Abstract
Electrically charged flows were investigated using experimental techniques. These flows were visualized and recorded employing high-speed video, which allowed the study of the formation of electrically charged filaments, focusing on the flow characteristics at meniscus rupture and the flow downstream of the atomization region. Experiments were performed following the design-of-experiments methodology, which provided information on the effect of the main factors and their combinations on the response variables, such as spray angle, size distribution, and particle number. Meniscus formation and its rupture were analyzed as a function of competition between forces. Furthermore, the different rupture modes were determined as a function of the electric field intensity (electric Bond number, ). The findings reveal that the best atomization condition is defined by a stable Taylor cone jet (at meniscus rupture). However, the results differ downstream of the atomization, since stable jet atomization is characterized by poor particle dispersion. To improve such conditions, it was found that flows with oscillation around the vertical axis and particle detachment (controlled instability) lead to better atomization. This is because a greater dissemination of particles is promoted, and greater homogeneity of the product and smaller particle sizes are generated. A secondary atomization process causes such conditions after the rupture of the meniscus, which is known as Coulomb fission.
1. Introduction
Electrospray technology is a promising technique for the production of micro/ nanoparticles, thin films, and threads of different types of materials [1,2,3]. Its application in specialized painting processes (high-strength anticorrosive coatings) [4,5,6], in the development of bioactive compounds for the food industry [7], and in the manufacture and delivery of drugs and medical biocomponents (tissue engineering) [8,9,10,11] has been a topic of great interest during the last decade. In summary, an electrospray system consists of a nozzle between 0.01 and 1 mm in diameter that extrudes a liquid jet through electrical phenomena. Contrary to conventional atomization, in this case, the drops at the nozzle outlet are subjected to an intense electric field, which causes them to atomize into smaller particles [12]. It is worth highlighting that this type of electrokinetic phenomenon became popular due to Fenn’s Nobel Prize. After he introduced the concept of electrospraying as a soft ionization method for the mass spectrometry of large biomolecules [13], other approaches using this technology have emerged. For example, electrospray has been used to develop catalytic surfaces in the chemical industry [14] and in the aerospace industry as a rocket propulsion system [15] or as a micro-component cooling system [16,17]. Electrospray has been used in several applications; however, some questions or inconsistencies in its handling remain [18,19,20,21]. Systematic explanations of how flow patterns change during the electrospray process, what variables are involved, which ones can control the process, and how the process dynamics affect the final electrospray product (particles) are not clearly available in the literature. The above have been assumed since most studies have focused on the evaluation of stable jets (Taylor-cone flow), a condition that only reflects one flow pattern [22].
According to the literature, the electrospray process is governed by electrohydrodynamic theory, which employs the fundamentals of fluid mechanics and electrokinetics to explain the motion of fluids under the influence of electric fields [23,24]. The theory uses mass and inertia conservation models (continuity and Navier–Stokes equations) as well as charge distribution and current conservation models (Poisson’s and Nernst–Planck equations) to conduct analyses [25,26]. Both phenomena are coupled by incorporating the electric force into the inertia model, the expression of which is presented below:
As can be seen, the electric force is defined by three components that must be evaluated jointly. The first term represents the Coulomb force, which depends on the charge density () and the electric field () induced in the fluid. The second term defines the electrophoretic force that depends on the electric field and the gradients in the permittivity of the environment (). Finally, the third term represents the compressibility effects, which are generally negligible since electrospray processes are particularly incompressible [26,27,28].
By implementing electrohydrodynamic theory, some theoretical works have studied a few characteristics of the electrospray phenomenon [24,26,29,30,31,32]. In particular, these studies have tried to understand the formation of the Taylor cone and how it symbolizes the balance between the electric and surface tension forces, assuming the loss of the influence of the gravitational force (changes in capillary dripping). For example, F. Yan [33] and O. Lastow [34] studied two-dimensional models of cone jets to achieve stable configurations. In those works, the electric forces on the meniscus and the neck were solved numerically with axisymmetric Navier–Stokes equations, and a mesh adaptation was incorporated into the calculations. In the same way, M.A. Herrada [35] and M. Gamero-Castaño [36] carried out numerical simulations of a stable electrospray process (cone-jet flow), comparing their theoretical results with experimental ones and finding a good fit between them. In the first case, it can be inferred that the simulations reproduced the jet shape obtained experimentally (conical jet), providing correct values of the emitted electric current even for configurations close to the stability limit. In the second case, a leaky dielectric model was employed, where the transport of energy (electric current) between electrodes was not taken into account, a condition that simplified the evaluation; however, it should be noted that both studies reported similar results. On the other hand, A.M. Gañán-Calvo [37] used scaling theory and asymptotic analysis to define the geometry of the Taylor cone, which depends on multiple factors. Here, the study demonstrated that the particle diameter depends on the nozzle diameter, the volumetric flow rate, and the interaction between the electric phenomenon and the surface tension. In addition, A.M. Gañán-Calvo [38] worked on a revision of the fundamentals of the electrospray phenomenon, and they found a dimensionless relationship, Z∼ (currently Bond electric number →), which can be used to analyze the flow stability of this physical phenomenon. All the cited works only reflect stable flows, without considering the disturbances on the free surface and the consequent jet rupture [39]. Therefore, the usefulness of these studies is limited since such a condition can substantially change the dynamics of the electrospray phenomenon.
With the aim of extending the knowledge of electrospray processes, other types of study methodology have been employed [40]. Analyzing electrospray using experimental visualization techniques has proved useful when evaluating its dynamics [39,41,42]. In the beginning, these techniques focused on validating the theory that governs the formation of the Taylor-cone jet [35,36]; however, the experimental images revealed a more complex electrohydrodynamic phenomenon than expected [41,42,43,44]. The literature has documented through image succession that the electrospray phenomenon presents different flow patterns as the applied voltage increases. First, it begins with a reduction in the droplet size (mini-dripping), reducing the diameter of the drops because both forces, gravitational and electric, work together to generate the detachment of the drops [45,46]. Second, the dynamics of the phenomenon change to spindle mode or, more correctly, to the stretching of the drops as they are torn from the nozzle [39]. Then, the flow evolves to the Taylor cone (stable jet), which has been widely studied [47,48,49,50]. So far, theory and experiments have shown a good fit, but this is no longer the case if the electric potential is increased further: the flow pattern changes, and an oscillation with deformation in the Taylor cone begins, which is known as pulsated jet mode (unstable jet) [43,51,52]. This limit marks the point where the jet opening angle is first perceived, with atomized particles traveling downstream in a fan-like pattern. Furthermore, a greater increase in electric potential generates the detachment of the Taylor cone, a condition that is known as whipping jet [41], which hinders the atomization process. Finally, when reaching the limit of stability between the electric and surface tension forces, multi-jet flow occurs. This flow condition is considered chaotic, and the meniscus structure breaks into multiple elements randomly. In this case, the effect of Coulomb fission is more intense after the meniscus breaks into many elements [41,51].
As detailed, the evolution of the electrospray phenomenon involves several jet modes, and these depend on the forces acting on the meniscus structure. Consequently, the most appropriate experimental analysis involves evaluating dimensionless numbers that represent the competition between such forces [21,44,53,54]. Particularly, the parameter already discussed, known as the Bond electrical number (), is the most useful since it represents the competition between electric and surface tension forces [21,55,56]. The above sounds logical; unfortunately, the results in the literature are substantially inconsistent because such a relationship has also been attributed to other dimensionless numbers, the capillary electric number () [44,57] or the Weber electric number () [58,59], something that is, at best, an inconsistency in interpretation. In addition, because other types of forces are involved (gravity and drag), it is worth conducting a more detailed analysis. For example, when characterizing the transitions in jet modes, determining the relationship between the electric and gravitational forces can be important. It is known that both forces work in different proportions when the flow pattern is induced. Analyzing the products of the electrospray process (particles) is another topic pending discussion’ aspects such as the jet opening angle, particle size, and the number of particles are of interest when evaluating the scope of this technology. Likewise, being able to associate these factors with the dynamics of the electrospray in a nozzle is essential, since this allows an understanding of the conditions that improve or deteriorate the atomization process.
