By minimizing this performance metric, the optimal controller gain εopt is obtained, formulating the optimal robust control problem as a constrained optimization problem.
- The controller does not require approximation or linearization of the model, nor does it need to capture uncertainty information beyond the bounds of the dynamic system. Furthermore, it achieves a balance between transient performance, steady-state performance, and control cost, making it widely applicable to dynamic systems.
In the following sections, we will detail the controller design, optimization methods, main results, and practical applications validated through simulation in this paper.
2. Robust Controller Design
2.1. Fuzzy Under-Actuated Mechanical System
The dynamical model of under-actuated mechanical systems with uncertainties is described as follows:
where represents time, is the system’s generalized coordinates, represents velocity, represents acceleration, and is an uncertainty parameter, which may be rapidly varying. Additionally, the boundary set represents the possible boundaries of , which are compact but unknown. is the system control input, m is the number of control signals, is the coefficient matrix for control inputs, is the inertia matrix, represents Coriolis or centrifugal forces, represents gravity, and denotes frictional forces and external disturbances.
Assumption 1.
Function, and are continuous (this can be extended to being Lebesgue measurable on t).
The vector can either be the generalized coordinates or selected based on the specifics of the problem. For each element of (also referred to as ), known as , , there exists a fuzzy set in the domain , which can be represented by a membership function . That is
where is known and compact.
For each element of vector , referred to as , the function is Lebesgue measurable. For each , there exists a fuzzy set in the domain , which can be represented by a membership function . That is
where is known and compact in the topological sense.
Remark 1.
This research presents a hypothesis that ambiguously characterizes the uncertain elements in mechanical systems (including and ). In practical engineering applications, this uncertainty is usually understood based on observational data, which researchers need to analyze. However, observational data are often limited, and the sources of uncertainty are difficult to replicate accurately. Traditionally, uncertainty is explained through frequency (i.e., the probability approach), which requires numerous repeated experiments and is sometimes limited due to insufficient data. Therefore, in some cases, it is reasonable to use a fuzzy method based on the degree of occurrence as an alternative.
Definition 1.
A “fuzzy set” defined on the universe of discourse N is characterized by [33]:
where is the membership function that assigns to each element v ∈ N a degree of membership in the interval [0, 1]. The membership function represents the degree to which the element v belongs to the fuzzy set . A larger value of indicates a higher degree of membership.
For an arbitrary function , let be defined as
In a sense, represents the average value of along . Particularly, when , it corresponds to the centroid defuzzification method. If N is a crisp set (i.e., for any v ∈ N, ), then .
Lemma 1.
For any crisp constant ,
Proof.
According to Definition 1, we obtain
□
Remark 2.
The given definition shows that the membership function quantifies the occurrence degree of an event. Given that real-world uncertainties lack precise boundaries, this paper applies membership functions to depict uncertainty boundaries in under-actuated mechanical systems as membership degrees. This method enables a more precise depiction of uncertainties’ evolutionary patterns in both natural and engineering contexts.
2.2. Controller Design
This section aims to design a robust controller for a fuzzy under-actuated mechanical system. The control objective is to ensure that the mechanical system follows the desired trajectory and a desired speed . It is assumed that is (second-order derivative) continuous, and , , are uniformly bounded.
Let the trajectory-tracking error :
And
where represents the velocity-tracking error, and represents the acceleration-tracking error. The dynamic Equation (1) of the under-actuated mechanical system can be rewritten as
The functions and can be decomposed as:
where , , , and are the nominal terms of the corresponding matrix vectors, and (this is always feasible as it is determined by the control designer). , , and are the corresponding uncertainty terms, depending on . The functions , , , and are all continuous.
Let
Combining Equations (12)–(14), we obtain
Assumption 2.
Given a matrix , every element within the matrix is a constant. There exists , assumed to be invertible.
Assumption 3.
Based on the conditions of Assumption 2, let
There exists a (possibly unknown) constant , such that for all ,
Remark 3.
Since the uncertain boundary is unknown, the constant is generally unknown. In special cases where all uncertainty disappears, , , can be chosen. Therefore, considering the factor of continuity, our assumption limits the impact of uncertainty to possible deviations between and , and ensures that such deviations remain within a specific threshold range. It should be particularly emphasized that this threshold is unidirectional, meaning it only considers limitations on deviations in one direction.
Let
where is constant, .
As time approaches infinity, the controller will effectively reduce the magnitude of the tracking error vector , ensuring it reaches a minimal level. Since Equation (19) contains the part, the error will converge exponentially, with the rate of convergence primarily depending on .
Let
where the scalar k > 0 is a common design parameter.
Assumption 4.
For all , , there exists a known function ,
Remark 4.
When , 1 + . The function can be interpreted as a boundary of uncertainty. It can be understood, to some extent, as a parametric description of the effects caused by the worst-case scenario of existing uncertainties.
Let
The main control design objective of this paper is to ensure that the magnitude of the tracking error vector is effectively reduced to a sufficiently small level. The problem to be solved is to design a control , which ensures that the tracking error remains within a predetermined boundary. The method for guaranteeing the specified performance limits is presented in references [34].