In the present work, an experimental study was carried out on the factors that influence and optimize the hydrodynamics of the electrospray process. Here, the electrohydrodynamic phenomenon induced close to a nozzle was analyzed, comparing the forces involved in the atomization process in terms of dimensionless parameters. In addition, the products of the electrospray process were evaluated using a statistical approach based on a factorial design, thus identifying the main factors that optimize the jet’s opening angle, particle size, and the number of particles. After conducting both studies, it was possible to define both the conditions under which good atomization is achieved and the factors that cause it.
2. Physical Model (Electrospray Process)
In Figure 1, the physical model under study and its schematic representation during the electropray process are illustrated. The electrospray device consists of two components, a nozzle with an inner diameter and an opening ring with a diameter l [60]. Both elements are separated by a distance L that can be increased or decreased; however, it should satisfy the conditions where L ≫ , L > l, and ∼ l, resulting in a quasi-unidirectional electric field, thus allowing greater control of the electrospray process. Furthermore, the scheme shows the order of magnitude of each force involved in the electropray phenomenon, as well as the variables and physical properties that define them. In summary, the mentioned phenomenon depends on the dynamic interaction between electric, gravitational, surface tension, and drag forces, together with fluid inertia [47,53,61]. The electric force () depends on the permittivity of the medium (), the electric field (E) induced by the applied voltage (V), and the characteristic length that corresponds to the inner diameter of the nozzle [54]. Additionally, the surface tension force () depends on the mentioned characteristic length and the surface tension () [47,62]; likewise, the drag force () is a function of the dynamic viscosity of the fluid (), the average velocity calculated in the nozzle (), and its inner diameter. In this work, this velocity was defined in terms of the flow rate (Q), which is generated by an external pressure () induced by a flow device [44]. On the other hand, the gravitational force () depends on other factors; it is defined by the gravity at location (g), the fluid density (), and the volume of the atomized drop (), where this volume is determined by an equivalent volume calculated at the moment of meniscus rupture (see Section 3.2) [63].
Figure 1.
Physical model and its schematic representation during the electropray process. Here, all forces involved in the electropray phenomenon and their order of magnitude, in terms of the variables and physical properties that define them, are presented.
To conduct this experimental study of the physical model, the competition between all mentioned forces was analyzed. After carrying out a detailed compilation of studies, Table 1 shows the dimensionless numbers involved in this study. Here, the expression representing the inertial force is defined by [64], and the electric field was estimated using the values of the applied voltage, the inner diameter of the nozzle, and the distance between electrodes, according to the following expression:
Table 1.
Dimensionless numbers representing the competition between all forces involved in the electrospray phenomenon.
The mathematical model in Equation (2) was developed by taking into account the two components of the electric field [54]; therefore, the estimation in terms of the electric force represents the full effects produced by the meniscus.
Study Limits
With the aim of focusing this study on the evaluation of flow patterns, two physical restrictions were added for all experimental tests. First, a non-viscous fluid was selected as the test fluid (see Table 2), and, second, only one flow rate was used, corresponding to a stable capillary dripping condition in the absence of an electric field [42,45]. Both considerations were essential for this study since all comparisons started from a known flow condition, as previously studied [42]. After introducing the two limits, it was easy to infer that the effects of the drag force and inertia on the dynamics of the phenomenon are negligible. This is because the fluid offers little resistance to deformation, making the comparison of the drag force with another irrelevant. In addition, if inertia is weak, the flow pattern is not affected by the effects of instability (droplet formation time) [67]. Then, the changes associated with meniscus rupture only depend on the interaction of the electric, gravitational, and surface tension forces. In this context, such an interaction is defined by the electric and gravitational Bond numbers ( and ) as well as the relationship between both parameters (). On the contrary, dimensionless numbers such as the Reynolds (), Weber (), and Ohnesorge () numbers have only one value, and, when considering their magnitudes, these do not have an appreciable effect on the dynamics of the electrospray phenomenon [55,64]. Also, the remaining parameters were not useful for this study, since they do not affect the real competition between the forces involved (see Section 3.2.2).
Table 2.
Physical properties of ethanol at 298 K [68].
As summarized in Figure 1, the proposed experimental work required a specialized environment, the appropriate control of the study variables, and good recording and analysis of the results (visualization techniques and image processing). Therefore, the materials and methods employed to carry out the analysis are detailed below.
3. Materials and Methods
3.1. Experimental Setup
The image in Figure 2 shows the experimental setup used in the present work. It illustrates the elements necessary for the appropriate operation of the electrospray device (nozzle and opening ring). In particular, there is a high-voltage power supply with its control devices; there are also reservoirs, lines, fluid supply devices, micrometric displacement devices, and a high-speed camera suitable for recording the phenomenon under study. Analyzing the image, it can be observed that the fluid was initially contained in a reservoir. For its displacement, a Masterflex ISM160 (AxFlow, Madrid, Spain) peristaltic pump was available, which supplied the fluid to a syringe connected to a dispensing tip (nozzle) with flow rates of 0.3 to 1.0 mL/min. Furthermore, the selected dispensing tip had an inner diameter of approximately 300 μm, and a stainless steel plate with a hole (opening ring) centered a few millimeters below the nozzle was placed to complete the electrospray device. This plate was later electrically charged to produce the electrospray phenomenon. Also, the syringe was designed and built to store up to 163 mL and create an electric potential difference between the liquid and the metal plate. This condition was generated since the other electrode was fixed inside the syringe making contact with the fluid. The necessary conditions to induce the electrospray phenomenon were achieved by using a high-voltage electrostatic generator (HVEG). For this work, the HVEG was designed and built in-house. It consisted of a step-up transformer with a transformation ratio of 1 to 20, connected to an array of voltage doublers formed by capacitors and diodes. The connection was in a push–pull configuration, where the peak voltage of the primary winding could be adjusted in the range of 1.25 to 12.5 V through a linear source bounded by a micro-controller. The secondary winding was connected to an array of voltage doublers, which produced a voltage of 1 to 10 kV. The micro-controller adjusted the voltage through a keypad and displayed the information on an LCD screen, allowing the user to enable its operation. The array of voltage doublers and the control circuit were placed in separate, insulated cabinets to avoid current arcs.
Figure 2.
Experimental setup.
The distance between the dispensing tip and the plate could be adjusted from 3 to 10 mm by using opto-mechanical displacement devices. The syringe and the dispensing tip were fixed to an aluminum rail that allowed their horizontal position to be changed; the metal plate had an opto-mechanical system that allowed its Y–X displacement, which made it possible to precisely adjust the electrospray device in each experiment. The high-speed camera employed, a Chronos 2.1 from Krontech (Burnaby, BC, Canada), was mounted on a 3-axis millimetric translation stage, an arrangement that allowed its position to be changed and for focus on the experiments in detail. This was important since this study evaluated the electrospray process in two regions on two different length scales. The first zone corresponded to the formation of the spray, focusing on the dynamics of the liquid as it detached from the nozzle. The second zone corresponded to the study of the characteristics of the spray, that is, the distribution of the particle size (product), particle number, and the angle that they followed downstream after atomization. To visualize the region near the nozzle, a 50 mm CCTV lens (Fujian, China) and a 115 mm long infinity tube (Naiken, Jinjiang, China) were used; the trajectories of the drops were visualized with a 30 mm CCTV lens (Fujian, China). In both cases, the experiments were illuminated from behind by a 100 W LED (Chanzon, Shenzhen, China) connected to a DC power supply (Wanptek, Shenzhen, China) and a diffusing screen.
Working Fluid
For the selection of the test fluid, as already indicated, a non-viscous fluid, pure ethanol (J.T. Baker, Phillipsburg, NJ, USA) was selected. This fluid is a good choice when carrying out the electrospray process since it has excellent properties. Mainly, it has moderate electrical conductivity as well as low surface tension and dynamic viscosity. Table 2 shows the physical properties of ethanol as reported by Y. Gan [68].
3.2. Data Acquisition and Image Analysis
Other important points to highlight are the methods employed for data acquisition and image analysis. For the former, two types of data acquisition were performed, and the choice depended on the region being analyzed. The first zone required acquisitions at rates up to 20,000 fps, whereas 1000 fps was enough for the second zone. The use of a high acquisition rate during meniscus rupture provided the details that needed to be recorded [69,70]. In the present study, it was necessary to record the rupture during the fluid experiments to determine the equivalent volume of the atomized drop (), which is useful when calculating the influence of the gravitational force during the electrospray process. In addition, with the help of good lighting, the effects of motion blur are eliminated as the acquisition rate increases [69]. Instead, as the field of view increases, which is the case when tracking particles downstream of the atomization, it is acceptable to reduce the acquisition rate.
For image processing, the particle (drop) tracks were estimated using the algorithm TrackMate, a plugin for the ImageJ2 (2.14.0) suite. The spatial resolution used was 0.017 mm/pixel, and the viewing region focused on one plane covering a surface 4 mm wide and up to 13 mm high. In some cases, the obtained videos were processed to estimate the minimum intensity profile (MIP). The MIP of an image is calculated by estimating the minimum pixel value at a given position for an image stack. In shadow photography, the MIP shows particle trajectories in a single image [70].
To determine the equivalent volume of atomized drop (), the criterion used follows the concept of symmetry during meniscus rupture. If the element is a spherical drop (capillary dripping), first, the equivalent diameter () of the droplet is calculated, and, later, this is used to determine the equivalent volume, assuming that the drop is a sphere. On the contrary, if the element is a fluid filament (electrospray), the equivalent width and length ( and ) of the filament are calculated, with which the equivalent volume is calculated, assuming that the detachment is a cylinder (See Figure 3). In the particular case of a multi-jet electrospray, the criterion is applied considering the average of the different detachments. It should be noted that all measurements were made using the image before meniscus rupture; the mentioned equivalent dimensions were calculated through the drop area () obtained from the image. Therefore, it was assumed that this image represented the last point where the forces interacted simultaneously; consequently, this is where the gravitational force had its greatest effect.
Figure 3.
Images and schematic representation of the procedure for estimating the equivalent volume of the atomized drop ().
After testing the experimental setup, the products (particles) downstream of the atomization were evaluated as follows: The number of experimental trials was defined using a factorial design with three levels: 32, considering the effects of 2 factors in 9 runs (resolution IV), which allowed determining the main nonconfounded effects with two-factor interactions when run in a single block. The order of the experiments was completely randomized [71], and the factor combinations were chosen to estimate the main effects of the factors and the interactions on the spray angle, the number of particles, and the particle diameter. The results were analyzed using Statgraphics Centurion software (version 15.2.06). A statistical analysis of variance (ANOVA) was conducted to determine the significance (p-value) of each main factor and their interactions.
3.2.1. Design of Experiments (Statistical Analysis)
The design-of-experiments (DoE) methodology was used to optimize the response variables such as the spray angle, the size distribution, and the number of particles. This statistical model is summarized in the following expression:
where y is the response variable, i.e., the spray angle , the number of particles n, or the particle diameter ; is the mean value of the response; are the regression coefficients of the control variables . The input of the statistical model in Equation (3) is the variable that can be changed independently. This model accounts for independent factors as well as their interactions. Factors are variables that influence the response on their own. The interactions are the terms in Equation (3) that impact the response in combination with the other independent variables. The variables in this statistical model may interact with each other or themselves, leading to higher-grade polynomials in the case of pure variables. The statistical parameters of the model were estimated using the least-square method, and the main effect of any variable was interpreted as independent if there was no evidence of an interaction between vthe ariables.
Table 3 shows the experimental values of the variables (factors) that were part of the factorial-design study. In this case, the applied voltage (V) and the distance between electrodes (L) were selected as the two factors since both define the applied electric field and, in turn, the electric force induced on the fluid meniscus. These experiments also met the requirements for evaluating the characteristics of meniscus rupture; therefore, the effects generated by the interaction of the forces involved in electrospraying were understood by comparing the products obtained.
Table 3.
Levels of control variables (factors).
3.2.2. Experimental Conditions
As already mentioned, prior to the collection of the results for analysis, the experimental setup was tested in order to select the most appropriate study conditions. For this, the characteristics of meniscus rupture and its effects on the product obtained downstream of the atomization were considered. As a summary, the experimental conditions used in the present investigation are shown in Table 3.
Table 4 illustrates the conditions under which the experiments were performed. The values of the variables involved and those obtained by calculating the most important dimensionless numbers are shown. As can be observed, the Reynold, Weber, and Ohnesorge values revealed that the inertia and the drag force were not representative in the development of the flow pattern. On the contrary, the changes only depended on the competition of the gravitational and electric forces against the surface tension force that sought to keep the fluid attached to the nozzle. A complete analysis is presented in the following section.
Table 4.
Experimental conditions employed in the present investigation. Here, the values of both the physical variables involved in the experiments and the values obtained by calculating the dimensionless numbers are illustrated.
4. Results and Discussion
In this section, the results obtained from the experiments are analyzed using the two scenarios previously described. First, the phenomenological nature of meniscus rupture is evaluated and discussed, showing how the interaction of forces causes the flow pattern to change substantially, evolving from a simple capillary dripping in the absence of an electric field to a complex and unstable multi-jet flow when the electric field is completely dominant. This evaluation explains how the first phase of the atomization process develops, allowing us to identify the most appropriate conditions to achieve it. Subsequently, this section extends to evaluating the particles obtained downstream of the atomization (statistical analysis), where the angle formed by such particles, their size, and their number are analyzed. In this case, the desired results are homogeneity in the atomization, the appropriate number and size of particles, and an opening angle suitable for supporting stable flow. It is clear that there is a connection between the characteristics of meniscus rupture and how these affect electrospray performance. Therefore, understanding these relationships is essential since they can lead to the better design of the atomization process.
4.1. Phenomenological Description
Figure 4 illustrates three flow patterns that describe different structures and evolutions. The figure, for the same inlet flow conditions that are defined by the dimensionless Reynolds, Weber, and Ohnesorge numbers (see Table 4), presents the images from these experiments with different applied voltages (V = 0, 2.5, and 3.5 kV) and the same separation between electrodes (L = 4 mm). In the first case, Figure 4a shows the widely studied capillary dripping condition [42,45], where the electric Bond number is zero (in the absence of an electric field), and the gravitational Bond number reaches its maximum value (highest value of ). This condition indicates that the dominant force is gravitational, which has its greatest effect when promoting the rupture of the meniscus (drop detachment). On the contrary, Figure 4b shows the special influence of the electric force during meniscus rupture. Analyzing the image indicates that both the electric force and the surface tension force achieve a condition that reduces the gravity force’s contribution to its minimum value (→0). This condition in terms of the flow pattern is known as the stable Taylor-cone jet, and, hypothetically, it is considered the ideal condition for electrospray since the minimum particle size is obtained [44]. It should be noted that maintaining such a flow condition is extremely complex; the observed result is the closest that could be achieved with the experimental setup and instruments available. Furthermore, Figure 4c illustrates the electrospray flow condition that followed the previous one. In this image, the electric field is more intense (the value of the electric Bond numer), causing the fluid filament to destabilize, presenting oscillations and, sometimes, detachment due to the joint effects of the electric and gravitational forces. Obviously, each image shows a different flow pattern, which is indicated by the values of the Bond numbers, and these are physically defined by the dynamic interactions between electrical, surface tension, and gravitational forces.
Figure 4.
Visualization of three different flow patterns. (a) Capillary dripping flow in the absence of applied voltage ( = 0 and = 1.6); (b) stable Taylor-cone jet obtained approximately for an applied voltage of 2.5 kV ( = 2.11 and = 0.008); (c) unstable jet with filament detachment at an applied voltage of 3.5 kV ( = 4.14 and = 0.016). Here, the distance between the electrodes was L = 4 mm and was the same for all tests.
After evaluating how the meniscus rupture consolidated in the electrospray phenomenon, the main results showed that each force affects the meniscus differently, generating a specific flow pattern; in turn, this can evolve to more complex ones when the process conditions are modified. For example, when the applied voltage increased weakly from the capillary dripping condition (from V = 0 to V = 2 kV), the meniscus underwent deformation, stretching and taking the shape of a spindle, as illustrated in Figure 5a. In this case, the contribution of the gravitational force was significantly reduced from a gravitational Bond value of 1.6 to a value of 0.24, and the electric force came into play, adding a contribution defined by an electric Bond of 1.19. Together, both forces caused the fluid filament to detach from the nozzle. Likewise, as the applied voltage increased from 2.0 to 5.0 kV, the interaction between both forces changed each time a new flow pattern arose. As shown by the experiments and confirmed by the literature [42], the stable Taylor-cone jet followed (≈ 2.11 and ≈ 0.008), producing certain versions of an unstable cone jet with the detachment of the filament sections (see Figure 4c and Figure 5b). Finally, an unstable multi-jet flow was obtained when a very intense electric field was induced (> 5.97). The above can be verified by viewing the results in Figure 4 with those in Figure 5. In these new images, other flow patterns are shown for a distance between the electrodes of L = 8.5 mm and for three applied voltages: V = 2.0, 3.5, and 5.0 kV.