We propose the following robust controller in response to the previous section:
where
The scalar is a common design parameter.
An analysis of the designed controller (23) reveals that control is implemented based on the interplay of the nominal system, tracking error , uncertainty bounds, and design parameters. Specifically, part of control is dedicated to the nominal system, disregarding the system’s uncertainties. On the other hand, part of the control aims to compensate for uncertainties in the system, thereby enhancing the control’s robustness.
2.3. Stability Proof
This study employs the Lyapunov–Minimax method to prove the stability of the control strategy, including two important characteristics: uniform boundedness and uniform ultimate boundedness.
Theorem 1.
Considering the under-actuated mechanical system in Equation (10), assuming it satisfies Assumptions 2 to 3, the robust control (23) offers the following performance:
- (1)
- Uniform boundedness: For any , there exists a such that if , then for all .
- (2)
- Uniformly ultimately bounded: For any and , there exists a such that for any , as , it follows , where .
Theorem 2.
Consider the following nonlinear system
where . If there exists a scalar function with a continuous partial derivative of the first order, the following conditions are met:
- (1)
- ;
- (2)
where for all and is piecewise wisp on t and locally Lipschitz on x, and is a domain containing the origin . The equilibrium state at the origin is (uniformly) asymptotically stable. Further, if there is as , then the equilibrium state at the origin is generally uniformly asymptotically stable.
A Lyapunov candidate function is given:
At present, it has been proven that the stability of the under-actuated mechanical system is secured under the proposed control strategy. To simplify the proof process, we have omitted most of the function parameters except for some key ones, provided that such omissions do not lead to confusion in understanding. For the given uncertainty and the corresponding time derivative of the trajectory of the controlled system is expressed as:
Utilizing Equation (19) and applying with Equation (1) yields
By substituting into Equation (23), and using Equations (11) and (15), we decompose , ( to obtain
First, we analyze the second term on the right side of Equation (30), and substitute it into Equation (20), using ,
Then, we analyze the third term on the right side of Equation (30), and let
By utilizing Equations (21) and (25), we can obtain
Finally, we analyze the first term on the right side of Equation (30), using Equations (15) and (16), and substituting into Equation (24) to obtain
Utilizing , the first term on the right side of Equation (34) is
Employing the Rayleigh principle [35] and utilizing Assumption 3, the second term on the right side of Equation (34) can be obtained
By combining Equations (35) and (36), we obtain
By substituting Equations (37), (31), and (33) into Equation (30), we obtain
For the first two terms on the right side of Equation (38), we define the function
We determine the first-order derivative of in terms of
Let
We have
The second-order derivative of in terms of equals
This indicates that Equation (42) minimizes the value of ,
This means
Substituting (45) into (38), we obtain
That is to say, for every , once the subsequent conditions are guaranteed:
then it is negatively definite.
Since all the domains are compact (therefore closed and bounded), is bounded. Additionally, , are precise. Therefore, when is sufficiently large, is negatively definite. This proof establishes that robust control (23) ensures the uniform boundedness and uniform ultimate boundedness of the under-actuated mechanical system (1). Uniform boundedness ensures the following performance: for any given and , where is the initial time, there is a such that
where
such that for all . Uniform ultimate boundedness is as follows. That is, for any given
We can obtain for any , where
With the stability of the mechanical system assured, it has been discovered that by selecting greater values of or , one can significantly decrease the value of (that is, the tracking error vector ) to an arbitrarily small level. Consequently, and can be utilized to regulate the size of the ultimate boundedness region, with larger values of or resulting in a smaller region. This unveils the balance between system performance and control costs, indicating a preferable option in the realm of control design. In the following section, further optimization of the designed robust control will be conducted.
3. Fuzzy Optimization
In the previous section, we demonstrated the system performance guaranteed by the deterministic controller. The analysis shows that as increases, the uniformly ultimately bounded region diminishes in size. Specifically, as tends to infinity, the size of this region approaches zero. However, this improvement in performance may lead to higher control costs. Utilizing an optimized design and grounded in optimization theory, a cost function focused on performance indices has been established. Optimal parameters are identified to minimize performance indices while adhering to specific constraints. From a practical design perspective, the designer needs to balance among multiple conflicting criteria to find the optimal value of , in order to minimize the performance indices.
Based on Equation (27), we can obtain
Then, we have , and substituting it into Equation (46), we obtain
where . This is a differential inequality [36], and its analysis can be conducted according to Chen [36].
Theorem 3.
If is a scalar function of scalars in an open connected set E, there exists a function , where , and if is continuous on (
), and the differential of b on (
) satisfies [36]:
Then, the function is a solution to the differential inequality (55) in the interval .
Theorem 4.
Assume is continuous in the open connected set E , such that the scalar equation [35]
has a unique initial value problem solution. If is a solution to Equation (56) for , and is a solution to inequality (55) for , and , then for , it follows that .
This theorem does not delve deeply into the solutions of the differential inequality (55), as these solutions are typically nonunique and difficult to apply. However, the theorem suggests that studying the upper bounds of these solutions is a viable approach, as the solutions derived from Equation (56) are unique.
Theorem 5.