Figure 5.
Visualization of other flow patterns. (a) Stable spindle jet at an applied voltage of 2.0 kV ( = 1.19 and = 0.24); (b) unstable jet with filament detachment obtained at an applied voltage of 3.5 kV ( = 2.93 and = 0.05); (c) unstable multi-jet flow with filament detachment at an applied voltage of 5.0 kV ( = 5.97 and = 0.039). Here, the distance between the electrodes was L = 8.5 mm and was the same for all tests.
In the literature, flow pattern behavior is represented by a phase diagram. In particular, this scheme shows how the meniscus rupture occurs for different flow rates (Q) and applied voltages (V) [72,73]. In this sense, since the flow rate was constant in the present work, both its meaning and the control variables had to be adopted in different ways. In Figure 6a, a new version of this diagram is shown considering the distance between the electrodes and the applied voltage, L and V, respectively. We chose these variables because they define the electric field and, in turn, represent the electric force that is responsible for the changes in the meniscus rupture. This type of representation is useful in a visual context because the conditions that promote a certain type of meniscus rupture can be easily observed. For example, if a stable jet is sought, it is more convenient to have a large distance between the electrodes and a controlled voltage; in the opposite case, if an unstable multi-jet flow is sought, a high voltage with a small distance between the electrodes is more convenient. In general, the results in this diagram are very similar to those reported in the literature [73]. However, these do not provide a physical explanation as to why the changes in the flow patterns occur. In such a case, a direct evaluation of the dynamic interaction of the forces (electrical, gravitational, and surface tension) expressed in dimensionless numbers is more convenient. When the results obtained are evaluated in terms of the two Bond numbers, electric and gravitational, it is easy to distinguish how capillary dripping changes due to the effects of the electric force (see Figure 6b) [74]. Moreover, if the relationship between the electric and gravitational forces (parameter ) is evaluated, the result allows the definition of the transitions between the flow patterns; each peak in the curve corresponds to a change in the relationship between both forces, which means an alteration in the mechanism of meniscus rupture.
Figure 6.
(a) Phase diagram of the distance between electrodes (L) vs. the applied voltage (V). (b) Phase diagram of the electric Bond () vs. gravitational Bond () and the parameter .
4.1.1. Jet Opening Angle
When analyzing the jet opening angle, it is logical to think that a larger spray angle is a better condition for atomizing particles. This can promote smaller and more dispersed droplets over a larger area; consequently, choosing an intense electric field would be the best option to achieve this goal. To corroborate this hypothesis, a comparison of the angles in the experiments was made. Here, the analysis involved both the characteristics of meniscus rupture and the shape of the spray angle obtained.
Figure 7 depicts the previously discussed shadowgraph technique (MIP). Figure 7a shows the downstream flow field, where the droplet trajectories can be observed to change slightly after passing through the opening ring, which is considered a residual effect of their interactions with the electric field in that area. This behavior contrasts that in the meniscus rupture region, where drops have straight trajectories. Figure 7b illustrates motion blur due to fast movement despite using an acquisition rate of 10,000 fps. Here, the results indicate that the electric force translates to a blunt force pulling down the liquid, resulting in straight trajectories. Both images show the results of the experiments. In the first case, the image corresponds to a meniscus rupture of a spindle jet, which occurred for an electric Bond of 1.35 (V = 2 kV and L = 4 mm). The image in Figure 7b represents the meniscus rupture of an unstable jet with small detachments, where a more intense electric field defined by an electric Bond of 4.14 (V = 3.5 kV and L = 4 mm) was introduced. It is evident that a meniscus rupture focused towards the symmetry axis has a smaller spray angle. This has the benefit of increasing control in the atomization process; however, this substantially affects the jet dynamics downstream. When there is a meniscus rupture with a certain instability (oscillations and small detachments), a greater opening angle is achieved, thus improving the distribution of particles as they move downstream. Consequently, a good meniscus rupture condition, as is the case of a stable Taylor-cone jet, does not necessarily provide the best conditions if the particle distribution is considered.
Figure 7.
Visualization of electrospray with a distance between electrodes of L = 4 mm: (a) large-field drop trajectories (downstream view) at an applied voltage of V = 3 kV; (b) close-up of the spray angle (upstream view) at an applied voltage of V = 3.5 kV.
To determine the opening angle in the experiments, the expression in Equation (4) was used in conjunction with the post-processed images from each experiment. Below, it is shown how changes in the control variables (V and L) affected the characteristics of the opening angle, which had to be discussed.
The images in Figure 8 detail the evolution of the spray angle () as a function of the applied voltage (V) while maintaining the same distance between electrodes (L = 4 mm). Figure 8a shows the MIP at an applied voltage of 2 kV, being the minimum value that can affect the meniscus’s structure. In this case, the apex of the meniscus was elongated by the electric force, producing a filament that detached as a spindle. Clearly, the jet opening angle was small, tending to zero, under these conditions. Both capillary dripping and other versions of stable jets, where the electric force has an influence, follow the same trend with very closed spray angles. As previously stated, in these cases, the atomized products travel along the symmetry axis; thus, the configuration does not promote good particle dispersion. This condition changes when the dynamics of meniscus rupture begin to exhibit certain instability. In particular, the oscillations in a meniscus rupture cause the atomized particles to follow trajectories outside the symmetry axis, something that is evident in Figure 8b and Figure 9c. These images were obtained by using the same experimental conditions ( = 4.14 and = 0.016), except that one image shows the atomization process downstream, and the other provides the details of the meniscus rupture’s dynamics. The results in these images illustrate some important characteristics for the process: a finer dispersion of droplets is obtained because of the increase in the spray angle, and the charged droplets interact with their neighbors, breaking up into a finer spray, resulting in enhanced ionization. This, in turn, generates a higher evaporation rate. In conclusion, the selected physical conditions promote greater homogeneity of the product (particles or drops), smaller particle sizes, and, above all, a stable flow downstream of the atomization.
Figure 8.
Visualization of the spray angle for the same distance between electrodes, L = 4 mm. (a) Stable spindle jet at an applied voltage of 2.0 kV ( = 1.35 and = 0.12); (b) unstable jet with filament detachment obtained at an applied voltage of 3.5 kV ( = 4.14 and = 0.016); (c) unstable multi-jet achieved at an applied voltage of 5.0 kV ( = 8.45 and = 0.023).
Figure 9.
Visualization of the spray angle at same applied voltage V = 3.5 kV. (a) Stable single-size jet at a distance L = 13 mm ( = 2.46 and = 0.064); (b) unstable single-size jet obtained at a distance L = 8.5 mm ( = 2.93 and = 0.050); (c) unstable jet with filaments detachment at a distance L = 4 mm ( = 8.45 and = 0.023).
By increasing the applied voltage to 5 kV ( = 8.45 and = 0.023), another meniscus rupture mode defined by an unstable multi-jet flow was obtained, as illustrated in Figure 8c. Although this experiment generated an even larger spray angle, under conditions similar to those previously discussed, the adverse aspects that affect the atomization process are presented. Mainly, the instability was large enough to break the flow stability downstream, causing poor particle dispersion and affecting particle size, something that was partially compensated by secondary atomization processes (Coulomb fission).
In summary, achieving good control of the atomization process depends on the control of the instability of the meniscus’s rupture. Aspects such as particle dispersion (spray angle) and size affect the quality of the final performance. This can be corroborated by analyzing the images in Figure 9, which correspond to a single applied voltage (V = 3.5 kV) and three different separations between electrodes (L = 4, 8.5, and 13 mm). Here, both the particle trajectories and the meniscus rupture are shown. As can be observed, when the instability increases, the dispersion of the particles increases, making the spray angle larger, which, in turn, reduces the particle size.
4.1.2. Particle Size and Distribution
To evaluate the size and distribution of the pulverized particles, a procedure similar to that used for estimating the equivalent volume of the meniscus rupture was employed. In this case, the difference was that the diameter of the particles () was evaluated downstream. Therefore, depending on the experiment, the calculation required the evaluation of a single particle or a large number of them. To standardize the evaluation in all experiments, the same time interval was selected as the evaluation period. During this interval, detached particles were counted, and the diameter of each one was measured. For the present work, the period of evaluation was established according to the experiment with the slowest meniscus detachment (V = 2 kV and L = 14 mm, or dimensionless = 0.8 and = 0.8); consequently, this period defined the number of frames to be analyzed. It is worth mentioning that the evaluation of particle size and distribution was only carried out for nine experiments for the statistical analysis, in addition to the experiment illustrated in Figure 10.
Figure 10.
Image of parent and satellite droplets ejected downstream using an applied voltage of 3.3 kV (10,000 fps). Here, the procedure used for the evaluation of particle diameters is outlined.
In this image, the parent and satellite droplets ejected downstream using an applied voltage of 3.3 kV (10,000 fps) are shown. Furthermore, the image illustrates the study area and the procedure used to evaluate each pulverized particle, obtaining its equivalent diameter using the shadowgraph technique. For the example analyzed, relatively small particle sizes of around 60 microns were observed. This is because the experimental conditions ( = 3.68 and = 0.029) were close to those that produced the best results in terms of particle dispersion ( = 4.14 and = 0.016). Therefore, it is demonstrated that good particle dispersion is achieved with finer particles, which is important in atomization processes. The results of the particle size and distribution for the rest of the experiments are presented below.
In Figure 11, a histogram is presented, summarizing the results of particle size and distribution, for the nine experiments used in the statistical analysis. Here, three applied voltages (V = 2, 3.5, and 5 kV) and three distances between electrodes (L = 4, 8.5, and 14 mm) were evaluated. In general, the obtained results were consistent with the data already mentioned. First, the largest particle size was obtained when the electric force was weak (V = 2 kV and L = 14 mm, or dimensionless = 0.8 and = 0.8), which confirmed that the electric force helps at the moment of meniscus rupture and in the dispersion of the particles. Second, as instability appeared in the meniscus rupture (V = 3.5 kV), the particle diameter appreciably reduced, and the number of particles increased. After this, the improvement stagnated, and, in some cases, the particle size increased due to the excessive instability of the meniscus rupture (V = 5 kV and L = 4 mm, or dimensionless = 8.45 and = 0.023). As complementary data, the experiment that showed the best particle dispersion also had the best conditions for particle size and distribution, producing particles in the range of 40 to 130 microns. Therefore, it can be stated that the electrospray device provided the best results under an applied voltage of 3.5 kV and a separation between electrodes of 4 mm ( = 4.14 and = 0.016). For greater precision, these experimental results must be optimized using a statistical model, which we conducted and is detailed in the following section.
Figure 11.
Histogram of particle size and distribution as a function of applied voltage, considering three distances between electrodes in the statistical analysis (L = 4, 8.5, and 14 mm): (a) V = 2 kV, (b) V = 3.5 kV, and (c) V = 5 kV, respectively.
4.2. Statistical Analysis (Process Optimization)
Taking into account the results described in the previous sections and carrying out the procedure detailed in Section 3.2.1, the prediction models that described the spray angle (), the mean particle diameter (), and the number of particles (n) are presented below (see Table 5).
Table 5.
The values of the coefficients used in the prediction models, where the applied voltage was evaluated in kilovolts [kV], and the distance between electrodes was defined in millimeters [mm].
After evaluating these expressions, the ANOVA indicated that the main effect on the spray angle was from the applied voltage, the distance between the electrodes, and the interaction scales with the applied voltage squared. On the other hand, the particle number was mainly affected by the applied voltage and the distance between the electrodes, as well as the interaction scales with the applied voltage squared and the product of the distance between electrodes times the applied voltage. In this case, it could be inferred that the applied voltage was the factor that contributed the most to the number of particles. However, when the model was adjusted using only this factor, the correlation coefficient decreased to 70%. Therefore, all factors had an important role in the statistical model. In the case of the mean particle diameter, it behaved in a similar way to the model described above, with the applied voltage having more influence; however, the distance between electrodes also contributed to the particle diameter. The above was corroborated by making comparisons with the available experimental results. In this context, a series of tests were carried out using the prediction models for different levels of the control variables, obtaining a confidence level of 95% or higher. All the results of the comparisons are listed in the following table.
As can be seen from the results in Table 6, the predictions of the models provided reasonable results compared to the experimental data. In the case of the spray angle, there were some discrepancies for angles below 14° (stable jet). However, the model predicted values very close to the experimental ones for large angles (unstable jet). Obviously, as the spray angle predictions ranged from 0° to 57.7°, the model was limited to predicting values outside these limits. For the number of particles, the experimental results were analyzed only in the observed zone, as mentioned in the description of the experimental conditions. The estimates in this case involved up to 10 particles, making it impossible to predict values outside this range. Focusing on the spray angle and the mean diameter, the predictions agreed with the experimental results. The estimates in this case ranged from 70 to 960 microns, where the experimental value of the mean diameter was obtained from the average diameter of the recorded particles. In this way, the statistical model allowed us to organize the experiments to maximize or minimize the responses accordingly.
Table 6.
Experimental values vs. values predicted by statistical models.
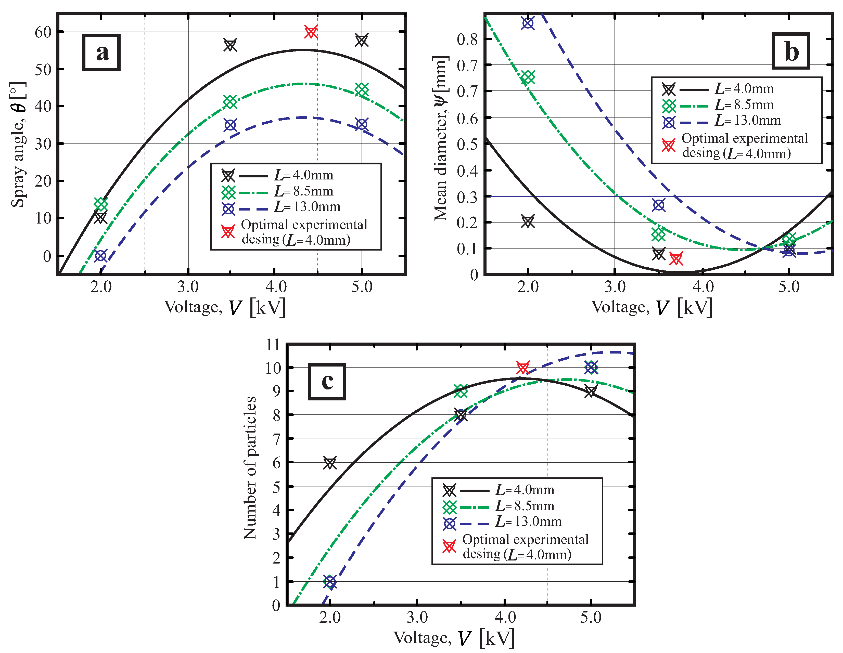
Figure 12 amps the effects of the two control variables, the applied voltage (V) and the distance between electrodes (L), on the spray angle, the number of particles, and the mean particle diameter to test the accuracy of the statistical analysis. Here, the results are shown as a function of the applied voltage, and each curve represents a value of L (statistical model). Figure 12a shows the evolution of the spray angle, increasing as the applied voltage increases or the distance between electrodes reduces. Furthermore, the graph illustrates that the angle reaches a plateau at about 4 kV; however, the statistical model predicts an optimum value of between 4 and 4.5 kV. The optimum value points to an overshoot in the plateau; likewise, the experimental data in this figure do not show such an overshoot. In summary, lower spray angles develop when the distance between the electrodes increases for a specified voltage. The angle reached its minimum at 2 kV regardless of the distance between the electrodes, and the widest angles were obtained at the smallest distance and high voltages. These results are in good agreement with the statistical model and illustrate how the electric force is able to open the spray angle or not.
Figure 12.
Comparison between the results obtained experimentally (symbols) and those obtained with statistical models (lines). (a) Evaluation of the spray angle , (b) the mean particle diameter , and (c) the number of particles as functions of the applied voltage and for the three distances used in the statistical analysis.