Consider the differential inequality (55) and the differential Equation (56). Assuming a constant , for all points , the function satisfies the Lipschitz condition [37].
Then, for , any function that satisfies the differential inequality (55) also satisfies the inequality
where .
We provide a differential equation
The right side of Equation (59) satisfies the generalized Lipschitz condition, where
By solving differential Equation (59), we can obtain
for all ,
Likewise, for any given and for every t greater than ,
where . In the control scheme (23), the time refers to the moment when the control scheme begins to be implemented. This start time does not have to be strictly , which is more in line with actual control situations.
Given that , the right-hand side of Formula (59) establishes an upper bound for , leading to the conclusion that it sets an upper limit for .
For each , let
for each , , as , then .
We associate with the transient aspect of system performance, and with its steady-state aspect. Given that the precise value of uncertainty is unknown, a more accurate and reasonable approach is to refer to both the transient performance and the steady-state performance in the system performance analysis. Moreover, it is important to recognize that both and rely on . The value of , being unknown, is often characterized using a membership function.
Addressing system performance and control expenses, the subsequent performance indicators are suggested: For each , let
where is a scalar. This performance indicator includes three parts. The first term can be considered as the average of the overall transient performance from time , obtained through integration of the -operation. The second term can be seen as the average of the steady-state performance resulting from the -operation. The third term can be considered as the control cost of the system. and are weighting factors, normalizing the weight of to a unit.
The optimization design problem proposed in this paper is to select an appropriate in Formula (23) from the previous section, in order to minimize the performance index . This performance index is related to the system’s transient performance, steady-state performance, and control costs, and can be adjusted through weight factors to ensure a dynamic balance between performance and cost. Therefore, this control-related optimization design problem is formulated as a constrained optimization problem.
Remark 5.
In the field of stochastic control, the standard linear quadratic Gaussian (LQG) control problem focuses on minimizing the expected probability of the cumulative average of system states and control actions. The control approach proposed in this paper is similar to the LQG problem in fuzzy dynamic systems, but they are not identical. Key differences include the following: in LQG, uncertainties are unbounded but can be predicted probabilistically; in our approach, the system’s uncertainties are unknown but bounded. Moreover, while LQG primarily deals with stochastic uncertainties, our method employs fuzzy set theory to handle uncertainties in system parameters.
The following analyzes and solves for the various performance indices in Equation (67). The first item is solved as
By applying the D-operation to it, we obtain
Next, we conduct an analysis of the second term in Equation (67) for
Substituting (69) and (70) into (67), we obtain
where
The optimization design issue described above can be reformulated as the following constrained optimal problem: for any ,
for any , take the first-order derivative of with respect to
Let
We have
(74) can be rewritten as follows:
It can be seen that Equation (80) is a quartic equation. The following is an analysis of this quartic equation.
We assume . For Equations (73)–(75), given that , it results in . Since , it leads to , , and therefore, .
Let , resulting in and is continuous in . Additionally, since and , is strictly increasing in . As and , it follows that . Therefore, the solution for Equation (80) always exists and is unique. For the unique solution of Equation (80),
Substituting (81) into (80), we can obtain
Therefore, for the given , the solution of quartic Equation (80) resolves the aforementioned constrained optimization of Problem (76), ensuring a deterministic performance while globally minimizing the performance metric (67).
Remark 6.
In special cases, the fuzzy set is precise, and , . In this case, the above derivations and solutions still apply, and solving Equation (80) resolves the constrained optimization problem, achieving the optimal gain design.
Integrating the results of Section 2 and Section 3, we have adopted the robust controller (23) with optimal design (), ensuring that the tracking error of the closed-loop mechanical system is uniformly bounded and ultimately uniformly bounded, starting from time . Furthermore, this approach also ensures that the system performance index J (71) is minimized globally. Therefore, the above design demonstrates the rationality and ingenuity of this optimal robust control strategy.
The summary of the controller design process is shown in Figure 1 below. First, based on the fuzzy set theory, the uncertainties in the under-actuated mechanical system are described as degrees of membership using membership functions, establishing a fuzzy uncertain under-actuated mechanical system dynamics model. Then, each term in the fuzzy uncertain under-actuated mechanical system dynamics equation is decomposed into a nominal part and an uncertainty part. Based on the robust control theory, a nominal control term and a robust uncertainty control term are designed. Through a practical stability analysis, it is proven that the designed controller can render the controlled fuzzy uncertain under-actuated mechanical system uniformly ultimately bounded. Finally, by adjusting the weighting factors, the transient performance, steady-state performance, and control cost are balanced to find the optimal control law, ensuring a dynamic trade-off between performance and cost.
Figure 1.
Flow chart of optimal controller design and optimization.
4. Experimental Verification
This study utilized a single-axis linear inverted pendulum system as the test platform to verify the effectiveness of the designed optimal robust controller in under-actuated mechanical systems. Before simulation verification, the single-axis inverted pendulum system was simplified in modeling. Considering the system’s unstable nature, the model simplifies some minor factors: the motor platform and the pendulum are assumed to be rigid bodies, while air resistance, friction of the motor platform, and other disturbances are ignored, thus treating the system as an ideal cart–pendulum system. In this model, the motor platform acts as a cart, whose motion drives the pendulum to rotate around the pivot, as shown in Figure 2.