Both the distance the between electrodes and the applied voltage affected the mean particle diameter, as illustrated in Figure 12b. In general, a large applied voltage induced smaller particles, and when the separation between electrodes was reduced, the particle diameter was smaller. However, for the mean diameter, the best process condition was not achieved with the highest voltage. This was already discussed and is associated with an uncontrolled instability in the meniscus rupture. On the contrary, when this instability is under control, it allows greater atomization after the meniscus rupture. This is corroborated in Figure 12c, where the number of atomized particles is shown. Here, a larger number of particles was obtained when the instability occurred, increasing from one particle (without inevitability) to six and then ten as the electric force increased.
By comparing the available experimental results, the statistical model, and the calculated optimization data, it was possible to infer that the best atomization conditions were achieved at an applied voltage of around 3.7 kV with a separation between electrodes of 4 mm (see Figure 12b). These data differ by 0.2 kV from those obtained from the phenomenological analysis (V = 3.5 kV and L = 4 mm). In this case, there is homogeneity in the product, a small particle size, and a stable flow downstream of the atomization (appropriate spray angle).
5. Conclusions
Electrically charged were been the subject of this meticulous experimental investigation. The visualization and recording of these flows using high-speed video allowed us to study the formation of electrically charged filaments, focusing on meniscus rupture and the flow downstream of the atomization region. The design of the experiment methodology, which underpinned all the experimental trials, provided reliable information on the effect of the main factors and their combinations on the response variables, such as spray angle, particle size distribution, and particle number. The analysis of meniscus formation and rupture in terms of the competition between forces further reinforces the reliability of our results.
Furthermore, the different rupture modes were determined as a function of the electric field intensity (electric Bond number, ). The findings revealed that the best atomization condition was defined by a stable Taylor-cone jet (at meniscus rupture), but the results were different downstream of the atomization region since stable jet atomization was characterized by poor particle dispersion. To improve such conditions, it was found that flows with controlled instability, specifically oscillation around the vertical axis and particle detachment, led to better atomization conditions. These were due to the increased dissemination of particles, the generation of a more homogeneous product, and a smaller particle size. A secondary atomization process caused such conditions after the rupture of the meniscus, known as Coulomb fission, which played a key role in improving atomization conditions.
From a quantitative perspective, the best results were obtained when applying a voltage of 3.5 kV with the electrodes separated by 4 mm. Under such conditions, small particle sizes and a stable flow downstream of the atomization region, characterized by a wide spray angle, were observed. these results were in reasonably good agreement with the statistical model, which suggested that the best operating conditions were obtained at 3.7 kV with 4 mm between the electrodes.
The findings clearly show that the mechanism of meniscus rupture and the flow characteristics downstream of the atomization region are pivotal in electrospray processes. This finding indicates electrospray is a promising technology for the production of micro/nanoparticles, the development of bioactive compounds for the food industry, and the manufacturing and delivery of drugs and medical biocomponents. The potential of this technology is vast, offering a hopeful outlook for the future of these fields.
Author Contributions
Methodology, O.P.-R., J.F.H.-S. and G.A.; Software, I.M.-A.; Formal analysis, I.M.-A.; Investigation, O.P.-R., J.F.H.-S., S.S., J.C. and R.D.; Resources, J.C.; Data curation, O.P.-R., J.F.H.-S., R.Z., E.B.-d.l.F. and G.A.; Writing—original draft, O.P.-R., J.F.H.-S. and G.A.; Writing—review and editing, R.Z., E.B.-d.l.F. and G.A.; Visualization, J.F.H.-S. All authors have read and agreed to the published version of the manuscript.
Funding
Financial support from DGAPA-UNAM through grant IN108724 is acknowledged. The authors acknowledge CONAHCYT (Mexico) in financing project CF-2023-I-1344. O. Reyes thanks CONAHCyT for the scholarship provided during their Ph.D. studies.
Data Availability Statement
The original contributions presented in this study are included in the article.
Acknowledgments
We would like to thank E. Benjamin Valera and Eduardo Bernal for their help in building the experimental setup.
Conflicts of Interest
The authors declare no conflicts of interest.
References
- Tycova, A.; Prikryl, J.; Kotzianova, A.; Datinska, V.; Velebny, V.; Foret, F. Electrospray: More than just an ionization source. Electrophoresis 2021, 42, 103–121. [Google Scholar] [CrossRef]
- Jaworek, A.; Sobczyk, A.T.; Krupa, A. Electrospray application to powder production and surface coating. J. Aerosol. Sci. 2018, 125, 57–92. [Google Scholar] [CrossRef]
- He, T.; Jokerst, J.V. Structured micro/nano materials synthesized via electrospray: A review. Biomater. Sci. 2020, 8, 5555–5573. [Google Scholar] [CrossRef] [PubMed]
- Conde, J.J.; Ferreira-Aparicio, P.; Chaparro, A.M. Anti-corrosion coating for metal surfaces based on superhydrophobic electrosprayed carbon layers. Appl. Mater. Today 2018, 13, 100–106. [Google Scholar] [CrossRef]
- Pendar, M.-R.; Páscoa, J.C. Numerical modeling of electrostatic spray painting transfer processes in rotary bell cup for automotive painting. Int. J. Heat Fluid Flow 2019, 80, 108499. [Google Scholar] [CrossRef]
- Pendar, M.-R.; Rodrigues, F.; Páscoa, J.C.; Lima, R. Review of coating and curing processes: Evaluation in automotive industry. Phys. Fluids 2022, 34, 101301. [Google Scholar] [CrossRef]
- Rostamabadi, H.; Falsafi, S.R.; Rostamabadi, M.M.; Assadpour, E.; Jafari, S.M. Electrospraying as a novel process for the synthesis of particles/nanoparticles loaded with poorly water-soluble bioactive molecules. Adv. Colloid Interface Sci. 2021, 290, 102384. [Google Scholar] [CrossRef] [PubMed]
- Dai, F.; Huang, J.; Liao, W.; Li, D.; Wu, Y.; Huang, J.; Long, Y.; Yuan, M.; Xiang, W.; Tao, F.; et al. Chitosan-TiO2 microparticles LBL immobilized nanofibrous mats via electrospraying for antibacterial applications. Int. J. Biol. Macromol. 2019, 135, 233–239. [Google Scholar] [CrossRef] [PubMed]
- Davoodi, P.; Feng, F.; Xu, Q.; Yan, W.-C.; Tong, Y.W.; Srinivasan, M.P.; Sharma, V.K.; Wang, C.-H. Coaxial electrohydrodynamic atomization: Microparticles for drug delivery applications. J. Control. Release 2015, 205, 70–82. [Google Scholar] [CrossRef] [PubMed]