Figure 2.
Single-axis linear inverted pendulum model.
In the simplified ideal system, as a typical rigid-body motion system, we establish the system’s dynamical equations using the inertial coordinate system theory of classical mechanics. In the system, the pendulum rod is assumed to have uniform mass distribution with its center of mass at the midpoint, having a mass of m2, and its distance from the pivot point O being l. The cart has a mass of m1, with x representing its movement distance, and ϕ the angle of the pendulum rod from the vertical. Furthermore, g represents gravitational acceleration, and τ the force applied to the cart. Based on these parameters, the dynamical model of the single-axis inverted pendulum system can be represented using a matrix model:
It can be rewritten in the form of Equation (1) as follows:
where , , .
The dynamic model of the single-axis inverted pendulum system is as shown in Equation (84). We assume the mass of the cart and pendulum is uncertain, that is , where is a constant nominal term, and is an uncertainty term. Therefore, each term in the system (84) can be divided into
The control objective of this system is to achieve linear motion of the pendulum pivot by driving the cart, thus stabilizing the pendulum. Additionally, the control objective includes stabilizing the cart at a specific position, that is , . In this process, the desired trajectory , desired velocity , and desired acceleration are, respectively, represented as
where satisfy the assumptions in the controller design. Using , , Equation (85) can be rewritten as
We specify the parameter values for the single-axis inverted pendulum system: the cart mass is , the pendulum mass is , the distance between the pendulum’s center of mass and the pivot is , and the gravitational acceleration is . Select matrix
The matrices and satisfy the assumptions in the above controller design. The constant is related to the uncertain boundary . Since is unknown, is generally unknown. The following uses a fuzzy set to describe it, assuming the uncertain constant “approaches 0.1”, and is represented by a membership function as
Additionally, we select the constant design parameter . We set the initial condition of the system as , which implies . Using the α-operation, decomposition theorem, and D-operation in the fuzzy set theory, we obtain , . Then, quartic Equation (80) and the minimum performance index (71) are
We select five sets of weight factors and , obtaining the optimal gain and the corresponding minimal performance index , as shown in Table 1.
Table 1.
Weighting/optimal gain/minimum cost.
4.1. Numerical Simulation Verification
In the numerical simulation, is chosen. In the above parameter selection, it is assumed that Assumptions 1–3 can be easily met. Next, we determine the function to satisfy Assumption 4,
In this study, we employ the ode15i algorithm in MATLAB for numerical simulation. Figure 3, Figure 4, Figure 5 and Figure 6 show a comparison of the cart position and pendulum angle changes under five different optimal gains (using various combinations of ), along with the control at for comparison, where represents the controller , that is, lacking the robust feedback term . By analyzing the system performance under five different optimal gains and at , we observe that as increases, the system response becomes faster, and the overshoot phenomenon of the system also decreases. To more clearly demonstrate the control effectiveness comparison of the optimal robust control algorithm under different control gains, we calculate the area enclosed by different gain curves and the coordinate axis, i.e., the cumulative error. Figure 4 shows the cumulative error in the cart position changes for different , and Figure 6 shows the cumulative error in the pendulum angle changes for different . It is evident that the error is larger without the robust feedback term , and as increases, the cumulative error decreases.
Figure 3.
Comparison of cart positions under different εopt.
Figure 4.
Position errors of the cart under different εopt.
Figure 5.
Comparison of pendulum angles under different εopt.
Figure 6.
Pendulum angle errors under different εopt.
Figure 7 shows a comparison of control force changes under five different optimal gains and . It can be observed that as the inverted pendulum system gradually stabilizes, the control input progressively reduces to near-zero levels with only slight fluctuations. Figure 8 represents the cumulative value of control force changes for different . Similarly, the change in control force without the robust feedback term is more significant, and as increases, the cumulative error in control force decreases.
Figure 7.
Comparison of control forces under different εopt.
Figure 8.
Control force errors under different εopt.