- Steipel, R.T.; Gallovic, M.D.; Batty, C.J.; Bachelder, E.M.; Ainslie, K.M. Electrospray for generation of drug delivery and vaccine particles applied in vitro and in vivo. Mater. Sci. Eng. C-Mater. Biol. Appl. 2019, 105, 110070. [Google Scholar] [CrossRef] [PubMed]
- Tanhaei, A.; Mohammad, M.; Hamishehkar, H.; Hamblin, M.R. Electrospraying as a novel method of particle engineering for drug delivery vehicles. J. Control. Release 2021, 330, 851–865. [Google Scholar] [CrossRef] [PubMed]
- Xu, H.; Wang, J.; Li, B.; Yu, K.; Wang, H.; Tian, J.; Li, B. Electrospray characteristics and cooling performance of dielectric fluid HFE-7100. Energy 2022, 259, 125072. [Google Scholar] [CrossRef]
- Fenn, J.B.; Mann, M.; Meng, C.K.; Wong, S.F.; Whitehous, C.M. Electrospray Ionization for Mass Spectrometry of Large Biomolecules. Science 1989, 246, 4926. [Google Scholar] [CrossRef] [PubMed]
- Chaparro, A.M.; Ferreira-Aparicio, P.; Folgado, M.A.; Martin, A.J.; Daza, L. Catalyst layers for proton exchange membrane fuel cells prepared by electrospray deposition on Nafion membrane. J. Power Sources 2011, 196, 4200–4208. [Google Scholar] [CrossRef]
- Kumar, P.; Kwon, C.; Kwon, K.; Yoh, J.J. On the cone-to-jet transition region and its significance in electrospray propulsion. Acta Astronaut. 2023, 205, 12–22. [Google Scholar] [CrossRef]
- Gibbons, M.J.; Robinson, A.J. Electrospray array heat transfer. Int. J. Therm. Sci. 2018, 129, 451–461. [Google Scholar] [CrossRef]
- Taheri, V.; Rahnama, H.E.; Morad, M.R. High flow rate electrospray cooling performance of water-ethanol mixtures. Appl. Therm. Eng. 2024, 239, 122200. [Google Scholar] [CrossRef]
- Han, Y.; Wei, C.; Dong, J. Droplet formation and settlement of phase-change ink in high resolution electrohydrodynamic (EHD) 3D printing. J. Manuf. Process. 2015, 20, 485–491. [Google Scholar] [CrossRef]
- Wu, C.; Tetik, H.; Cheng, J.; Ding, W.; Guo, H.; Tao, X.; Zhou, N.; Zi, Y.; Wu, Z.; Wu, H.; et al. Electrohydrodynamic Jet Printing Driven by a Triboelectric Nanogenerator. Adv. Funct. Mater. 2019, 29, 1901102. [Google Scholar] [CrossRef]
- Farjam, N.; Spiegel, I.A.; Barton, K. High-fidelity Modeling and Validation of Electrohydrodynamic Jet Printing. Materialia 2022, 26, 101578. [Google Scholar] [CrossRef]
- Wang, Z.; Wang, Q.; Li, B.; Zhang, Y.; Wang, J.; Tub, J. An experimental investigation on cone-jet mode in electrohydrodynamic (EHD) atomization. Exp. Therm. Fluid Sci. 2020, 114, 110054. [Google Scholar] [CrossRef]
- Gañán-Calvo, A.M.; López-Herrera, J.M.; Herrada, M.A.; Ramos, A.; Montanero, J.M. Review on the physics of electrospray: From electrokinetics to the operating conditions of single and coaxial Taylor cone-jets, and AC electrospray. J. Aerosol. Sci. 2020, 125, 32–56. [Google Scholar] [CrossRef]
- Ingram, G.T. Studies in electrohydrodynamics I. The circulation produced in a drop by an electric field. R. Soc. Lond. A 1966, 291, 159–166. [Google Scholar]
- Jiang, Y.; Yang, L.; Ye, D.; Guan, Y.; Deng, W.; Lai, W.; Huang, Y. Modeling and analysis of jetting behavior of surface charge induced electrohydrodynamic printing. Phys. Fluids 2024, 36, 102002. [Google Scholar] [CrossRef]
- Eden, A.; McCallum, C.; Storey, B.D.; Pennathur, S.; Meinhart, C.D. Analyte preconcentration in nanofluidic channels with nonuniform zeta potential. Phys. Rev. Fluids 2017, 2, 124203. [Google Scholar] [CrossRef]
- Dastourani, H.; Jahannama, M.R.; Eslami-Majd, A. A physical insight into electrospray process in cone-jet mode: Role of operating parameters. Int. J. Heat Fluid Flow 2018, 70, 315–335. [Google Scholar] [CrossRef]
- Zagnoni, M.; Cooper, J.M. On-chip electrocoalescence of microdroplets as a function of voltage, frequency and droplet size. Lab Chip 2009, 9, 2652–2658. [Google Scholar] [CrossRef] [PubMed]
- García-Sánchez, P.; Ramos, A.; Mugele, F. Electrothermally driven flows in ac electrowetting. Phys. Rev. E 2010, 81, 015303(R). [Google Scholar] [CrossRef]
- Ouedraogo, Y.; Gjonaj, E.; Weiland, T.; Gersem, H.D.; Steinhausen, C.; Lamanna, G.; Weigand, B.; Preusche, A.; Dreizler, A.; Schremb, M. Electrohydrodynamic simulation of electrically controlled droplet generation. Int. J. Heat Fluid Flow 2017, 64, 120–128. [Google Scholar] [CrossRef]
- Guan, Y.; Wang, M.; Wu, S.; Sha, Y.; Tian, Y.; Ye, D.; Huang, Y. The internal flow behaviors during Taylor cone formation of pulsating electrohydrodynamic jet printing. Phys. Fluids 2022, 34, 122007. [Google Scholar] [CrossRef]
- Pan, Y.; Zeng, L. Simulation and Validation of Droplet Generation Process for Revealing Three Design Constraints in Electrohydrodynamic Jet Printing. Micromachines 2019, 10, 94. [Google Scholar] [CrossRef] [PubMed]
- Singh, S.K.; Subramanian, A. Phase-field simulations of electrohydrodynamic jetting for printing nano-to-microscopic constructs. RSC Adv. 2020, 10, 25022–25028. [Google Scholar] [CrossRef] [PubMed]
- Yan, F.; Farouk, B.; Kob, F. Numerical modeling of an electrostatically driven liquid meniscus in the cone-jet mode. J. Aerosol. Sci. 2003, 34, 99–116. [Google Scholar] [CrossRef]
- Lastow, O.; Balachandran, W. Numerical simulation of electrohydrodynamic (EHD) atomization. J. Electrost. 2006, 64, 850–859. [Google Scholar] [CrossRef]
- Herrada, M.A.; López-Herrera, J.M.; Gañan-Calvo, A.M.; Vega, E.J.; Montanero, J.M.; Popinet, S. Numerical simulation of electrospray in the cone-jet mode. Phys. Rev. E 2012, 86, 026305. [Google Scholar] [CrossRef]
- Gamero-Castaño, M.; Magnani, M. Numerical simulation of electrospraying in the cone-jet mode. J. Fluid Mech. 2019, 859, 247–267. [Google Scholar] [CrossRef]
- Gañán-Calvo, A.M. Cone-Jet Analytical Extension of Taylorś Electrostatic Solution and the Asymptotic Universal Scaling Laws in Electrospraying. Phys. Rev. Lett. 1997, 79, 2. [Google Scholar] [CrossRef]
- Gañan-Calvo, A.M.; Montanero, J.M. Revision of capillary cone-jet physics: Electrospray and flow focusing. Phys. Rev. E 2009, 79, 066305. [Google Scholar] [CrossRef] [PubMed]
- Wang, Z.; Xia, L.; Tian, L.; Wang, J.; Zhan, S.; Huo, Y.; Tu, J. Natural periodicity of electrohydrodynamic spraying in ethanol. J. Aerosol. Sci. 2018, 117, 127–138. [Google Scholar] [CrossRef]
- Li, Y.; Wang, Z.; Li, B.; Tian, J.; Yu, K. Molecular dynamics simulation of the cone-jet electrospray: Role of surfactants. Int. J. Heat Mass Transf. 2023, 214, 124388. [Google Scholar] [CrossRef]
- Kim, H.-H.; Kim, J.-H.; Ogata, A. Time-resolved high-speed camera observation of electrospray. J. Aerosol. Sci. 2011, 42, 249–263. [Google Scholar] [CrossRef]
- Wang, Z.; Chen, Y.; Xue, J.; Li, B.; Wang, J.; Dong, Q. Electrospray modes of liquids in electrohydrodynamic atomization: A review. Phys. Fluids 2024, 36, 111304. [Google Scholar] [CrossRef]
- Park, I.; Hong, W.S.; Kim, S.B.; Kim, S.S. Experimental investigations on characteristics of stable water electrospray in air without discharge. Phys. Rev. E 2017, 95, 063110. [Google Scholar] [CrossRef] [PubMed]
- Wang, S.; Yazdekhasti, A.; Alizadeh, A.; Basem, A.; Jasim, D.J.; Al-Rubaye, A.H.; Salahshour, S.; Toghraie, D. Calculating minimum droplet diameter in dripping, spindle, and cone-jet modes based on experimental data in the electrospray process. Exp. Therm. Fluid Sci. 2024, 154, 111154. [Google Scholar] [CrossRef]
- Wang, Z.; Zhang, Y.; Wang, Q.; Dong, K.; Yang, S.; Jiang, Y.; Zheng, J.; Li, B.; Huo, Y.; Wang, X.; et al. Dynamics of droplet formation with oscillation of meniscus in electric periodic dripping regime. Exp. Therm. Fluid Sci. 2021, 120, 110250. [Google Scholar] [CrossRef]
- Wang, Z.; Li, R.; Tian, L.; Xia, L.; Zhan, S.; Wang, J.; Tu, J. Visualization of periodic emission of drops with micro-dripping mode in electrohydrodynamic (EHD) atomization. Exp. Therm. Fluid Sci. 2019, 105, 307–315. [Google Scholar] [CrossRef]
- Wang, Z.; Dai, Q.; Yang, S.; Tian, J.; Wang, J.; Huo, Y.; Wang, J. An experimental study on the role of electrical conductivity in the steady cone-jet electrospray. Int. J. Multiph. Flow 2024, 171, 104696. [Google Scholar] [CrossRef]
- Gañán-Calvo, A.M.; López-Herrera, J.M.; Riesco-Chueca, P. The combination of electrospray and flow focusing. J. Fluid Mech. 2006, 566, 421–445. [Google Scholar] [CrossRef]
- Wang, Q.; Wang, Z.; Yang, S.; Li, B.; Xu, H.; Yu, K.; Wang, J. Experimental study on electrohydrodynamic atomization (EHDA) in stable cone-jet with middle viscous and low conductive liquid. Exp. Therm. Fluid Sci. 2021, 121, 110260. [Google Scholar] [CrossRef]
- Morad, M.R.; Rajabi, A.; Razavi, M.; Sereshkeh, S.R.P. A Very Stable High Throughput Taylor Cone-jet in Electrohydrodynamics. Sci. Rep. 2016, 6, 38509. [Google Scholar] [CrossRef] [PubMed]
- Kebriaee, A.; Morad, M.R.; Rajabi, A.; Nasiri, H.; Pejman, S.R.; Haeri, S.A.A.R.; Javadi, E. LED nanosecond pulsed imaging for electrohydrodynamic liquid breakup of a modified nozzle. Exp. Therm. Fluid Sci. 2018, 98, 546–556. [Google Scholar] [CrossRef]
- Kong, Q.; Yang, S.; Wang, Q.; Wang, Z.; Dong, Q.; Wang, J. Dynamics of electrified jets in electrohydrodynamic atomization. Case Stud. Therm. Eng. 2022, 29, 101725. [Google Scholar] [CrossRef]
- Shao, Y.; Wang, J.; Wang, H.; Zhou, X.; Xie, Z.; Zhu, X.; Ding, Y.; Chen, R.; Liao, Q. Characterization of dynamics and heat transfer in electro-spray at elevated flow rates. Int. J. Heat Mass Transf. 2024, 226, 125473. [Google Scholar] [CrossRef]
- Rajabi, A.; Javadi, E.; Sereshkeh, S.R.P.; Morad, M.R.; Kebriaee, A.; Nasiri, H.; Haeri, S.A.A.R. Experimental characterization of an extended electrohydrodynamic cone-jet with a hemispherical nozzle. Phys. Fluids 2018, 30, 114108. [Google Scholar] [CrossRef]
- Naderi, P.; Shams, M.; Ghassemi, H. Investigation on the onset voltage and stability island of electrospray in the cone-jet mode using curved counter electrode. J. Electrost. 2019, 98, 1–10. [Google Scholar] [CrossRef]
- Huo, Y.; Wang, J.; Zuo, Z.; Fan, Y. Visualization of the evolution of charged droplet formation and jet transition in electrostatic atomization. Phys. Fluids 2015, 27, 114105. [Google Scholar] [CrossRef]
- Yazdekhasti, A.; Pishevara, A.; Valipouri, A. Investigating the effect of electrical conductivity on electrospray modes. Exp. Therm. Fluid Sci. 2019, 100, 328–336. [Google Scholar] [CrossRef]
- Eow, J.S.; Ghadiri, M.; Sharif, A. Deformation and break-up of aqueous drops in dielectric liquids in high electric fields. J. Electrost. 2001, 51–52, 463–469. [Google Scholar] [CrossRef]
- Tian, J.; Kong, L.; Li, B.; Chen, Y.; Wang, Z.; Wang, J.; Chen, B.; Xiong, J. Experimental investigation on heat transfer performance during electrospray cooling with ethanol-R141b mixture. Appl. Therm. Eng. 2023, 230, 120879. [Google Scholar] [CrossRef]
- Grifoll, J.; Rosell-Llompart, J. In-situ charge reduction of electrospray plumes by unipolar corona ions. J. Aerosol. Sci. 2024, 175, 106277. [Google Scholar] [CrossRef]
- Gañán-Calvo, A.M.; López-Herrera, J.M.; Rebollo-Muñoz, N.; Montanero, J.M. The onset of electrospray: The universal scaling laws of the first ejection. Sci. Rep. 2016, 6, 32357. [Google Scholar] [CrossRef] [PubMed]
- Suo, X.; Zhang, K.; Huang, X.; Wang, D.; Jia, H.; Yang, F.; Zhang, W.; Li, J.; Tu, L.; Song, P. Electrospray beam currents in the cone-jet mode based on numerical simulation. Phys. Fluids 2023, 35, 013603. [Google Scholar] [CrossRef]
- Rosell-Llompart, J.; Grifoll, J.; Loscertales, I.G. Electrosprays in the cone-jet mode: From Taylor cone formation to spray development. J. Aerosol. Sci. 2018, 125, 2–31. [Google Scholar] [CrossRef]
- Guerrero, J.; Hijano, A.J.; Lobato, M.A.; Higuera, F.J.; Loscertales, I.G.; Fernandez-Nieves, A. Emission modes in electro co-flow. Phys. Fluids 2019, 31, 082009. [Google Scholar] [CrossRef]
- Samant, A. Modal and nonmodal stability analysis for an electrified falling film. Phys. Rev. E 2023, 107, 045105. [Google Scholar] [CrossRef]
- Zhang, W.; Bi, D.; Wei, Y. Effect of Archimedes number on the dynamics of free-falling perforated disks. Phys. Fluids 2024, 36, 013324. [Google Scholar] [CrossRef]
- Leppinen, D.; Lister, J.R. Capillary pinch-off in inviscid fluids. Phys. Fluids 2003, 15, 568–578. [Google Scholar] [CrossRef]
- Gan, Y.; Jiang, Z.; Li, H.; Luo, Y.; Chen, X.; Shi, Y.; Yan, Y.; Yan, Y. A comparative study on droplet characteristics and specific charge of ethanol in two small-scale electrospray systems. Sci. Rep. 2019, 9, 18791. [Google Scholar] [CrossRef]
- Lamanna, G.; Kamoun, H.; Weigand, B.; Steelant, J. Towards a unified treatment of fully flashing sprays. Int. J. Multiph. Flow 2014, 58, 168–184. [Google Scholar] [CrossRef]
- Alghamdi, T.; Thoroddsen, S.T.; Hernández-Sánchez, J.F. Ultra-high speed visualization of a flash-boiling jet in a low pressure environment. Int. J. Multiph. Flow 2019, 110, 238–255. [Google Scholar] [CrossRef]
- Box, G.E.P.; Hunter, J.S.; Hunter, W.G. Statistics for Experimenters; John Wiley and Sons, Inc.: Hoboken, NJ, USA, 1978. [Google Scholar]
- Borra, J.-P. Review on water electro-sprays and applications of charged drops with focus on the corona-assisted cone-jet mode for High Efficiency Air Filtration by wet electro-scrubbing of aerosols. J. Aerosol. Sci. 2018, 125, 208–236. [Google Scholar] [CrossRef]
- Le, N.-T.; Myrick, J.M.; Seigle, T.; Huynh, P.T.; Krishnan, S. Mapping electrospray modes and droplet size distributions for chitosan solutions in unentangled and entangled concentration regimes. Adv. Powder Technol. 2018, 29, 3007–3021. [Google Scholar] [CrossRef]
- Castillo-Orozco, E.; Kar, A.; Kumar, R. Electrospray mode transition of microdroplets with semiconductor nanoparticle suspension. Sci. Rep. 2017, 7, 5144. [Google Scholar] [CrossRef] [PubMed]
Disclaimer/Publisher’s Note: The statements, opinions and data contained in all publications are solely those of the individual author(s) and contributor(s) and not of MDPI and/or the editor(s). MDPI and/or the editor(s) disclaim responsibility for any injury to people or property resulting from any ideas, methods, instructions or products referred to in the content. |
© 2025 by the authors. Licensee MDPI, Basel, Switzerland. This article is an open access article distributed under the terms and conditions of the Creative Commons Attribution (CC BY) license (https://creativecommons.org/licenses/by/4.0/).