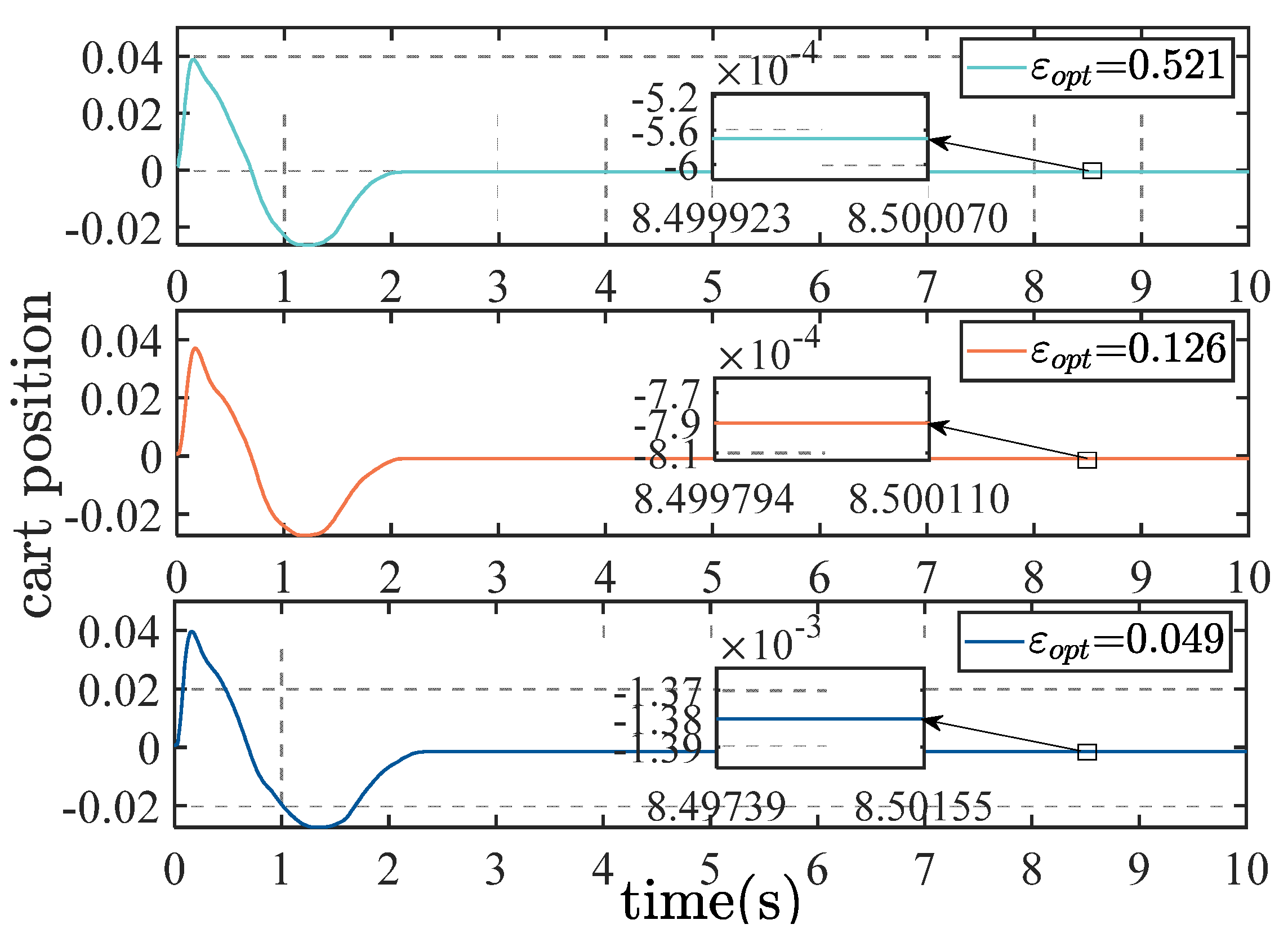
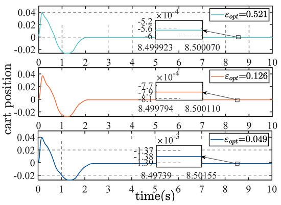
Figure 9 and Figure 10 show the curves of the cart position and pendulum angle changes under the optimal robust controller (), the controller without robustness consideration (), and the PD controller. Compared to the traditional PD control, our optimal robust controller demonstrates a faster system response, with the cart position and pendulum angle reaching the predetermined control objectives earlier, and also showing smaller steady-state errors.
Figure 9.
Comparison of cart positions under different controllers.
Figure 10.
Comparison of pendulum angles under different controllers.
Overall, the control strategy proposed in this paper fully considers the uncertainty of system parameters using fuzzy set theory and provides a precise system response. Compared to the traditional robust control theory, our method ensures the determinacy of the system response while obtaining optimal gains through the fuzzy optimization design. This approach clearly defines the parameter selection objectives in the control design, thereby reducing repeated trials and adjustments in parameter selection during the design process.
4.2. Penulum Stabilization Control Experiment
The experimental model mainly includes encoder signal processing, supervisory control display, motor driving, and control algorithms, all of which are constructed using Simulink modules. The interface with the hardware uses modules from the C2000 DSP Embedded Target toolbox. The specific experimental structure and process are shown in Figure 11. After the complete setup of the experimental model, it is compiled and downloaded to the DSP controller for experimental verification. To achieve the control objective, the motor’s position signals and the pendulum’s angle signals are typically collected via corresponding sensors and transmitted to the cSPACE system. The system processes these signals through algorithms to calculate the control output, which is then sent to the motor driver to move the cart left or right, ensuring the pendulum remains stable. Additionally, the cSPACE system communicates with the host computer, transmitting the observed variables for display and storage.
Figure 11.
Experimental structure flowchart.
Based on the power, voltage, and other parameters of the linear motor, the HAL 8/100 DC servo driver from Israel’s Elmo company was selected as the motor drive device. This driver features a built-in PI controller, allowing tuning of the speed loop and current loop using its dedicated software. It supports both standalone programmable control and external control. The general specifications of the selected Elmo driver are listed in Table 2.
Table 2.
The general specification of the driver.
Additionally, the rotary encoder used for the pendulum angle measurement is an incremental hollow shaft optical encoder, model PSB-2500-G05L. This optical encoder outputs three square wave signals, A, B, and Z, with a 5V DC power supply, 2500 pulses per revolution, a hollow shaft diameter of 1.5 mm, and an outer diameter of 2.8 mm. The selected encoder has a differential input configuration. The counterclockwise rotation of the pendulum is defined as the positive direction, with the encoder count increasing in the counterclockwise direction. Note that during the experiment, when the pendulum is naturally hanging vertically, the encoder measures an angle of −180 degrees. To perform the inverted pendulum experiment, the pendulum needs to be rotated counterclockwise to near the critical stable state, where the pendulum angle approaches 0 degrees.
In the numerical simulation, the control effects of the optimal gain under different weight factors are compared and contrasted with the controller (τ = τ1) and PD control. Therefore, referring to the numerical simulation study, pendulum stabilization control experiments are conducted on a linear motor single-axis inverted pendulum under different control schemes. The controller parameters are set the same as in the simulation part, with a sampling period of 0.005 s.
The pendulum stabilization control experiment investigates the control effects when the initial angle of the pendulum in the system is incompatible with the ideal angle . The initial angle of the pendulum is the same as in the numerical simulation study, set at about .1. Figure 12 and Figure 13 show the changes in the cart position and pendulum angle under three sets of optimal gains ((), respectively, as (100, 1), (1, 1), (1, 100)). Figure 14 shows the control voltage variation curve of the linear motor inverted pendulum system. It is observed that the larger the , the shorter the adjustment time for the pendulum to converge near the ideal angle, i.e., the faster the transient response, and the smaller the steady-state errors in the cart position and pendulum angle.
Figure 12.
Experimental results of cart positions under pendulum stabilization control with different .
Figure 13.
Experimental results of pendulum angles under pendulum stabilization control with different .
Figure 14.
Experimental results of control voltages under pendulum stabilization control with different .
Figure 15 and Figure 16 show the comparative changes in the cart position and pendulum angle under three control methods: optimal gain , (controller ), and PD control. Figure 17 shows the corresponding control voltage change curve. It can be observed that controllers and provide faster transient responses than the PD control, due to their reliance on a relatively complete system model. It should also be noted that the absolute values of the steady-state errors in cart position for controllers , and PD control are approximately 0.00057 m, 0.00158 m, and 0.00318 m, and the pendulum angle steady-state errors are approximately 0.00052 rad, 0.00140 rad, and 0.01117 rad, respectively. Controller shows smaller steady-state errors compared to the controller and PD control, mainly due to the robust feedback component in the controller. Based on the previous introduction, we compare the position error of the cart and the angle error of the pendulum under different optimization parameters and methods. The results are shown in Table 3. We use the maximum position error (MAXE) and the root mean square error (RMSE) to illustrate the impact of different algorithms on dynamic performance, where MAXE and RMSE are defined as follows:
where n is the number of samples, and is the tracking error of the i-th sample.
Figure 15.
Experimental comparison of cart positions under different controllers.
Figure 16.
Experimental comparison of pendulum angles under different controllers.
Figure 17.
Experimental comparison of control voltages under different controllers.
Table 3.
Error comparison of different control algorithms.
The data in Table 3 show that the optimal robust control algorithm proposed in this paper (= 0.521) performs excellently in terms of maximum position error (MAXE) and root mean square error (RMSE), further verifying the superior performance of this algorithm. The experimental results fully demonstrate the effectiveness of the proposed optimal robust control algorithm. Compared with non-robust control (= 0) and PD control, this algorithm has a faster convergence speed and superior tracking performance.
In the experimental results shown in Figure 14 and Figure 17, we observed the phenomenon of the current jitter. After analysis, we believe that the main reasons for this phenomenon may include the following points: First, at the beginning of the experiment, the inverted pendulum may be in an unbalanced initial state, which requires the controller to provide a relatively large input current to quickly balance the system, leading to the current jitter. Second, for some control algorithms, it is necessary to adjust the controller parameters (for example, gain coefficients) to achieve good performance. During the adjustment process, changes in these parameters may cause a temporary jitter in the input current. Finally, linear motors and other actuators may exhibit nonlinear characteristics such as static friction and saturation, which are more likely to cause the input current jitter at the beginning of the experiment.
5. Conclusions
This paper successfully constructs a fuzzy dynamic system model, by combining fuzzy set theory and system theory, aimed at describing the uncertainties in under-actuated mechanical systems. We first introduce fuzzy uncertainty into the control design, proposing a robust control algorithm based on trajectory tracking, intended to ensure the deterministic performance of the system, including maintaining uniformly bounded and ultimately bounded tracking errors. Subsequently, by minimizing the fuzzy information performance index, we explore the optimized design of robust control. The optimally designed robust controller not only guarantees system performance but also minimizes the performance index based on fuzzy information. In the single-axis linear inverted pendulum system, numerical simulations implemented in MATLAB and experiments on the inverted pendulum platform demonstrate the superior control and tracking performance of our method compared to traditional PD control and non-robust controllers. However, current methods struggle with optimization problems involving multiple parameters and cost functions. Future research will consider applying game theory for multi-parameter, multi-objective optimization.
Author Contributions
X.C.: conceptualization, methodology, software, writing—original draft. J.F.: conceptualization, methodology. J.L.: writing, methodology, software. All authors have read and agreed to the published version of the manuscript.
Funding
J.F. was supported by the Anhui Provincial Department of Education Natural Science Key Project (2022AH051675) and the Anhui Provincial Department of Education Key Team Project (2022AH10091).
Data Availability Statement
Data will be made available on request.
Acknowledgments
We extend our sincere gratitude to all members of the Automotive Technology and Equipment National–Local Joint Engineering Research Center for their invaluable experimental facilities and technical assistance. Additionally, we are grateful to the anonymous reviewers for their constructive comments and suggestions, which significantly contributed to improving the quality of this paper.
Conflicts of Interest
The authors declare that they have no conflicts of interest.
References
- Gu, Y.; Yao, B.; Lee, C.S.G. Exponential stabilization of fully actuated planar bipedal robotic walking with global position tracking capabilities. J. Dyn. Syst. Meas. Control 2017, 140, 051008. [Google Scholar] [CrossRef]
- Vu, M.T.; Le, T.H.; Thanh, H.L.N.N.; Huynh, T.-T.; Van, M.; Hoang, Q.-D.; Do, T.D. Robust position control of an over-actuated underwater vehicle under model uncertainties and ocean current effects using dynamic sliding mode surface and optimal allocation control. Sensors 2021, 21, 747. [Google Scholar] [CrossRef]
- Huang, Z.; Lai, X.; Zhang, P.; Meng, Q.; Wu, M. A general control strategy for planar 3-dof underactuated manipulators with one passive joint. Inf. Sci. 2020, 534, 139–153. [Google Scholar] [CrossRef]
- Yang, S.; Xian, B. Energy-based nonlinear adaptive control design for the quadrotor UAV system with a suspended payload. IEEE Trans. Ind. Electron. 2019, 67, 2054–2064. [Google Scholar] [CrossRef]
- Zhang, Z.; Suh, C.S. Underactuated mechanical systems–a review of control design. J. Vib. Test. Syst. Dyn. 2022, 6, 21–51. [Google Scholar] [CrossRef]
- Chen, H.; Fang, Y.; Sun, N. A swing constraint guaranteed MPC algorithm for underactuated overhead cranes. IEEE/ASME Trans. Mechatron. 2016, 21, 2543–2555. [Google Scholar] [CrossRef]
- Romero, J.G.; Gandarilla, I.; Santibáñez, V.; Yi, B. A constructive procedure for orbital stabilization of a class of underactuated mechanical systems. IEEE Trans. Control Syst. Technol. 2022, 30, 2698–2706. [Google Scholar] [CrossRef]
- Lee, C.R.; Park, J.K.; Kim, S.K. Velocity Observer-Based Nonlinear Self-Tuning Position Stabilizer for Ball-Beam System Applications. IEEE Trans. Circuits Syst. II Express Briefs 2019, 67, 1309–1313. [Google Scholar] [CrossRef]
- Kim, Y.; Kim, S.K.; Ahn, C.K. Variable Cut-Off Frequency Observer-Based Positioning for Ball-Beam Systems without Velocity and Current Feedback Considering Actuator Dynamics. IEEE Trans. Circuits Syst. I Regul. Pap. 2021, 68, 396–405. [Google Scholar] [CrossRef]
- Adhikary, N.; Mahanta, C. Integral backstepping sliding mode control for underactuated systems: Swing-up and stabilization of the cart-pendulum system. ISA Trans. 2013, 52, 870–880. [Google Scholar] [CrossRef] [PubMed]
- Mendoza-Avila, J.; Castillo, I.; Iriarte, R. Higher order sliding mode stabilization of an inverted cartpendulum system. IFAC-Paper 2017, 50, 7157–7162. [Google Scholar]
- Maraslidis, G.; Kottas, T.; Tsipouras, M.; Fragulis, G. Design of a fuzzy logic controller for the doublependulum inverted on a cart. Information 2022, 13, 379. [Google Scholar] [CrossRef]
- Xu, K.; Timmermann, J.; Trächtler, A. Swing-up of the moving double pendulum on a cart with simulation based LQR-trees. IFAC-Paper 2017, 50, 4094–4100. [Google Scholar] [CrossRef]
- Xu, K.; Tang, G.Y.; Xie, D.; Han, L.-J. Three-dimensional neural network tracking control of autonomous underwater vehicles with input saturation. J. Cent. South Univ. 2020, 27, 1754–1769. [Google Scholar] [CrossRef]
- Ryalat, M.; Laila, D.S. A robust ida-pbc approach for handling uncertainties in underactuated mechanical systems. IEEE Trans. Autom. Control 2018, 63, 3495–3502. [Google Scholar] [CrossRef]
- Rossato, D.B.; Kienitz, K.H. Structured H∞ synthesis: A systematic design approach for fully and underactuated systems. Aerosp. Sci. Technol. 2021, 119, 107171. [Google Scholar] [CrossRef]
- Gritli, H.; Belghith, S. Lmi-based synthesis of a robust saturated controller for an underactuated mechanical system subject to motion constraints. Eur. J. Control 2021, 57, 179–193. [Google Scholar] [CrossRef]
- Lyu, Z.; Yang, Y.; Xia, H. Unknown-but-bounded uncertainty propagation in spacecraft structural system: Interval reduced basis method and its integrated framework. Aerosp. Sci. Technol. 2019, 92, 945–957. [Google Scholar] [CrossRef]
- Fenili, A. Mathematical modeling and partial feedback linearization control of a constrained and underactuated space tether. J. Vib. Control 2022, 29, 2427–2441. [Google Scholar] [CrossRef]
- Qiu, Z.; Li, X. A new model for the eigenvalue buckling analysis with unknown-but-bounded parameters. Aerosp. Sci. Technol. 2021, 113, 106634. [Google Scholar] [CrossRef]
- Kaba, A.; Kiyak, E. Artificial bee colony–based Kalman filter hybridization for three–dimensional position estimation of a quadrotor. Aircr. Eng. Aerosp. Technol. 2020, 92, 1523–1532. [Google Scholar] [CrossRef]
- Wang, Y.; Chai, S.; Nguyen, H.D. Experimental and numerical study of autopilot using Extended Kalman Filter trained neural networks for surface vessels. Int. J. Nav. Archit. Ocean Eng. 2020, 12, 314–324. [Google Scholar] [CrossRef]
- Zadeh, L.A. Discussion: Probability theory and fuzzy logic are complementary rather than competitive. Technometrics 1995, 37, 271–276. [Google Scholar] [CrossRef]
- Raffo, G.V.; Ortega, M.G.; Rubio, F.R. Path tracking of a UAV via an underactuated H(infinity)control strategy. Eur. J. Control 2011, 17, 194–213. [Google Scholar] [CrossRef]
- Chen, X.L.; Zhao, H.; Sun, H.; Zhen, S.C. Adaptive robust control based on moore-penrose generalized inverse for underactuated mechanical systems. IEEE Access 2019, 7, 157136–157144. [Google Scholar] [CrossRef]
- Chen, X.L.; Zhao, H.; Sun, H.; Zhen, S.C.; Huang, K. A novel adaptive robust control approach for underactuated mobile robot. J. Frankl. Inst. 2019, 356, 2474–2490. [Google Scholar] [CrossRef]
- Chiu, C.; Chang, C. Wheeled human transportation vehicle implementation using output recurrent fuzzy control strategy. IET Control Theory Appl. 2014, 8, 1886–1895. [Google Scholar] [CrossRef]
- Meda-Campana, J.A.; Rodriguez-Valdez, J.; Hernandez-Cortes, T.; Tapia-Herrera, R.; Nosov, V. Analysis of the fuzzy controllability property and stabilization for a class of t-s fuzzy models. IEEE Trans. Fuzzy Syst. 2015, 23, 291–301. [Google Scholar] [CrossRef]
- Xu, J.-X.; Guo, Z.-Q.; Lee, T.H. Synthesized design of a fuzzy logic controller for an underactuated unicycle. Fuzzy Sets Syst. 2012, 207, 77–93. [Google Scholar] [CrossRef]
- El-Bardini, M.; El-Nagar, A.M. Interval type-2 fuzzy pid controller for uncertain nonlinear inverted pendulum system. ISA Trans. 2014, 53, 732–743. [Google Scholar] [CrossRef]
- Lu, Y. Adaptive-fuzzy control compensation design for direct adaptive fuzzy control. IEEE Trans. Fuzzy Syst. 2018, 26, 3222–3231. [Google Scholar] [CrossRef]
- Kim, C.-J.; Chwa, D. Obstacle avoidance method for wheeled mobile robots using interval type-2 fuzzy neural network. IEEE Trans. Fuzzy Syst. 2015, 23, 677–687. [Google Scholar] [CrossRef]
- Zadeh, L.A. Fuzzy sets. Inf. Control 1965, 8, 338–353. [Google Scholar] [CrossRef]
- Chen, Y.-H. On the deterministic performance of uncertain dynamical systems. Int. J. Control 1986, 43, 1557–1579. [Google Scholar] [CrossRef]
- Neill, H.; Goult, R. Applied linear algebra. Math. Gaz. 1979, 63, 276–277. [Google Scholar] [CrossRef]
- Hale, J.K. Ordinary differential equations. Introd. Appl. Math. 1969, 23, 82–122. [Google Scholar]
- Chen, Y.H. Performance analysis of controlled uncertain systems. Dyn. Control 1996, 6, 131–142. [Google Scholar] [CrossRef]
Disclaimer/Publisher’s Note: The statements, opinions and data contained in all publications are solely those of the individual author(s) and contributor(s) and not of MDPI and/or the editor(s). MDPI and/or the editor(s) disclaim responsibility for any injury to people or property resulting from any ideas, methods, instructions or products referred to in the content. |
© 2025 by the authors. Licensee MDPI, Basel, Switzerland. This article is an open access article distributed under the terms and conditions of the Creative Commons Attribution (CC BY) license (https://creativecommons.org/licenses/by/4.0/).
















